Scientific cooperation of Russia with post-soviet states. Evaluation by publications indexed in Web of Science
- Autores: Kravtsov A.A.1
-
Afiliações:
- Primakov National Research Institute of World Economy and International Relations of Russian Academy of Sciences
- Edição: Volume 89, Nº 7 (2019)
- Páginas: 699-717
- Seção: ОРГАНИЗАЦИЯ ИССЛЕДОВАТЕЛЬСКОЙ ДЕЯТЕЛЬНОСТИ
- URL: https://journals.eco-vector.com/0869-5873/article/view/15242
- DOI: https://doi.org/10.31857/S0869-5873897699-717
- ID: 15242
Citar
Texto integral
Resumo
The article defines the current state and dynamics of the scientific cooperation between Russia and non-Baltic post-Soviet states by studying researchers’ scientific co-publications indexed in the Web of Science. The statistics on the number of Russian and post-Soviet authors’ bilateral scientific articles in 2000–2017 were analyzed, as well as distribution of the articles by publication year, area of research, main sponsors, and authors’ organizational affiliations. Four groups of countries were specified, for which the dynamics of scientific publication cooperation with Russia can be described as growing, positive, stagnating, and dwindling respectively. The main areas of scientific cooperation between Russia and post-Soviet states were identified in general and for each partner country in particular, as well as the leading cooperating organizations, key areas of joint research, and major research sponsors. The comparative relevance of co-publications for the scientific community was evaluated through scientific citation indexes for each post-Soviet partner country and each key area of research. The valuable role of higher education institutions in maintaining scientific cooperation in the context of adverse political and economic environments was specified.
Texto integral
КРАВЦОВ Александр Александрович – кандидат экономических наук, старший научный сотрудник ИМЭМО РАН.
В условиях повышения роли науки как фактора производства и конкурентоспособности стран возрастает значимость международного научного сотрудничества. Оно обеспечивает распространение научных знаний, увеличивая экономический потенциал стран, и позволяет реализовывать проекты, которые невозможно осуществить силами одной страны. Особое значение научное сотрудничество имеет для государств, расположенных в одном регионе, для которых оно может выступать драйвером экономической интеграции.
Советский Союз входил в число мировых лидеров в области науки, и Россия как его главный преемник обладает большим потенциалом для международной научной кооперации. Динамика научного сотрудничества между ней и другими постсоветскими странами может послужить одним из индикаторов интенсивности и направления интеграционных процессов в регионе. Анализ динамики совместных научных исследований, основных направлений и ведущих участников научного сотрудничества позволяет оценить состояние и развитие национальных исследовательских сообществ, их научные связи с российским научным сообществом, а также перспективные пути взаимодействия.
До настоящего времени исследования научного сотрудничества на постсоветском пространстве не охватывали в должной мере динамику научных публикаций РФ со странами постсоветского пространства. Они сосредоточивались преимущественно на регламентирующих документах, в том числе в рамках инновационного сотрудничества [1–4], либо на опыте сотрудничества России с конкретными постсоветскими странами [5–7]. Иногда в поле зрения исследователей попадали конкретные научно-технические направления [8, 9], некоторые формы сотрудничества [10] или институциональные аспекты [11]. Если же публикации были посвящены анализу научно-технического сотрудничества (НТС) на постсоветском пространстве в целом, то они были краткими и обзорными [12]. В единственной монографии по данной теме НТС рассматривалось в контексте национальных интересов и рисков для РФ [13]. Динамика совместных публикаций учёных постсоветских стран как таковая не освещалась.
Настоящая работа призвана восполнить пробел в исследованиях научного сотрудничества России и стран постсоветского пространства путём анализа количественных показателей их совместной публикационной активности в Web of Science.
Методология исследования. Количественная оценка научной деятельности затруднительна, поскольку она не всегда завершается патентованием, разработкой опытных образцов, запуском производств, то есть чем-либо, что можно подсчитать. Однако можно оценить количество публикуемых научных статей. Поэтому широкое распространение получил подход, при котором научная деятельность считается тем более интенсивной и эффективной, чем больше публикаций по её итогам выходит в авторитетных изданиях. Данный подход не безупречен, поскольку далеко не все исследования завершаются научными публикациями, а качество публикаций может сильно разниться. Политика поощрения публикационной активности, принятая во многих организациях, порой подталкивает авторов к недобросовестности при подготовке научных статей. Появился целый ряд "хищнических" журналов (predatory journals), публикующих на возмездной основе статьи откровенно низкого качества при минимальной их проверке или вовсе без таковой [14, 15]. По этой причине для исследования были отобраны статьи, опубликованные в научных журналах, индексируемых в базе Web of Science Core Collection (далее – WoS) за 2000–2017 гг. WoS была выбрана нами как одна из ведущих реферативных баз научных изданий, индексирующая более 1 млрд библиографических ссылок и включающая наиболее авторитетные и престижные научные журналы мира.
В выборку вошли двусторонние публикации учёных России и стран постсоветского пространства, то есть статьи, авторы которых отнесены в WoS к РФ и одной из постсоветских стран, но не к каким-либо третьим странам. Страны Балтии – Эстония, Латвия и Литва – не были учтены в выборке, так как, войдя в ЕС, они фактически выпали из постсоветского пространства, и их научное развитие с тех пор, вероятно, более корректно рассматривать в контексте Евросоюза. По этой причине здесь и далее определение "постсоветские страны" не включает в себя страны Балтии.
Вначале была определена доля публикаций учёных постсоветского пространства в общем числе публикаций WoS, затем проанализирована динамика совместных научных публикаций РФ и каждой из рассмотренных стран, а также структура статей по организациям, с которыми аффилируют себя авторы, направлениям исследований и источникам финансовой поддержки. Изучалась цитируемость публикаций разных стран и направлений, сделаны выводы о состоянии и перспективах научно-публикационного сотрудничества России с каждой из рассмотренных стран.
Были выделены организации, с которыми аффилировалось наибольшее количество авторов. Публикационная активность этих организаций была прослежена в динамике. При подсчёте количества публикаций статьи относились к той или иной организации в случаях, когда с ней аффилировал себя хотя бы один из соавторов. Таким образом, каждая публикация при этом учитывалась как минимум дважды – как относящаяся к российской организации и к организации страны-партнёра. Количество соавторов из каждой участвующей организации в конкретной публикации не учитывалось, так как требовалось лишь установить сам факт причастности организации к подготовке публикации.
Аналогично при определении количества публикаций по различным направлениям исследований одни и те же статьи могли относиться к различным направлениям. К примеру, значительная доля статей по фармацевтике фиксировалась в качестве публикаций по химии. Подобное выделение пересекающихся направлений хотя и не является, на наш взгляд, оптимальным для данного исследования, однако принято в WoS, и обойти данную методологию в рамках настоящей работы не представляется возможным.
При изучении распределения совместных публикаций по тематике были выделены 10 ведущих (по количеству публикаций) направлений совместных исследований за 2000–2017 гг., совокупная доля которых в общем числе публикаций постсоветских стран в WoS составила 58,3 %. Прослежена динамика публикаций по каждому направлению.
Необходимо учитывать, что количество совместных публикаций по тому или иному направлению в WoS, как и в любой другой подобной базе данных, не позволяет оценить масштаб сотрудничества в целом, так как далеко не все научные публикации, подготавливаемые по итогам совместных исследований, индексируются в этой базе. Сведения WoS могут отличаться не только от общей картины публикационного сотрудничества между странами, но даже от данных других баз, например, Scopus. На то есть несколько причин. Во-первых, число журналов по разным направлениям исследований в WoS неодинаково и может не отражать в точности соотношение количества выходящих по этим направлениям публикаций, как в мире в целом, так и на постсоветском пространстве. Можно предположить, что за длительный период количество журналов, индексируемых в WoS и других подобных платформах, подстраивается под изменения общемирового количества публикаций по разным направлениям. Однако это, вероятно, происходит с некоторым временны́м лагом. Во-вторых, отличаются периодичность выхода журналов по разным тематикам и среднее число статей в их номерах. Направления исследований, освещаемые журналами, выходящими чаще и включающими в среднем большее число публикаций, будут сравнительно шире представлены в базе данных, чем направления, журналы по которым выходят реже и содержат меньше статей. Такой аспект публикационной активности ранее, по-видимому, не изучался, но оценка его влияния выходит за рамки этой работы. Тем не менее, несмотря на указанные проблемы, можно полагать, что данные по совместным публикациям в WoS дают в общем адекватное представление о масштабах и ведущих направлениях научного сотрудничества, поскольку для индексирования отбираются авторитетные издания, где публикуются наиболее значимые научные результаты. Необходимо лишь учитывать, что выводы, полученные из анализа публикаций в WoS, могут не полностью отражать публикационную активность той или иной страны или по определённому направлению исследований.
