Urinary biomarkers of kidney injury in patients treated with anti-VEGF drugs
- 作者: Grechukhina K.S.1,2, Chebotareva N.V.1,3, Zhukova L.G.2, Androsova T.V.3, Karpov V.V.3, Krasnova T.N.1,3
-
隶属关系:
- Lomonosov Moscow State University
- Loginov Moscow Clinical Scientific Center
- Sechenov First Moscow State Medical University (Sechenov University)
- 期: 卷 94, 编号 6 (2022)
- 页面: 725-730
- 栏目: Original articles
- ##submission.dateSubmitted##: 04.08.2022
- ##submission.dateAccepted##: 04.08.2022
- ##submission.datePublished##: 04.08.2022
- URL: https://ter-arkhiv.ru/0040-3660/article/view/109608
- DOI: https://doi.org/10.26442/00403660.2022.06.201561
- ID: 109608
如何引用文章
全文:
详细
Background. Antiangiogenic drugs are widely used in oncological practice and are aimed at inhibiting angiogenesis. Despite the high antitumor efficacy, their use may be limited by nephrotoxicity, and therefore the search for early biomarkers of kidney damage remains relevant, which will preserve a favorable safety profile of therapy.
Aim. To determine urinary biomarkers of tubular and podocyte damage in patients receiving treatment with antiangiogenic drugs.
Materials and methods. The study included patients (n=50) who received intravenous anti-VEGF drugs (aflibercept, bevacizumab, ramucirumab) in various chemotherapy regimens. Concentrations of tubular damage markers KIM-1 (Kidney Injury Molecule-1) and NGAL (Neutrophil Gelatinase-Associated Lipocalin), hypoxia marker HIF-1α (Hypoxia-Inducible Factor 1-alpha) in urine samples were determined by enzyme-linked immunosorbent assay (ELISA) before treatment, and during 8 weeks of treatment. To assess the risk factors for kidney damage, a logistic regression analysis was performed with the inclusion of the main clinical and laboratory parameters.
Results. A decrease in the calculated GFR of CKD-EPI (Chronic Kidney Disease Epidemiology Collaboration Formula) of less than 60 ml/min per 1.73 m2 at week 8 of treatment was noted in 42% of patients. An increase in NGAL, KIM-1, HIF-1α and nephrin in urine during the first two weeks of therapy predicted the development of renal damage by the 8th week of follow-up. When constructing ROC-curves, the high sensitivity and specificity of these urinary indicators as prognostic markers were established. Among the clinical and laboratory indicators, independent unfavorable prognostic factors of nephrotoxicity were an initial decrease in eGFR, a history of hypertension, an increase in the concentration of KIM-1 and HIF-1α in urine during the first two weeks of therapy.
Conclusion. The predictors of renal damage in the treatment with antiangiogenic drugs were previously an increase in NGAL, KIM-1 and HIF-1α in urine during the first two weeks after the start of therapy.
全文:
Список сокращений
АГ – артериальная гипертензия
ДИ – доверительный интервал
ЛДГ – лактатдегидрогеназа
рСКФ – расчетная скорость клубочковой фильтрации
СКФ – скорость клубочковой фильтрации
ТМА – тромботическая микроангиопатия
CKD-EPI – Chronic Kidney Disease Epidemiology Collaboration Formula (формула для определения рСКФ)
HIF-1α (Hypoxia-Inducible Factor 1-alpha) – фактор, индуцируемый гипоксией
KIM-1 (Kidney Injury Molecule-1) – молекула повреждения почек-1
NGAL (Neutrophil Gelatinase-Associated Lipocalin) – липокалин, ассоциированный с желатиназой нейтрофилов
VEGF (Vascular Endothelial Growth Factor) – сосудистый эндотелиальный фактор роста
Введение
Антиангиогенные препараты обладают противоопухолевым действием, направленным на подавление неоангио- генеза в опухоли и уменьшение ее васкуляризации, что приводит к торможению роста опухоли и метастазирования. Изоформа А сосудистого эндотелиального фактора роста (Vascular Endothelial Growth Factor – VEGF) секретируется опухолевыми клетками для стимуляции пролиферации, миграции и выживания путем активации рецепторов VEGF [1]. Действие анти-VEGF-препаратов направлено на блокирование самого VEGF либо его рецепторов. Показаниями для анти-VEGF-терапии являются метастатические формы различных злокачественных опухолей: колоректального рака, рака