Anti-viral activity of enisamium iodide against viruses of influenza and ARVI’s on different cell lines
- Authors: Zarubaev V.V.1, Slita A.V.1, Sinegubova E.O.1, Muryleva A.A.1, Lavrentieva I.N.1
-
Affiliations:
- Saint Petersburg Pasteur Institute
- Issue: Vol 92, No 11 (2020)
- Pages: 45-50
- Section: Original articles
- Submitted: 25.12.2020
- Accepted: 25.12.2020
- Published: 15.11.2020
- URL: https://ter-arkhiv.ru/0040-3660/article/view/56929
- DOI: https://doi.org/10.26442/00403660.2020.11.000872
- ID: 56929
Cite item
Full Text
Abstract
Influenza and ARVI represent the most numerous and dangerous group of causative agents of respiratory infections human.
Aim. Characterization of the antiviral properties of enisamium iodide against human respiratory viruses in in vitro experiments.
Materials and methods. In the course of experiments, the cytotoxic properties of enisamium iodide were studied against the cell lines Vero, MA-104, A549, L-41 and HEp-2. The antiviral activity of enisamium iodide was studied using virus yield reduction assay against influenza viruses, parainfluenza virus, respiratory syncytial virus, Coxsackie B3 and Coxsackie B4 viruses, as well as adenoviruses types 5 and 6.
Results. The most sensitive to the action of enisamium iodide was the human parainfluenza virus, whose activity decreased by 2.3 orders of magnitude under the action of the drug in A549 cells. Of the cell cultures used, enisamium iodide exhibited the maximum antiviral effect in human lung carcinoma cells A549, where, in its presence, the level of reproduction of adenoviruses of types 5 and 6, Coxsackie viruses B3 and B4, and human parainfluenza virus decreased by an order of magnitude or more. The antiviral activity of enisamium iodide was least manifested in Vero cells.
Conclusion. According to the results of in vitro experiments, enisamium iodide can be considered as an antiviral drug with a wide spectrum of activity against human respiratory viruses.
Full Text
ОРВИ – острая респираторная вирусная инфекция
Введение
На долю гриппа и острой респираторной вирусной инфекции (ОРВИ) приходится около 90% всей инфекционной заболеваемости населения. Ежегодно только в России регистрируется от 27 до 41 млн случаев этих заболеваний. В эту группу патогенов помимо гриппа входят филогенетически далекие вирусы других семейств: корона-, адено-, пикорна- и парамиксовирусы, а также метапневмо- и бокавирусы, чья роль в развитии поражений респираторного тракта определена недавно [1].
Грипп представляет наиболее распространенную и опасную вирусную инфекцию. Основным способом ее контроля является вакцинация. Однако благодаря особенностям генома вирусы гриппа остаются высокоизменчивыми организмами. Это приводит к их способности ускользать от иммунного ответа организма, в том числе стимулированного вакцинами, и формировать лекарственно-устойчивые штаммы [2]. Благодаря антигенному дрейфу вирус гриппа способен вызывать ежегодные эпидемии, а благодаря реассортации фрагментов генома – пандемии, последняя из которых имела место в 2009 г. («свиной» грипп) [3].
Вирусы парагриппа вызывают у пациентов поражения верхних дыхательных путей. При этом наибольшая тяжесть заболевания отмечается у детей от полугода до 3 лет [4]. Проявления парагриппозной инфекции включают ларинготрахеобронхиты, бронхиолиты и пневмонии. Иногда вирусы парагриппа обусловливают развитие острого респираторного дистресс-синдрома, а также поражений других органов – сердца, почек, печени и нервной системы (рассеянный склероз и подострый склерозирующий панэнцефалит) [4].
Аденовирусы вызывают у людей респираторные заболевания, такие как ринит, тонзиллит, фарингит, бронхит и пневмонию. Аденовирусы подгрупп B, C и E вызывают до 8% респираторных заболеваний у детей [5]. Аденовирусы 4 и 7-го типов являются также причиной острых респираторных инфекций среди новобранцев [6, 7]. Аденовирусы характеризуются широким тканевым тропизмом и способны поражать самые разные органы и системы. Поэтому, в то время как аденовирусная инфекция протекает относительно легко у иммунокомпетентных пациентов, она представляет серьезную угрозу для людей с иммунодефицитами [8, 9], приводя в этом случае к тяжелым последствиям, вплоть до летального исхода [10, 11].
