Эффективность и безопасность регданвимаба у пациентов с легким/среднетяжелым течением COVID-19 и высоким риском прогрессирования заболевания: ретроспективное исследование в условиях стационара кратковременного пребывания
- Авторы: Маркина У.А.1, Фомина Д.С.2,3, Лебедкина М.С.1,2, Круглова Т.С.1, Чернов А.А.1,4, Загребнева А.И.1,5, Мутовина З.Ю.1,6, Караулов А.В.2, Алексеева Е.И.2,7, Лысенко М.А.1,5
-
Учреждения:
- ГБУЗ «Городская клиническая больница №52» Департамента здравоохранения г. Москвы
- ФГАОУ ВО «Первый Московский государственный медицинский университет им. И.М. Сеченова» Минздрава России (Сеченовский Университет)
- Московский городской научно-практический центр аллергологии и иммунологии ГБУЗ «Городская клиническая больница №52» Департамента здравоохранения г. Москвы
- ФГБОУ ДПО «Российская медицинская академия непрерывного профессионального образования» Минздрава России
- ФГАОУ ВО «Российский национальный исследовательский медицинский университет им. Н.И. Пирогова» Минздрава России
- ФГБУ ДПО «Центральная государственная медицинская академия» Управления делами Президента РФ
- ФГАУ «Национальный медицинский исследовательский центр здоровья детей» Минздрава России
- Выпуск: Том 94, № 5 (2022)
- Страницы: 675-682
- Раздел: Оригинальные статьи
- Статья получена: 16.06.2022
- Статья одобрена: 16.06.2022
- Статья опубликована: 17.06.2022
- URL: https://ter-arkhiv.ru/0040-3660/article/view/108790
- DOI: https://doi.org/10.26442/00403660.2022.05.201690
- ID: 108790
Цитировать
Полный текст
Аннотация
Применение вируснейтрализующих моноклональных антител (МАт) является эффективным методом этиотропной терапии SARS-CoV-2 у пациентов групп высокого риска тяжелого течения COVID-19. Регданвимаб – однокомпонентное МАт иммуноглобулина G1, механизм действия которого направлен на связывание вируса SARS-CoV-2 в месте RBD домена спайкового белка S1. В Российской Федерации применение регданвимаба одобрено для экстренного назначения при COVID-19 для взрослых пациентов, не нуждающихся в респираторной терапии, подверженных высокому риску развития тяжелого течения заболевания.
Цель. Оценить эффективность и безопасность вируснейтрализующей терапии регданвимабом у пациентов с легким/среднетяжелым течением COVID-19 в условиях стационара кратковременного пребывания.
Материалы и методы. Вируснейтрализующая терапия COVID-19 регданвимабом проводилась в отделении кратковременного пребывания многопрофильной медицинской организации. Открытое ретроспективное наблюдательное одноцентровое исследование включало 92 взрослых пациента с COVID-19 легкого/среднетяжелого течения, принадлежащих к группе высокого риска развития тяжелого течения COVID-19. Критерии включения: возраст от 18 до 75 лет; верифицированный диагноз COVID-19 легкого/среднетяжелого течения (положительный тест методом полимеразной цепной реакции – ПЦР); одно и более хроническое заболевание; период от появления первых симптомов COVID-19 до 7-го дня включительно. Критерии исключения: необходимость в кислородной поддержке. Клиническая эффективность оценивалась по Шкале клинического прогрессирования пациента Всемирной организации здравоохранения, дополнялась лабораторными маркерами, мониторингом элиминации вируса методом ПЦР. Расчеты проводили с использованием среды для статистических вычислений R 4.1.3 (R Foundation for Statistical Computing, Австрия). Для количественных показателей указывали медиану (1; 3-й квартили). Для биномиальных признаков рассчитывали 95% доверительные интервалы по методу Уилсона. Анализ временных интервалов проводили по методу Каплана–Мейера. Уровень значимости определен при p<0,05.