яичников, молочной железы, желудка, немелкоклеточного рака легких [2–7]. К наиболее частым нежелательным явлениям анти-VEGF-терапии относятся артериальная гипертензия (АГ), развитие протеинурии и тромботические осложнения [4–8]. Также вероятно постепенное снижение почечной функции вплоть до терминальной стадии [9, 10]. Кроме того, возможно снижение скорости клубочковой фильтрации (СКФ) вплоть до развития острого почечного повреждения даже при интравитреальном введении [11, 12]. Определение биомаркеров, которые позволили бы распознавать процессы ишемии почечного интерстиция и повреждение клубочков на ранних стадиях, может способствовать снижению риска развития почечной дисфункции при оптимизации лечения и сопутствующей терапии. В настоящее время известна роль липокалина, ассоциированного с желатиназой нейтрофилов (Neutrophil Gelatinase-Associated Lipocalin – NGAL), молекулы повреждения почек-1 (Kidney Injury Molecule-1 – KIM-1) и нефрина в моче как ранних маркеров острого почечного повреждения при ишемическом и токсическом повреждении канальцев, например при терапии цисплатином [13–16]. Также предполагают роль фактора, индуцируемого гипоксией (Hypoxia-Inducible Factor 1-alpha – HIF-1α), в качестве маркера острого повреждения почек [17, 18]. Однако как маркеры ранней нефротоксичности антиангиогенных препаратов эти факторы до настоящего времени не изучали.
Цель исследования – оценить возможность использования NGAL, KIM-1, HIF-1α и нефрина как ранних мочевых биомаркеров нефротоксичности анти-VEGF-препаратов.
Материалы и методы
Участники исследования и критерии соответствия
В исследование вошли 50 пациентов, получавших химиотерапию внутривенными антиангиогенными препаратами (бевацизумаб, афлиберцепт, рамуцирумаб) либо в качестве монотерапии, либо в составе комбинированных схем, не обладающих нефротоксичностью. В исследование включали пациентов с различными локализациями опухолей: колоректальный рак – 52% (n=26), рак яичников – 20% (n=10), рак молочной железы – 20% (n=10), рак желудка – 8% (n=4).
Методы измерения целевых показателей
Среди клинических характеристик оценивали пол, возраст больных, индекс массы тела, наличие АГ до лечения, показатели систолического и диастолического артериального давления, тип антиангиогенного препарата (бевацизумаб, афлиберцепт, рамуцирумаб), прием антикоагулянтных нестероидных противовоспалительных и антигипертензивных препаратов.
Из лабораторных параметров оценивали концентрацию гемоглобина, число тромбоцитов и шистоцитов, содержание D-димера, активность лактатдегидрогеназы (ЛДГ), содержание креатинина сыворотки крови и расчетную СКФ (рСКФ) по формуле CKD-EPI (Chronic Kidney Disease Epidemiology Collaboration Formula), а также уровень суточной альбуминурии. Концентрации биомаркеров в образцах мочи определены методом иммуноферментного анализа с использованием диагностических наборов Lipocalin-2/NGAL Human ELISA (RD191102200R, BioVendor, Чехия), Human KIM-1 ELISA Kit (ELH-TIM1, RayBio, США), Human HIF-1 alpha ELISA Kit (ELH-HIF1a, RayBio, США), Human ELISA Kit for Nephrin (SEA937Hu, Cloud Clone, США). Каждое измерение стандартных и опытных образцов проводили в дубликатах. Показатели оценивали до начала лечения, а также в конце 1, 2, 4 и 8-й недели терапии.
Соответствие принципам этики
Протокол исследования был одобрен локальным этическим комитетом при ГБУЗ «МКНЦ им. А.С. Логинова» (протокол №2/2020 от 17.02.2020). Одобрение и процедуру проведения протокола получали по принципам Хельсинкской конвенции.
Статистический анализ
Статистическую обработку данных проводили с помощью программы Jamovi v. 2.0.0. При анализе выборки в связи с распределением показателей, отличным от нормального, для статистической обработки использовали непараметрические критерии Фридмана, Краскела–Уоллиса и Дарбина–Коновера, а также корреляционный анализ Спирмена. В качестве конечной точки оценивали риск нефротоксичности как снижение СКФ<60 мл/мин на 1,73 м2 на 8-й неделе лечения антиангиогенными препаратами. Для оценки факторов риска нефротоксичности выполнен логистический регрессионный анализ.
