Comparative capabilities of the speckle-tracking echocardiography technologiesin two-dimensional and three-dimensional modes in the detection of subclinical cardiotoxicity in patients with breast cancer
- Authors: Saidova M.A.1, Avalyan A.A.1, Oshchepkova E.V.1, Shitov V.N.1, Chazova I.E.1
-
Affiliations:
- National Medical Research Center of Cardiology
- Issue: Vol 92, No 12 (2020)
- Pages: 142-147
- Section: Articles
- Submitted: 07.02.2021
- Accepted: 07.02.2021
- Published: 15.12.2020
- URL: https://ter-arkhiv.ru/0040-3660/article/view/60279
- DOI: https://doi.org/10.26442/00403660.2020.12.200431
- ID: 60279
Cite item
Full Text
Abstract
Aim. The study was to assess the deformation properties of the left ventricle (LV) myocardium in patients with breast cancer initially and after anthracycline chemotherapy according to 2D and 3D speckle-tracking echocardiography (STE).
Material and methods. the study included 99 patients with triple negative breast cancer with hypertensionandnormotension. All patients underwent standard transthoracic echocardiography with assessment of systolic function of the LV. To assess the indicator of global longitudinal strain (GLS), as a marker of cardiotoxicity, STE was used in two-and three-dimensional modes. In the three-dimensional STE mode, a new strain parameter, the global area strain (GAS) was evaluated.
Results. The study showed that in patients with breast cancer for a more accurate assessment of LV systolic function (ejection fraction) it is advisable to use 3D-echocardiography. A comparative analysis revealed statistically significantly lower values of the GLS according to the three-dimensional mode of STE compared to two-dimensional. The study also evaluated a new strain parameter – GAS (%). In patients with breast cancer during ROC analysis with a value of ³≥-14.0, the GAS indicator for the development of subclinical cardiotoxicity showed a sensitivity of 81.5% and a specificity of 73.3%.
Сonclusion. the advantage of the STE in the three-dimensional mode, in contrast to the two-dimensional mode, is the simultaneous and more accurate assessment of LVEF. The value of the additional parameter of LV deformation – the area of deformation requires further study.
Full Text
АГ – артериальная гипертония
ДИ – доверительный интервал
ЛЖ – левый желудочек
РМЖ – рак молочной железы
ССС – сердечно-сосудистая система
СТЭ – спекл-трекинг-эхокардиография
ФВ ЛЖ – фракция выброса ЛЖ
ХТ – химиотерапия
ЭхоКГ – эхокардиография
2D-СТЭ – двумерный режим СТЭ
2D-ЭхоКГ – двумерная ЭхоКГ
3D-СТЭ – трехмерный режим СТЭ
3D-ЭхоКГ – трехмерная ЭхоКГ
GLS – глобальная продольная деформация
GAS (Global Area Strain) – площадь глобальной деформации
Введение
Сердечно-сосудистые и онкологические заболевания являются лидирующими причинами заболеваемости и смертности населения во многих странах мира [1]. Химиотерапия (ХТ) в сочетании с лучевой терапией и оперативным вмешательством улучшает выживаемость больных раком [2]. Вместе с тем ХТ оказывает неблагоприятное воздействие, в первую очередь на сердечно-сосудистую систему (ССС). Развитие этих неблагоприятных эффектов на ССС, проявляющихся в виде развития новых случаев или обострения ранее существующих сердечно-сосудистых заболеваний, обозначается кардиотоксичностью (собирательный термин), что, в свою очередь, нивелирует положительные результаты противоопухолевого лечения и ухудшает прогноз онкологических больных. Кардиотоксичность может варьировать от субклинической дисфункции миокарда левого желудочка (ЛЖ) до тяжелой сердечной недостаточности с фатальным исходом. Период субклинического поражения миокарда ЛЖ может не проявляться симптомами сердечной недостаточности и не выявляться стандартным методом эхокардиографии (ЭхоКГ). Одними из наиболее кардиотоксичных химиопрепаратов являются антрациклиновые антибиотики, вызывающие необратимое повреждение кардиомиоцитов с развитием апоптоза [3].
