Advanced glycation end products and oxidative stress as a basis for metabolic abnormalities in patients with type 1 diabetes after successful simultaneous pancreas-kidney transplantation
- Authors: Larina I.I.1, Severina A.S.1, Maganeva I.S.1, Ainetdinova A.R.1, Eremkina A.K.1, Gavrilova A.O.1, Shamhalova M.S.1, Dmitriev I.V.2, Pinchuk A.V.2,3, Shestakova M.V.1
-
Affiliations:
- Endocrinology Research Centre
- Sklifosovsky Research Institute of Emergency Medicine
- Research Institute of Healthсare Organization and Medical Management
- Issue: Vol 93, No 10 (2021)
- Pages: 1155-1163
- Section: Original articles
- Submitted: 03.11.2021
- Accepted: 03.11.2021
- Published: 15.10.2021
- URL: https://ter-arkhiv.ru/0040-3660/article/view/86666
- DOI: https://doi.org/10.26442/00403660.2021.10.201100
- ID: 86666
Cite item
Full Text
Abstract
Aim. To compare advanced glycation end-products (AGE, RAGE) and 3-nitrotyrosine (3-HT) in patients with DM 1 after successful simultaneous pancreas-kidney transplantation (SPK) and kidney transplantation alone (KTA). To assess relationship between levels of AGE, RAGE, 3-HT and renal transplant (RT) function, carbohydrate and mineral metabolism.
Materials and methods. The study included 58 patients who received kidney transplantation in end-stage renal disease (ESRD). 36 patients received SPK. There were performed routine laboratory, examination of AGE, RAGE, 3-NT, parathyroid hormone (PTH), 25(OH)vitamin D, calcium, phosphorus, FGF23, osteoprotegerin (OPG), and fetuin-A levels.
Results. All patients after SPK reached normoglycemia (HbA1c 5.7 [5.3; 6.1] %; C-peptide 3.24 [2.29; 4.40] ng/ml) with the achievement of significant difference vs patients after KTA. Arterial hypertension (AH) was more frequent in recipients of SPK before transplantation than after (p=0.008). AH also persisted in greater number of cases in patients after KTA than after SPK. Patients after SPK had higher AGE (р=0.0003) and lower RAGE (р=0.000003) levels. OPG in patients after SPK was significantly higher (р=0.04). The correlation analysis revealed significant positive correlation between 3-HT and OPG (p<0.05; r=0.30), RAGE and eGFR (r=-0.52), HbA1c (r=0.48), duration of AH (r=0.34), AGE with HbA1c (r=0.51).
Conclusion. The results of the "metabolic memory" markers analysis may indicate their contribution to the persistence of the metabolic consequences of CKD and DM 1 after achievement of normoglycemia and renal function restoration and their possible participation in development of recurrent nephropathy, vascular calcification, and bone disorders.
Full Text
Введение
Изолированная трансплантация почки (ИТП) или сочетанная трансплантация почки и поджелудочной железы (СТПиПЖ) являются наиболее эффективными методами выбора восполнения утраченных функций почек для пациентов сахарным диабетом (СД) 1-го типа и терминальной стадией почечной недостаточности (ТПН) [1, 2]. Принимая во внимание ежегодное увеличение числа больных в листе ожидания, дефицит донорских органов и ограниченные возможности пересадки [3], сохранение функции ренального трансплантата (РТ) является ведущим направлением реабилитации пациентов. По мере увеличения срока с момента трансплантации почки действие ряда факторов приводит к формированию прогрессирующего нефросклероза [4]. Помповая инсулинотерапия у больных после ИТП и приобретение инсулинонезависимости после СТПиПЖ расширяют возможности протекции РТ от возвратной нефропатии [5, 6]. При сравнении типов трансплантации было показано преимущество в отношении выживаемости и сохранения функции РТ у пациентов после СТПиПЖ или операции по типу трансплантации поджелудочной железы после трансплантации почки (pancreas after kidney) в сравнении с реципиентами РТ, перенесшими ИТП [7]. Ключевым патофизиологическим механизмом персистенции метаболически негативных процессов после успешно проведенной СТПиПЖ выступает предшествующее длительное воздействие гипергликемии в дебюте СД с образованием AGE. Их формирование и накопление увеличиваются с длительностью СД, влияя на структурную целостность и функцию макромолекул, а взаимодействие AGE с рецептором RAGE активирует механизмы окислительного стресса (ОС) [8]. Известно, что оси AGE-RAGE и ОС являются одними из ведущих механизмов формирования метаболической памяти, непосредственно приводящей к развитию сосудистых осложнений [9], способствующих прогрессированию хронической болезни почек (ХБП) [10].
Цель исследования – сравнить состояние оси конечных продуктов гликирования (AGE, RAGE) и маркера ОС 3-нитротирозина (3-НТ) у пациентов с СД 1 после СТПиПЖ, достигших нормогликемии, и у больных СД 1, перенесших ИТП. Оценить взаимосвязь уровней AGE, RAGE, 3-НТ с показателями функции РТ, состоянием углеводного обмена и маркерами минерального обмена.
Материалы и методы
Обследование пациентов проводилось на базе ФГБУ «НМИЦ эндокринологии» с 1 марта 2017 по 1 декабря 2020 г.
В исследование включили мужчин и женщин в возрасте от 18 до 70 лет с СД 1 после СТПиПЖ или ИТП, получающих трехкомпонентную иммуносупрессивную терапию.