Результаты
В исследование вошли 22 (44%) мужчины и 28 (56%) женщин. Медиана возраста пациентов составила 46 (34–57) лет, от 24 до 80 лет. Из 50 пациентов 17 (34%) получали монотерапию антиангиогенными препаратами, у 33 (66%) антиангиогенные препараты применяли в составе комбинированных схем лечения (5-Фторурацил + иринотекан; иринотекан, капецитабин, паклитаксел, эрибулин). При этом 11 из 50 (22%) пациентов получали бевацизумаб, 29 (58%) – рамуцирумаб, 10 (20%) – афлиберцепт.
АГ с повышением систолического артериального давления выше 130 мм рт. ст. и диастолического давления выше 80 мм рт. ст. развилась у 26 из 50 (52%) пациентов. Снижение рСКФ<60 мл/мин на 1,73 м2 на 8-й неделе лечения наблюдалось у 21 (42%) больного. Медиана рСКФ в группе составила 90 (76–95) мл/мин на 1,73 м2 до начала лечения и 65 (57–74) мл/мин на 1,73 м2 к 8-й неделе терапии. При этом статистически значимое снижение рСКФ (p<0,001) отмечено уже через 7 дней с момента начала терапии. Нефротоксичность достоверно не зависела от конкретного антиангиогенного препарата (p=0,290) или их комбинаций с другими химиотерапевтическими схемами (p=0,238).
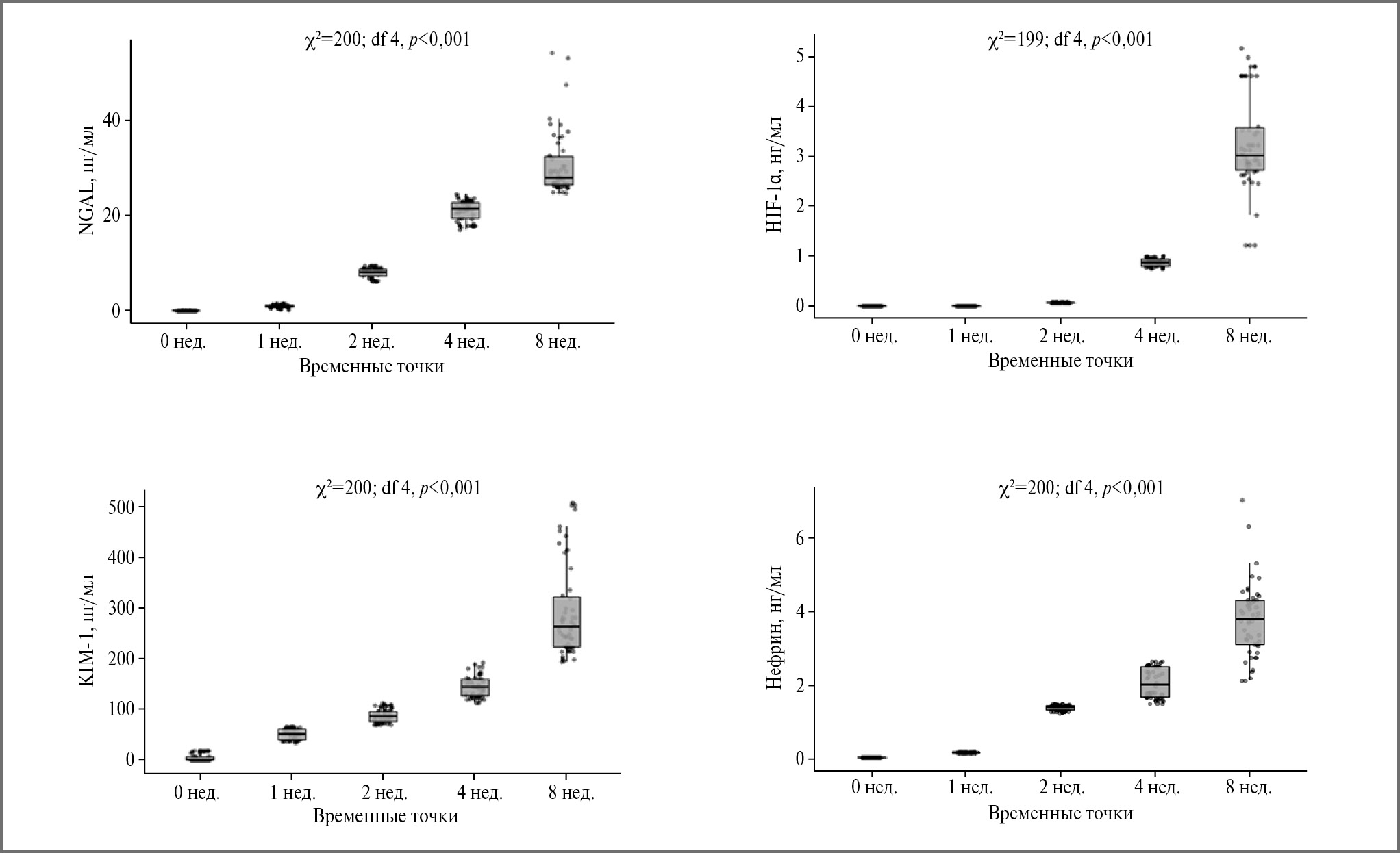
Наряду со снижением СКФ мы установили повышение содержания биомаркеров почечного повреждения в моче (рис. 1).