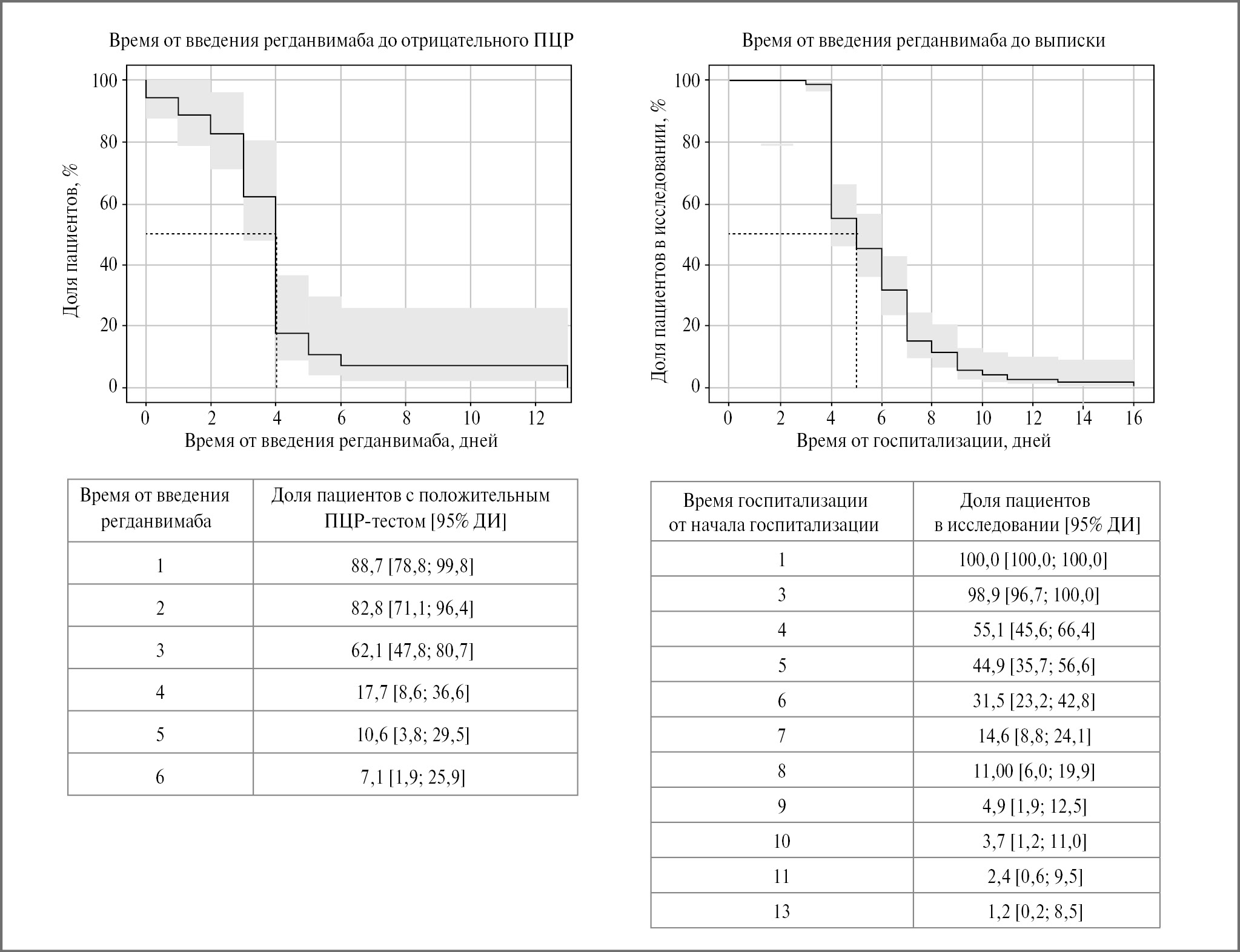
Результаты. Достоверное снижение выраженности клинических проявлений по Шкале клинического прогрессирования пациента больные отмечали в динамике к 4-му дню после введения регданвимаба. Все 92 пациента когорты выписались из дневного стационара в среднем на 9-й день заболевания, на 5-й день после введения регданвимаба, при этом отрицательный ПЦР-тест у 82% пациентов получен уже на 4-й день после введения препарата. Во время исследования не зарегистрировано побочных реакций, связанных с назначением препарата регданвимаб.
Заключение. В реальной клинической практике подтверждены эффективность и безопасность применения МАт регданвимаб у пациентов с повышенным риском развития тяжелого COVID-19, причем положительный клинический результат наблюдался в микст-когорте по возбудителю омикрон и дельта-штамма.
Полный текст
Список сокращений
ВОЗ – Всемирная организация здравоохранения
ГКС – глюкокортикостероид
ДИ – доверительный интервал
ИЛ – интерлейкин
КТ – компьютерная томография
ЛДГ – лактатдегидрогеназа
МАт – моноклональное антитело
ПЦР – полимеразная цепная реакция
СД – сахарный диабет
СКП – стационар кратковременного пребывания
СРБ – С-реактивный белок
ССЗ – сердечно-сосудистые заболевания
ХПН – хроническая почечная недостаточность
Введение
Использование вируснейтрализующих моноклональных антител (МАт) для лечения больных COVID-19 предотвращает прогрессирование заболевания, снижая вирусную нагрузку. Особенно это актуально для групп пациентов высокого риска с отягощенным коморбидным фоном и/или сниженным ответом на вакцинацию против COVID-19 [1]. В отечественных рекомендациях по ведению больных COVID-19 представлено несколько препаратов однокомпонентных и комбинированных МАт против SARS-CoV-2 [1].
Большой проблемой для любого противовирусного лечения на основе памяти предшествующих штаммов является риск селекции нечувствительных к лечению вариантов SARS-CoV-2 [2]. Недавнее появление варианта B.1.1.529 Omicron, который имеет большое количество мутаций (более 30 замен, делеций или вставок) в S-белке вируса, вызвало опасения, что этот вариант сможет избегать защиты, обеспечиваемой вакцинами и МАт [3]. Назначение МАт сопряжено с проблемой эффективного лечения из-за плохого перераспределения из большого круга кровообращения в таргетные ткани. Введение МАт против SARS-CoV-2 эффективно в первые дни от начала заболевания. Особенно это важно для пациентов групп риска по тяжелому течению COVID-19. Соответственно, применение препаратов МАт для этих категорий требует внедрения новых стационарозамещающих технологий для ранней инициации противовирусного лечения с внутривенным способом доставки [4].