Критерии исключения: угрожающие жизни состояния, терминальные состояния, острые инфекции, психические заболевания, беременность, злоупотребление алкоголем, злокачественные новообразования.
Включенных в исследование пациентов прооперировали в период с июня 2009 по октябрь 2020 г. на базе отделения трансплантации почки и поджелудочной железы ГБУЗ «НИИ СП им. Н.В. Склифосовского», хирургического отделения №1 трансплантации печени и почки ФГБУ «НМИЦ ТИО им. акад. В.И. Шумакова», отдела трансплантации и заместительной почечной терапии НИИ урологии и интервенционной радиологии им. Н.А. Лопаткина ФГБУ «НМИЦ радиологии», отделения пересадки почки ФГБНУ «РНЦХ им. акад. Б.В. Петровского».
Способ формирования выборки для пациентов после СТПиПЖ сплошной, для пациентов после ИТП – истинно-случайный.
Дизайн исследования: работа выполнена как одномоментное сравнительное пилотное ретроспективное исследование, проведенное в одном центре.
Методы
Всем пациентам проводилось общеклиническое обследование: сбор анамнеза по основной и сопутствующей патологии, оценка антропометрических данных (масса тела, рост, индекс массы тела), лабораторное обследование.
Гликированный гемоглобин (HbA1c) определялся методом высокоэффективной жидкостной хроматографии. Биохимическое исследование крови осуществлялось на анализаторе Architect c8000 (Abbott Laboratories, США). Для определения уровня С-пептида, паратгормона использовался иммуноанализ – электрохимический лизис с помощью анализатора Cobas 6000 ROCHE; 25(ОН) витамина D – анализатор Liaison XL (DiaSorin, Италия); FGF23, Фетуина А, остеопротегерина – счетчик 1420 Multilabel Counter VICTOR2 (Perkin Elmer). Общий анализ мочи проводили на Aution MaxAX-4030 (Япония) и оценку соотношения альбумина/креатинина – на анализаторе Architect 8000 (Abbott, США). Исследования уровня 3-НТ, AGE и RAGE осуществлялись на счетчике 1420 Multilabel Counter VICTOR2 (Perkin Elmer) методом иммуноферментного анализа. Оценка минеральной плотности костной ткани проводилась с применением двухэнергетической рентгеновской остеоденситометрии (DEXA) на аппарате Lunar iDXAME + 210371 с подсчетом трабекулярного индекса (TBS) кости.
Статистический анализ
Статистический анализ данных выполнен с помощью системы Statistica 13 (StatSoft, США). Описательная статистика представлена медианами, 1 и 3-м квартилями в формате Ме [Q1; Q3]. Сравнение 2 групп выполнялось с помощью критерия Манна–Уитни (U-тест), хи-квадрат (χ2), Мак-Немара. Корреляционный анализ переменных проведен по методу ранговой корреляции Спирмена и Кендалла. Исходный критический уровень значимости (p) при проверке статистических гипотез принимался рав- ным 0,05.
Этическая экспертиза
Локальный этический комитет при ФГБУ «НМИЦ эндокринологии» одобрил возможность проведения данного исследования, выписка из протокола заседания №1 от 25.01.2017, №16 от 14.10.2020. Все пациенты дали информированное согласие на обследование.
Результаты
В исследование включили 58 пациентов, поделенных на 2 группы: 1-я – больные после СТПиПЖ (n=36) и 2-я – после ИТП (n=22). Общая характеристика пациентов представлена в табл. 1.
Таблица 1. Общая характеристика пациентов (Ме [25; 75] %)
Table 1. General characteristics of patients (Me [25; 75] %)
Параметры | 1-я группа СТПиПЖ (n=36) | 2-я группа ИТП (n=22) | p-value |
Мужчины/женщины, абс. (%) | 10/26 (28/72) | 10/12 (45/55) | 0,169** |
Возраст, лет | 0,045* | ||
Длительность СД 1, годы | 0,002* | ||
Длительность ДН, годы | 0,033* | ||
Длительность диализа, годы | 0,219* | ||
Комы в анамнезе, абс. (%) | 17/27 (47) | 11/22 (50) | 0,362** |
Период после трансплантации, мес | 47 [22; 94] | 55 [12; 93] | 0,822* |
Диабетическая ретинопатия, абс. (%) | 36/36 (100) | 20/22 (91) | – |
Диабетическая полинейропатия, абс. (%) | 36/36 (100) | 22/22 (100) | – |
Диабетическая нейроостеоартропатия, абс. (%) | 7/36 (19) | 5/22 (23) | 0,765** |
Гипертрофия миокарда левого желудочка, абс. (%) | 16/28 (57) | 12/17 (71) | 0,367** |
Ишемическая болезнь сердца, абс. (%) | 0/20 (0) | 8/17 (47) | – |
Острое нарушение мозгового кровообращения, абс. (%) | 3/20 (15) | 2/16 (13) | 0,788*** |
Инфаркт миокарда в анамнезе, абс. (%) | 0/29 (0) | 2/17 (12) | – |
Примечание: поправка Бонферрони р0=0,006; *U-тест, **χ2, ***χ2 с поправкой Йетса.