Рис. 1. Нарастание биомаркеров почечного повреждения NGAL (липокалин, ассоциированный с желатиназой нейтрофилов), KIM-1 (молекула повреждения почек-1), HIF-1α (фактор, индуцируемый гипоксией) и нефрина в течение 8 нед у пациентов, получавших терапию противоопухолевыми анти-VEGF-препаратами. / Fig. 1. An increase in biomarkers of renal damage NGAL (Neutrophil Gelatinase-Associated Lipocalin), KIM-1 (Kidney Injury Molecule-1), HIF-1α (Hypoxia-Inducible Factor 1-alpha) and nephrin for 8 weeks in patients treated with antitumor anti-VEGF drugs.
Обнаружены корреляции между биомаркерами мочи и числом шистоцитов, тромбоцитов, активностью ЛДГ и содержанием D-димера, а также альбуминурией на 8-й неделе лечения (табл. 1). Однако если значимое повышение NGAL, KIM-1, нефрина в моче отмечается спустя 1 нед терапии, а HIF-1α – через 2 нед, то клинически значимые изменения активности ЛДГ, числа шистоцитов, тромбоцитов выявляются позднее, к 4-й неделе.
Таблица 1. Корреляционный анализ лабораторных и клинических показателей и уровня биомаркеров NGAL, KIM-1, HIF-1α, нефрина в моче к 8-й неделе терапии / Table 1. Correlation analysis of laboratory and clinical parameters and the level of biomarkers NGAL, KIM-1, HIF-1α , nephrin in urine by the 8th week of therapy
Гемоглобин | Шистоциты | Тромбоциты | ЛДГ | Альбуминурия | D-димер | |
NGAL | 0,121 | 0,003*, rho=0,416 | <0,001*, rho= -0,453 | 0,030*, rho=0,306 | 0,002*, rho=0,433 | 0,026*, rho=0,423 |
KIM-1 | 0,116 | 0,003*, rho=0,418 | <0,001*, rho= -0,452 | 0,030*, rho=0,304 | 0,002*, rho=0,432 | 0,028*, rho=0,414 |
HIF-1α | 0,131 | 0,002*, rho=0,435 | <0,001*, rho= -0,460 | 0,038*, rho=0,294 | 0,002*, rho=0,432 | 0,026*, rho=0,421 |
Нефрин | 0,120 | 0,003*, rho=0,418 | 0,001*, rho= -0,448 | 0,030*, rho=0,307 | 0,002*, rho=0,435 | 0,024*, rho=0,426 |
*Статистически значимые корреляции.
Примечание. rho – коэффициент ранговой корреляции Спирмена.
При выполнении ROC-анализа установлена достаточная информативность изученных биомаркеров, оцененных через 1 нед лечения, для прогнозирования нефротоксичности антиангиогенных препаратов (табл. 2). Отмечено, что появление мочевых биомаркеров в определенных концентрациях уже на 1-й неделе терапии позволяет предсказать снижение уровня рСКФ<60 мл/мин к 4-й неделе лечения.