Наиболее ярко патогенный потенциал коронавирусов проявился в 2019–2020 гг. с развитием пандемии COVID-19, вызванной новым коронавирусом SARS-CoV-2. На сегодняшний день в мире зафиксировано более 48 млн случаев заболевания, при этом уровень смертности от него составляет около 6% (https://www.worldometers.info/coronavirus/). Как и пандемические штаммы вирусов гриппа, этот вирус новый для иммунной системы человека, вследствие чего коллективный иммунитет к нему отсутствует, и распространение его происходит практически бесконтрольно.
Учитывая высокую распространенность и тяжесть респираторных вирусных инфекций человека, а также вызванные этими заболеваниями огромные экономические потери, очевидно, что создание эффективных средств профилактики и лечения вирусных инфекций представляет актуальнейшую задачу для медицинской науки и практического здравоохранения. На сегодняшний день на фармацевтическом рынке максимально представлены специфические противовирусные препараты против гриппа – ингибиторы ионного канала M2 ремантадин и амантадин, ингибиторы нейраминидазы осельтамивир, занамивир, перамивир и ланинамивир, блокатор вирусного полимеразного комплекса балоксавира марбоксил, а также ингибитор вирусного гемагглютинина умифеновир. Тем не менее до настоящего времени не создано средств широкого спектра действия, способных кардинально предотвратить распространение ОРВИ, снизить летальность и экономические потери. В этой связи на первый план выходят методы неспецифической профилактики и терапии этих заболеваний, а также разработка новых противовирусных лекарственных средств.
Энисамия йодид – синтетическое производное изоникотиновой кислоты, препарат с прямым противовирусным действием (АТХ: J05AX), также обладающий противовоспалительными, жаропонижающими, интерфероногенными и иммуномодулирующими свойствами. В 2018 г. показана противогриппозная активность этого соединения [12].
Цель настоящего исследования – характеристика противовирусных свойств энисамия йодида в отношении респираторных вирусов человека в экспериментах in vitro.
Материалы и методы
Исследуемые препараты
В работе использовали субстанцию энисамия йодида, синтезированную ОАО «Авексима Сибирь». В качестве препарата сравнения применяли осельтамивира карбоксилат.
Вирусы и клетки
В исследовании использовали следующие вирусы из коллекции вирусных штаммов ФБУН «Санкт-Петербургский научно-исследовательский институт эпидемиологии и микробиологии им. Пастера»:
- вирус парагриппа человека 3-го типа;
- аденовирус человека 5-го типа;
- аденовирус человека 6-го типа;
- вирус Коксаки B3;
- вирус Коксаки B4;
- респираторно-синцитиальный вирус;
- вирус гриппа A/Aichi/2/68 (H3N2);
- вирус гриппа A/mallard/Pennsylvania/1984 (H5N2);
- вирус гриппа B/Florida/04/0 6 (Yamagata-like);
- вирус гриппа A/Puerto Rico/8/34 (H1N1);
- вирус гриппа A/California/07/09 (H1N1)pdm09;
- вирус гриппа A/Владивосток/2/09 (H1N1).
Вирусы накапливали в клетках пермиссивных линий: вирусы гриппа – в клетках MDCK, аденовирусы и вирусы Коксаки – в клетках Vero, респираторно-синцитиальный вирус и вирус парагриппа – в клетках MA-104. Использовали также клетки A549, L-41 и HEp-2.