Общепринятым методом оценки структурно-функционального состояния сердца является ЭхоКГ. В клинической практике для выявления кардиотоксичности используется определение фракции выброса ЛЖ (ФВ ЛЖ) по данным двумерной ЭхоКГ (2D-ЭхоКГ). Показано, что показатель ФВ ЛЖ не является достаточно чувствительным в выявлении субклинической кардиотоксичности [4]. В последние годы предлагаются новые методы визуализации миокарда, позволяющие выявлять ранние признаки его поражения при ХТ. Одним из таких методов является технология спекл-трекинг-ЭхоКГ (СТЭ) с помощью которой оцениваются деформационные свойства миокарда ЛЖ [5]. Метод основан на анализе движения черных или белых пятен (speckle) на стандартном ЭхоКГ-изображении в течение сердечного цикла с помощью специального программного обеспечения. Качество визуализации обеспечивается высокой частотой смены кадров (50–100 кадр/с) [5]. В последние годы технология СТЭ может использоваться не только в двумерном, но и в трехмерном режиме сканирования. На сегодняшний день у онкологических больных наиболее изученным показателем является индекс глобальной продольной деформации (GLS) по данным двумерного режима СТЭ (2D-СТЭ). Показатель GLS зависит от возраста, пола больных, используемого ЭхоКГ-прибора [5–7]. Вместе с тем на основании ряда работ, выполненных у здоровых добровольцев, определены средние значения этого показателя, составляющие ≤-20,0% [5, 8]. Согласно отечественным и европейским рекомендациям диагностическим критерием развития субклинической кардиотоксичности считается снижение показателя GLS (по данным 2D-СТЭ) от исходного уровня ≥15% [8, 9]. В январе 2020 г. опубликованы согласованные рекомендации ряда международных кардиоонкологических обществ, подытоживших опыт исследований, проведенных в 2015–2018 гг., в которых диагностическим критерием развития кардиотоксичности рекомендуется считать снижение GLS≥12% по данным 2D-СТЭ [2].
Возможности метода СТЭ в трехмерном режиме в выявлении кардиотоксичности на ранних стадиях мало изучены. Имеющиеся единичные работы показывают, что, в отличие от двумерного, трехмерный режим позволяет проводить одновременную оценку всех параметров деформации ЛЖ, что значительно упрощает процедуру анализа [10]. Кроме того, с помощью данной технологии можно определять новый параметр деформации – площадь глобальной деформации (Global Area Strain – GAS) [11, 12]. Предполагается, что 3D-СТЭ позволит более полно оценить состояние миокарда ЛЖ у больных раком молочной железы (РМЖ) при проведении ХТ [11, 12].
Цель исследования – оценка деформационных свойств миокарда ЛЖ у больных РМЖ исходно и после антрациклинсодержащей ХТ по данным 2D- и 3D-СТЭ.
Материалы и методы
В исследование включены 99 больных тройным негативным РМЖ (тип HER2) среднего возраста 48,7±0,8 года.
Постановка диагноза РМЖ, назначение противоопухолевых препаратов и наблюдение за этими больными проводились в ФГБУ «НМИЦ онкологии им. Н.Н. Блохина». Состояние ССС больных РМЖ до и после проведения всех 8 курсов ХТ обследовали в клинике НИИ клинической кардиологии им. А.Л. Мясникова ФГБУ «НМИЦ кардиологии».
Критерии исключения из исследования: клинически значимые нарушение функции почек (креатинин крови >130 ммоль/л, протеинурия); нарушение функции печени (↑ аспартатаминотрансферазы, аланинаминотрансферазы более чем в 3 раза от верхней границы нормы).
Все больные получали комбинированную ХТ, включающую доксорубицин (антрациклины), паклитаксел (таксаны) и цисплатин (производные платины).
Сравнительный анализ изучаемых параметров: ФВ ЛЖ (по данным 2D- и трехмерной ЭхоКГ – 3D-ЭхоКГ), GLS (по данным 2D- и 3D-СТЭ) и GAS (по данным 3D-СТЭ) проводился до и после восьминедельного лечения комбинированной ХТ в 2 группах больных РМЖ в зависимости от наличия или отсутствия артериальной гипертонии (АГ). Разделение больных РМЖ на эти подгруппы обусловлено тем, что АГ, как установили в ряде исследований, является фактором риска развития кардиотоксичности [2, 9]. В группу 1 включены 29 больных АГ, которым назначена или скорректирована антигипертензивная терапия; в группу 2 включены 70 больных, у которых нет указаний на наличие АГ в анамнезе и при осмотре определялся нормальный уровень АД.