Результаты исследований по эффективности и безопасности регданвимаба, опубликованные в ноябре 2021 г. [5], стали основанием одобрения препарата для лечения больных COVID-19 для экстренного назначения в период пандемии в странах Европейского союза и Российской Федерации. В РФ препарат применяется для лечения взрослых пациентов с COVID-19, не получающих респираторной поддерживающей терапии, с высоким риском тяжелого течения инфекции [1]. Обновленные данные о препарате регданвимаб опубликованы в апреле 2022 г. [6].
Цель исследования – изучить эффективность и безопасность вируснейтрализующей терапии регданвимабом пациентов с легким/среднетяжелым COVID-19 с высоким риском прогрессирования заболевания в условиях стационара кратковременного пребывания (СКП).
Материалы и методы
Осенью 2021 г. Департаментом здравоохранения Москвы при поддержке мэрии Москвы на базе двух многопрофильных стационаров и трех амбулаторных КТ-центров внедрен пилотный проект, который определил критерии отбора и сроки проведения терапии вируснейтрализующими антителами среди пациентов с высоким риском тяжелого течения COVID-191. В рамках данного проекта одноцентровое ретроспективное исследование проводилось в СКП на базе многопрофильной Московской городской больницы с использованием электронной медицинской карты стационарного больного. Лечение и мониторинг пациентов осуществлялись в течение двух периодов: первый – с 15.01.2022 по 01.02.2022, второй – с 01.02.2022 по 18.02.2022. В Москве во втором временном промежутке по данным Роспотребнадзора отмечался «переходный период» с фиксированием случаев заражения дельта и преобладанием варианта омикрон SARS-CoV-22.
В исследовании вируснейтрализующая терапия COVID-19 проводилась препаратом регданвимаб (Celltrion, Южная Корея). Регданвимаб назначали на основании разрешения на временное обращение3 и решения врачебной комиссии согласно актуальной версии Временных методических рекомендаций Минздрава России [7].
Расчет дозы для однократного введения пациентам проводился согласно инструкции по препарату в зависимости от массы тела. По показаниям пациентам проводилась терапия, рекомендованная в актуальной версии Временных методических рекомендаций Минздрава России [7].
Критерии включения:
- возраст от 18 до 75 лет;
- положительный результат иммунохроматографического экспресс-теста на антиген SARS-CoV-2 или ПЦР-теста (методом полимеразной цепной реакции);
- появление первых симптомов COVID-19 до 7 суток болезни включительно;
- COVID-19 легкого/среднетяжелого течения;
- ≥1 хронического заболевания как фактора риска прогрессирования COVID-19 (сердечно-сосудистые заболевания – ССЗ, хронические заболевания легких, сахарный диабет – СД, тяжелая хроническая почечная недостаточность – ХПН, онкологические заболевания, онкогематологические заболевания, ревматические заболевания, требующие применения иммуносупрессивной терапии, ожирение 2–4-й степеней, первичные и вторичные иммунодефицитные состояния);
- получение информированного согласия от пациента на обследование и лечение в условиях СКП, а также на проведение терапии МАт.
Критерий невключения: необходимость в респираторной поддерживающей терапии.
Для оценки клинического статуса пациентов использовалась Шкала Всемирной организации здравоохранения (ВОЗ) [8], где 1 балл – бессимптомное течение (ПЦР-тест+), 2 – нет ограничений повседневной деятельности, 3 – есть ограничения повседневной деятельности, 4 – пациенты со средней степенью тяжести без кислородной поддержки. Баллы 5–10 не использовались согласно критерию исключения. Подсчет баллов производился ежедневно врачами СКП. Скорость элиминации вируса оценивалась по качественному ПЦР-тестированию. Контроль биологических маркеров (абсолютное число лейкоцитов, лимфоцитов, тромбоцитов, концентрация С-реактивного белка – СРБ, активность лактатдегидрогеназы – ЛДГ сыворотки крови) проводился в день госпитализации (до введения препарата) и далее на 2, 4 и 6-е сутки. При поступлении выполнялась компьютерная томография (КТ) органов грудной клетки. При ежедневном мониторинге в медицинской документации фиксировались все нежелательные медицинские, связанные со здоровьем, события.
Статистика. Расчеты проводили с использованием среды для статистических вычислений R 4.1.3 (R Foundation for Statistical Computing, Австрия). Для количественных показателей указывали медиану (1; 3-й квартили). Для биномиальных признаков рассчитывали 95% доверительные интервалы (ДИ) по методу Уилсона. Анализ временных интервалов проводили по методу Каплана–Мейера. Уровень значимости определен при p<0,05.
Этическая экспертиза. Введение вируснейтрализующих антител для групп риска тяжелого течения коронавирусной инфекции одобрено Московским городским независимым этическим комитетом.