Оценка цитотоксичности энисамия йодида
Клетки используемых линий рассевали в 96-луночные планшеты и инкубировали в течение 16–24 ч до формирования монослоя. Из энисамия йодида готовили серию трехкратных разведений (4–300 мкг/мл). В лунки планшетов вносили энисамия йодид в указанном диапазоне концентраций и инкубировали 24 или 72 ч при 36ºС в атмосфере 5% СО2. По истечении этого срока жизнеспособность клеток определяли при помощи метилтетразолиевого метода (МТТ). Для этого культуральную жидкость удаляли из лунок, клетки промывали средой MEM и в лунки планшетов добавляли по 100 мкл раствора (0,5 мг/мл) 3-(4,5-диметилтиазолил-2) 2,5-дифенилтетразолия бромида на среде для клеток. Клетки инкубировали при 36ºС в атмосфере 5% СО2 в течение 2 ч и промывали в течение 5 мин физиологическим раствором. Осадок растворяли в 100 мкл диметилсульфоксида на лунку, после чего оптическую плотность измеряли с помощью планшетного анализатора Multiscan FC (Thermo Scientific) при длине волны 540 нм. На основании полученных данных рассчитывали 50% цитотоксическую концентрацию (СС50), т.е. концентрацию соединения, снижающую оптическую плотность в лунках вдвое по сравнению с контрольными клетками без препаратов.
Оценка цитопротективной активности
энисамия йодида
Клетки пермиссивных линий сеяли на 96-луночные планшеты и инкубировали в течение 16–24 ч до формирования монослоя. Энисамия йодид вносили в диапазоне концентраций в лунки планшетов с монослоем клеток в объеме 0,1 мл. Планшеты с клетками инкубировали в атмосфере 5% CO2 при 36ºС в течение 1 ч. После этого в лунки вносили по 0,1 мл соответствующего вируса (m.o.i. 0,01) в среде альфа-МЕМ и инкубировали в течение 72 ч в атмосфере 5% CO2 при 36ºС. По истечении срока инкубации клетки промывали средой MEM и проводили анализ жизнеспособности клеток, как описано выше. На основании полученных данных рассчитывали значение 50% ингибирующей концентрации (IC50) – той концентрации соединения, которая приводила к 50% снижению цитодеструктивного действия вируса.
Изучение прямого противовирусного действия энисамия йодида
Клетки пермиссивных линий сеяли на 24-луночные планшеты и инкубировали в течение 16–24 ч до формирования монослоя. Энисамия йодид вносили в диапазоне концентраций в лунки планшетов с монослоем клеток в объеме 0,5 мл. Планшеты с клетками инкубировали в атмосфере 5% CO2 при 36ºС в течение 1 ч. После этого в лунки вносили по 0,5 мл соответствующего вируса (m.o.i. 0,01) в среде альфа-МЕМ и инкубировали в течение 1 ч. После этого жидкость из лунок отбирали, клетки промывали и вносили в лунки по 1 мл свежей среды с энисамия йодидом в соответствующих концентрациях. Планшеты инкубировали в атмосфере 5% CO2 при 36ºС в течение 48–120 ч в зависимости от вируса (табл. 1). Далее в культуральной жидкости определяли инфекционный титр вируса, как описано ниже.
Таблица 1. Длительность культивирования вирусов для оценки противовирусной активности энисамия йодида в клеточных линиях различного генеза | |||||
Вирус | Длительность культивирования вируса (ч) в клеточной линии | ||||
HEp-2 | L-41 | A549 | MA104 | Vero | |
Ad5 | 48 | 48 | 48 | 72 | 48 |
Ad6 | 48 | 72 | 48 | 72 | 48 |
CVB3 | 48 | 24 | 48 | 48 | 48 |
CVB4 | 48 | 48 | 48 | 72 | 48 |
HPIV | 48 | 48 | 48 | 48 | 48 |
RSV | 120 | 120 | 120 | 120 | 120 |
Титрование вирусов
Из вируссодержащего материала готовили серию десятикратных разведений на среде для культивирования клеток. Этими разведениями заражали клетки пермиссивной линии, рассеянные в 96-луночные планшеты. Планшеты инкубировали в атмосфере 5% CO2 при 36ºС в течение 72–120 ч в зависимости от вируса. По окончании инкубации визуально оценивали наличие цитопатогенного действия в лунках. Титр вируса рассчитывали по методу Рида и Менча и выражали в логарифмах числа 50% инфекционных доз.
Статистическая обработка результатов
Расчет значений 50% цитотоксической концентрации (CC50) и 50% эффективной концентрации (IC50) проводили при помощи пакета программ GraphPad Prism 6.01. За рабочую модель для анализа принимали 4-параметрическое уравнение логистической кривой (пункты меню «Нелинейная регрессия» – «логарифм ингибитора – ответ»). На основании полученных данных для каждого соединения и каждого вируса рассчитывали индекс селективности (SI) – отношение CC50 к IC50.