Трансторакальная ЭхоКГ проводилась на ультразвуковом аппарате Vivid E9 (GE Healthcare, США) с использованием матричного секторного фазированного датчика M5S для регистрации изображений в 2D-режиме и датчика 4V-D – в 3D-режиме.
Для оценки систолической функции миокарда ЛЖ определялась ФВ ЛЖ из апикальной позиции в режиме четырех и двух камер (метод Simpson’s Biplane).
GLS миокарда ЛЖ в 2D-СТЭ проводилась из апикальной позиции в четырех-, двух- и трехкамерном сечениях. Далее выполнялся количественный анализ изучаемых показателей при обработке изображений на рабочей станции EchoPacPC с использованием программы 2D Strain. Так как работа выполнена в период 2016–2019 гг., за диагностический критерий кардиотоксичности принимали снижение показателя от исходного уровня ≥15%. За нормальные показатели GLS принимались значения -20% [5, 6, 8].
Для оценки показателей GLS и GAS выполнялась регистрация трехмерных изображений с использованием матричного датчика 4V-D с частотой 25–50 кадр/с из апикальной четырехкамерной позиции с задержкой дыхания на выдохе. Далее проводился количественный анализ трехмерных изображений на рабочей станции EchoPac PC (GE Healthcare, США) с использованием программы 4D AutoLVQ. За диагностический критерий кардиотоксичности принимали снижение показателя GLS от исходного уровня ≥15%.
Статистический анализ данных
Статистическая обработка данных проводилась с помощью пакета программ Statistica, версия 10 (StatSoft, США) и Medcalc, версия 5,0. Для параметров, имеющих нормальное распределение, результаты представлены как М±Std, для параметров, имеющих распределение, отличное от нормального, – в виде медианы с 25 и 75 процентилями (нижний и верхний квартили). Статистически значимыми считались различия при p<0,05. При нормальном распределении между собой данные сравнивались с помощью критерия Стьюдента. Если выборки не соответствовали нормальному распределению, использовали U-тест по методу Манна–Уитни (между группами) и критерий Вилкоксона (внутри группы).
Оценка корреляционных связей между парами количественных признаков осуществлялась с использованием непараметрического рангового коэффициента Спирмена. Для оценки диагностической значимости ЭхоКГ-параметров как маркеров субклинической кардиотоксичности применялся ROC-анализ. В качестве критерия диагностической значимости рассчитывали площадь под ROC-кривой, чувствительность и специфичность разделяющего значения.
Результаты
У больных РМЖ с АГ и нормотензией показатели систолической функции миокарда ЛЖ по данным как 2D-, так и 3D-ЭхоКГ исходно находились в пределах нормальных значений (табл. 1). После ХТ только у 8 (7,0%) больных РМЖ зарегистрировано снижение ФВ ЛЖ >10% от исходного уровня и составляло в среднем 52,8±0,5%. Эти показатели находились в пределах нормальных значений систолической функции ЛЖ.