Таблица 2. Данные ROC-анализа с целью определения прогностической информативности биомаркеров в снижении рСКФ к 4-й неделе терапии / Table 2. ROC analysis data to determine the prognostic value of biomarkers in reducing the estimated glomerular filtration rate by the 4th week of therapy
Cut-off | Se, % | Sp, % | PPV, % | NPV, % | AUC | Индекс Юдена | |
NGAL, нг/мл | 1,045 | 68,75 | 67,65 | 50,00 | 82,14 | 0,70 | 0,364 |
KIM-1, пг/мл | 54,068 | 68,75 | 61,76 | 45,83 | 80,77 | 0,69 | 0,305 |
HIF-1α, нг/мл | 6,0183×10-5 | 68,75 | 67,65 | 50,00 | 82,14 | 0,70 | 0,364 |
Нефрин, нг/мл | 0,184 | 68,75 | 67,65 | 50,00 | 82,14 | 0,70 | 0,364 |
Примечание. Cut-off – точка отсечения; Se – Sensitivity, чувствительность; Sp – Specificity, специфичность; PPV – Positive Predictive Value; предсказательная ценность положительного результата; NPV – Negative Predictive Value, предсказательная ценность отрицательного результата; AUC – Area Inder the Curve, площадь под кривой.
По данным логистического регрессионного анализа неблагоприятными прогностическими факторами ухудшения функции почек на фоне терапии оказались исходное снижение рСКФ<80 мл/мин, наличие в анамнезе АГ, повышение концентрации KIM-1 в моче в 1-ю неделю лечения и HIF-1α в моче через 2 нед от начала терапии. При этом риск нефротоксичности антиангиогенных препаратов оказался выше у пациентов при повышении KIM-1 в моче в 1-ю неделю [1,1 (95% доверительный интервал – ДИ 1,02–1,183)] и при повышении HIF-1α в моче на 2-й неделе лечения [5,6 (95% ДИ 3,601–8,949); p<0,05].
Обсуждение
Механизм противоопухолевого действия антиангиогенных препаратов основан на торможении процессов неоангиогенеза и уменьшении васкуляризации опухоли. В наше исследование вошли пациенты, получавшие терапию одним из трех внутривенных антиангиогенных препаратов – бевацизумабом, афлиберцептом и рамуцирумабом. Бевацизумаб относится к группе моноклональных антител, которые связываются с VEGF в плазме крови, а также ингибируют рецепторные сигнальные пути VEGFR1 и VEGFR2 [19, 20]. Афлиберцепт и рамуцирумаб подавляют неоангиогенез за счет связывания рецепторов VEGFR1 и VEGFR2 [19]. Нефротоксичность антиангиогенных препаратов проявляется АГ, протеинурией и снижением СКФ, которые обусловлены системной эндотелиальной дисфункцией, тромботической микроангиопатией (ТМА) и подоцитопатией [21–24].
Повышение артериального давления выше 130/80 мм рт. ст. через 8 нед лечения отмечено нами почти у 1/2 пациентов, что несколько выше, чем по данными литературы. Например, наиболее часто (42,4%) АГ вызывает афлиберцепт, другие препараты показывают меньшую частоту развития АГ: при лечении рамуцирумабом – 21%, бевацизумабом – 23,6% [21–23].
У 42% обследованных больных к 8-й неделе лечения мы установили снижение СКФ<60 мл/мин. По данным логистического регрессионного анализа степень снижения СКФ статистически значимо не зависела от применения конкретного антиангиогенного препарата. Несмотря на то, что противоопухолевые препараты назначали пациентам с исходно сохранной функцией почек, даже небольшое снижение рСКФ<80 мл/мин оказалось фактором риска ухудшения функции почек в процессе лечения. Другим фактором риска стало наличие АГ до начала терапии и отсутствие достижения целевых показателей в процессе лечения.
Среди механизмов, приводящих к снижению СКФ, выделяют развитие эндотелиальной дисфункции вследствие вазоконстрикции, снижение экскреции ионов натрия, сглаживание фенестров капилляров, что приводит к уменьшению внутрипочечного кровотока [22–24]. По данным нескольких исследований, в которых оценивали морфологические изменения при лечении анти-VEGF-препаратами [23], чаще всего выявляют ТМА микроциркуляторного русла почек [24]. В нашем исследовании мы не наблюдали случаев развития острой ТМА, однако постепенное снижение СКФ в сочетании со снижением концентрации гемоглобина, уменьшением числа тромбоцитов, повышением активности ЛДГ, увеличением числа шистоцитов и уровня D-димера указывает на активацию процессов микроангиопатического гемолиза, вероятно, связанного с прогрессирующей эндотелиальной дисфункцией и развитием микротромбозов локально в почечных сосудах.