Результаты
Изучение цитотоксичности энисамия йодида
Оценка цитотоксических свойств энисамия йодида проведена в отношении клеточных линий MDCK, MA-104, L-41, HEp-2 и Vero при помощи метилтетразолиевого теста. Полученные данные суммированы в табл. 2.
Таблица 2. Цитотоксические свойства энисамия йодида в отношении разных клеточных линий | ||||||
Срок инкубации, ч | СС50, мкг/мл | |||||
MDCK | MA-104 | L-41 | HEp-2 | A549 | Vero | |
24 | >300 | >300 | 135 | >300 | >300 | >300 |
72 | >300 | >300 | 251 | 289 | 132 | >300 |
Как видно из представленных данных, клетки разных линий характеризовались разной чувствительностью к цитотоксическому действию энисамия йодида. Наибольшей чувствительностью обладали клетки L-41, для которых 50% гибель клеток в использованном диапазоне концентраций достигнута уже через 24 ч инкубации с препаратом. Линии A549 и HEp-2 обладали промежуточной чувствительностью, тогда как в линиях MDCK, MA-104 и Vero 50% цитотоксичность не отмечена даже при максимальной концентрации и максимальном сроке инкубации с энисамия йодидом.
Оценка противовирусного действия энисамия йодида
Противовирусная активность энисамия йодида против вирусов гриппа
Для оценки противовирусной активности энисамия йодида проведены тесты на его способность снижать инфекционную активность вирусов гриппа в культуре клеток. Для этого вирусы гриппа культивированы в клетках карциномы легкого человека A549 при m.o.i. 0,01, после чего инфекционный титр вирусного потомства определяли на пермиссивной культуре клеток MDCK. Результаты исследования суммированы в табл. 3 и для наглядности представлены на рис. 1 (см. на цветной вклейке).
Рис.1. Вирусингибирующие свойства энисамия йодида в отношении вирусов гриппа по результатам титрования вирусного потомства при культивировании в клетках А549
Примечание. PR – A/Puerto Rico/8/34 (H1N1), AI – A/Aichi/2/68 (H3N2), MD – A/mallard/Pennsylvania/1984 (H5N2), CL – A/California/07/09 (H1N1)pdm09, VL – A/Владивосток/2/09 (H1N1), FL – B/Florida/04/06.
Таблица 3. Противовирусные свойства энисамия йодида в опытах in vitro в отношении вирусов гриппа, культивируемых в клетках линии A549 | |||||||||
Вирус | Инфекционный титр вируса (lg TCID50/0,2 мл) при концентрации энисамия йодида, мкг/мл | IC50, мкг/мл | SI* | ||||||
300 | 100 | 33 | 11 | 4 | 1 | 0 (контроль вируса) | |||
A/Aichi/2/68 (H3N2) | 1,7±0,6 | 3,0±0,0 | 3,3±0,6 | 3,3±0,6 | 3,3±0,6 | 3,7±0,6 | 3,7±0,6 | 6,3 | >48 |
A/mallard/Pennsylvania/1984 (H5N2) | 2,0±0,0 | 2,3±0,6 | 3,7±0,6 | 3,7±0,6 | 4,0±0,0 | 4,0±0,0 | 4,0±0,0 | 20,5 | >15 |
B/Florida/04/06 | 1,0±0,0 | 2,0±0,0 | 2,0±1,0 | 2,3±0,6 | 2,7±0,6 | 2,7±0,6 | 2,7±0,6 | 9,2 | >32 |
A/Puerto Rico/8/34 (H1N1) | 1,3±0,6 | 1,7±0,6 | 1,7±0,6 | 2,3±0,6 | 2,7±0,6 | 3,7±0,6 | 4,0±0,0 | 3,7 | >81 |
A/California/07/09 (H1N1)pdm09 | 2,7±0,6 | 2,7±0,6 | 3,0±0,0 | 3,0±0,0 | 3,0±0,0 | 3,0±0,0 | 3,3±0,6 | 10 | >30 |
A/Владивосток/2/09 (H1N1) | 2,0±0,0 | 2,3±0,6 | 2,7±0,6 | 3,0±0,0 | 3,3±0,6 | 3,3±0,6 | 3,3±0,6 | 10,9 | >27 |
*Значения SI рассчитаны исходя из показателей CC50 (см. табл. 2). | |||||||||
Как видно из представленных данных, инфекционный титр вирусов составил 2,7–4,0 lg TCID50/0,2 мл. Использование энисамия йодида приводило к дозозависимому снижению инфекционного титра вируса. Значения 50% ингибирующей концентрации составили 3,7–20,5 мкг/мл, что обусловливало значения индекса селективности SI в диапазоне 15–81 в зависимости от использованного вируса [наиболее чувствительный – вирус A/Puerto Rico/8/34 (H1N1)].