Таблица 1. Оценка систолической функции ЛЖ по показателю ФВ ЛЖ (по данным 2D- и 3D-ЭхоКГ) у больных РМЖ с АГ и нормотензией | ||||||||
Показатель | Больные РМЖ с АГ | Больные РМЖ с нормотензией | Значение, р | |||||
до ХТ | после ХТ | до ХТ | после ХТ | р1–2 | р3–4 | p1–3 | р2–4 | |
1 | 2 | 3 | 4 | |||||
ФВ ЛЖ, % (2D) | <0,05 | <0,05 | 0,2 | 0,3 | ||||
ФВ ЛЖ, % (3D) | <0,05 | <0,05 | 0,3 | <0,05 | ||||
Здесь и далее на рис. 3 и в табл. 3: данные представлены в виде медианы (нижний квартиль; верхний квартиль). | ||||||||
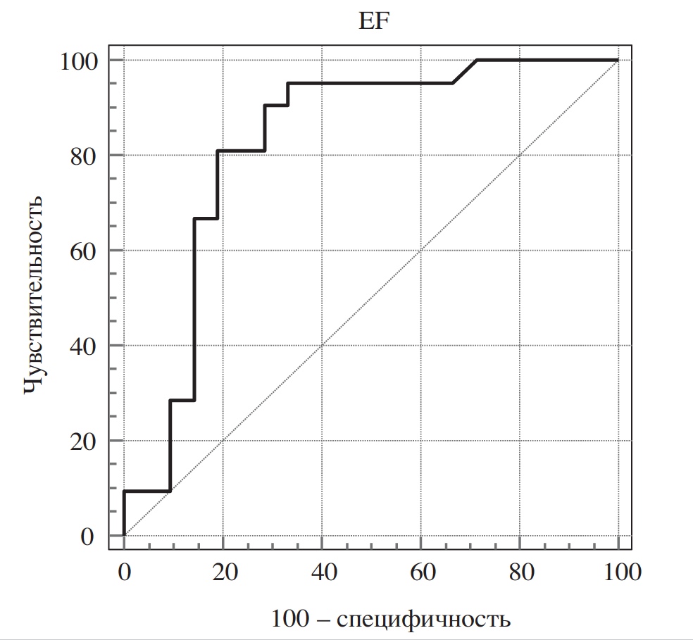
В трехмерном режиме получены статистически значимо более низкие значения ФВ ЛЖ, чем при 2D-ЭхоКГ. Проведенный ROC-анализ у больных РМЖ в отношении выявления кардиотоксичности показал более высокую чувствительность ФВ ЛЖ в трехмерном режиме (81,0%) по сравнению с 2D-ЭхоКГ (43,2%) при сопоставимых значениях специфичности (табл. 2; рис. 1, 2).
Рис. 1. Диагностическая значимость показателя ФВ ЛЖ по данным 2D-ЭхоКГ как маркера кардиотоксичности у больных РМЖ.
Рис. 2. Диагностическая значимость показателя ФВ ЛЖ по данным 3D-ЭхоКГ как маркера кардиотоксичности у больных РМЖ
Таблица 2. Диагностическая ценность ФВ ЛЖ по данным 2D- и 3D-ЭхоКГ в отношении кардиотоксичности | |||||
Показатель | Отрезное значение | Чувствительность, % | Специфичность, % | Площадь под кривой | 95% ДИ |
ФВ ЛЖ (2 D) | ≤58,2 | 43,2 | 79,3 | 0,63 | 0,528–0,730 |
ФВ ЛЖ (3 D) | ≤56,7 | 81,0 | 80,0 | 0,82 | 0,676–0,924 |
При оценке GLS ЛЖ (%) по данным 2D-СТЭ выявили, что показатель GLS исходно у больных РМЖ с АГ статистически значимо ниже нормальных значений и составил -18,0% [-20,9; -16,9], а также ниже показателя GLS, определяемого у больных РМЖ с нормотензией (-20,6 % [-22,4; -19,1]). После ХТ у всех больных РМЖ отмечали статистически значимое снижение GLS ЛЖ, более выраженное у больных РМЖ с АГ: -14,9% [-17,9; -12,8] против -18,3% [-20,0; -17,2]; рис. 3.
Рис. 3. Показатели GLS у больных РМЖ с АГ и нормотензией до и после ХТ. Здесь и далее в табл. 3: *p<0,05.
Диагностическое снижение GLS≥15% от исходного уровня выявили у 41,4% (n=12) больных РМЖ с АГ и у 24,3% (n=17) больных с нормотензией. Снижение ≥12% (критерий кардиотоксичности 2020 г.) от исходного уровня отмечался у 51,7% (n=15) больных АГ и у 37,1% (n=26) – с нормотензией (рис. 4, см. на цветной вклейке). Следует подчеркнуть, что у всех больных РМЖ в процессе лечения ХТ развилась анемия, более выраженная у больных с диагностическим снижением GLS.
Рис. 4. Применение метода СТЭ в двумерном режиме у больной РМЖ с АГ до и после XT. Презентация в виде «бычьего глаза».