По данным анамнеза ни у одного из больных до проведения операции не достигнуты целевые значения гликемии. В большинстве случаев имела место поздняя диагностика диабетической нефропатии (ДН) с несвоевременной инициацией нефропротективной, антигипертензивной, гиполипидемической терапии. До трансплантации 33/34 (97%) пациентов 1-й группы и 15/18 (83%) 2-й получали заместительную почечную терапию (ЗПТ) диализом (табл. 2). Додиализная трансплантация проведена 2 пациентам в каждой группе.
Таблица 2. Виды диализной ЗПТ
Table 2. Types of dialysis renal replacement therapy (RRT)
Параметры, абс. (%) | 1-я группа СТПиПЖ (n=36) | 2-я группа ИТП (n=22) | p-value |
Программный амбулаторный перитонеальный диализ | 7/34 (21) | 4/18 (22) | 0,826** |
Программный гемодиализ | 26/34 (76) | 11/18 (61) | 0,245* |
Программный гемодиализ после перитонеального диализа | 1/34 (3) | 3/18 (17) | 0,222** |
Примечание: поправка Бонферрони р0=0,017; *χ2,**χ2 с поправкой Йетса.
ЗПТ инициировали экстренно через центральный венозный катетер у 21/33 (64%) больных 1-й группы, 6/18 (33%) – 2-й. Успешно проведенная СТПиПЖ позволила достичь инсулинонезависимости всем пациентам (табл. 3).
Таблица 3. Результаты лабораторного обследования пациентов
Table 3. Results of laboratory examination of patients
Параметры | 1-я группа СТПиПЖ (n=36) | 2-я группа ИТП (n=22) | p-value, U-тест |
HbA1c, % | <0,001 | ||
Глюкагон, пмоль/л | 0,002 | ||
Креатинин крови, мкмоль/л | 0,007 | ||
рСКФ EPI, мл/мин на 1,73м2 | 0,008 | ||
Соотношение альбумина/креатинина, мг/ммоль | 1,000 | ||
Гемоглобин крови, г/л | 0,669 | ||
Ферритин, нг/мл | 0,842 | ||
Насыщение трансферрина железом, % | 0,836 | ||
Кальций скорректированный на альбумин, ммоль/л | 0,408 | ||
Фосфор, ммоль/л | 0,229 | ||
Паратгормон, пг/мл | 0,836 | ||
Холестерин, ммоль/л | 0,158 | ||
Липопротеины низкой плотности, ммоль/л | 0,488 |
Примечание: поправка Бонферрони р0=0,005.
В ходе наблюдения у 28 из 36 больных после СТПиПЖ зафиксировали эпизоды гипогликемий до 1,8–2,6 ммоль/л, ассоциированные с употреблением быстроусвояемых углеводов, а также физической нагрузкой.
При сравнении показателей функции РТ уровень креатинина был ниже, а, соответственно, расчетная скорость клубочковой фильтрации (рСКФ) выше у пациентов, перенесших СТПиПЖ (рис. 1).
Рис. 1. Значения рСКФ в обследуемых группах пациентов.
Fig. 1. Values of the estimated glomerular filtration rate in the examined groups of patients.
Сведения о состоянии осложнений ХБП в обеих группах до и после трансплантации представлены в табл. 4. Терапия, получаемая больными после трансплантации, представлена в табл. 5.
Таблица 4. Осложнения ХБП обследуемых пациентов
Table 4. Complications of chronic kidney disease in the examined patients
Параметры, абс. (%) | 1-я группа СТПиПЖ (n=36) | р, критерий Мак-Немара | 2-я группа ИТП (n=22) | р, критерий Мак-Немара | р, χ2 |
Анемия до трансплантации | 25/34 (71) | 0,023 | 9/17 (53) | – | 0,142 |
Анемия до и после трансплантации | 7/34 (21) | 8/17 (47) | 0,051 | ||
Гипертония до трансплантации | 23/34 (68) | 0,008 | 3/16 (19) | – | 0,003* |
Гипертония до и после трансплантации | 9/34 (26) | 13/16 (81) | 0,001* | ||
Остеопороз | 14/30 (47) | 12/17 (71) | 0,113 | ||
Остеопения | 14/30 (47) | 4/17 (24) | 0,209* | ||
Переломы | 7/28 (25) | 5/17 (29) | 0,746 | ||
Дефицит витамина D | 25/36 (69) | 5/11 (45) | 0,086 | ||
Недостаточность витамина D | 7/36 (19) | 2/11 (18) | 0,730* |
Примечание: поправка Бонферрони р0=0,006; *χ2 с поправкой Йетса.
Таблица 5. Терапия, получаемая пациентами после трансплантации
Table 5. Post-transplant therapy receiving by the patients
Параметры, абс. (%) | 1-я группа СТПиПЖ (n=36) | 2-я группа ИТП (n=22) | р, χ2 |
Противоанемическая терапия | 7/34 (21) | 8/17 (47) | 0,051 |
Антигипертензивная терапия | 9/34 (26) | 13/16 (81) | 0,001* |
Антиостеопоротическая терапия | 3/28 (11) | 2/12 (17) | 0,999* |
Активные метаболиты витамина D | 6/28 (21) | 3/12 (25) | 0,869* |
Колекальциферол | 9/28 (32) | 8/12 (67) | 0,828* |
Гиполипидемическая терапия | 6/26 (23) | 15/16 (94) | <0,001* |
Антиагрегантная терапия | 13/26 (50) | 15/15 (100) | – |
Примечание: поправка Бонферрони р0=0,008; *χ2 с поправкой Йетса.