При анализе соотношения количества совместных статей по направлениям полезно учитывать, каково это соотношение по всем публикациям в WoS в целом. Это позволяет определить, присуща ли та или иная особенность сотрудничеству двух конкретных стран или же это общемировая тенденция. Относительно WoS можно отметить, что число индексируемых публикаций по естественным наукам значительно превышает число таковых по социально-гуманитарным дисциплинам. Так, в десятку направлений, наиболее популярных среди всех статей, индексируемых в WoS Core Collection, входят химия (10,7 % общего числа статей), инженерия (9,9 %), физика (9,5 %), материаловедение (6,4 %), биохимия и молекулярная биология (4,7 %), математика (3,9 %), энвироника и экология (3,7 %), нейробиология и неврология (3,6 %), вычислительная техника (3,5 %), фармакология и фармацевтика (2,7 %). Наиболее представленные социально-гуманитарные дисциплины – бизнес и экономика (2,7 %) и психология (2,5 %) – находятся лишь на 11-й и 12-й позициях1. По всей видимости, это объясняется преобладанием в WoS естественно-научных журналов. Поэтому выявленное далее лидерство естественных наук среди направлений сотрудничества РФ с постсоветскими странами может объясняться не только концентрацией совместных исследований на данных направлениях, но и более широкими возможностями для публикаций их результатов в WoS.
При изучении источников финансирования совместных исследований во внимание принимались лишь данные за 2008–2017 гг., так как сведения за предшествующий период в базе данных практически отсутствуют. Включение в выборку статей, вышедших до 2008 г., исказило бы долю конкретных спонсоров в общем числе публикаций.
Следует отметить, что данные за 2017 г. могут быть не вполне точными, поскольку, как показывает практика, не все вышедшие статьи вносятся в базу данных оперативно. Тем не менее мы рассмотрели и их, чтобы иметь возможность примерно оценить динамику изучаемых показателей за этот год.
Анализ количества совместных публикаций России с остальными постсоветскими странами и их распределения по направлениям исследований был дополнен анализом их цитирования. Это позволило частично компенсировать упомянутые выше возможные искажения при оценке значимости отдельных направлений исследований и сотрудничества России с другими странами, поскольку логично предположить, что качественные работы чаще цитируются. Оценка проводилась при использовании двух показателей – среднего числа цитирований и индекса Хирша.
Рис. 1. Динамика публикаций стран-лидеров по количеству публикаций в WoS
Источник: построено автором по данным WoS Core Collection.
Рис. 2. Включение российских журналов в Web of Science
Источник: построено автором по данным Source Publication List for WoS и WoS Core Collection (Source Publication List for Web of Science – Science Citation Index Expanded July 2017. http://mjl.clarivate.com/publist_sciex.pdf).
Доля публикаций стран постсоветского пространства в Web of Science. Постсоветские страны занимают более чем скромную позицию в WoS. В 2000–2017 гг. было подготовлено примерно 686 тыс. научных статей, что составляет лишь 3,1 % индексируемых в WoS публикаций за этот период. Ведущая роль здесь принадлежит России, публикаций с участием аффилированных с ней авторов насчитывается 541 тыс., то есть 78,9 % всех публикаций постсоветских стран в WoS. В то же время по общему числу публикаций WoS Россия занимает скромное 13-е место, уступая даже таким странам, как Австралия и Республика Корея (11-е и 12-е места). При этом динамика публикационной активности России примерно совпадает с таковой у большинства ведущих стран, публикующихся в WoS (рис. 1).
У многих стран наблюдаются значительный рост числа публикаций в 2015–2016 гг. и некоторое его сокращение в 2017 г. Это необязательно указывает на рост исследовательской активности и может быть следствием роста числа индексируемых в WoS журналов. Проверить эту гипотезу затруднительно по техническим причинам2, однако следует учесть данное обстоятельство при рассмотрении динамики совместных публикаций России и остальных стран постсоветского пространства.
Другим фактором, ощутимо влияющим на динамику этой группы публикаций, является изменение количества российских журналов, индексируемых в WoS. Следует ожидать, что в российских журналах доля совместных статей авторов из России и постсоветских стран существенно выше, чем в иностранных, так как они выходят на русском языке, родном для многих соавторов. Поэтому включение российских журналов в WoS теоретически могло повысить число индексируемых совместных публикаций. Статистика показывает, что в рассматриваемый период в некоторые годы число индексируемых отечественных журналов заметно возрастало, но лишь в 2007 и 2008 г. оно значительно увеличилось – на 9,5 и 13,4 % соответственно (рис. 2). Однако сравнение этих данных с динамикой общего числа совместных публикаций авторов из постсоветских стран с коллегами из РФ показывает, что на практике включение в WoS новых российских журналов не оказало заметного влияния на число рассматриваемых публикаций (табл. 1). Но следует учесть, что статистику по исключению журналов из своей базы данных WoS не публикует, хотя она также могла оказать некоторое влияние на динамику индексируемых статей.
Таблица 1. Динамика общего числа совместных с РФ научных публикаций постсоветских стран
Страна-партнёр | 2000 | 2001 | 2002 | 2003 | 2004 | 2005 | 2006 | 2007 | 2008 | 2009 | 2010 | 2011 | 2012 | 2013 | 2014 | 2015 | 2016 | 2017 | Всего |
Армения | 12 | 16 | 16 | 14 | 11 | 16 | 8 | 16 | 11 | 9 | 17 | 17 | 26 | 27 | 17 | 47 | 80 | 70 | 430 |
Азербайджан | 8 | 2 | 5 | 8 | 5 | 7 | 3 | 8 | 8 | 16 | 26 | 25 | 17 | 23 | 21 | 15 | 29 | 49 | 275 |
Белоруссия | 59 | 58 | 76 | 62 | 58 | 86 | 64 | 92 | 99 | 103 | 94 | 111 | 108 | 128 | 145 | 172 | 169 | 205 | 1889 |
Грузия | 13 | 18 | 12 | 12 | 29 | 11 | 16 | 11 | 16 | 17 | 11 | 9 | 17 | 5 | 7 | 10 | 12 | 12 | 238 |
Казахстан | 17 | 18 | 22 | 29 | 19 | 30 | 29 | 29 | 29 | 40 | 26 | 49 | 38 | 51 | 77 | 106 | 155 | 260 | 1024 |
Киргизия | 4 | 11 | 7 | 2 | 6 | 4 | 11 | 7 | 14 | 6 | 14 | 9 | 6 | 3 | 9 | 13 | 20 | 13 | 159 |
Молдавия | 4 | 5 | 11 | 7 | 5 | 4 | 11 | 9 | 9 | 10 | 10 | 10 | 5 | 7 | 8 | 16 | 16 | 18 | 165 |
Таджикистан | 6 | 5 | 10 | 5 | 4 | 8 | 6 | 16 | 14 | 8 | 8 | 8 | 6 | 6 | 10 | 17 | 16 | 23 | 176 |
Туркменистан | 5 | 1 | 2 | 1 | – | – | – | 1 | 1 | 1 | 2 | – | 1 | – | 2 | – | 1 | – | 18 |
Украина | 186 | 183 | 166 | 150 | 169 | 155 | 153 | 206 | 178 | 220 | 196 | 243 | 273 | 276 | 297 | 364 | 372 | 300 | 4087 |
Узбекистан | 12 | 22 | 21 | 16 | 16 | 23 | 7 | 17 | 17 | 22 | 10 | 21 | 16 | 20 | 24 | 21 | 28 | 27 | 340 |
Источник: построено автором по данным Web of Science Core Collection.
Среди остальных постсоветских стран следом за РФ по публикационной активности следует Украина, но на неё приходится лишь 13,1 % всех научных публикаций постсоветских стран в WoS. Прочие страны занимают ещё более скромные позиции: Белоруссия (2,9 %), Армения (1,5 %), Казахстан (1,3 %), Грузия (1,2 %), Азербайджан (1,0 %); совокупная доля Молдавии и среднеазиатских республик, кроме Казахстана, составляет 1,9 %. Необходимо помнить, однако, что часть публикаций была подготовлена в рамках проектов, осуществлявшихся вне постсоветского пространства, поэтому по представленным выше цифрам можно оценить публикационную активность учёных, аффилированых с данными странами, но не интенсивность исследовательской деятельности внутри стран.
По числу совместных публикаций с авторами из РФ предсказуемыми лидерами среди постсоветских стран являются Украина, Белоруссия и Казахстан (табл. 2). Из закавказских стран наиболее активно совместно с Россией публикуются учёные из Армении, в Средней Азии (после Казахстана) – из Узбекистана.
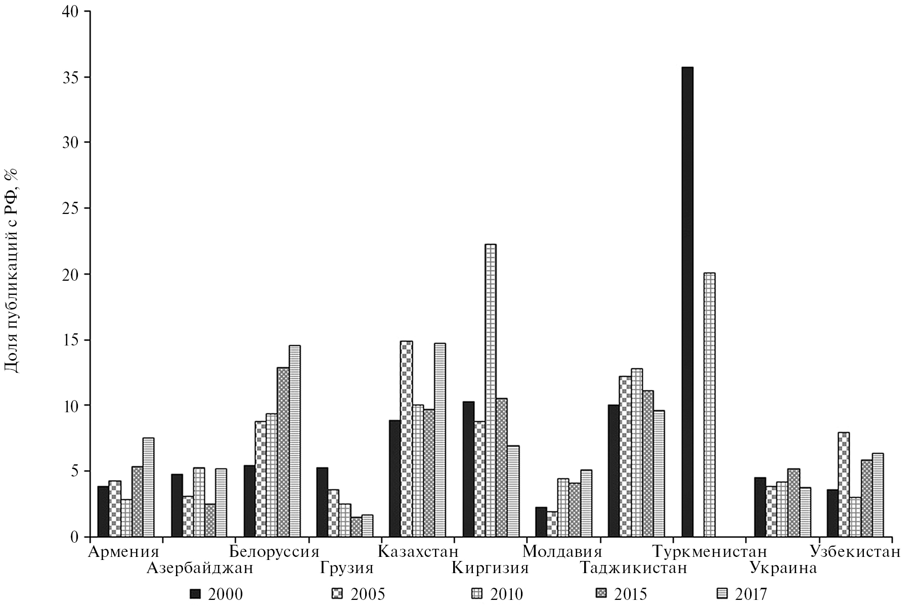
Наиболее показательный параметр – доля двусторонних публикаций той или иной страны с РФ в общем количестве её публикаций (рис. 3). Этот критерий позволяет оценить значимость научного сотрудничества с Россией для постсоветских стран. У большинства стран, за исключением Туркменистана, доля совместных с РФ публикаций не превышает 15 %. При этом рост этого показателя отмечается у Армении, Белоруссии и Молдавии, обратная тенденция – у Грузии. У остальных показатель колеблется, хотя у Таджикистана с 2010 г. он всё же падает.