Для определения чувствительности и специфичности показателя GLS в 2D-СТЭ как маркера развития субклинической кардиотоксичности у больных РМЖ проведен ROC-анализ. При пороговом значении показателя GLS≥-16,5% чувствительность метода составила 85,2% и специфичность − 88,2% (площадь под кривой составила 0,87; 95% доверительный интервал – ДИ 0,743–0,956; р<0,05); рис. 5.
Рис. 5. Диагностическая значимость показателя GLS как маркера кардиотоксичности у больных РМЖ.
На рис. 4 представлено кардиотоксическое воздействие ХТ в виде диагностического снижения показателя GLS (изменение цветового и числового значений деформации миокарда ЛЖ).
На следующем этапе работы проведена оценка показателей деформации по данным современной технологии 3D-СТЭ. У больных РМЖ в трехмерном режиме показатель GLS ниже аналогичного показателя по данным двумерного режима (рис. 6, 7).
Рис. 6. Сравнение СТЭ по показателю GLS у больных РМЖ с АГ исходно и после ХТ.
Рис. 7. Сравнение СТЭ по показателю GLS у больных РМЖ с нормотензией исходно и после ХТ.
У больных РМЖ с АГ как в 2D-, так и в 3D-СТЭ GLS ЛЖ исходно ниже аналогичного параметра у больных РМЖ с нормотензией (табл. 3). Как уже сказано, по данным 2D-СТЭ для показателя GLS разработаны диагностические критерии развития субклинической кардиотоксичности, в то время как для 3D-СТЭ на сегодняшний день таких критериев нет. Это связано с новизной метода и недостаточно накопленным материалом. В данном исследовании для оценки показателя GLS в трехмерном режиме применены те же диагностические критерии, которые используются в двумерном режиме. Так, снижение GLS (3D-СТЭ) ≥15% от исходного уровня отмечали у 45,0% (9/20) больных АГ и у 48,1% (13/27) с нормотензией, а ≥12% (новый диагностический критерий) от исходного уровня – у 55,0% (11/20) больных РМЖ с АГ и у 59,2% (n=16/27) больных с нормотензией.
Изучение нового показателя – GAS (%), – отражающего суммарную деформацию всех слоев миокарда каждого сегмента ЛЖ, по данным 3D-СТЭ показало следующее. У больных РМЖ с АГ исходно регистрировались статистически значимо более низкие его значения, чем у больных с нормотензией (p<0,05). После ХТ степень снижения показателя GAS также более выражена у больных РМЖ с АГ (см. табл. 3).
Таблица 3. Деформационные свойства ЛЖ по данным 3D-СТЭ у больных РМЖ с АГ и нормотензией исходно и после антрациклинсодержащей ХТ | ||||||||
Показатель | Больные РМЖ с АГ (n=20) | Больные РМЖ с нормотензией (n=27) | Значение, р | |||||
до ХТ | после ХТ | до ХТ | после ХТ | p1–2 | p3–4 | p1–3 | p2–4 | |
1 | 2 | 3 | 4 | |||||
GLS, % | -9,0 [-10,5; -7,0] | -6,0 [-7,5; -5,0] | -13,5 [-15,0; -12,0] | -10,0 [-12,0; -7,0] | <0,001 | <0,001 | <0,001 | <0,001 |
GAS, % | -16,0 [-18,0; -14,0] | -12,0 [-14,5; -10,5] | -24,0 [-25,0; -20,0] | -17,0 [-20,0; -14,0] | <0,001 | <0,001 | <0,001 | <0,001 |
При проведении корреляционного анализа между показателем GLS в 2D-СТЭ с показателями GAS и GLS в трехмерном режиме у больных РМЖ с АГ и нормотензией отмечалась статистически значимая положительная корреляционная связь (табл. 4).
Таблица 4. Корреляционные связи показателя GLS в 2D-СТЭ с показателями деформации в 3D-СТЭ у больных РМЖ с АГ и нормотензией после ХТ | ||||
GLS в 2D-СТЭ | ||||
больные РМЖ с АГ | больные РМЖ с нормотензией | |||
r | р | r | р | |
GLS (3D-СТЭ) | 0,57 | <0,05 | 0,61 | <0,05 |
GAS (3D-СТЭ) | 0,57 | <0,05 | 0,62 | <0,05 |
Примечание. Корреляционный анализ Spearman rank R. | ||||
Оценка показателя GAS по данным 3D-СТЭ как маркера субклинической кардиотоксичности по данным ROC-анализа показала чувствительность, равную 81,5%, и специфичность − 73,3% (площадь под кривой 0,78; 95% ДИ 0,624–0,892; р<0,05) при значении GAS≥-14,0 (рис. 8).