Для изучения влияния маркеров «метаболической памяти» у всех пациентов оценили уровни AGE и RAGE, а также маркера ОС – 3-НТ (табл. 6).
Таблица 6. Уровни 3-НТ, конечных продуктов гликирования и их рецептора
Table 6. Levels of 3-nitrotyrosine (3-NT), glycation end-products and their receptor
Параметры | 1-я группа СТПиПЖ (n=36) | 2-я группа ИТП (n=22) | p-value, U-тест |
3-НТ, нмоль/л | 0,171 | ||
AGE, пг/мл | <0,001 | ||
RAGE, пг/мл | <0,001 |
Примечание: поправка Бонферрони р0=0,025.
Из табл. 6 видно, что больные статистически значимо не различались по уровню 3-НТ. При сравнении групп по показателям AGE и RAGE выявлена статистически значимая разница в обоих случаях (р<0,001 и р<0,001 соответственно); рис. 2.
Рис. 2. Уровень конечных продуктов гликирования и рецептора конечных продуктов гликирования.
Fig. 2. Glycation end-products levels and the glycation end-products receptor levels.
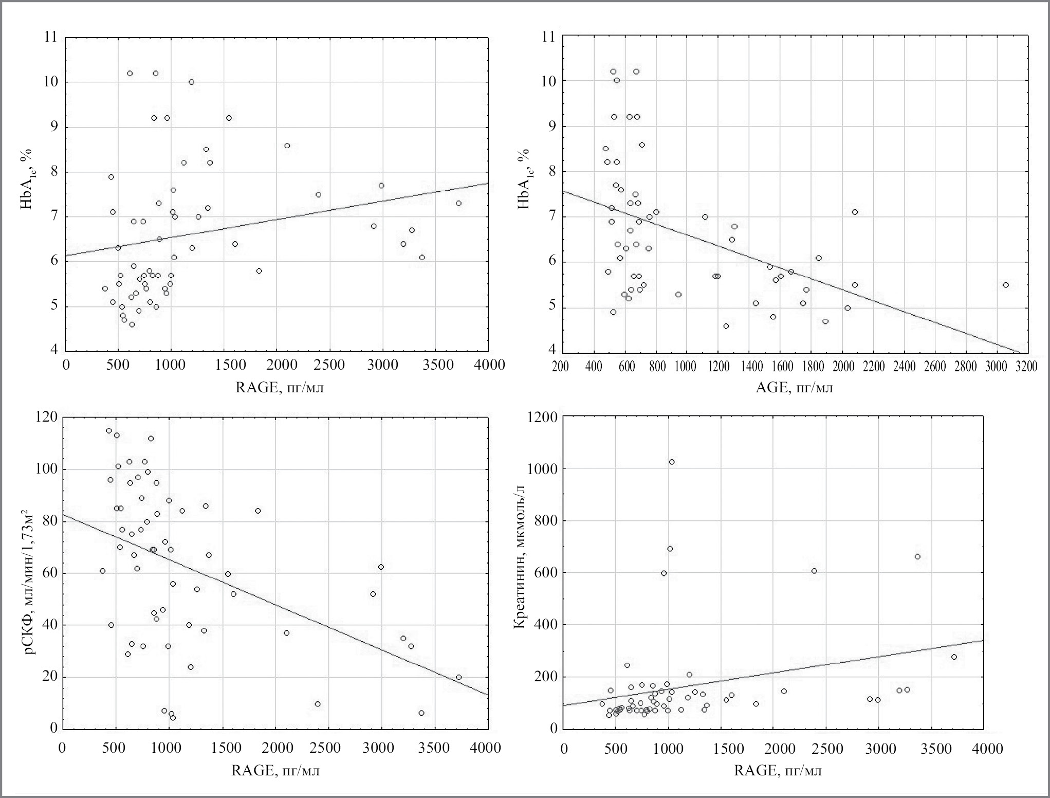
При проведении корреляционного анализа параметров оси AGE-RAGE мы определили статистически значимые умеренные корреляционные связи (p<0,01); табл. 7, рис. 3.
Таблица 7. Результаты корреляционного анализа конечных продуктов гликирования и рецептора конечных продуктов гликирования
Table 7. Results of the correlation analysis of glycation end-products and the glycation end-products receptor
Показатель | r | p-value, метод Спирмена |
HbA1c, %; AGE, пг/мл (см. рис. 3) | -0,508816 | <0,001 |
HbA1c, %; RAGE, пг/мл (см. рис. 3) | 0,475305 | <0,001 |
Креатинин, мкмоль/л; RAGE, пг/мл (см. рис. 3) | 0,524332 | <0,001 |
рСКФ, мл/мин на 1,73м2; RAGE, пг/мл (см. рис. 3) | -0,518784 | <0,001 |
Длительность гипертонии, годы; RAGE, пг/мл (см. рис. 4) | 0,341853 | 0,016 |
Примечание: поправка Бонферрони р0=0,010.
Рис. 3. Корреляционный анализ связи конечных продуктов гликирования и рецептора конечных продуктов гликирования с показателями функции ренального трансплантата и уровнем HbA1c.
Fig. 3. Correlation analysis for the relationship between glycation end-products and the glycation end-products receptor and indicators of renal graft function and HbA1c levels.
Также выявили статистически значимую положительную корреляционную связь RAGE с длительностью артериальной гипертензии – АГ (r=0,34; р=0,016); рис. 4.
Рис. 4. Корреляция длительности гипертензии и уровня рецептора конечных продуктов гликирования.