Вирусингибирующие свойства энисамия йодида в отношении респираторных вирусов человека
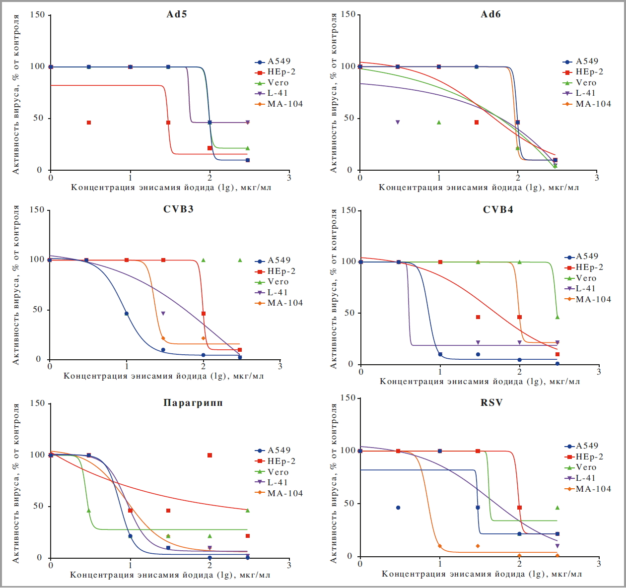
На следующей стадии исследования изучена вирусингибирующая активность энисамия йодида в отношении респираторных вирусов человека, культивируемых в клеточных линиях различного генеза. С этой целью вирусы культивировали в соответствующих клетках, материал отбирали в ранее определенные сроки после заражения, и инфекционную активность вирусного потомства определяли при помощи титрования на пермиссивных клетках. В качестве критериев эффективности для каждой линии клеток рассматривали значения IC50 и снижение титра вируса (ΔT) при максимальной концентрации энисамия йодида. Результаты исследования суммированы в табл. 4 и на рис. 2 (см. на цветной вклейке).
Рис. 2. Влияние энсамида йодида на репродукцию вирусов ОРВИ человека в клеточных линиях различного генеза
Таблица 4. Ингибирующие свойства энисамия йодида в отношении респираторных вирусов человека в клеточных линиях различного генеза | ||||||||||||
Кле- точная линия | Ad5 | Ad6 | CVB3 | CVB4 | HPIV | RSV | ||||||
IC50, мкг/мл | ΔT, lg TCID50/ 0.2 мл | IC50, мкг/мл | ΔT, lg TCID50/ 0,2 мл | IC50, мкг/мл | ΔT, lg TCID50/0,2 мл | IC50, мкг/мл | ΔT, lg TCID50/0,2 мл | IC50, мкг/мл | ΔT, lg TCID50/0,2 мл | IC50, мкг/мл | ΔT, lg TCID50/0,2 мл | |
A549 | 98 | 1,0 | 98 | 1,0 | 9 | 1,7 | 7 | 2,0 | 7 | 2,3 | 30 | 0,7 |
HEp-2 | 30 | 1,0 | 44 | 1,0 | 98 | 1,0 | 44 | 1,0 | >300 | 0,6 | 96 | 0,7 |
Vero | 96 | 0,7 | ≈79 | 0,7 | >300 | 0,0 | 284 | 0,3 | >300 | 0,3 | 41 | 0,4 |
L-41 | 55 | 0,3 | ≈79 | 0,3 | 150 | 0,6 | 4 | 0,7 | 9 | 1,7 | 44 | 1,0 |
MA-104 | 55 | 0,4 | 91 | 0,4 | 23 | 1,0 | 96 | 0,7 | 9 | 3,0 | 7 | 2,0 |
Как видно из приведенных результатов, противовирусная активность энисамия йодида существенно зависела как от клеточной линии, так и от использованного вируса. Из изученных вирусов наиболее чувствительным к действию энисамия йодида оказался вирус парагриппа человека, активность которого под действием препарата снижалась в клетках A549 на 2,3 порядка. Из использованных клеточных линий максимальный противовирусный эффект энисамия йодид проявлял в клетках карциномы легкого человека A549, где в его присутствии на порядок и больше снижался уровень репродукции аденовирусов 5 и 6-го типов, вирусов Коксаки B3 и B4 и вируса парагриппа человека. Таким образом, в клетках респираторного эпителия человека активность энисамия йодида оказалась наивысшей, в то время как в клетках других видов (Vero, MA-104) или другого тканевого происхождения (L-41, HEp-2) его вирусингибирующие свойства выражены намного слабее.