Рис. 8. Диагностическая значимость показателя GAS как маркера кардиотоксичности у больных РМЖ с чувствительностью 81,5%, специфичностью 73,3%.
Обсуждение
Проведенное исследование показало, что у больных РМЖ ФВ ЛЖ по данным 3D-ЭхоКГ имела более низкие значения по сравнению с 2D-ЭхоКГ. Проведенный ROC-анализ у больных РМЖ в отношении выявления кардиотоксичности (по снижению показателя GLS>15% от исходного уровня) показал высокую диагностическую ценность ФВ ЛЖ в трехмерном режиме (чувствительность составила 81,0%, специфичность – 80,0%) по сравнению с двумерным режимом. Таким образом, у больных РМЖ для более точной оценки систолической функции ЛЖ целесообразно применение трехмерной ЭхоКГ [13, 14].
Наиболее изученным показателем деформации миокарда ЛЖ как маркера развития субклинической кардиотоксичности при проведении ХТ у онкологических больных является показатель GLS по данным 2D-СТЭ [8, 9]. Деформация продольных волокон происходит вследствие изменения длины субэндокардиального продольного мышечного волокна во время его сокращения. Эти волокна наиболее уязвимы ввиду особенностей анатомии коронарного русла и оказываемого на них внутрижелудочкового давления [5, 16].
В проведенном исследовании показатель GLS в 2D-СТЭ статистически значимо снижался в процессе ХТ у всех больных РМЖ, достигая диагностического критерия ≥15% у 29,3% больных РМЖ и ≥12% (согласно рекомендациям 2020 г.) – у 41,4%. Эти данные согласуются с результатами ряда авторов [17, 18]. В литературе показатель GLS рекомендуется для оценки субклинической кардиотоксичности, индуцированной ХТ [7, 19, 20].
Параметры деформации миокарда ЛЖ по данным 3D-СТЭ, как показало данное исследование, исходно ниже аналогичных параметров в двумерном режиме. Несмотря на разные значения деформации, полученные в различных режимах СТЭ, корреляционный анализ между показателем GLS в двумерном режиме с показателями деформации в трехмерном режиме выявил статистически значимые корреляционные связи. Аналогично 2D-СТЭ по данным трехмерного режима также выявили статистически значимое снижение показателя GLS у всех больных РМЖ после ХТ. В данном исследовании для оценки показателя GLS в трехмерном режиме впервые применены те же диагностические критерии, которые используются при его оценке в двумерном режиме. Так, снижение GLS (3D-СТЭ) ≥15% от исходного уровня отмечали у 46,8% больных РМЖ, а ≥12% от исходного уровня – у 57,4%.
В проведенном исследовании с использованием метода 3D-СТЭ изучен новый параметр – GAS, отражающий суммарную деформацию всех волокон миокардиального каркаса для каждого сегмента ЛЖ [10, 15, 19]. После ХТ отмечали статистически значимое снижение этого показателя у всех больных РМЖ. Проведенный ROC-анализ показал высокую диагностическую ценность параметра GAS (с чувствительностью 81,5%; специфичностью 73,3%, площадь под кривой – 0,78) в выявлении субклинической кардиотоксичности у больных РМЖ. Аналогичные результаты получены в исследовании J. Chen и соавт., в которое включены 83 больных РМЖ, получивших антрациклинсодержащую ХТ. Авторами показана высокая диагностическая ценность показателя GAS (чувствительность – 81,9%, специфичность – 80,3%, площадь под кривой – 0,815) для раннего выявления кардиотоксичности после ХТ [21]. В исследовании P. Reant и соавт. получена положительная корреляция показателя GAS при 3D-СТЭ с ФВ ЛЖ, на основании чего авторы считают, что этот показатель отражает систолическую дисфункцию миокарда ЛЖ [22].