Мы оценили в моче уровень факторов, которые могут отражать процессы острого и хронического почечного повреждения, в том числе вследствие ишемического повреждения почки – NGAL, KIM-1, HIF-1α и нефрина. NGAL (или липокалин 2) является наиболее изученным биомаркером острого почечного повреждения [13, 14]. В нашем исследовании уровень NGAL в моче значимо повышался уже через 1 нед после начала терапии и постепенно нарастал в динамике, в то время как показатель рСКФ оставался выше 60 мл/мин у большинства больных до 4-й недели лечения.
Мы также оценили содержание КIM-1 в моче в этой группе больных и обнаружили его раннее (на 1-й неделе) повышение, что тоже прогнозировало постепенное ухудшение функции почек через 4 нед терапии. KIM-1 представляет собой трансмембранный белок проксимальных канальцев, который в норме практически не выделяется с мочой [15, 16]. При ишемическом или прямом токсическом повреждении проксимальных канальцев экстрацеллюлярный домен KIM-1 отщепляется матриксными металлопротеиназами, и растворимая форма KIM-1 попадает в мочу [15].
В нашем исследовании отмечено значимое нарастание мочевого HIF-1α в течение 8 нед терапии. Этот фактор в логистическом регрессионном анализе продемонстрировал свое значение как биомаркер нефротоксичности. Повышение уровня HIF-1α в сыворотке выявляется и при хронической болезни почек, отражая потерю перитубулярных капилляров и гипоксию почечной ткани [17, 18]. Связь показателя HIF-1α с уровнем маркеров микроангиопатического гемолиза и СКФ предполагает значение хронической ишемии в развитии почечной дисфункции при лечении анти-VEGF-препаратами.
Среди обследованных нами пациентов наблюдалось нарастание нефринурии и тенденция к повышению альбуминурии, однако к 8-й неделе лечения не выявлено ни одного случая высокой протеинурии или нефротического синдрома. Возникновение протеинурии при лечении анти-VEGF-препаратами связывают с нарушением экспрессии нефрина. При применении анти-VEGF-препаратов происходит отщепление молекул нефрина от подоцита и разрушение щелевой диафрагмы с повышением проницаемости гломерулярного фильтра для белка [25].
Заключение
Повышение уровня биомаркеров NGAL, KIM-1, HIF-1α и нефрина в моче отражает процессы повреждения почечной ткани, эти маркеры имеют высокую чувствительность и специфичность для прогнозирования нефротоксичности анти-VEGF-препаратов. Независимыми факторами риска развития нефротоксичности являются исходное снижение СКФ и АГ до начала лечения, а также повышение концентрации в моче KIM-1 и HIF-1α в ранние сроки терапии.
Раскрытие интересов. Авторы декларируют отсутствие явных и потенциальных конфликтов интересов, связанных с публикацией настоящей статьи.
Disclosure of interest. The authors declare that they have no competing interests.
Вклад авторов. Авторы декларируют соответствие своего авторства международным критериям ICMJE.
Authors’ contribution. The authors declare the compliance of their authorship according to the international ICMJE criteria.
Источник финансирования. Результаты исследования получены в рамках научно-исследовательской работы, финансированной ГБУЗ «МКНЦ им. А.С. Логинова».
Funding source. The results of the study were obtained as part of a research project funded by Loginov Moscow Clinical Scientific Center, Moscow, Russia.
Соответствие принципам этики. Протокол исследования был одобрен локальным этическим комитетом ГБУЗ «МКНЦ им. А.С. Логинова» (протокол №2/2020 от 17.02.2020). Одобрение и процедуру проведения протокола получали по принципам Хельсинкской конвенции.
Ethics approval. The study was approved by the local ethics committee of Loginov Moscow Clinical Scientific Center, Protocol №2/2020, 17.02.2020. The approval and procedure for the protocol were obtained in accordance with the principles of the Helsinki Convention.
作者简介
Katerina Grechukhina
Lomonosov Moscow State University; Loginov Moscow Clinical Scientific Center
编辑信件的主要联系方式.