Двустороннее публикационное сотрудничество. Ниже представлен анализ динамики двусторонних публикаций РФ и остальных постсоветских стран по данным на конец августа 2018 г.
Украина. Число совместных с РФ научных статей украинских учёных (4087 за 2000–2017 гг.) устойчиво возрастало, заметное снижение прослеживается лишь в 2017 г. Львиная доля совместных научных работ приходится на академии наук России (50 %, здесь и далее – от общего числа опубликованных за 2000–2017 гг. совместных статей РФ и рассматриваемой страны) и Украины (39,5 %). Однако заметны два спада: первый приходится на 2008 г. и связан с финансово-экономическим кризисом; второй – на 2014–2015 гг. и, по всей видимости, объясняется кризисом на Украине. На публикационной активности НАН Украины он сказался сразу же, а на статьях РАН – годом позже. Поэтому на динамике совместных статей кризис отразился с лагом: с 2016 г. наблюдается синхронное и близкое по темпам значительное падение публикационной активности учёных, аффилированных с обеими академиями. Таким образом, феномен спада 2017 г. – не только результат задержек регистрации статей в WoS, но и проявление кризиса в отношениях.
Таблица 2. Совместные статьи РФ и других пост-советских стран за 2000-2017 гг.
Страна-партнёр | Многосторонние публикации | Двусторонние публикации | ||
число | доля, % | число | доля, % | |
Армения | 2922 | 13,8 | 430 | 4,9 |
Азербайджан | 1254 | 5,9 | 275 | 3,1 |
Белоруссия | 4777 | 22,6 | 1889 | 21,5 |
Грузия | 1747 | 8,3 | 238 | 2,7 |
Казахстан | 1856 | 8,8 | 1024 | 11,6 |
Киргизия | 296 | 1,4 | 159 | 1,8 |
Молдавия | 529 | 2,5 | 165 | 1,9 |
Таджикистан | 181 | 0,9 | 176 | 2,0 |
Туркменистан | 35 | 0,2 | 18 | 0,2 |
Украина | 9361 | 44,3 | 4087 | 46,4 |
Узбекистан | 828 | 3,9 | 340 | 3,9 |
Всего | 21 141 | 100 | 8801 | 100 |
Источник: построено автором по данным WoS Core Collection
Рис. 3. Доля совместных с РФ публикаций среди всех научных статей постсоветских стран
Источник: рассчитано автором по данным WoS Core Collection.
Доля остальных организаций в числе российско-украинских статей в WoS скромна. Следует отметить МГУ им. М. В. Ломоносова (8,8 %), Харьковский национальный университет им. В. М. Каразина (ХНУ им. В. М. Каразина, 4,3 %), Белгородский государственный национальный исследовательский университет (2,8 %), Объединённый институт ядерных исследований в Дубне (ОИЯИ Дубны, 2,7 %), Крымскую астрофизическую обсерваторию (2,2 %), Санкт-Петербургский государственный университет (СПбГУ, 2,1 %), Национальный научный центр "Харьковский физико-технический институт" (ННЦ ХФТИ, 2,0 %) и Киевский политехнический институт им. Игоря Сикорского (1,3 %). Динамика публикаций этих учреждений различна: у МГУ и ХНУ им. В. М. Каразина она примерно повторяет таковую национальных академий наук, тогда как у ОИЯИ Дубны с 2014 г. наблюдается рост числа статей, который в 2017 г. лишь несколько сократился.
Украина, являясь ведущим научным партнёром России на постсоветском пространстве, ожидаемо обладает наиболее широким полем публикационного сотрудничества: 4087 статей, вышедших с 2000 по 2017 г., принадлежат к 96 исследовательским направлениям WoS (рис. 4), самые значимые из которых – физика (31,1 % статей), химия (26,4 %) и материаловедение (12,9 %). Далее следуют астрономия и астрофизика (6,5 %), металлургия и металлургическая инженерия (5,9 %), инженерия (4,9 %), оптика (3,6 %), механика (2,3 %) и геология (2,1 %). Число публикаций по большинству направлений медленно росло, а три ведущих направления – физика, химия, материаловедение – показывали значительный, хотя и нестабильный рост. Примечательно, что политический кризис отразился на числе статей по физике и материаловедению уже в 2014 г., тогда как число публикаций по химии в тот год возросло. Однако в 2017 г. наблюдалось снижение публикационной активности по всем направлениям. Всего на 10 ведущих направлений приходится 80,7 % публикаций.
Рис. 4. Ведущие направления совместных научных публикаций России и Украины
Источник: построено автором по данным WoS Core Collection.
Среди источников финансирования совместных публикаций России и Украины выделяется Российский фонд фундаментальных исследований: на него приходится 23,7 % статей за 2008–2017 гг. Однако с 2015 г. число поддерживаемых РФФИ публикаций неуклонно падает. То же самое происходит и с публикациями НАН Украины (6,1 %), РАН (4,8 %) и Государственным фондом фундаментальных исследований Украины (3,7 %). Его место постепенно занимали Минобрнауки РФ (7,2 %) и Российский научный фонд (4,5 %), но в 2017 г. число профинансированных ими работ также снизилось. Для 50,9 % статей источник финансирования не указан.
Можно заключить, что российско-украинское публикационное сотрудничество в WoS несёт потери вследствие кризиса в двусторонних отношениях. Академии наук двух стран сворачивают кооперацию, падает спонсорская активность РФФИ, а также, хотя и не так явно, Минобрнауки России и РНФ. Это отражается на числе статей по ключевым направлениям –физике, химии и материаловедению. Вместе с тем пока не сокращается число публикаций по второстепенным направлениям, что даёт надежду на сохранение научных связей между некоторыми организациями.
Рис. 5. Ведущие направления совместных научных публикаций России и Белоруссии
Источник: построено автором по данным WoS Core Collection.
Белоруссия. Из всех постсоветских стран Белоруссия показывает наилучшую динамику двустороннего сотрудничества с РФ, с 2007 г. наблюдается устойчивый рост числа совместных публикаций (1889 за 2000–2017 гг.).
Ведущие партнёры, как и в случае с Украиной, – РАН (54 % статей) и НАН Белоруссии (40,2 %). Число их совместных статей устойчиво возрастает. У остальных организаций положительная динамика не столь ярко выражена, в 2017 г. наблюдался небольшой спад. Помимо академий наук, в числе важных организаций-партнёров следует отметить Белорусский государственный университет (19,7 %), МГУ им. М. В. Ломоносова (8,3 %), Белорусский национальный технический университет (5,9 %), Белорусский государственный университет информатики и радиоэлектроники (3,7 %), Санкт-Петербургский государственный политехнический университет (2,1 %), Новосибирский государственный университет (2 %), Санкт-Петербургский политехнический университет Петра Великого (1,5 %) и РАМН (1,3 %). Все университеты имеют давние научные связи, прослеживающиеся на протяжении всего периода наблюдения. Исключение – Санкт-Петербургский политехнический университет, начавший публиковать совместные работы с белорусскими авторами с 2014 г. Особняком стоит РАМН, совместные публикации которой появляются нечасто и не имеют тенденции к росту.
Рис. 6. Ведущие направления совместных научных публикаций России и Молдавии
Источник: построено автором по данным WoS Core Collection.
Статей, опубликованных отечественными учёными и их белорусскими коллегами, меньше, чем в случае с Украиной, но они тоже диверсифицированы по тематике (рис. 5). Из 64 направлений совместных исследований первое место принадлежит работам по физике (34,5 %), существенны доли статей по химии (17 %), материаловедению (14,5 %), оптике (11 %), инженерии (10,4 %). Также можно отметить спектроскопию (7,9 %), биохимию и молекулярную биологию (3,9 %), кристаллографию (3,1 %), приборостроение (2,9 %) и математику (2,8 %). Всего на долю 10 ведущих направлений приходится 82,7 % публикаций.
Финансовую поддержку исследований России и Белоруссии осуществляют преимущественно национальные фонды фундаментальных исследований – РФФИ (27,7 % статей за 2008–2017 гг.) и Белорусский фонд фундаментальных исследований (17,6 %). С 2010 г. возрастает число статей, поддержанных Минобрнауки России (7,8 %) и РНФ (3,6 %). Заметна роль РАН (3,5 %) и грантов президиума РАН (2,6 %). Для 34,7 % статей источник финансирования не указан.