Следует подчеркнуть, что в доступной литературе имеются единичные работы по использованию 3D-СТЭ у онкологических больных, поэтому полученные нами данные следует считать приоритетными.
Заключение
Результаты исследования показали, что у больных РМЖ до и после завершения курсов антрациклинсодержащей ХТ с целью выявления субклинической кардиотоксичности целесообразно применение технологии СТЭ как в двумерном, так и в трехмерном режимах. Преимуществом метода 3D-, в отличие от 2D-СТЭ, является одновременная и более точная оценка ФВ ЛЖ. Значение дополнительного параметра деформации ЛЖ – GAS – требует дальнейшего изучения.
Авторы заявляют об отсутствии конфликта интересов.
About the authors
M. A. Saidova
National Medical Research Center of Cardiology
Email: ani_avalian@mail.ru
ORCID iD: 0000-0002-3233-1862
д.м.н., проф., рук. отд.
Russian Federation, MoscowA. A. Avalyan
National Medical Research Center of Cardiology
Author for correspondence.
Email: ani_avalian@mail.ru
ORCID iD: 0000-0003-0442-4495
мл. науч. сотр.
Russian Federation, MoscowE. V. Oshchepkova
National Medical Research Center of Cardiology
Email: ani_avalian@mail.ru
ORCID iD: 0000-0002-3253-0669
д.м.н., проф., гл. науч. сотр.
Russian Federation, MoscowV. N. Shitov
National Medical Research Center of Cardiology
Email: ani_avalian@mail.ru
ORCID iD: 0000-0002-8878-7340
мл. науч. сотр. отд.
Russian Federation, MoscowI. E. Chazova
National Medical Research Center of Cardiology
Email: ani_avalian@mail.ru
ORCID iD: 0000-0002-9822-4357
акад. РАН, д.м.н., проф., зам. ген. дир.
Russian Federation, MoscowReferences
- Curigliano G, Cardinale D, Dent S, et al. Cardiotoxicity of Anticancer Treatments: Epidemiology, Detection, and Management. CA Cancer J Clin. 2016;66:309-25. doi: 10.3322/caac.21341
- Curigliano G, еt al. Management of cardiac disease in cancer patients throughout oncological treatment: ESMO consensus recommendations. Ann Oncol. 2020;31:171-90. doi: 10.1016/j.annonc.2019.10.023
- Pizzino F, Vizzari G, Bomzeret C, et al. Diagnosis of Chemotherapy Induced Cardiotoxicity. J Patient Cent Res Rev. 2014:121-7. doi: 10.17294/2330-0698.1025
- Bovelli D, Plataniotis G, Roila F. Cardiotoxicity of chemotherapeutic agents and radiotherapy-related heart disease: ESMO Clinical Practice Guidelines. Ann Oncol. 2010;21:277-82. doi: 10.1093/annonc/mdq200
- Mondillo S, Galderisi M, Mele D, et al. Speckle-Tracking Echocardiography: A New Technique for Assessing Myocardial Function. J Ultrasound Med. 2011;30:71-8. doi: 10.7863/jum.2011.30.1.71
- Plana JC, et al. Expert Consensus for Multimodality Imaging Evaluation of Adult Patients during and after Cancer Therapy: A Report from the American Society of Echocardiography and the European Association of Cardiovascular Imaging. J Am Soc Echocardiogr. 2014;27:911-39. doi: 10.1016/j.echo.2014.07.012
- Авалян А.А., Саидова М. А., Ощепкова Е. В. и др. Современные подходы к выявлению ранней субклинической кардиотоксичности, индуцированной химиотерапией, у больных раком молочной железы. Евразийский кардиологический журнал. 2018;3:50-5 [Avalyan AA, Saidova MA, Oshchepkova E V, et al. Modern approaches to detecting early subclinical cardiotoxicity induced by chemotherapy in patients with breast cancer. Eur Heart J. 2018;3:50-5 (In Russ.)].