Обсуждение
Результаты многочисленных исследований свидетельствуют, что от конкретной клеточной линии часто зависят такие процессы, как взаимодействие вирусных белков с системой врожденного иммунитета и вирусингибирующие свойства природных и синтетических соединений. Поэтому используемые в опытах клетки часто оказывают решающее влияние на результаты эксперимента. Например, белок VP35 вируса Марбург эффективно блокировал активность протеинкиназы R в клетках почечного происхождения 293T, однако этот эффект не проявлялся в клетках глиобластомы U-251-MG [13]. Клеточный ответ на реовирусную инфекцию существенно различался в миоцитах и фибробластах сердечной мышцы: за счет различий в уровне экспрессии ряда сигнальных и рецепторных белков в миоцитах более выражена индукция β-интерферона, а в фибробластах – интерферонстимулированных генов [14].
Индукция цитокинов парамиксовирусами протекает по кардинально различным сценариям в зависимости от клеточной линии. В то время как в неиммунных клетках отмечается только распознавание вирусных паттернов (двуцепочечной РНК) и запуск противовирусного ответа через фактор RIG-I, клетки миелоидных линий используют как механизмы распознавания одноцепочечных РНК через рецепторы TLR7 и TLR8, так и механизмы распознавания двуцепочечных РНК, не зависящие от RIG-I, а задействующие TLR3 и активацию протеинкиназы R [15]. Сходная специфичность отмечена и в отношении другого респираторного патогена человека, метапневмовируса [16].
В отношении противовирусного действия химических соединений, в числе прочего, показано, что препараты против цитомегаловирусной инфекции ганцикловир и марибавир эффективнее подавляли репродукцию вируса в культуре фибробластов, чем в культуре эпителиальных клеток [17]. Противовирусная активность бреквинара, ингибитора синтеза пиримидинов, в отношении неродственных вирусов – вируса везикулярного стоматита и вируса венесуэльского энцефалита лошадей – существенно различалась среди клеток разных линий человеческого происхождения. Более того, различие в активности в клетках мыши и человека составляло почти два порядка: в клетках человеческих линий препарат проявлял меньшие значениях IC50 и, соответственно, большую активность [18].
Противовирусная активность энисамия йодида ранее продемонстрирована на модели гриппозной инфекции у хорьков и в клеточной культуре при инфицировании первичной культуры клеток бронхиального эпителия человека [19]. При этом в клетках MDCK, традиционно используемой как пермиссивная линия для роста вирусов гриппа и поиска этиотропных противогриппозных препаратов, энисамия йодид активности не имеет [12]. Это обусловлено различной проницаемостью клеток разных линий для молекул препарата [20] и проявляется в различной его противовирусной активности. Известно, что применение энисамия йодида ограничивает вирусную репродукцию на ранних стадиях вирусного цикла, однако выяснение мишени и механизма действия препарата требует дальнейших исследований.