Таким образом, публикационное сотрудничество России и Белоруссии в WoS развивается весьма активно как количественно, так и качественно. Хотя доминирующую роль по-прежнему играют учреждения национальных академий наук, спектр исследований и их финансовая поддержка расширяются.
Молдавия. Публикационное сотрудничество России с Молдавией (165 статей за 2000–2017 гг.) до 2015 г. было крайне нестабильным. В 2003– 2005 гг. и в 2012 г. наблюдался значительный спад количества выходивших публикаций, но с 2015 г. оно начало активно возрастать.
Основными сотрудничающими организациями были и остаются АН Молдавии (64,8 % статей) и РАН (37 %). Именно их взаимодействие до последнего времени определяло общую динамику публикаций, однако с 2016 г. число их статей падает. Также обращают на себя внимание ОИЯИ Дубны (21,8 %) и Приднестровский государственный университет им. Т. Шевченко (13,9 %), начавшие публиковаться в WoS в 2010-е годы. Первый активно публиковался в 2009–2015 гг., но с 2016 г. стал сокращать активность, тогда как второй наращивает её с 2015 г. МГУ им. М. В. Ломоносова (9,1 %) публикуется дольше, но понемногу (1–2 статьи в год), тогда как Европейский университет Молдавии и МПГУ (по 3 %) отмечаются лишь в 2017 г. В то же время Молдавский государственный университет (7,9 %) публикует статьи всё реже.
В совместных публикациях России и Молдавии ведущую роль играют статьи по физике (39,4 %), стабильно выходящие каждый год и посвящённые преимущественно физике плотных сред (рис. 6). Количество публикаций по химии (13,3 %) постепенно сокращается, как и по металлургии (5,5 %). Зато с 2015 г. растёт число статей по наукам о материалах (9,1 %) и компьютерным наукам (5,1 %). Заметными направлениями стали электрохимия (4,2 %), а также биохимия и молекулярная биология, оптика и педагогические науки (по 3,6 %). По 3 % статей приходится на энвиронику и экологию. Всего на ведущие 10 из 49 направлений сотрудничества приходится 77,6 % публикаций.
Практически единственным выделяющимся на общем фоне спонсором совместных исследований России и Молдавии выступает РФФИ (29,4 % статей за 2008–2017 гг.). Остальные источники финансирования обеспечивают не более 1–2 статей в год. Для 52,3 % статей источник финансирования не указан.
В целом можно заключить, что публикационное сотрудничество России и Молдавии в WoS в последние несколько лет претерпевает существенные изменения – возрастает роль сотрудничества с Приднестровьем, тогда как научные связи с остальной Молдавией активного роста не показывают и в будущем могут начать сокращаться.
Грузия. Динамика совместных публикаций России и Грузии (238 за 2000–2017 гг.) нестабильна: при среднем количестве 10–17 статей в год наблюдались как пики в 29 статей (2004), так и спады до 5 статей (2013). В 2014–2016 гг. динамика восстановилась до средних значений, но без дальнейшего роста.
Среди организаций, с которыми аффилированы авторы российско-грузинских публикаций, доминируют РАН и Тбилисский государственный университет им. И. Джавахишвили –на них приходится 44,5 % и 30,7 % публикаций соответственно. Характерно, что до 2008 г. ведущим партнёром с грузинской стороны была АН Грузии (26,9 %), однако после событий в Южной Осетии количество совместных публикаций с её участием, и без того крайне нестабильное, практически сошло на нет. Другие активно сотрудничающие учреждения выпускают 1–2, редко 3–4 статьи в год. Среди них ОИЯИ Дубны (18,1 %), Грузинская национальная астрофизическая обсерватория им. Е. Харадзе (6,3 %), МГУ им. М. В. Ломоносова (5,9 %), Грузинский технический университет (4,6 %), Кутаисский государственный университет им. А. Церетели (4,2 %), СПбГУ (3,8 %) и Государственный университет Ильи (3,4 %). Прослеживается постепенное сокращение числа совместных статей ведущих организаций-партнёров – РАН и Тбилисского государственного университета – при отсутствии роста активности остальных организаций.
Рис. 7. Ведущие направления совместных научных публикаций России и Грузии
Источник: построено автором по данным WoS Core Collection.
Номенклатура направлений сотрудничества достаточно широка (55), однако количество статей по основным из них сокращается (рис. 7). Ведущее направление – физика (27,7 % статей), по которой, однако, со второй половины 2000-х годов стало выходить гораздо меньше статей. Другое важное направление – химия (17,2 %). В 2010-е годы спектр направлений, по которым публиковались совместные статьи, сократился. Практически исчезли публикации по астрономии и астрофизике (9,7 %), исследовательской и экспериментальной медицине (5,5 %). Более-менее регулярно продолжают выходить статьи по геологии (8,4 %) и математике (6,3 %). Публикаций по геохимии и геофизике (5 %), инженерии (2,9 %), биохимии и молекулярной биологии (2,5 %) мало, и их число продолжает сокращаться. На 10 ведущих направлений приходится 84 % статей.
Финансирование совместных исследований России и Грузии хотя и подвержено резким колебаниям, но устойчивого сокращения числа поддерживаемых статей не прослеживается. Впрочем, это едва ли может быть поводом для оптимизма: статьи, имеющие финансовую поддержку, составляют чуть более половины от их общего числа (52,3 % статей за 2008–2017 гг.), из них более 60 % приходится на РФФИ (53,7 % статей, вышедших с 2007 г.) и президиум РАН (14,9 %). Другие заметные спонсоры: Национальный научный фонд им. Ш. Руставели (19,4 %), Международный центр по науке и технологиям (ISCT, 14,9 %), Минобрнауки России (3,1 %), СПбГУ (3,1 %) и РНФ (2,3 %). На семь названных источников в совокупности приходится порядка 80 % проспонсированных статей. Для 47,7 % статей источник финансирования не указан. В целом публикационное сотрудничество России и Грузии в WoS можно охарактеризовать как постепенно сворачивающееся, поскольку скромный рост числа совместных публикаций в 2014–2017 гг. происходил на фоне продолжающегося сокращения направлений совместных исследований и не даёт оснований ожидать серьёзных улучшений.
Рис. 8. Ведущие направления совместных научных публикаций России и Армении
Источник: построено автором по данным WoS Core Collection.
Армения. Публикационная активность показывает, что научное сотрудничество России и Армении хотя и значительно по меркам постсоветского пространства (430 за 2000–2017 гг.), в целом не так велико. С 2010 г. наметилась положительная динамика (с 10–20 до 15–25 статей в год), а с 2014 г. – значительный рост (до 80 статей в 2016 г.). В 2017 г. наблюдался некоторый спад (70 статей), но трактовать его следует с осторожностью. В основном успешное сотрудничество налажено благодаря РАН (45,2 % статей) и НАН Армении (41,3 %). Последняя с 2010 г. вышла в лидеры (с 10 статей в 2014 г. до 47 в 2016 г.), опередив РАН (36 статей в 2016 г.). С 2015 г. свою лепту в поддержание научных связей внесли Ереванский государственный университет (31,3 %) и Томский политехнический университет (8,1 %), причём если первый стабильно занимает первое место среди вузов двух стран по числу двусторонних публикаций, то второй начал развивать сотрудничество с Арменией лишь в 2010-е годы. Новыми заметными лидерами стали Российско-армянский (славянский) университет (5,6 %), МФТИ (5,3 %) и Санкт-Петербургский политехнический университет Петра Великого (2,1 %). Среди традиционных лидеров с начала 2000-х годов выделяются ОИЯИ Дубны (16 %), Ереванский физический институт (11,4 %) и МГУ им. М. В. Ломоносова (3,7 %).
Можно отметить, что научная кооперация России и Армении развивается достаточно активно, но происходит это в первую очередь за счёт физики (43,3 % статей, рис. 8). Также рост числа публикаций обеспечивается сотрудничеством по новым направлениям – спектроскопии, акустике, кристаллографии. Возросло количество статей по химии (14,9 %), оптике (7,7 %), астрономии и астрофизике (6 %). В то же время по материаловедению (5,6 %), механике (4,2 %), генетике (3,5 %), биохимии и молекулярной биологии (3,0 %), инженерии (3,0 %) и математике (2,8 %) их больше не стало. Сотрудничество осуществляется в общей сложности по 62 направлениям, на 10 ведущих приходится 81,4 % статей.
Подавляющее большинство публикаций с указанным источником финансирования выходит при поддержке РФФИ (29,4 % статей за 2008–2017 гг.) и Комитета по науке Минобрнауки Армении (21,6 %). В сумме они обеспечивают 73,7 % работ, для которых указан источник финансирования, – это более 30 % всех совместных статей. Примечательно, что в четвёрку ведущих спонсоров совместных исследований входит формально иностранная организация – базирующийся в США Армянский национальный фонд науки и образования (ANSEF). Для 39,7 % статей источник финансирования не указан.
Таким образом, публикационное сотрудничество России и Армении в WoS развивается поступательно. Армения является одной из тех немногих стран постсоветского пространства, в сотрудничестве с которой заметна роль иностранных спонсоров (ANSEF). Среди направлений исследований, как и в случае с другими странами, наиболее заметна физика, она и обеспечивает рост публикационной активности.