Fig. 4. Correlation between hypertension duration and the glycation end-products receptor levels.
Поскольку состояние оси AGE-RAGE и ОС ассоциировано с эндотелиальной дисфункцией, мы исследовали маркеры сосудистой кальцификации (FGF23, фетуин А) – статистически значимых различий среди 2 групп не выявили (табл. 8). При проведении корреляционного анализа обнаружена статистически значимая (p<0,05) положительная умеренная корреляционная связь 3-НТ с остеопротегерином – ОПГ (r=0,30; р=0,04); рис. 5.
Таблица 8. Маркеры сосудистой кальцификации
Table 8. Markers of vascular calcification
Параметры | 1-я группа СТПиПЖ (n=36) | 2-я группа ИТП (n=22) | p-value, U-тест |
FGF23, пмоль/л | 0,229 | ||
ОПГ, пг/мл | 0,05 | ||
Фетуин А, нг/мл | 325 240,0 [272 590, 0; 382 030, 0] | 294 507,3 [240 010, 0; 350 830, 0] | 0,2 |
Рис. 5. Корреляция ОПГ и уровня 3-НТ.
Fig. 5. Correlation between osteoprotegerin and 3-NT levels.
Обсуждение
Ведущими факторами развития дисфункции РТ у пациентов с СД остаются гипергликемия, АГ, дислипидемия и нарушения минерального обмена, приводящие к морфологическим изменениям почки [11]. В отсутствие живого донора ИТП и СТПиПЖ рассматриваются как методы лечения, обеспечивающие лучшие показатели выживаемости пациентов [12]. Несмотря на то, что суммарный 10-летний риск потери трансплантата от возвратной нефропатии не превышает 10% случаев, рецидив ДН встречается примерно у 25% реципиентов при среднем сроке наблюдения 6 лет [13, 14]. Данные регистров и исследований с использованием биопсий аллотрансплантатов почек после ИТП и СТПиПЖ свидетельствуют о морфологическом преимуществе долгосрочной стойкой нормогликемии для ультраструктуры, функции и выживаемости РТ, достигающей 98, 82 и 67% на сроке 1, 5 и 10 лет [7, 15]. Обращает на себя внимание некоторое отсроченное развитие благоприятных эффектов нормогликемии после СТПиПЖ, что, вероятно, может быть связано с феноменом «метаболической памяти» [5]. Пациенты с СД 1, перенесшие успешную СТПиПЖ, представляют собой модель ремиссии СД, поскольку в результате трансплантации все они достигли эугликемии без сахароснижающей терапии. В качестве отражения возможного благоприятного воздействия эугликемии на функцию РТ может служить статистически значимо более низкий уровень креатинина, а соответственно, более высокая рСКФ у пациентов, перенесших СТПиПЖ [16]. Это подтверждается данными литературы: при проведении гистологических исследований биопсийного материала почечных трансплантатов у больных после ИТП отмечались увеличение толщины базальной мембраны и изменения структуры гепарансульфата [17]. Одним из ключевых механизмов метаболического повреждения эндотелия и РТ рассматривается неферментативное гликирование белковых структур [8]. AGE приводит к фундаментальным изменениям белков, вызывает их повреждения и деградацию, мутации ДНК, непосредственно участвует в прогрессировании поражения почек и является фактором риска сосудистых заболеваний и смертности [18]. Уровень AGE значительно выше у пациентов со сниженной рСКФ даже при отсутствии гипергликемии [19]. Таким образом, можно ожидать, что у пациентов с СД 1 после успешной CТПиПЖ титр AGE уменьшится как за счет снижения образования, так и увеличения их выведения почками. В нашем исследовании при сравнении групп ИТП и СТПиПЖ выявлена статистически значимая разница в уровне AGE, а также статистически значимая корреляция с рСКФ. Сходным образом у пациентов с ТПН обнаруживали обратную связь AGE с рСКФ вне зависимости от наличия СД [10]. В то же время продемонстрировано накопление AGE в эндотелиальной ткани в большей степени у больных СД и ТПН в отличие от пациентов без СД [20]. В целом результаты оценки уровня AGE очень трудно интерпретировать, поскольку не существует стандартизованных методов их определения. Уровень AGE в плазме отражает AGE, связанные с белками с более высокой скоростью обновления (циркулирующие белки). Тканевой уровень AGE в большей степени отражает AGE, связанные с медленно обновляющимися белками, такими как коллаген, что, вероятно, объясняет феномен «метаболической памяти», а именно отсутствие быстрых изменений в отношении диабетических осложнений после достижения нормогликемии и нормализации почечной функции [21]. Обнаружено, что природа RAGE не ограничивается ассоциацией с AGE. Его взаимодействие с HMGB1 и S100 группой белков приводит к активации фермента NADPH-оксидазы 2 (NOX2), продукции активных форм кислорода и транскрипции NF-ķB, STAT3, HIF-1α, AP-1 и CREB, индуцирующих ОС [22]. Все это обусловливает хроническое повреждение тканей и подавление репаративных процессов. Причем накопление лигандов RAGE ассоциировано не только с СД, но и с системным воспалением, атеросклерозом, процессами старения [23].