Результаты
В исследование включены 92 пациента с COVID-19 легкого/среднетяжелого течения, из них в первом периоде (c 15.01.2022 по 01.02.2022) исследования – 47 пациентов, во втором (с 01.02.2022 по 18.02.2022) – 45. При проведении КТ органов грудной клетки 53 пациента не имели признаков вирусной пневмонии, 39 имели КТ-паттерн 1.
В табл. 1 представлены клинико-демографические и лабораторные характеристики пациентов. Средний возраст когорты составил 53,9 года, распределение по полу оказалось следующим: мужчины – 31,5%, женщины – 68,5%. Пациенты, получающие регданвимаб, имели сопутствующие заболевания: ССЗ – в 54,3% случаев, хронические заболевания легких – 23,9%, онкологические заболевания – 7,6%, СД – 20,7%, терминальная стадия ХПН – 9,8%, ожирение – 5,4%. У 33 (35,9%) пациентов наблюдался сочетанный спектр сопутствующих заболеваний, представленный более чем двумя нозологиями. Некоторые из этих нозологий были ассоциированы с инициальными лабораторными изменениями у пациентов при поступлении в дневной стационар (табл. 2).
Таблица 1. Характеристика пациентов при включении в исследование (n=92)
Table 1. Characteristics of patients at inclusion in the study (n=92)
Показатели | Значение |
Возраст, лет | 53,9 (44; 61) |
Женский пол, абс. (%) | 63/92 (68,5) |
Лейкоциты <4,5×109/л, абс. (%) | 13/86 (15) |
Лимфоциты <1,18×109/л, абс. (%) | 32/85 (38) |
Нейтрофилы <1,56×109/л, абс. (%) | 2/85 (2) |
Тромбоциты <180×109/л, абс. (%) | 23/86 (27) |
СРБ>2 норм, мг/л | 58/85 (68) |
ЛДГ>250 Ед/л, абс. (%) | 15/85 (18) |
Тяжесть по Шкале клинического прогрессирования пациента ВОЗ, абс. (%): | |
2 | 83/88 (94) |
3 | 5/88 (6) |
Структура сопутствующих заболеваний, абс. (%): | |
ССЗ | 49/92 (54,3) |
хронические заболевания легких | 21/92 (23,9) |
СД | 19/92 (20,7) |
тяжелая ХПН | 9/92 (9,8) |
онкологические заболевания | 7/92 (7,6) |
ожирение 2–4-й степеней | 5/92 (5,4) |
Сопутствующая терапия, абс. (%): | |
ГКС | 17/92 (18,5) |
ингибиторы янус-киназ | 4/92 (4,3) |
Сопутствующая терапия при госпитализации, абс. (%): | |
ингибиторы ИЛ-6 | 25/92 (27,2) |
ингибиторы ИЛ-1 | 6/92 (6,5) |
КТ на момент поступления: | |
КТ-паттерн 0 | 53 пациента |
КТ-паттерн 1 | 39 пациентов |
Примечание. Расчетная терапевтическая доза МАт и число пациентов, которые ее получали.
Таблица 2. Ассоциации выявленных лабораторных нарушений с наличием сопутствующих заболеваний
Table 2. Associations of identified laboratory disorders with the presence of concomitant diseases
Показатель | Заболевание, абс. (%) | p | |
Нет | Есть | ||
Ожирение 2–4-й степеней | |||
Тромбоциты <180 | 20/82 (24,4) | 3/4 (75,0) | 0,0567 |
Онкологические заболевания | |||
Тромбоциты <180 | 19/79 (24,1) | 4/7 (57,1) | 0,0789 |
ССЗ | |||
Тромбоциты <180 | 7/42 (16,7) | 16/44 (36,4) | 0,0519 |
Тяжелая ХПН | |||
Лимфоциты <1,18 | 27/79 (34,2) | 5/6 (83,3) | 0,0265 |
Медиана дня заболевания на момент госпитализации пациента составила 4 дня. Режимы дозирования и сопутствующая терапия представлены на рис. 1.
Рис. 1. Распределение расчетных доз регданвимаба и препараты сопутствующей терапии.
Fig. 1. Distribution of calculated doses of regdanvimab and concomitant therapy drugs.
Ингибиторы янус-киназ и глюкокортикостероиды (ГКС) назначены пациентам на амбулаторном этапе до введения регданвимаба. Ингибиторы интерлейкина (ИЛ)-1-R, 6-R вводились на базе СКП.
Анализ динамики концентрации СРБ сыворотки крови у пациентов, получавших монотерапию регданвимабом и его комбинацией с сопутствующими препаратами, показал, что сывороточные уровни СРБ достоверно снизились к 3–4-му дню наблюдения и значимо не отличались в обеих группах пациентов.
Лабораторные и клинические проявления у пациентов, включенных в исследование, соответствовали картине коронавирусной инфекции, их положительная динамика отмечалась уже на 2-й день после введения регданвимаба. Регресс вирусного воспаления выражался в достоверном повышении в динамике числа лимфоцитов и тромбоцитов крови с одновременным снижением концентрации СРБ сыворотки крови (р<0,001); табл. 3, 4. Динамики активности ЛДГ сыворотки крови не отмечалось.