Азербайджан. Количество совместных публикаций РФ с Азербайджаном (275 за 2000–2017 гг.), стагнировавшее на протяжении большей части 2000-х годов на уровне 5–10 статей в год, в 2010-е годы возросло до 15–25 статей в год, однако устойчивой положительной динамики пока не наблюдается. В 2012 и 2015 г. были существенные спады активности, а в 2016–2017 гг. – резкий рост (до 49 статей в 2017 г.).
При рассмотрении аффилиации авторов совместных научных статей становится видно, что в 2010-е годы рост достигался не только за счёт ведущих партнёров – НАН Азербайджана (54,5 % статей) и РАН (48,4 %), но и благодаря научной кооперации вузов. В число основных партнёров вошли Бакинский государственный университет (28,4 %) и МГУ им. М. В. Ломоносова (21,8 %), значительно нарастившие число публикаций, ОИЯИ Дубны (9,1 %), а в последние три рассмотренных года – РУДН (4,7 %) и Нижегородский государственный технический университет им. Р. Е. Алексеева (4,4 %).
В отношении направлений совместных исследований с Российской Федерацией Азербайджан примечателен достаточно малым числом таких направлений (38) и существенной концентрацией исследований в области химии (34,5 %) (рис. 9). На занимающую вторую позицию физику приходится значительно меньшее число публикаций (17,5 %). Необычно высокая, в сравнении с остальными постсоветскими странами, доля химии достигается главным образом за счёт нефтехимии – приоритетного направления сотрудничества двух стран. В 2010-е годы спектр направлений сотрудничества существенно расширился: появилось заметное число публикаций по материаловедению (12 %) и инженерии (9,5 %). Из прочих дисциплин можно выделить астрономию и астрофизику (5,8 %), кристаллографию (5,1 %), энергетику (4,4 %) и математику (4,4 %). На 10 ведущих направлений приходится 79,3 % публикаций.
Рис. 9. Ведущие направления совместных научных публикаций России и Азербайджана
Источник: построено автором по данным WoS Core Collection.
Основными спонсорами совместных публикаций выступили РФФИ (16,6 % статей за 2008–2017 гг.), с 2010-х годов – Минобрнауки России (4,8 %) и РНФ (4,4 %). С азербайджанской стороны – Фонд развития науки при президенте Азербайджана (поддержал 4,4 % работ), Институт нефтехимических процессов им. Ю. Г. Мамедалиева (1,3 %). Для 66,4 % статей источник финансирования не указан.
Публикационное сотрудничество России и Азербайджана в WoS, ранее слабо развивавшееся, с 2010-х годов заметно расширилось как количественно, так и качественно, однако динамика его остаётся нестабильной.
Казахстан. Динамика числа публикаций России и Казахстана (1024 за 2000–2017 гг.), колебавшаяся в районе 25–30 статей в год, показала резкий рост с 38 статей в 2013 г. до 260 в 2017 г. Число публикаций увеличилось у всех основных сотрудничающих организаций: у РАН (37,6 % статей) – в 3,5 раза, у Казахского национального университета им. аль-Фараби (14,1 %) – в 3 с лишним раза, у МГУ им. М. В. Ломоносова (9,8 %) – в 4 раза, у Евразийского университета им. Л. Н. Гумилёва (8,8 %) – в 8 раз. Также повысили свою активность Карагандинский государственный университет им. Е. А. Букетова (6 %) и Новосибирский государственный университет (5 %). С 2013 г. в WoS регистрируются статьи Карагандинского государственного технического университета (3,8 %). В то же время Минобрнауки Казахстана (4,1 %), Казанский (Приволжский) федеральный университет (3,4 %) и ОИЯИ Дубны (3,3 %) не показали значительного роста числа публикаций за 2014–2017 гг.
Рис. 10. Ведущие направления совместных научных публикаций России и Казахстана
Источник: построено автором по данным WoS Core Collection.
Казахстанские и российские учёные при достаточно широком поле сотрудничества (85 направлений) публиковали в WoS преимущественно труды по химии (20,7 %) и физике (20,4 %) (рис. 10). Инженерия и математика с 2014 г. также стали важными областями, с 2011 г. растёт число статей по материаловедению (5,9 %), энергетике и фармакологии (по 4,7 %). Напротив, металлургия и металлургическая инженерия (5,5 %), до середины 2000-х годов являвшиеся одними из ведущих тем публикаций, теряют свои позиции: в год выходят лишь 1–2 статьи. Другое значимое направление – геология (4,4 %). Совместные публикации охватывают 85 направлений, из которых на первые 10 приходится 78,6 % статей.
Среди спонсоров российско-казахстанских исследований выделяются Минобрнауки Казахстана (15,9 % статей за 2008–2017 гг.) и РФФИ (15,8 %). Они – ведущие спонсоры и с 2013 г. увеличивают финансирование, что коррелирует с ростом числа статей с 2014 г. Другие важные спонсоры – Минборнауки России (5,5 %), РАН (3,7 %) и РНФ (2,8 %). Эти организации совместно профинансировали 79 % статей, для которых указаны спонсоры, что составляет 25 % всех статей. Для 62,8 % статей источник финансирования не указан.
Очевидно, что публикационное сотрудничество двух стран в WoS с 2014 г. начало резко набирать обороты. Однако оно концентрируется главным образом в сфере физики и осуществляется преимущественно РАН и двумя вузами – Казахским национальным университетом им. аль-Фараби и МГУ им. М. В. Ломоносова. Финансово поддерживает сотрудничество в основном РФФИ.
Киргизия. Совместные публикации России и Киргизии (159 за 2000–2017 гг.) имеют нестабильную динамику: на протяжении большей части рассматриваемого периода отмечались частые и резкие (из-за малого общего числа статей) колебания в пределах 5–15 статей в год. Рост в 2014–2016 гг. (до 20 статей в 2016 г.) лишь компенсировал падение 2011–2013 гг., а уже в 2017 г. вышло лишь 13 публикаций.
Среди организаций, с которыми аффилированы авторы, выделяются РАН (65,4 % статей) и НАН Киргизии (23,9 %). Также есть "новички", постепенно нарастающая активность которых прослеживается с середины 2000-х годов: Киргизско-российский славянский университет им. Б. Н. Ельцина (13,2 %), Ошский государственный университет (5 %), Новосибирский государственный университет (5 %). Ряд вузов в 2010-е годы прекратили двустороннее сотрудничество – это Иссык-Кульский государственный университет им. К. Тыныстанова (7,5 %), Уральский государственный технический университет (4,4 %) и Кыргызский национальный университет им. Ж. Баласагына (3,1 %). Особняком стоит МГУ им. М. В. Ломоносова (5,7 %) – его статьи выходят нерегулярно, но в течение всего периода наблюдения.
Рис. 11. Ведущие направления совместных научных публикаций России и Киргизии
Источник: построено автором по данным WoS Core Collection.
По большинству из 38 направлений двустороннего сотрудничества выходит не более одной статьи в год (рис. 11). На 10 ведущих направлений приходится 74,8 % статей. Лидируют науки о земле: геохимия и геофизика (18,9 % статей) и геология (18,2 %). Также публикуются статьи по физике (9,4 %), кристаллографии (7,5 %), метеорологии (6,3 %), терапии, горном и горно-обогатительном деле, океанографии (по 4,4 %) и оптике (3,8 %).
Финансирование российско-киргизских публикаций осуществляется преимущественно РФФИ (30,8 % статей за 2008–2017 гг.), Международным центром науки и технологии (ISTC, 11,2 %) и РАН (5,6 %). На их долю приходится 78,8 % статей, для которых указан источник финансирования (или 38,3 % всех статей). РФФИ выступает основным спонсором совместных публикаций, но число поддержанных им статей нестабильно, провал в 2012–2013 гг., по всей видимости, связан с экономическим спадом. Для 51,4 % статей источник финансирования не указан. Таким образом, российско-киргизское публикационное сотрудничество в WoS малоактивно и нестабильно, подвержено экономическим кризисам.
Таджикистан. Динамика количества совместных с Россией статей Таджикистана (176 за 2000– 2017 гг.) столь же нестабильна, как и у Киргизии. Однако последовавший после пика в 2007 г. (16 статей) спад, связанный с финансово-экономическим кризисом, начался быстрее и длился до 2014 г. (менее 10 статей в год в 2009–2013 гг.), после чего начался активный рост (до 23 статей в 2017 г.).
Бóльшая часть совместных публикаций приходится на РАН (44,3 % статей) и Академию наук Таджикистана (36,4 %). Обе они оказались сильно подвержены сокращению финансирования в период экономического кризиса, что определило динамику публикаций. Остальные организации, имея относительно слабые научные связи с РФ, не смогли компенсировать спада. Таджикский национальный университет (19,3 %), наиболее активный до 2008 г., с началом кризиса практически свернул сотрудничество с Россией. ОИЯИ Дубны (13,6 %), Физико-технический институт им. С.У. Умарова (12,5 %) и МГУ им. М. В. Ломоносова (11,4 %) выпускают статьи достаточно стабильно, но штучно. Государственный университет "Дубна" (8 %) и Казанский (Приволжский) федеральный университет (3,4 %) начали публиковать совместные исследования с Таджикистаном в 2010-х годах.