- Zamorano JL, Lancellotti P, Rodriguez Muñoz D, et al. 2016 ESC Position Paper on cancer treatment and cardiovascular toxicity developed under the auspices of the ESC Committee for Practice Guidelines. Eur Heart J. 2016. doi: 10.1093/eurheartj/ehw211
- Чазова И.Е., Тюляндин С.А., Виценя М.В. и др. Руководство по диагностике, профилактике и лечению сердечно-сосудистых осложнений противоопухолевой терапии. Ч. I. Системные гипертензии. 2017;14(3):6-20 [Chazova IY, Tyulyandin SA, Vitsenia MV, et al. Clinical Manual for Diagnosis, Prevention and Treatment of Cardiovascular Complications of Cancer Therapy. Part I. Systemic Hypertension. 2017;14(3):6-20 (In Russ.)]. doi: 10.26442/2075-082X_14.3.6-20
- Kleijn SA, Mohamed FA Aly, Terwee CB, et al. O. Three-dimensional speckle tracking echocardiography for automatic assessment of global and regional left ventricular function based on area strain. J Am Soc Echocardiogr. 2011;24:314-21. doi: 10.1016/j.echo.2011.01.014
- Seo Y, Ishizu T, Atsumi A, et al. Three-Dimensional Speckle Tracking Echocardiography. Circ J. 2014:1290-301. doi: 10.1253/circj.CJ-14-0360
- Santoro C, et al. 2D and 3D strain for detection of subclinicalanthracyclinecardiotoxicity in breast cancerpatients: a balance with feasibility. Eur Heart J Cardiovasc Imaging. 2017:1-7. doi: 10.1093/ehjci/jex033
- Dorosz JL, Lezotte DC, Weitzenkamp DA, et al. Performance of 3-dimensional echocardiography in measuring left ventricular volumes and ejection fraction: a systematic review and meta-analysis. J Am Coll Cardiol. 2012;59(20):1799-808. doi: 10.1016/j.jacc.2012.01.037
- Саидова М.А. Трехмерная эхокардиография: вчера, сегодня, завтра. Consilium Medicum. 2006;8(5):127-32 [Saidova MA. Three-dimensional echocardiography: yesterday, today, tomorrow. Consilium Medicum. 2006;8(5):127-32 (In Russ.)].
- Sorrentino R, Esposito R, Pezzullo E, et al. Real-time three-dimensional speckle tracking echocardiography: technical aspects and clinical applications. Research Reports in Clinical Cardiology. 2016;2016(7):147-58. doi: 10.2147/RRCC.S107374
- Radwan H, Hussein E. Value of global longitudinal strain by two dimensional speckle tracking echocardiography in predicting coronary artery disease severity. Egypt Heart J. 2017;69:95-101. doi: 10.1016/j.ehj.2016.08.001
- Ky B, Putt M, Sawaya H, et al. Early increases in multiple biomarkers predict subsequent cardiotoxicity in patients with breast cancer treated with doxorubicin, taxanes, and trastuzumab. J Am Coll Cardiol. 2014; 63(8):809-16. doi: 10.1016/j.jacc.2013.10.061
- Sawaya H, Sebag IA, Plana JC, et al. Early Detection and Prediction of Cardiotoxicity in Chemotherapy-Treated Patients. Am J Cardiol. 2011;107(9):1375-80. doi: 10.1016/j.amjcard.2011.01.006
- Song F-Y, Shi J, Guo Y, et al. Assessment of biventricular systolic strain derived from the two-dimensional and three-dimensional speckle tracking echocardiography in lymphoma patients after anthracycline therapy. Int J Cardiovasc Imaging. 2017;33(6):857-68. doi: 10.1007/s10554-017-1082-6
- Boyd A, Stoodley P, Richards D, et al. Anthracyclines induce early changes in left ventricular systolic and diastolic function: A single centre study. PLoS One. 2017;12(4):1-15. doi: 10.1371/journal.pone.0175544
- Chen J, et al. Early Detection of Cardiotoxicity by 3D Speckle Tracking Imaging of Area Strain in Breast Cancer Patients Receiving Chemotherapy. Еchocardiography. 2019;36(9):1682-8. doi: 10.1111/echo.14467
- Reant P, Barbot L, Touche C, et al. Evaluation of global left ventricular systolic function using three-dimensional echocardiography speckle-tracking strain parameters. J Am Soc Echocardiogr. 2012;25(1):68-79. doi: 10.1016/j.echo.2011.10.009
Supplementary files



