В ходе нашего исследования при сравнении групп по показателю RAGE выявлена статистически значимая разница. Статистически значимые корреляции RAGE с креатинином и рСКФ согласуются с результатами других наблюдений. В то же время в этих исследованиях во внимание принимался только общий пул рецептора [24]. Кроме того, предполагают, что RAGE может служить не только биомаркером повреждения почек, но и маркером риска смертности [25]. В нашем исследовании получена положительная статистически значимая корреляционная связь RAGE с длительностью предшествующей АГ. Статус гипертензии значимо различался в группе СТПиПЖ до и после операции. В связи с этим корреляции RAGE с показателями фильтрационной функции РТ и с длительностью АГ могут указывать на взаимодействие компонентов метаболической памяти и их возможное влияние на систему ренин-ангиотензин-альдостероновую систему после пересадки, что требует дальнейшего изучения. Разнонаправленные ассоциации AGE-RAGE с уровнем НbA1c могут отражать активацию и повышение титра RAGE, обладающих проективным потенциалом при ухудшении гликемического контроля. Повышение уровня 3-НТ ассоциировано с развитием атеросклероза [26, 27], притом что в эксперименте стабилизация гликемии в течение 6 мес не приводит к значительному снижению маркеров ОС у крыс [28].
Во многих работах показано, что сформировавшиеся минеральные и костные нарушения при ХБП, в том числе кальцификация, часто сохраняются и даже прогрессируют после трансплантации как почки, так и СТПиПЖ [29]. ОПГ является связующим звеном между кальцификацией артерий и резорбцией костей, которые лежат в основе минеральных нарушений при ХБП. В костной ткани соединение RANKL с RANK запускает внутриклеточный каскад, необходимый для развития и активации остеокластов, что способствует костной резорбции. ОПГ препятствует взаимодействию лиганда с рецептором. В эксперименте продемонстрировано, что у ОПГ-дефицитных мышей развивается кальцификация артерий в сочетании с остеопорозом и множественными переломами. С другой стороны, экспрессия ОПГ определяется в кальцифицированных сосудах. Накопление 3-НТ как компонента системы ОС и его ассоциация с уровнем ОПГ, выявленная в нашем исследовании, позволяют предположить их участие в процессах внескелетной кальцификации [30].
Ограничения исследования
Ограничением нашего исследования в настоящее время является одномоментное получение образцов сыворотки у пациентов с различной длительностью посттрансплантационного периода, что затрудняет интерпретацию полученных результатов, учитывая отсутствие их стандартизации.
Направления дальнейших исследований
Наиболее интересной будет являться динамическая оценка показателей ОС и AGE-RAGE у больных после СТПиПЖ. В настоящее время в рамках научно-исследовательской работы продолжается наблюдение за включенными пациентами данной когорты с этой целью.
Заключение
ИТП и СТПиПЖ являются хирургическими методами лечения больных СД 1 и ТПН, а в случае СТПиПЖ – достижения стойкой нормогликемии. Однако стойкая компенсация углеводного обмена и нормализация почечной функции не могут считаться гарантией стабилизации состояния пациентов. Значительная коморбидность больных доказывает необходимость тщательного контроля многочисленных классических факторов (артериальное давление, липидный спектр, анемия, длительность диализного периода и др.) с целью сохранения функции обоих трансплантатов. Накопление клинического опыта определяет необходимость изучения протеомных, иммунологических, эпигенетических аспектов патогенеза диабетических осложнений и осложнений ХБП, поскольку изолированная компенсация гипергликемии и уремии не в состоянии обеспечить стойкую стабилизацию. Результаты анализа маркеров «метаболической памяти» могут указывать не только на их непосредственный вклад в персистенцию метаболических последствий СД и ДН, но и возможное участие в развитии возвратной нефропатии. Выявленные тенденции требуют дальнейшего наблюдения за пациентами, включенными в исследование в периоперационном периоде с динамической оценкой показателей.
Конфликт интересов. Авторы заявляют об отсутствии конфликта интересов.
Conflict of interests. The authors declare no conflict of interest.
Финансирование. Работа проведена в рамках выполнения государственного задания Минздрава России (АААА-А20-120011790181-1).
Financing. The study was conducted with government support (АААА-А20-120011790181-1).
Список сокращений
АГ – артериальная гипертензия
ДН – диабетическая нефропатия
ЗПТ – заместительная почечная терапия
ИТП – изолированная трансплантация почки
ОПГ – остеопротегерин
ОС – окислительный стресс
рСКФ – расчетная скорость клубочковой фильтрации
РТ – ренальный трансплантат
СД – сахарный диабет
СТПиПЖ – сочетанная трансплантация почки и поджелудочной железы
ТПН – терминальная стадия почечной недостаточности
ХБП – хроническая болезнь почек
HbA1c – гликированный гемоглобин
3-НТ – 3-нитротирозин
About the authors
Irina I. Larina
Endocrinology Research Centre
Email: ansev1@mail.ru
ORCID iD: 0000-0001-6783-4200
науч. сотр.
Russian Federation, MoscowAnastasia S. Severina
Endocrinology Research Centre
Author for correspondence.
Email: ansev1@mail.ru
ORCID iD: 0000-0002-0296-4933
канд. мед. наук, вед. науч. сотр.
Russian Federation, MoscowIrina S. Maganeva
Endocrinology Research Centre
Email: ansev1@mail.ru
ORCID iD: 0000-0002-0067-3622
науч. сотр.
Russian Federation, MoscowAlina R. Ainetdinova
Endocrinology Research Centre
Email: ansev1@mail.ru
врач-кибернетик, науч. сотр.