Число совместных научных публикаций России и Таджикистана настолько скромно (176 статей по 31 направлению), что выделить основные направления затруднительно (рис. 12), поскольку в год выходит лишь 1–3 статьи по каждому. Исключение составляет физика (30,7 %), по которой в 2008–2009 гг. и 2015–2017 гг. выходило по 5–8 статей в год. Из остальных более-менее постоянных тем исследований заслуживают упоминания астрономия и астрофизика (11,4 %), химия (9,7 %), полимероведение (7,4 %), математика (6,8 %) и геология (5,7 %). По некоторым направлениям сотрудничество сворачивается (кристаллография, экспериментальная медицина), по другим начинается (металлургия, фармакология). Всего на 10 ведущих направлений приходится 78,4 % публикаций.
Рис. 12. Ведущие направления совместных научных публикаций России и Таджикистана
Источник: построено автором по данным WoS Core Collection.
Основными спонсорами совместных публикаций Таджикистана и РФ являются РФФИ (25,9 % статей за 2008–2017 гг.), РАН (11,2 %), ISTC (10,3 %) и ОИЯИ Дубны (6 %). Для 42,4 % статей источник финансирования не указан.
Научно-публикационное сотрудничество РФ с Таджикистаном в WoS находится на стабильно низком уровне. Наиболее значимая область – физика, но даже по ней статьи выходят нерегулярно и их мало. На смену статьям по кристаллографии и экспериментальной медицине приходят публикации по металлургии и фармакологии. Публикационная активность сильно зависит от финансирования: в годы кризисов ведущие спонсоры исследований сокращают поддержку, что сказывается на числе статей.
Узбекистан. Сотрудничество России и Узбекистана менее подвержено влиянию кризисов, чем в двух предыдущих случаях. Узбекистан занимает второе место после Казахстана по числу совместных статей с РФ среди постсоветских стран Азии – 340 за 18 лет. Но, в отличие от Казахстана, динамика очень неровная: от 7 до 22 статей в год. С 2013 г. прослеживается тренд к постепенному росту числа выходящих статей (до 28 в 2016 г.), но нестабильный.
Как и в случае с большинством других постсоветских стран, наиболее активны академии наук. На долю АН Узбекистана приходится 52,3 % совместных статей, на долю РАН – 47,9 %. Заметна также роль ОИЯИ Дубны (13,2 %), Национального университета Узбекистана им. М. Улугбека (12,6 %) и МГУ им. М. В. Ломоносова (11,2 %). Следует отметить Самаркандский государственный университет (5 %) и недавно подключившиеся к сотрудничеству Ташкентский государственный технический университет им. И. Каримова (2,6 %), Санкт-Петербургский государственный университет (2,4 %) и Сургутский государственный университет (2,4 %). Примечательно, что периодические падения количества статей, выпущенных национальными академиями наук, нередко (в 2005, 2012 и 2014–2017 гг.) в немалой степени компенсировались ростом числа публикаций ОИЯИ Дубны и вузов.
Рис. 13. Ведущие направления совместных научных публикаций России и Узбекистана
Источник: построено автором по данным WoS Core Collection.
За 2000–2017 гг. узбекистанские и российские учёные опубликовали статьи по 47 направлениям, на 10 ключевых пришлось 80,3 % статей, на химию – 31,8 % и физику – 30 % (рис. 13). Важные направления – фармакология и фармацевтика (17,6 %), но статьи выходят нерегулярно. С 2012 г. количество совместных статей возрастает, увеличивается и число направлений, по которым сотрудничают учёные двух стран. В 2016–2017 гг. росло число публикаций по материаловедению (7,9 % статей с 2000 г.). Также следует отметить эпизодическое сотрудничество по другим направлениям: инженерии (5 %), материаловедению (3,2 %), математике (2,6 %) и астрономии (2,6 %).
Доля статей, для которых указаны источники финансовой поддержки, рекордно низкая среди всех рассматриваемых стран и составляет 25 % (ниже только в совместных статьях с Туркменистаном). Бо́льшая часть спонсируемых статей (77,6 %) опирается на поддержку РФФИ (27,2 % статей за 2008–2017 гг.), АН Узбекистана (5,8 %), Deutsche Forschungsgemeinschaft (4,4 %), РАН (3,4 %) и президиум РАН (2,9 %) финансируют не более 3–4 работ в год. Примечательно, что цитируемость статей, спонсируемых немецкой организацией, заметно выше, чем других. Вклад остальных спонсоров ещё скромнее. Для 59,2 % статей источник финансирования не указан.
Благодаря тому, что именно в Узбекистане во времена Советского Союза появились первые ведущие научные центры Средней Азии, он располагает солидной научной базой, и в XXI в. выходит значительное число индексируемых в WoS совместных с РФ статей по всё более широкому спектру направлений.
Туркменистан. Из всех стран постсоветского пространства Туркменистан сотрудничает с Россией наименее активно. За 18 лет вышло лишь 18 совместных публикаций по 9 направлениям, в том числе 5 – по геохимии и геофизике, 4 – по физике, 3 – по инженерии. По агрикультуре, энвиронике, геологии, биомедицине и нейробиологии вышло по одной статье в начале 2000-х годов, в 2010 г. – одна статья по генетике. Цитируемость всех статей низкая, исключение – статья по геологии, процитированная в 47 работах. Все 18 публикаций были выпущены сотрудниками РАН (11 статей), АН Туркменистана (6 статей), Туркменского государственного университета им. Махтумкули (3 статьи), МГУ им. М. В. Ломоносова (2 статьи), Санкт-Петербургского политехнического университета (2 статьи) и Петербургского государственного университета путей сообщения Императора Александра I (2 статьи). При этом обе статьи сотрудников МГУ вышли до 2005 г., а все статьи петербургских вузов – после. Из 8 статей, опубликованных за 2008–2017 гг., лишь для двух указан источник финансовой поддержки: в 2009 г. – РАН, в 2010 г. – РАН и РФФИ. Можно сделать вывод, что публикационное сотрудничество двух стран, учитываемое WoS, носит символический характер, отражая обособленность Туркменистана от внешнего мира.
Цитируемость публикаций. Сравнение цитируемости совместных публикаций России и стран постсоветского пространства даёт возможность оценить востребованность результатов совместной научной деятельности отечественных учёных и их зарубежных коллег. Подобное сравнение возможно благодаря равной доступности статей авторов из всех постсоветских стран для читателей, имеющих доступ к WoS, поскольку более 90 % рассматриваемых публикаций вышло на английском языке (табл. 3).
Таблица 3. Совместные статьи РФ и других пост-советских стран за 2000–2017 гг.
Страна-партнёр | Доля публикаций на языках, % | ||
английском | русском | прочих | |
Армения | 96,3 | 3,7 | 0 |
Азербайджан | 94,5 | 5,5 | 0 |
Белоруссия | 96,6 | 3,3 | 0,1 |
Грузия | 98,3 | 1,7 | 0 |
Казахстан | 92,3 | 7,4 | 0,3 |
Киргизия | 90,0 | 10,0 | 0 |
Молдавия | 96,4 | 3,6 | 0 |
Таджикистан | 98,3 | 1,7 | 0 |
Туркменистан | 94,4 | 5,6 | 0 |
Украина | 95,1 | 4,0 | 0,8 |
Узбекистан | 95,6 | 4,4 | 0 |
Источник: построено автором по данным Web of Science Core Collection.
Исходя из данных WoS, можно оценить два показателя цитирования публикаций: среднее число цитирований (частное от деления числа цитирований всех статей на число этих статей) и индекс Хирша (максимальное количество статей, количество которых меньше или равно числу цитирований каждой из них). Первый показатель наглядно характеризует востребованность в научном сообществе рассматриваемой группы статей в целом, но обладает существенным недостатком: по нему невозможно определить, насколько равномерно распределены цитаты между статьями. Значительная величина показателя может достигаться за счёт лишь одной или нескольких очень востребованных статей. Индекс Хирша обладает обратным свойством: никак не характеризуя общее число цитирований, он отражает количество высокоцитируемых статей. На наш взгляд, следует использовать оба показателя, чтобы иметь возможность оценить как общую активность цитирования, так и количество популярных статей (табл. 4). При этом прямое сопоставление чисел возможно лишь для среднего числа цитирований, так как индекс Хирша зависит от общего количества публикаций3.
Таблица 4. Цитируемость совместных с РФ публикаций за 2000–2017 гг. по странам
Страна-партнёр | Число совместных публикаций с РФ | Среднее число цитирований одной статьи | Индекс Хирша |
Армения | 430 | 3,65 | 15 |
Азербайджан | 275 | 2,59 | 10 |
Белоруссия | 1889 | 5,28 | 34 |
Грузия | 238 | 5,39 | 15 |
Казахстан | 1024 | 2,81 | 21 |
Киргизия | 159 | 4,19 | 13 |
Молдавия | 165 | 3,65 | 12 |
Таджикистан | 176 | 4,83 | 14 |
Туркменистан | 18 | 6,72 | 6 |
Украина | 4087 | 4,83 | 38 |
Узбекистан | 340 | 3,89 | 17 |
Источник: построено автором по данным Web of Science Core Collection.
Наиболее востребованными оказываются результаты научно-публикационного сотрудничества РФ с Белоруссией. Украина, при вдвое большем числе совместных публикаций с РФ, имеет заметно меньшее среднее число цитирований и лишь ненамного более высокий индекс Хирша, а Казахстан отстаёт от обеих по всем показателям.