Таблица 3. Динамика концентрации СРБ сыворотки крови (мг/л) на фоне монотерапии регданвимабом и его комбинации с сопутствующей терапией
Table 3. Dynamics of serum C-reactive protein concentration (mg/l) against the background of monotherapy with regdanvimab and its combination with concomitant therapy
День госпитализации | 1-й | 2-й | 4-й | 6-й | p |
Сопутствующая терапия (n=39) | 16,8 (7,8–34,5) | 16,9 (10,3–30,3) | 6,3 (2,7–11) | 5,9 | <0,001 |
Монотерапия регданвимабом (n=53) | 23,3 (7,2–37,8) | 28,5 (5,5–55,9) | 10,9 (5,5–23,5) | 8,5 (5,7–20,9) | <0,001 |
p | 0,5 | 0,8 | 0,2 | 0,2 |
Таблица 4. Динамика лабораторных и клинических проявлений COVID-19 на фоне лечения регданвимабом
Table 4. Dynamics of laboratory and clinical manifestations of COVID-19 during treatment with regdanvimab
Показатели | Период исследования, сут | р | |||
1-е* | 2-е | 4-е | 6-е | ||
Лейкоциты, 109/л | 6,2 (5,2‒7,4) | 4,2 (3,6‒5,9) | 6,4 (5,3‒8,3) | 8,2 (5,3‒9,1) | 0,02 |
Лимфоциты, 109/л | 1,4 (1,0‒2,0) | 1,4 (1,2‒1,5) | 2,0 (1,4‒2,5) | 1,8 (1,1‒2,9) | <0,001 |
Тромбоциты, 109/л | 221 (180‒265) | 206 (185‒255) | 240 (204‒300) | 264 (216‒345) | <0,001 |
СРБ, мг/л | 22,7 (7,9‒36,4) | 11,4 (8,5‒29,1) | 6,8 (2,5‒10,5) | 4,9 (1,5‒7,8) | <0,001 |
ЛДГ, Ед/л | 200 (178‒232) | 194 (176‒242) | 197 (162‒218) | 201 (188‒237) | <0,001 |
*День введения регданвимаба.
Достоверное снижение выраженности клинических проявлений при оценке по Шкале клинического прогрессирования пациента ВОЗ отмечалось в динамике к 4-му дню после инфузии регданвимаба (рис. 2). Все 92 пациента когорты выписались из дневного стационара в среднем на 9-й день заболевания и на 5-й день после введения МАт.
Рис. 2. Динамика оценки по Шкале клинического прогрессирования пациента ВОЗ.
Fig. 2. Dynamics of assessment according to the WHO Clinical Progression Scale.
На рис. 3 показаны кривые Каплана–Мейера, построенные в зависимости результата ПЦР и показателя интервалов отдельно до выписки и до получения отрицательного результата. Отрицательный ПЦР-тест у 82% пациентов получен уже на 4-й день после введения препарата.
Рис. 3. Временные интервалы получения отрицательного ПЦР/выписки пациентов.
Fig. 3. Time intervals for obtaining a negative PCR/discharge of patients.
Все нежелательные медицинские события, связанные со здоровьем, соответствовали проявлениям коронавирусной инфекции.
Обсуждение
С клинической точки зрения исследуемая когорта пациентов соответствовала заданным критериям включения и была достаточной по объему для проведения достоверного статистического анализа в условиях реальной клинической практики. Возраст пациентов высокого риска по тяжелому течению COVID-19 соответствовал средней возрастной группе, медиана – 53,9 (43,9‒60,8), преобладали женщины.
Изменения лабораторных показателей соответствовали легкому и среднетяжелому течению COVID-19. Лимфопения (37,6% пациентов), тромбоцитопения (26,7%) и нейтропения (2,4%) встречались у ряда больных и были типичны для COVID-19. Одной из причин тромбоцитопении при SARS-CoV-2 является ингибирование роста и апоптоз в костном мозге, что приводит к нарушению кроветворения. Косвенно о начальном этапе развития коагулопатии может свидетельствовать показатель ЛДГ, уровень события >250 Ед/л в день госпитализации отмечен в 17,6% случаев. Медиана показателя ЛДГ в среднем не превышала 200,6 Ед/л, что говорило о благоприятном прогнозе в плане угрозы развития тканевого и полиорганного поражения. Связь между некоторыми маркерами обнаруживалась при хронических сопутствующих заболеваниях. В частности, лимфопения (число лимфоцитов крови <1,18×109/л) характерна для ХПН, что вполне согласуется с патогенезом этого коморбидного состояния. Тромбоципения при тяжелом ожирении и хронических ССЗ может быть обоснована применением антикоагулянтов различных групп для профилактики тромбозов [9].
Наиболее наглядным ответ на терапию был со стороны показателя СРБ. Изначально у 68,2% пациентов уровень СРБ превышал референсные значения в 2 раза, что для начального периода заболевания является неблагоприятным прогностическим признаком. К 4–6-му дню после проведения инфузии регданвимаба зарегистрировано быстрое снижение концентрации СРБ сыворотки крови и ее нормализация. Достоверной разницы в динамике СРБ у пациентов, получавших МАт и комбинированную терапию, не выявлено. Этот эффект предположительно обусловлен снижением вирусной нагрузки, о чем свидетельствует независимая от фоновых факторов элиминация вируса (по данным ПЦР) на 4-й день после введения регданвимаба более чем у 80% пациентов. Полученные нами данные об элиминации вируса на 4-й день после инфузии регданвимаба у подавляющего большинства пациентов совпадают с результатами международных исследований [6]. При применении других МАт этот интервал колеблется от 5 до 21 дня [10].