Russian Federation, MoscowAnna K. Eremkina
Endocrinology Research Centre
Email: ansev1@mail.ru
ORCID iD: 0000-0001-6667-062X
канд. мед. наук, зав. отд. патологии околощитовидных желез
Russian Federation, MoscowAlina O. Gavrilova
Endocrinology Research Centre
Email: ansev1@mail.ru
ORCID iD: 0000-0001-8148-8180
клинический ординатор
Russian Federation, MoscowMinara S. Shamhalova
Endocrinology Research Centre
Email: ansev1@mail.ru
ORCID iD: 0000-0002-3433-0142
д-р мед. наук, зав. отд. диабетической болезни почек и посттрансплантационной реабилитации
Russian Federation, MoscowIlya V. Dmitriev
Sklifosovsky Research Institute of Emergency Medicine
Email: ansev1@mail.ru
ORCID iD: 0000-0002-5731-3310
канд. мед. наук, зав. отд. трансплантации почки и поджелудочной железы
Russian Federation, MoscowAleksey V. Pinchuk
Sklifosovsky Research Institute of Emergency Medicine; Research Institute of Healthсare Organization and Medical Management
Email: ansev1@mail.ru
ORCID iD: 0000-0001-9019-9567
д-р мед. наук, зав. научным отд. трансплантации почки и поджелудочной железы ГБУЗ «НИИ СП им. Н.В. Склифосовского», зав. ОМО по трансплантологии ГБУ «НИИ организации здравоохранения и медицинского менеджмента»
Russian Federation, Moscow; MoscowMarina V. Shestakova
Endocrinology Research Centre
Email: ansev1@mail.ru
ORCID iD: 0000-0002-5057-127X
акад. РАН, д-р мед. наук, проф., зав. каф. диабетологии и диетологии, дир. Института диабета, зам. дир.
Russian Federation, MoscowReferences
- Ortiz F, Harjutsalo V, Helanterä I, et al. Long-term mortality after kidney transplantation in a nationwide cohort of patients with type 1 diabetes in Finland. Diabetes Care. 2019;42:55-61. doi: 10.2337/dc18-1029
- Bahar SG, Devulapally P. Pancreas Transplantation. 2020. In: StatPearls [Internet]. Treasure Island (FL): StatPearls Publishing, 2021.
- Готье С.В., Хомяков С.М. Донорство и трансплантация органов в Российской Федерации в 2019 году. XII сообщение регистра Российского трансплантологического общества. Вестник трансплантологии и искусственных органов. 2020;22(2):8-34 [Gautier SV, Khomyakov SM. Organ donation and transplantation in the Russian Federation in 2019. 12th report from the Registry of the Russian Transplant Society. Vestnik transplantologii i iskusstvennykh organov. 2020;22(2):8-34 (in Russian)]. doi: 10.15825/1995-1191-2020-2-8-34
- Столяревич Е.С., Томилина Н.А. Поздняя дисфункция трансплантированной почки: морфологическая структура, критерии диагностики. Трансплантология. 2009;1:19-31 [Stolyarevich ES, Tomilina NA. Late grafted kidney dysfunction: morphological structure, criteria for diagnosis. Transplantologiia. 2009;1:19-31 (in Russian)]. doi: 10.23873/2074-0506-2009-0-1-19-31
- Глазунова А.М., Арутюнова М.С., Тарасов Е.В., и др. Влияние сочетанной трансплантации почки и поджелудочной железы на динамику поздних осложнений у больных сахарным диабетом 1-го типа. Сахарный диабет. 2015;18(2):69-78 [Glazunova AM, Arutyunova MS, Tarasov EV, et al. Late Diabetic Complications in Patients with Type 1 Diabetes who Received Simultaneous Pancreas-Kidney Transplantation. Sakharnyi diabet. 2015;18(2):69-78 (in Russian)]. doi: 10.14341/DM2015269-78
- Fioretto P, Steffes MW, Sutherland DE, et al. Reversal of lesions of diabetic nephropathy after pancreas transplantation. N Engl J Med. 1998;339(2):69-75. doi: 10.1056/NEJM199807093390202
- Browne S, Gill J, Dong J, et al. The impact of pancreas transplantation on kidney allograft survival. Am J Transplant. 2011;11(9):1951-8. doi: 10.1111/j.1600-6143.2011.03627.x
- Yamagishi S, Nakamura N, Suematsu M, et al. Advanced Glycation End Products: A Molecular Target for Vascular Complications in Diabetes. Mol Med. 2015;21 Suppl. 1(Suppl. 1):S32-40. doi: 10.2119/molmed.2015.00067
- Spadella CT, Machado JL, Lerco MM, et al. Pancreas transplantation prevents cellular oxidative stress in kidneys of alloxan-induced diabetic rats. Transplant Proc. 2008;40(2):524-8. doi: 10.1016/j.transproceed.2008.01.050
- Dozio E, Vettoretti S, Caldiroli L, et al. Advanced Glycation End Products (AGE) and Soluble Forms of AGE Receptor: Emerging Role as Mortality Risk Factors in CKD. Biomedicines. 2020;8(12):638. doi: 10.3390/biomedicines8120638
- Ветчинникова О.Н. Трансплантация почки и костная болезнь: факторы риска развития, диагностика. Вестник трансплантологии и искусственных органов. 2017;19(1):111-21 [Vetchinnikova ON. Kidney transplantation and bone disease: risk factors of development and diagnostics. Vestnik transplantologii i iskusstvennykh organov. 2017;19(1):111-21 (in Russian)]. doi: 10.15825/1995-1191-2017-1-111-121
- Jenssen TG, Lindahl JPH, Reinholdt F, et al. Simultaneous kidney and pancreas transplantation, compared to hyperglycaemia, improves longterm (>8 yrs) outcome in the transplanted kidney. Diabetologia Clinical and Experimental. Diabetologia. 2011;54:2417-20.