Из закавказских стран наиболее востребованы результаты совместных исследований РФ с Грузией. При наименьшем количестве публикаций Грузия имеет не только наибольшее среднее число цитирований, но и индекс Хирша, значения которого находятся примерно на уровне Армении и превосходят Азербайджан.
В отношении стран Средней Азии можно утверждать, что Казахстан и Узбекистан лидируют по масштабам сотрудничества. Они имеют более высокий индекс Хирша (что, как было показано выше, закономерно), однако более скромную среднюю цитируемость. Особняком стоит Туркменистан: за счёт малого количества статей он имеет очень высокое среднее число цитирований, но при этом самый низкий индекс Хирша среди рассмотренных стран, то есть востребованность его совместных с Россией статей невелика. Также очень незначительна востребованность совместных публикаций РФ и Молдавии, у которых значения средней цитируемости и индекса Хирша одни из самых низких.
Таблица 5. Цитируемость совместных с РФ публикаций за 2000–2017 гг. по направлениям*
Показатель | Направление исследований | |||||||||||
физика | химия | инженерия | материаловедение | математика | геология | астрономия | оптика | кристаллография | металлургия | биохимия | приборостроение | |
Украина | ||||||||||||
Число статей | 1286 | 1090 | 203 | 536 | 81 | 86 | 265 | 149 | 85 | 245 | 83 | 69 |
Среднее цитирование | 5,41 | 6 | 3,98 | 6,14 | 3,78 | 4,28 | 5,72 | 5,69 | 6,14 | 4,76 | 8,14 | 4,28 |
Индекс Хирша | 29 | 31 | 14 | 25 | 9 | 11 | 16 | 12 | 10 | 17 | 13 | 8 |
Белоруссия | ||||||||||||
Число статей | 649 | 320 | 195 | 274 | 51 | 20 | 30 | 207 | 59 | 41 | 73 | 55 |
Среднее цитирование | 6,62 | 6,57 | 3,81 | 5,59 | 3,69 | 3,55 | 15,73 | 8,15 | 3,29 | 3,24 | 8,48 | 2,25 |
Индекс Хирша | 27 | 22 | 12 | 17 | 6 | 5 | 10 | 21 | 7 | 6 | 12 | 6 |
Молдавия | ||||||||||||
Число статей | 65 | 23 | 3 | 15 | 1 | 1 | 3 | 6 | 2 | 9 | 6 | 2 |
Среднее цитирование | 6,25 | 3,13 | 2,67 | 2,67 | 1 | 19 | 3,33 | 1,5 | 1,5 | 1,67 | 1,5 | 1 |
Индекс Хирша | 9 | 4 | 2 | 4 | 1 | 1 | 2 | 2 | 1 | 2 | 2 | 1 |
Грузия | ||||||||||||
Число статей | 66 | 41 | 7 | 3 | 15 | 20 | 23 | 4 | 2 | 1 | 6 | 1 |
Среднее цитирование | 5,88 | 8,66 | 2,29 | 3 | 2,13 | 4,85 | 10,09 | 2,25 | 4,5 | 0 | 2,33 | 0 |
Индекс Хирша | 9 | 9 | 2 | 1 | 4 | 6 | 8 | 1 | 1 | 0 | 2 | 0 |
Армения | ||||||||||||
Число статей | 187 | 64 | 13 | 24 | 12 | 6 | 26 | 33 | 8 | 1 | 13 | 6 |
Среднее цитирование | 4,29 | 5,67 | 1,69 | 5,21 | 1,42 | 5,33 | 4,15 | 4,94 | 2,75 | 6 | 7 | 0,33 |
Индекс Хирша | 13 | 10 | 3 | 6 | 3 | 3 | 6 | 7 | 3 | 1 | 5 | 1 |
Азербайджан | ||||||||||||
Число статей | 48 | 98 | 26 | 33 | 12 | 6 | 16 | 0 | 14 | 11 | 3 | 8 |
Среднее цитирование | 4,17 | 3,15 | 4 | 2,85 | 3 | 3,5 | 3,69 | 0 | 1,57 | 4,73 | 2,33 | 13 |
Индекс Хирша | 7 | 8 | 4 | 6 | 3 | 3 | 4 | 0 | 3 | 5 | 2 | 4 |
Казахстан | ||||||||||||
Число статей | 209 | 216 | 91 | 61 | 69 | 45 | 17 | 18 | 3 | 59 | 24 | 22 |
Среднее цитирование | 4,59 | 2,28 | 2,81 | 2,44 | 1,71 | 7,53 | 6,53 | 2,72 | 1,33 | 1,17 | 1,67 | 2,05 |
Индекс Хирша | 17 | 9 | 8 | 7 | 6 | 8 | 6 | 5 | 1 | 6 | 3 | 5 |
Киргизия | ||||||||||||
Число статей | 15 | 5 | 3 | 3 | 3 | 29 | 2 | 6 | 12 | 1 | 2 | 2 |
Среднее цитирование | 7,33 | 0,4 | 3,67 | 17,67 | 0,67 | 6,24 | 5,5 | 3,5 | 4,17 | 2 | 0,5 | 1 |
Индекс Хирша | 4 | 1 | 1 | 2 | 1 | 7 | 1 | 1 | 5 | 1 | 1 | 1 |
Таджикистан | ||||||||||||
Число статей | 54 | 18 | 4 | 8 | 12 | 10 | 20 | 0 | 6 | 4 | 2 | 2 |
Среднее цитирование | 5,98 | 3,33 | 11,25 | 15 | 0,5 | 9,9 | 5,6 | 0 | 7 | 3,25 | 1 | 0 |
Индекс Хирша | 9 | 5 | 2 | 3 | 2 | 5 | 6 | 0 | 4 | 2 | 1 | 0 |
Узбекистан | ||||||||||||
Число статей | 102 | 108 | 17 | 27 | 11 | 8 | 9 | 9 | 2 | 7 | 4 | 7 |
Среднее цитирование | 5,75 | 3,17 | 3,59 | 1,78 | 0,64 | 7,63 | 7,22 | 8,89 | 0,5 | 1 | 17,75 | 5,71 |
Индекс Хирша | 13 | 7 | 6 | 4 | 1 | 5 | 6 | 4 | 1 | 2 | 2 | 2 |
Туркменистан | ||||||||||||
Число статей | 4 | 0 | 3 | 0 | 0 | 1 | 0 | 0 | 0 | 0 | 0 | 0 |
Среднее цитирование | 5,5 | 0 | 7 | 0 | 0 | 2 | 0 | 0 | 0 | 0 | 0 | 0 |
Индекс Хирша | 2 | 0 | 2,33 | 0 | 0 | 1 | 0 | 0 | 0 | 0 | 0 | 0 |
* Курсивом даны направления, не входящие в Топ-10 по числу публикаций для данной страны.
Источник: построено автором по данным Web of Science Core Collection.
Целесообразно рассмотреть цитируемость статей по различным направлениям. Для этой цели мы отобрали 12 из 33 направлений исследований, наиболее часто входивших в Топ-10 по количеству совместных публикаций, по данным на сентябрь 2018 г. (табл. 5). В их число вошли физика, химия, инженерия, математика, геология, астрономия и астрофизика, оптика, кристаллография, металлургия, биохимия и приборостроение. Характерно, что если индекс Хирша, зависящий от числа публикаций, имеет тенденцию снижаться по мере падения от страны к стране числа публикаций по той или иной теме, то средняя цитируемость не демонстрирует такого свойства. Поэтому она даёт больше возможностей для сравнения. Практически по всем ведущим направлениям исследований лидерство по числу публикаций удерживает "большая тройка": Украина, Белоруссия и Казахстан. Все три страны имеют высокие значения индекса Хирша, но не всегда высокую среднюю цитируемость.
Анализ цитирования совместных публикаций по направлениям исследований показывает, что Белоруссия, уступая Украине по числу статей по большинству направлений (кроме оптики), тем не менее обходит её по востребованности статей по физике, химии, астрономии и астрофизике. Откровенно слабы её позиции лишь в геологии. Украина удерживает безусловное первенство по инженерии и материаловедению, но цитируемость её работ по астрономии и астрофизике (в сравнении с их числом) оставляет желать лучшего. Совместные с Россией научные работы Казахстана в целом цитируются слабо, а с учётом их количества – недостаточно. Неожиданно сильной оказались позиции Грузии, совместные работы которой по физике, химии, математике, астрономии и астрофизике цитируются достаточно активно. Армения хорошо цитируется по физике, химии, материаловедению и оптике, но не по астрономии и астрофизике. Позиция Азербайджана более скромная: у него не только меньше статей, чем у других закавказских стран постсоветского пространства, но и меньше сильных направлений – лишь инженерия, математика и металлургия, тогда как статьи по остальным направлениям цитируются откровенно слабо. Что же касается Молдавии и центральноазиатских стран (кроме Казахстана), то цитируемость совместных с этими странами статей столь же скромна, как и их число. Хотя по некоторым направлениям имеются и исключения, связанные с выходом отдельных высокоцитирумых статей (физика для Молдавии, оптика и биохимия для Узбекистана). Из стран Средней Азии наиболее уверенно выглядит Узбекистан – колыбель центральноазиатской науки в советские времена, слабее всех – Туркменистан, чья изоляционистская политика сказывается на научном сотрудничестве.