Email: dr.grechukhina@gmail.com
ORCID iD: 0000-0002-0616-5477
пирант каф. внутренних болезней, врач-онколог
俄罗斯联邦, Moscow; MoscowNatalia Chebotareva
Lomonosov Moscow State University; Sechenov First Moscow State Medical University (Sechenov University)
Email: dr.grechukhina@gmail.com
ORCID iD: 0000-0003-2128-8560
д-р мед. наук, проф., проф. каф. внутренних болезней, проф. каф. внутренних, профессиональных болезней и ревматологии Института клинической медицины им. Н.В. Склифосовского
俄罗斯联邦, Moscow; MoscowLiudmila Zhukova
Loginov Moscow Clinical Scientific Center
Email: dr.grechukhina@gmail.com
ORCID iD: 0000-0003-4848-6938
д-р мед. наук, проф., зам. дир. по онкологии
俄罗斯联邦, MoscowTatiana Androsova
Sechenov First Moscow State Medical University (Sechenov University)
Email: dr.grechukhina@gmail.com
ORCID iD: 0000-0002-9951-126X
канд. мед. наук, доц. каф. внутренних, профессиональных болезней и ревматологии Института клинической медицины им. Н.В. Склифосовского
俄罗斯联邦, MoscowVladimir Karpov
Sechenov First Moscow State Medical University (Sechenov University)
Email: dr.grechukhina@gmail.com
ORCID iD: 0000-0003-2048-3401
канд. мед. наук, доц. каф. внутренних, профессиональных болезней и ревматологии Института клинической медицины им. Н.В. Склифосовского
俄罗斯联邦, MoscowTatiana Krasnova
Lomonosov Moscow State University; Sechenov First Moscow State Medical University (Sechenov University)
Email: dr.grechukhina@gmail.com
ORCID iD: 0000-0002-7647-3942
канд. мед. наук, зав. каф. внутренних болезней, доц. каф. внутренних болезней
俄罗斯联邦, Moscow; Moscow参考
- Ferrara N, Gerber H, LeCouter J. The biology of VEGF and its receptors. Nat Med. 2003;9(6):669-76. doi: 10.1038/nm0603-669
- Zirlik K, Duyster J. Anti-Angiogenics: Current Situation and Future Perspectives. Oncol Res Treat. 2018;41(4):166-17. doi: 10.1159/000488087
- Pastorino A, Di Bartolomeo M, Maiello E, et al. Aflibercept Plus FOLFIRI in the Real-life Setting: Safety and Quality of Life Data From the Italian Patient Cohort of the Aflibercept Safety and Quality-of-Life Program Study. Clin Colorectal Cancer. 2018;17(3):e457-70. doi: 10.1016/j.clcc.2018.03.002
- Giantonio BJ, Catalano PJ, Meropol NJ, et al. Bevacizumab in Combination With Oxaliplatin, Fluorouracil, and Leucovorin (FOLFOX4) for Previously Treated Metastatic Colorectal Cancer: Results From the Eastern Cooperative Oncology Group Study E3200. J Clin Oncol. 2007;25(12):1539-44. doi: 10.1200/JCO.2006.09.6305
- Wang Z, Dabrosin C, Yin X, et al. Broad targeting of angiogenesis for cancer prevention and therapy. Semin Cancer Biol. 2015;35(Suppl.):S224-43. doi: 10.1016/j.semcancer.2015.01.001
- Mourad JJ, des Guetz G, Debbabi H, Levy BI. Blood pressure rise following angiogenesis inhibition by bevacizumab. A crucial role for microcirculation. Ann Oncol. 2008;19(5):927-34. doi: 10.1093/annonc/mdm550
- Qi WX, Shen Z, Tang LN, Yao Y. Risk of Hypertension in Cancer Patients Treated with Aflibercept: A Systematic Review and Meta-Analysis. Clin Drug Investig. 2014;34(4):231-40. doi: 10.1007/s40261-014-0174-5
- Touyz R, Herrmann S, Herrmann J. Vascular toxicities with VEGF inhibitor therapies – focus on hypertension and arterial thrombotic events. J Am Soc Hypertens. 2018;12(6):409-25. doi: 10.1016/j.jash.2018.03.008