По опубликованным данным селекторного совещания Роспотребнадзора от 01.03.2022, в базу VGARus по состоянию на 28.02.2022 поступило 109 816 геномных последовательностей SARS-CoV-2, полученных в результате полногеномного и фрагментного секвенирования. В выделенной группе сиквенсов к геноварианту омикрон отнесены 95,1% сиквенсов, к геноварианту дельта – 4,2%, к другим не доминирующим геновариантам – 0,7%. Пробы получены из крупных городов РФ, причем большинство – из Москвы и Санкт-Петербурга. В связи с этим можно предполагать, что в когорте пациентов, описанных в данной статье, встречались различные варианты штаммов SARS-CoV-2 с очевидным преобладанием омикрона2. О скорости распространения геноварианта омикрон косвенно можно судить по докладу Г.А. Базыкина на примере ограниченной группы людей в самом начале его появления на территории РФ4. C учетом сказанного можно предположить, что однокомпонентное МАт регданвимаб эффективно против штамма омикрон in vivo.
Ранее сообщалось о высокой противовирусной активности регданвимаба против южноафриканского варианта SARS-CoV-2. Несмотря на эффективность в клинических исследования, механизм действия in vivo пассивно доставляемых нейтрализующих антител против SARS-CoV-2 не до конца понятен [11, 12]. У предварительно вакцинированных пациентов даже сниженный гуморальный поствакцинальный ответ мог оказывать влияние на формирование суммарного благоприятного исхода. С целью получения оптимального клинического и вируснейтрализующего эффекта МАт необходимо достижение терапевтической концентрации препарата в тканях органов-мишеней (легкие). Для этого регданвимаб имеет гибкую систему дозирования и оптимальные для безопасного применения фармакодинамические свойства.
Таким образом, в реальной клинической практике подтверждены эффективность и безопасность применения монотерапии регданвимабом независимо от наличия сопутствующей терапии у пациентов с повышенным риском развития тяжелого COVID-19, причем положительный клинический результат в отношении омикрон-штамма открывает новые возможности для дальнейших практических и экспериментальных изысканий.
Заключение
В настоящем исследовании пациенты подвергались пассивной иммунизации с лечебным эффектом препаратом регданвимаб в условиях наиболее оптимального алгоритма оказания специализированной помощи, с применением особых схем маршрутизации, мониторинга и мультидисциплинарного клинического подхода. В реальной клинической практике показаны эффективность и безопасность применения регданвимаба у пациентов с высоким риском прогрессирования COVID-19. Работа имеет важные ограничения: относительно малое число наблюдений, отсутствие контрольной группы (плацебо).
Раскрытие интересов. Авторы декларируют отсутствие явных и потенциальных конфликтов интересов, связанных с публикацией настоящей статьи.
Disclosure of interest. The authors declare that they have no competing interests.
Вклад авторов. Авторы декларируют соответствие своего авторства международным критериям ICMJE. Все авторы в равной степени участвовали в подготовке публикации: разработка концепции статьи, получение и анализ фактических данных, написание и редактирование текста статьи, проверка и утверждение текста статьи.
Authors’ contribution. The authors declare the compliance of their authorship according to the international ICMJE criteria. All authors made a substantial contribution to the conception of the work, acquisition, analysis, interpretation of data for the work, drafting and revising the work, final approval of the version to be published and agree to be accountable for all aspects of the work.
Источник финансирования. Авторы декларируют отсутствие внешнего финансирования для проведения исследования и публикации статьи.
Funding source. The authors declare that there is no external funding for the exploration and analysis work.
Соответствие принципам этики. Протокол исследования был одобрен локальным этическим комитетом Московского городского независимого этического комитета, выписка №16 из протокола №93 заседания от 31.08.2021. Одобрение и процедуру проведения протокола получали по принципам Хельсинкской конвенции.
Ethics approval. The study was approved by the local ethics committee of Moscow City Independent Ethical Committee, protocol No. 93 of the meeting dated August 31, 2021. The approval and procedure for the protocol were obtained in accordance with the principles of the Helsinki Convention.
1Приказ №1048 Департамента здравоохранения города Москвы от 25.10.2021. Документ зарегистрирован №01-01-1048 от 25.10.2021 Колесникова Т.С. (Департамент здравоохранения города Москвы).
2Сообщение Роспотребназора от 01.03.2022. Режим доступа: https://rospotrebnadzor.ru/about/info/news/news_details.php?ELEMENT_ID=20851&sphrase_id=4101297. Ссылка активна на 05.05.2022.
3Постановление Правительства РФ от 3 апреля 2020 г. №441. Режим доступа: https://docs.cntd.ru/document/566395804. Ссылка активна на 05.05.2022.