- Matas AJ, Gillingham KJ, Humar A, et al. 2202 kidney transplant recipients with 10 years of graft function: what happens next? Am J Transplant. 2008;8(11):2410-9. doi: 10.1111/j.1600-6143.2008.02414.x
- Bhalla V, Nast CC, Stollenwerk N, et al. Recurrent and de novo diabetic nephropathy in renal allografts. Transplantation. 2003;75(1):66-71. doi: 10.1097/00007890-200301150-00012
- Shin S, Jung CH, Choi JY, et al. Long-term effects of pancreas transplant alone on nephropathy in type 1 diabetic patients with optimal renal function. PLoS One. 2018;13(1):e0191421. doi: 10.1371/journal.pone.0191421
- Lindahl JP, Reinholt FP, Eide IA, et al. In patients with type 1 diabetes simultaneous pancreas and kidney transplantation preserves longterm kidney graft ultrastructure and function better than transplantation of kidney alone. Diabetologia. 2014;57(11):2357-65. doi: 10.1007/s00125-014-3353-2
- Reine TM, Kolseth IB, Meen AJ, et al. Effects of restoring normoglycemia in type 1 diabetes on inflammatory profile and renal extracellular matrix structure after simultaneous pancreas and kidney transplantation. Diabetes Res Clin Pract. 2015;107(1):46-53. doi: 10.1016/j.diabres.2014.10.006
- Rabbani N, Thornalley PJ. Advanced glycation end products in the pathogenesis of chronic kidney disease. Kidney Int. 2018;93:803-13. doi: 10.1016/j.kint.2017.11.034
- Shimoike T, Inoguchi T, Umeda F, et al. The meaning of serum levels of advanced glycosylation end products in diabetic nephropathy. Metabolism. 2000;49:1030-5. doi: 10.1053/meta.2000.7738
- Nazratun N, Mahmood AA, Kuppusamy UR, et al. Diabetes mellitus exacerbates advanced glycation end product accumulation in the veins of end-stage renal failure patients. Vasc Med. 2006;11:245-50. doi: 10.1177/1358863x06072202
- Martins LS, Oliveira JC, Vizcaíno JR, et al. Advanced Glycation End Products Evolution after Pancreas-Kidney Transplantation: Plasmatic and Cutaneous Assessments. Oxid Med Cell Longev. 2016;2016:2189582. doi: 10.1155/2016/2189582
- Yan SF, Ramasamy R, Schmidt AM. Receptor for AGE (RAGE) and its ligands-cast into leading roles in diabetes and the inflammatory response. J Mol Med (Berl). 2009;87(3):235-47. doi: 10.1007/s00109-009-0439-2
- Heier M, Margeirsdottir HD, Gaarder M, et al. Soluble RAGE and atherosclerosis in youth with type 1 diabetes: A 5-year follow-up study. Cardiovasc Diabetol. 2015;14:126. doi: 10.1186/s12933-015-0292-2
- Thomas MC, Woodward M, Neal B, et al; ADVANCE Collaborative Group. Relationship between levels of advanced glycation end products and their soluble receptor and adverse outcomes in adults with type 2 diabetes. Diabetes Care. 2015;38:1891-7. doi: 10.2337/dc15-0925
- Koyama H, Nishizawa Y. AGEs/RAGE in CKD: irreversible metabolic memory road toward CVD? Eur J Clin Invest. 2010;40(7):623-35. doi: 10.1111/j.1365-2362.2010.02298.x
- Whaley-Connell A, Sowers JR. Oxidative stress in the cardiorenal metabolic syndrome. Curr Hypertens Rep. 2012;14(4):360-5. doi: 10.1007/s11906-012-0279-2
- Ceriello A, Ihnat MA, Thorpe JE. Clinical review 2: The "metabolic memory": is more than just tight glucose control necessary to prevent diabetic complications? J Clin Endocrinol Metab. 2009;94(2):410-5. doi: 10.1210/jc.2008-1824
- Kowluru RA, Abbas SN, Odenbach S. Reversal of hyperglycemia and diabetic nephropathy: effect of reinstitution of good metabolic control on oxidative stress in the kidney of diabetic rats. J Diabetes Complications. 2004;18(5):282-8. doi: 10.1016/j.jdiacomp.2004.03.002
- Егшатян Л.В., Мокрышева Н.Г. Эктопическая кальцификация при хронической болезни почек. Часть 1. Классификация и патогенез. Нефрология. 2017;21(4):30-9 [Egshatyan LV, Mokrysheva NG. Ectopic calcification in chronic kidney disease. Part 1. Classification and pathogenesis. Nefrologiia. 2017;21(4):30-9 (in Russian)]. doi: 10.24884/1561-6274-2017-21-4-30-39
- Vangala C, Pan J, Cotton RT, Ramanathan V. Mineral and Bone Disorders After Kidney Transplantation. Front Med (Lausanne). 2018;5:211. doi: 10.3389/fmed.2018.00211
Supplementary files