В нашем исследовании проведена оценка активности цитотоксических и противовирусных свойств энисамия йодида в отношении респираторных вирусов человека (грипп A различных подтипов, грипп B, вирус парагриппа, вирусы Коксаки B3 и B4, аденовирусы 5 и 6-го типов, респираторно-синцитиальный вирус) в клеточных линиях различного генеза (A549, L-41, Vero, HEp-2, MA-104). Из использованных клеточных культур максимальный противовирусный эффект энисамия йодид проявлял в клетках карциномы легкого человека A549, где в его присутствии на порядок и больше снижался уровень репродукции аденовирусов 5 и 6-го типов, вирусов Коксаки B3 и B4 и вируса парагриппа человека. В наименьшей же степени противовирусная активность энисамия йодида проявлялась в клетках Vero.
Механизмы подобной селективности требуют дополнительного изучения. Основываясь на приведенных примерах, можно предполагать, что она вызвана различным характером метаболизма в разных клетках, видоспецифичностью или разной степенью биодоступности энисамия йодида в разных клетках. Следует также учитывать следующее обстоятельство: клеточная линия Vero является дефектной по генам интерферона, а именно – делецией гена IFNB1 [21, 22]. Вследствие этого в ней не могут быть в полной степени реализованы реакции неспецифического (врожденного) иммунитета, такие как индукция интерферона, последующее связывание его с рецептором и дальнейшая активация интерферонстимулированных генов, запускающих противовирусный ответ клеток. Из полученных в настоящей работе данных видно, что в тех клеточных линиях, которые обладают полноценной системой интерферонового ответа, противовирусные свойства энисамия йодида проявляются сильнее, чем в клетках Vero, где способность к нему отсутствует. Исходя из этого можно предположить, что помимо прямого противовирусного действия активность энисамия йодида в определенной степени обусловлена активацией системы врожденного иммунитета в ответ на вирусную инфекцию.
Заключение
С точки зрения практического применения препарата особенно важно подчеркнуть, что из использованных шести клеточных линий различного генеза ингибирующая активность энисамия йодида против респираторных вирусов человека в наибольшей степени проявилась в клетках A549, имеющих как раз легочное происхождение, т.е. линии, максимально приближенной к естественной мишени этих вирусов. Полученные данные служат основанием для применения этого соединения в качестве профилактического и/или лечебного средства против гриппа и ОРВИ.
Конфликт интересов: Исследование проведено при финансовой поддержке ОАО «Авексима».
About the authors
V. V. Zarubaev
Saint Petersburg Pasteur Institute
Author for correspondence.
Email: zarubaev@gmail.com
ORCID iD: 0000-0002-5224-3771
д.б.н., ст. науч. сотр. лаб. экспериментальной вирусологии
Russian Federation, Saint PetersburgA. V. Slita
Saint Petersburg Pasteur Institute
Email: zarubaev@gmail.com
ORCID iD: 0000-0001-8229-0715
д.б.н., ст. науч. сотр. лаб. экспериментальной вирусологии
Russian Federation, Saint PetersburgE. O. Sinegubova
Saint Petersburg Pasteur Institute
Email: zarubaev@gmail.com
ORCID iD: 0000-0001-9490-2280
мл. науч. сотр. лаб. экспериментальной вирусологии
Russian Federation, Saint PetersburgA. A. Muryleva
Saint Petersburg Pasteur Institute
Email: zarubaev@gmail.com
мл. науч. сотр. лаб. экспериментальной вирусологии
Russian Federation, Saint PetersburgI. N. Lavrentieva
Saint Petersburg Pasteur Institute
Email: zarubaev@gmail.com
зав. лаб. экспериментальной вирусологии
Russian Federation, Saint PetersburgReferences
- Ruuskanen O, Meurman O, Sarkkinen H. Adenoviral diseases in children: a study of 105 cases. Pediatrics. 1985;76:79-83.
- Samson M, Pizzorno A, Abed Y, Boivin G. Influenza virus resistance to neuraminidase inhibitors. Antiviral Res. 2013;98:174-85. doi: 10.1016/j.antiviral.2013.03.014
- Steel J, Lowen AC. Influenza A virus reassortment. Curr Top Microbiol Immunol. 2014;385:377-401. doi: 10.1007/82_2014_395
- Henrickson, KJ. Parainfluenza viruses. Clin Microbiol Rev. 2003;16:242-64.