4Базыкин Г.А. 27.01.2022 Информация взята с портала «Научная Россия» (https://scientificrussia.ru/). Режим доступа: https://www.youtube.com/watch?v=pGiy1ZWvFBE/ Ссылка активна на 05.05.2022.
Об авторах
Ульяна Алексеевна Маркина
ГБУЗ «Городская клиническая больница №52» Департамента здравоохранения г. Москвы
Email: itchermd@gmail.com
ORCID iD: 0000-0002-6646-4233
врач – аллерголог-иммунолог отд-ния аллергологии и иммунологии ГБУЗ ГКБ №52
Россия, МоскваДарья Сергеевна Фомина
ФГАОУ ВО «Первый Московский государственный медицинский университет им. И.М. Сеченова» Минздрава России (Сеченовский Университет); Московский городской научно-практический центр аллергологии и иммунологии ГБУЗ «Городская клиническая больница №52» Департамента здравоохранения г. Москвы
Email: itchermd@gmail.com
ORCID iD: 0000-0002-5083-6637
канд. мед. наук, доц., доц. каф. клинической иммунологии и аллергологии ФГАОУ ВО «Первый МГМУ им. И.М. Сеченова» (Сеченовский Университет), рук. МГНПЦАИ ГБУЗ ГКБ №52
Россия, Москва; МоскваМарина Сергеевна Лебедкина
ГБУЗ «Городская клиническая больница №52» Департамента здравоохранения г. Москвы; ФГАОУ ВО «Первый Московский государственный медицинский университет им. И.М. Сеченова» Минздрава России (Сеченовский Университет)
Автор, ответственный за переписку.
Email: itchermd@gmail.com
ORCID iD: 0000-0002-9545-4720
врач – аллерголог-иммунолог отд-ния аллергологии и иммунологии ГБУЗ ГКБ №52, клин. ординатор каф. клинической иммунологии и аллергологии ФГАОУ ВО «Первый МГМУ им. И.М. Сеченова» (Сеченовский Университет)
Россия, Москва; МоскваТатьяна Сергеевна Круглова
ГБУЗ «Городская клиническая больница №52» Департамента здравоохранения г. Москвы
Email: itchermd@gmail.com
ORCID iD: 0000-0002-4949-9178
врач – аллерголог-иммунолог, зав. отд-нием аллергологии и иммунологии ГБУЗ ГКБ №52
Россия, МоскваАнтон Александрович Чернов
ГБУЗ «Городская клиническая больница №52» Департамента здравоохранения г. Москвы; ФГБОУ ДПО «Российская медицинская академия непрерывного профессионального образования» Минздрава России
Email: itchermd@gmail.com
ORCID iD: 0000-0001-6209-387X
врач-терапевт отд. клинической фармакологии ГБУЗ ГКБ №52, мл. науч. сотр. Научно-исследовательского института молекулярной и персонализированной медицины ФГБОУ ДПО РМАНПО
Россия, Москва; МоскваАлена Игоревна Загребнева
ГБУЗ «Городская клиническая больница №52» Департамента здравоохранения г. Москвы; ФГАОУ ВО «Российский национальный исследовательский медицинский университет им. Н.И. Пирогова» Минздрава России
Email: itchermd@gmail.com
ORCID iD: 0000-0002-3235-1425
канд. мед. наук, зав. консультативно- диагностическим отд-нием №2 ГБУЗ ГКБ №52, доц. каф. общей терапии фак-та дополнительного профессионального образования ФГАОУ ВО «РНИМУ им. Н.И. Пирогова»
Россия, Москва; МоскваЗинаида Юрьевна Мутовина
ГБУЗ «Городская клиническая больница №52» Департамента здравоохранения г. Москвы; ФГБУ ДПО «Центральная государственная медицинская академия» Управления делами Президента РФ
Email: itchermd@gmail.com
ORCID iD: 0000-0001-5809-6015
канд. мед. наук, врач-ревматолог, зав. ревматологическим отд-нием ГБУЗ ГКБ №52, доц. каф. общей терапии, кардиологии и функциональной диагностики ФГБУ ДПО ЦГМА УД Президента РФ
Россия, Москва; МоскваАлександр Викторович Караулов
ФГАОУ ВО «Первый Московский государственный медицинский университет им. И.М. Сеченова» Минздрава России (Сеченовский Университет)
Email: itchermd@gmail.com
ORCID iD: 0000-0002-1930-5424
акад. РАН, д-р мед. наук, проф., зав. лаб. иммунопатологии Института молекулярной медицины, зав. каф. клинической иммунологии и аллергологии Института клинической медицины им. Н.В. Склифосовского ФГАОУ ВО «Первый МГМУ им. И.М. Сеченова» (Сеченовский Университет)
Россия, МоскваЕкатерина Иосифовна Алексеева
ФГАОУ ВО «Первый Московский государственный медицинский университет им. И.М. Сеченова» Минздрава России (Сеченовский Университет); ФГАУ «Национальный медицинский исследовательский центр здоровья детей» Минздрава России
Email: itchermd@gmail.com