* * *
По динамике числа совместных публикаций среди стран постсоветского пространства по характеру научно-публикационного сотрудничества с Россией выделяются несколько групп: страны, расширяющие сотрудничество (Белоруссия, Казахстан); страны, испытывающие заметную, но нестабильную активизацию сотрудничества (Молдавия, Армения, Азербайджан); страны, сотрудничество с которыми стагнирует (Киргизия, Таджикистан, Узбекистан, Туркменистан), и страны, сотрудничество с которыми сокращается (Грузия, Украина)4.
Ведущими организациями-партнёрами являются национальные академии наук. Именно они, как правило, определяют количество двусторонних публикаций. Кроме них, сотрудничают некоторые ведущие вузы стран-партнёров. Со стороны России это, прежде всего, МГУ им. М. В. Ломоносова (с 10 странами), СПбГУ (с 4 странами), а также Казанский (Приволжский) федеральный университет (с 3 странами), Новосибирский государственный университет и Санкт-Петербургский политехнический университет Петра Великого (с 3 странами). Со стороны стран-партнёров России – Харьковский национальный университет им. В. М. Каразина (Украина), Белорусский государственный университет (Белоруссия), Приднестровский государственный университет им. Т. Шевченко (Молдавия), Тбилисский государственный университет им. И. Джавахишвили (Грузия), Ереванский государственный университет (Армения), Бакинский государственный университет (Азербайджан), Казахский национальный университет им. аль-Фараби (Казахстан), Киргизско-российский славянский университет им. Б. Н. Ельцина (Киргизия), Таджикский национальный университет (Таджикистан), Национальный университет Узбекистана им. М. Улугбека (Узбекистан) и Туркменский государственный университет им. Махтумкули (Туркменистан).
Для большинства стран постсоветского пространства основными направлениями совместных исследований, публикуемых в журналах, индексируемых WoS, являются физика и химия (лишь в Киргизии ведущую роль играют геофизика и геохимия). Другие важные направления – инженерия, материаловедение, математика, геология, астрономия и астрофизика, оптика, кристаллография, металлургия, биохимия и молекулярная биология, приборостроение. Однако следует учесть, что данные направления могут лидировать не только из-за большего числа исследований по ним, но и из-за большего числа индексируемых в WoS журналов по этой тематике, более частого выхода этих журналов и большего среднего числа статей в них. Поэтому для объективной оценки имеет смысл обратить внимание на цитируемость публикаций как показатель их востребованности.
Наиболее активное и востребованное научным сообществом публикационное сотрудничество с Россией в журналах WoS наблюдается у Украины и Белоруссии: у первой статьи более многочисленны, у второй они более востребованны (цитируемы). Совместные статьи с Казахстаном многочисленны, но мало цитируются. Грузия и Армения располагают небольшим числом публикаций, но по многим направлениям активно цитируются. Азербайджан, имея сильные позиции по ряду направлений, в целом выглядит слабее. Молдавия и страны Центральной Азии (кроме Казахстана) не могут похвалиться активностью и востребованностью публикационного сотрудничества с Россией. Из них наиболее заметную позицию занимает Узбекистан, который в советское время был избран первичной базой для развития науки в среднеазиатских республиках СССР, наиболее слабую – замкнутый Туркменистан.
Основными указанными источниками финансирования для совместных публикаций Российской Федерации и остальных постсоветских стран являются российские организации, прежде всего РФФИ, РАН и Минобрнауки России. Роль иностранных спонсоров заметна лишь в случаях, когда интенсивность сотрудничества весьма невелика (Киргизия), падает (Грузия) или сам спонсор сильно связан с одной из стран-партнёров (ISTC – с РФ, ANSEF – с Арменией). Однако не следует забывать, что эти выводы могут не распространяться на статьи, для которых источники финансирования не указаны, а доля таковых варьируется от 35 % (Белоруссия) до 66 % (Азербайджан) и даже 75 % (Туркменистан) от общего числа статей за 2008–2017 гг. (до 2008 г. данных по финансированию практически нет).
Анализ позволил выявить значимую роль вузов в развитии двустороннего научно-публикационного сотрудничества: в случае политических конфликтов (Грузия) или финансовых трудностей (Узбекистан), когда научные связи между странами по линии национальных академий наук фактически сворачиваются, прямые научные контакты между вузами способны смягчить данную тенденцию за счёт большей устойчивости. Однако для этого необходим некий минимальный уровень прочности научных связей, в противном случае данный механизм не сработает, как это имело место при сокращении финансирования совместных исследований России и Таджикистана в период финансово-экономического кризиса.
1 Распределение приведено для публикаций с указанным направлением исследования, доля которых составляет 99,94% общего числа публикаций за рассматриваемый период.
2 Общее число научных изданий, индексировавшихся в WoS Core Collection в рассматриваемый период, превышает максимально допустимый для анализа лимит в 100 тыс. Из-за этого некоторые издания могут остаться неучтёнными, а в учтённых изданиях могут быть отображены не все публикации.
3 Логично ожидать, что при неизменном соотношении количества публикуемых работ различной научной ценности значение индекса Хирша будет возрастать по мере роста общего числа вышедших статей. Однако нет оснований полагать, что эта зависимость будет линейной. Таким образом, при равной научной ценности работ авторов из двух разных стран значение индекса будет выше у страны с бо́льшим общим числом публикаций, но сопоставить эти значения напрямую будет невозможно, за исключением случаев, когда страна с бо́льшим количеством статей будет иметь равное или меньшее значение индекса.
4 Следует отметить, что, хотя тенденция к сокращению сотрудничества с РФ у двух последних стран прослеживается не на всём рассматриваемом периоде, есть основания считать её действующей. Так, у Грузии, несмотря на то, что с 2014 г. наблюдается некоторый рост числа совместных с РФ публикаций, номенклатура направлений совместных исследований продолжает сужаться, а у Украины прежний рост сотрудничества с Россией с 2016 г. сменился его сокращением сперва по некоторым направлениям, а в 2017 г. – по общему числу совместных публикаций.
Sobre autores
A. Kravtsov
Primakov National Research Institute of World Economy and International Relations of Russian Academy of Sciences
Autor responsável pela correspondência
Email: kravtsov@imemo.ru
Candidate of Economic Sciences, Senior Researcher, IMEMO RAN
Rússia, MoscowBibliografia
- Федукова А. М. Научно-техническое сотрудничество в рамках СНГ // Вологдинские чтения. 2006. № 58. С. 51-54.
- Клименко В. А. Сотрудничество стран СНГ в области фундаментальной науки // Экономическая наука сегодня. 2015. № 3. С. 157-161.
- Шурубович А. В. Инновационное сотрудничество как фактор модернизации национальных экономик стран Евразийского экономического союза // Проблемы постсоветского пространства. 2015. № 1 (3). С. 17-35.
- Малинина Е. А. Основные аспекты инновационного сотрудничества на пространстве СНГ // Вестник Кыргызско-славянского университета. 2016. № 10 (16). С. 42-46.
- Глухов В. А., Гзоян Э. Г. Саргсян Ш. А. Сотрудничество учёных Армении и России в рамках совместных двусторонних конкурсов // Социологические исследования. 2017. № 7 (399). С. 156-158.
- Федулова Л. И. Состояние и перспективы инновационно-технологического взаимодействия России и Украины: потенциал Украины // Наука и технология. 2009. № 4 (115). С. 127-148.
- Евсеев В. В. Политические аспекты научно-технического сотрудничества России, Украины и Беларуси // Инновации. 2011. № 12. С. 27-31.
- Лысенко А. Е., Дьячкин И. И., Исаев А. П. Приоритетные направления сотрудничества стран СНГ в табачной отрасли // Известия высших учебных заведений. Пищевые отрасли. 1999. № 2-3 (249-250). С. 6-7.
- Papina T. S., Vinokurov Y. I. The importance of scientific cooperation among Asian countries in the study and risk assessment of water resources in Central Asia // Risk Assessment as a Tool for Water Resources Decision-Making in Central Asia. 2004. V. 34. P. 305-310.
- Калинина М. И., Смирнов С.Б. Научно-технические связи Российской Федерации со странами СНГ // Проблемы современной экономики. 2014. № 18. С. 31-35.
- Гоннова С. М., Шеремет Ю. Е. и др. Адаптация форматов взаимодействия стран СНГ к современным условиям на основе согласованной научно-технической политики // Научно-техническая информация. Серия 1. Организация и методика информационной работы. 2017. № 10. С. 11-20.
- Захарова Е. В., Горохова Е. Ю. Россия и страны СНГ: научно-техническое сотрудничество и кооперация как фактор региональной экономической интеграции // Инновационная экономика. 2016. № 4 (9). С. 11.
- Котилко В. В. Экономические интересы и риски в сфере научно-технического сотрудничества России со странами СНГ (концепции модернизации). М.: Креативная экономика, 2012.
- Bowman J. D. Predatory publishing, questionable peer review and fraudulent conferences // American Journal of Pharmaceutical Education. 2014. V. 78. № 10. Article 176. https://www.ajpe.org/doi/abs/10.5688/ajpe7810176
- Beal J. Predatory publishers are corrupting open access // Nature. V. 489. Iss. 7415. P. 179-180.
Arquivos suplementares
