- Ruuskanen O, Lahti E, Jennings LC, Murdoch DR. Viral pneumonia. Lancet. 2011;377:1264-75.
- Wadell G. Molecular epidemiology of human adenoviruses. Curr Top Microbiol. Immunol. 1984;110:191-220.
- Erdman DD, Xu W, Gerber SI, et al. Molecular epidemiology of adenovirus type 7 in the United States, 1966–2000. Emerg Infect Dis. 2002;8:269-77.
- Munoz FM, Piedra PA, Demmler GJ. Disseminated adenovirus disease in immunocompromised and immunocompetent children. Clin Infect Dis. 1997;27:1197-200.
- Azbug MJ, Levin MJ. Neonatal adenovirus infection: four patients and review of the literature. Pediatrics. 1991;87:890-6.
- Rosario RF, Kimbrough RC, Van Buren DH, Laski ME. Fatal adenovirus serotype-5 in a deceased-donor renal transplant recipient. Transpl Infect Dis. 2006;8(1):54-7.
- Abarca VK, Le Corre PN, Perret PC, et al. Disseminated and fatal adenovirus infection in an immunocompromised child. Rev Chilena Infectol. 2008;25(2):127-32.
- Boltz D, Peng X, Muzzio M, et al. Activity of enisamium, an isonicotinic acid derivative, against influenza viruses in differentiated normal human bronchial epithelial cells. Antivir Chem Chemother. 2018;26:2040206618811416. doi: 10.1177/2040206618811416
- Hume A, Mühlberger E. Marburg Virus Viral Protein 35 Inhibits Protein Kinase R Activation in a Cell Type-Specific Manner J Infect Dis. 2018;218(Suppl_5):S403-S408. doi: 10.1093/infdis/jiy473
- Zurney J, Howard KE, Sherry B. Basal expression levels of IFNAR and Jak-STAT components are determinants of cell-type-specific differences in cardiac antiviral responses. J Virol. 2007;81(24):13668-80. doi: 10.1128/JVI.01172-07
- Melchjorsen J, Jensen SB, Malmgaard L, et al. Activation of innate defense against a paramyxovirus is mediated by RIG-I and TLR7 and TLR8 in a cell-type-specific manner. J Virol. 2005;79(20):12944-51. doi: 10.1128/JVI.79.20.12944-12951.2005
- Goutagny N, Jiang Z, Tian J, et al. Cell type-specific recognition of human metapneumoviruses (HMPVs) by retinoic acid-inducible gene I (RIG-I) and TLR7 and viral interference of RIG-I ligand recognition by HMPV-B1 phosphoprotein. J Immunol. 2010;184(3):1168-79. doi: 10.4049/jimmunol.0902750
- Mesa B. The Effect of Cell Type on the Efficacy of CMV Antiviral Drugs. Virginia Commonwealth University, 2008.
- Chung D. The Establishment of an Antiviral State by Pyrimidine Synthesis Inhibitor is Cell Type-Specific. J Antimicrob Agents. 2015;1(1):101.
- Cocking D, Cinatl J, Boltz DA, et al. Antiviral effect of a derivative of isonicotinic acid enisamium iodide (FAV00A) against influenza virus. Acta Virol. 2018;62(2):191-5. doi: 10.4149/av_2018_211
- Haltner-Ukomadu E, Gureyeva S, Burmaka O, et al. In Vitro Bioavailability Study of an Antiviral Compound Enisamium Iodide. Sci Pharm. 2018;86(1):3. doi: 10.3390/scipharm86010003
- Mosca JD, Pitha PM. Transcriptional and posttranscriptional regulation of exogenous human beta interferon gene in simian cells defective in interferon synthesis. Mol Cell Biol. 1986 Jun;6(6):2279-83. doi: 10.1128/mcb.6.6.2279
- Emeny JM, Morgan MJ. Regulation of the interferon system: evidence that Vero cells have a genetic defect in interferon production. J Gen Virol. 1979;43(1):247-52. doi: 10.1099/0022-1317-43-1-247
Supplementary files