- Toriu A, Sekine A, Mizuno H, et al. Renal-Limited Thrombotic Microangiopathy due to Bevacizumab Therapy for Metastatic Colorectal Cancer: A Case Report. Case Rep Oncol. 2019;12(2):391-400. doi: 10.1159/000500716
- Piscitani L, Sirolli V, Di Liberato L, et al. Nephrotoxicity Associated with Novel Anticancer Agents (Aflibercept, Dasatinib, Nivolumab): Case Series and Nephrological Considerations. Int J Mol Sci. 2020;21(14):4878. doi: 10.3390/ijms21144878
- Hanna RM, Tran NT, Patel SS, et al. Thrombotic Microangiopathy and Acute Kidney Injury Induced After Intravitreal Injection of Vascular Endothelial Growth Factor Inhibitors VEGF Blockade-Related TMA After Intravitreal Use. Front Med (Lausanne). 2020;7:579603. doi: 10.3389/fmed.2020.579603
- Morales E, Moliz C, Gutierrez E. Renal damage associated to intravitreal administration of ranibizumab. Nefrologia. 2017;37(6):653-5. doi: 10.1016/j.nefro.2016.10.011
- Florova B, Rajdl D, Racek J, et al. NGAL, albumin and cystatin C during cisplatin therapy. Physiol Res. 2020;69(2):307-17. doi: 10.33549/physiolres.934212
- Vaidya VS, Ford GM, Waikar SS, et al. A rapid urine test for early detection of kidney injury. Kidney Int. 2009;76(1):108-14. doi: 10.1038/ki.2009.96
- Vaidya VS, Ozer JS, Dieterle F, et al. Kidney Injury Molecule-1 Outperforms Traditional Biomarkers of Kidney Injury in Multi-site Preclinical Biomarker Qualification Studies. Nat Biotechnol. 2010;28(5):478-85. doi: 10.1038/nbt.1623
- Ghadrdan E, Ebrahimpour S, Sadighi S, et al. Evaluation of urinary neutrophil gelatinase-associated lipocalin and urinary kidney injury molecule-1 as biomarkers of renal function in cancer patients treated with cisplatin. J Oncol Pharm Pract. 2020;26(7):1643-9. doi: 10.1177/1078155220901756
- Shu S, Wang Y, Zheng M, et al. Hypoxia and Hypoxia-Inducible Factors in Kidney Injury and Repair. Cells. 2019;3(8):207. doi: 10.3390/cells8030207
- Ma C, Wei J, Zhan F, et al. Urinary hypoxia-inducible factor-1alpha levels are associated with histologic chronicity changes and renal function in patients with lupus nephritis. Yonsei Med J. 2012;53(3):587-92. doi: 10.3349/ymj.2012.53.3.587
- Niu G, Chen X. Vascular Endothelial Growth Factor as an Anti-angiogenic Target for Cancer Therapy. Curr Drug Targets. 2010;11(8):1000-17. doi: 10.2174/138945010791591395
- Kazazi-Hyseni F, Beijnen J, Schellens J. Bevacizumab. Oncologist. 2010;15(8):819-25. doi: 10.1634/theoncologist.2009-0317
- Maitland ML, Bakris GL, Black HR, et al. Initial assessment, surveillance, and management of blood pressure in patients receiving vascular endothelial growth factor signaling pathway inhibitors. J Natl Cancer Inst. 2010;102(9):596-604. doi: 10.1093/jnci/djq091
- Steeghs N, Hovens MM, Rabelink AJ, et al. VEGF-R2 blockade in patients with solid tumors: mechanisms of hypertension and effects on vascular function. J Clin Oncol. 2006;18(Suppl.):3037. doi: 10.1200/jco.2006.24.18_suppl.3037
- Hayman SR, Leung N, Grande JP, Garovic VD. VEGF inhibition, hypertension, and renal toxicity. Curr Oncol Rep. 2012;14(4):285-94. doi: 10.1007/s11912-012-0242-z
- Bollee G, Patey N, Cazajous G, et al. Thrombotic microangiopathy secondary to VEGF pathway inhibition by sunitinib. Nephrol Dial Transplant. 2009;24(2):682-5. doi: 10.1093/ndt/gfn657
- Hauser PV, Collino F, Bussolati B, Camussi G. Nephrin and endothelial injury. Curr Opin Nephrol Hypertens. 2009;18(1):3-8. doi: 10.1097/MNH.0b013e32831a4713
补充文件