ORCID iD: 0000-0002-3874-4721
чл.-кор. РАН, д-р мед. наук, проф., дир. Клинического института детского здоровья им. Н.Ф. Филатова ФГАОУ ВО «Первый МГМУ им. И.М. Сеченова» (Сеченовский Университет), зав. ревматологическим отд-нием ФГАУ «НМИЦ здоровья детей»
Россия, Москва; МоскваМарьяна Анатольевна Лысенко
ГБУЗ «Городская клиническая больница №52» Департамента здравоохранения г. Москвы; ФГАОУ ВО «Российский национальный исследовательский медицинский университет им. Н.И. Пирогова» Минздрава России
Email: itchermd@gmail.com
ORCID iD: 0000-0001-6010-7975
д-р мед. наук, глав. врач ГБУЗ ГКБ №52, проф. каф. общей терапии фак-та дополнительного профессионального образования ФГАОУ ВО «РНИМУ им. Н.И. Пирогова»
Россия, Москва; МоскваСписок литературы
- Временные методические рекомендации. Профилактика, диагностика и лечение новой коронавирусной инфекции (COVID-19). Версия 15 (22.02.2022). Режим доступа: https://static0.minzdrav.gov.ru/system/attachments/attaches/000/059/392/original/ВМР_COVID-19_V15.pdf. Ссылка активна на 05.05.2022 [Vremennye metodicheskie rekomendatsii. Profilaktika, diagnostika i lechenie novoi koronavirusnoi infektsii (COVID-19). Versiia 15 (22.02.2022). Available at: https://static0.minzdrav.gov.ru/system/attachments/attaches/000/059/392/original/ВМР_COVID-19_V15.pdf. Accessed: 05.05.2022 (in Russian)].
- Kustin T, Stern A. Biased Mutation and Selection in RNA Viruses. Mol Biol Evol. 2021;38(2):575-88. doi: 10.1093/molbev/msaa247
- VanBlargan LA, Errico JM, Halfmann PJ, et al. An infectious SARS-CoV-2 B.1.1.529 Omicron virus escapes neutralization by therapeutic monoclonal antibodies. Nat Med. 2022;28(3):490-5. doi: 10.1038/s41591-021-01678-y
- Cruz-Teran C, Tiruthani K, McSweeney M, et al. Challenges and opportunities for antiviral monoclonal antibodies as COVID-19 therapy. Adv Drug Deliv Rev. 2021;169:100-7. doi: 10.1016/j.addr.2020.12.004
- Lee JY, Lee JY, Ko JH, et al. Effectiveness of Regdanvimab Treatment in High-Risk COVID-19 Patients to Prevent Progression to Severe Disease. Front Immunol. 2021;12:772320. doi: 10.3389/fimmu.2021.772320
- Streinu-Cercel A, Săndulescu S, Preotescu LL, et al. Efficacy and Safety of Regdanvimab (CT-P59): A Phase 2/3 Randomized, Double-Blind, Placebo-Controlled Trial in Outpatients With Mild-to-Moderate Coronavirus Disease 2019. Open Forum Infectious Diseases. 2022;9(4):ofac053. doi: 10.1093/ofid/ofac053
- Временные методические рекомендации. Профилактика, диагностика и лечение новой коронавирусной инфекции (COVID-19). Версия 14 (27.12.2021). Режим доступа: https://xn--80aesfpebagmfblc0a.xn--p1ai/ai/doc/1213/attach/vmr_COVID-19_V14_27-12-2021.pdf. Ссылка активна на 05.05.2022 [Vremennye metodicheskie rekomendatsii. Profilaktika, diagnostika i lechenie novoi koronavirusnoi infektsii (COVID-19). Versiia 14 (27.12.2021). Available at: https://xn--80aesfpebagmfblc0a.xn--p1ai/ai/doc/1213/attach/vmr_COVID-19_V14_27-12-2021.pdf. Accessed: 05.05.2022 (in Russian)].
- WHO Working Group on the Clinical Characterisation and Management of COVID-19 infection. A minimal common outcome measure set for COVID-19 clinical research. Lancet Infect Dis. 2020;20(8):e192-7. doi: 10.1016/S1473-3099(20)30483-7. Erratum in: Lancet Infect Dis. 2020;20(10):e250.
- Frater JL, Zini G, d'Onofrio G, Rogers HJ. COVID-19 and the clinical hematology laboratory. Int J Lab Hematol. 2020;42 Suppl. 1:11-8. doi: 10.1111/ijlh.13229
- Stein D, Oviedo-Orta E, Kampman WA, et al. Compassionate Use of REGEN-COV® in Patients with COVID-19 and Immunodeficiency-Associated Antibody Disorders. Clin Infect Dis. 2021;ciab1059. doi: 10.1093/cid/ciab1059
- Ryu DK, Song R, Kim M, et al. Therapeutic effect of CT-P59 against SARS-CoV-2 South African variant. Biochem Biophys Res Commun. 2021;566:135-40. doi: 10.1016/j.bbrc.2021.06.016
- Winkler ES, Gilchuk P, Yu J, et al. Human neutralizing antibodies against SARS-CoV-2 require intact Fc effector functions for optimal therapeutic protection. Cell. 2021;184(7):1804-20. doi: 10.1016/j.cell.2021.02.026.






