Diseases of the circulatory system as a cause of repeated disability of the adult population
- 作者: Lyalina I.V.1, Puzin S.N.2,3, Shurgaya M.A.3, Memetov S.S.4
-
隶属关系:
- Main Clinical Center for Medical and Social Rehabilitation
- Federal Research and Clinical Center of Intensive Care Medicine and Rehabilitology
- Russian Medical Academy of Continuous Professional Education
- Rostov State Medical University
- 期: 卷 24, 编号 4 (2021)
- 页面: 45-54
- 栏目: Original study articles
- URL: https://rjmseer.com/1560-9537/article/view/84455
- DOI: https://doi.org/10.17816/MSER84455
- ID: 84455
如何引用文章
全文:
详细
BACKGROUND: The article presents the nosological structure of repeated disability of the adult population of Moscow due to diseases of the circulatory system.
AIMS: The study of the nosological structure of repeated disability of the adult population of Moscow due to a class of diseases of the circulatory system.
MATERIALS AND METHODS: The object of the study was “Information on the medical and social examination of persons aged 18 years and older” (form 7-social security, 2013–2019). Research methods: documentary, data copy, statistical and graphic.
RESULTS: It was found that in the nosological structure of disability the first ranking place was taken by persons who were repeated recognized as disabled due to cerebrovascular diseases, the second ― due to coronary heart disease, the third ― due to “Other diseases of the circulatory system”. In the age-sex structure of repeated disability men repeated recognized as disabled and elderly repeated recognized as disabled prevailed. Limitations of various types of life activity of the third degree predominantly took place among repeated recognized as disabled due to cerebrovascular diseases. The prevailing group of disability was III group.
CONCLUSIONS: The results of the analysis of the features of the nosological structure of repeated disability due to diseases of the circulatory system by age, gender and severity are the scientific and practical basis for planning and effective implementation of medical and social rehabilitation of disabled people
全文:
ОБОСНОВАНИЕ
Болезни системы кровообращения (БСК) являются ведущей причиной смертности во всём мире. В 2019 г. от БСК умерло 17,9 млн человек, что составляет 32% всех смертей в мире. Рассматривая неинфекционные заболевания, в том числе БСК, как угрозу мировой экономике, Организация Объединённых Наций включила их сокращение в цели устойчивого развития на период до 2030 г. [1]. Всемирная организация здравоохранения возглавила разработку инициативы HEARTS, которая призвана направлять усилия стран на укрепление первичной медицинской помощи с целью сокращения случаев БСК [2].
Класс болезней системы кровообращения (I00–I99, Q20–Q28) формируют ишемическая болезнь сердца, гипертоническая болезнь, цереброваскулярные болезни и другие нозологические формы БСК (воспалительные заболевания, пороки сердца, кардиомиопатии, нарушения ритма сердца и облитерирующие заболевания сосудов), которые определяют структуру заболеваемости населения [3–5].
Структурные изменения, нарушения функций и ассоциированные с ними ограничения жизнедеятельности при осложнениях, которые сопутствуют прогредиентному хроническому течению БСК, являются причиной установления гражданину статуса «инвалид» [6–8]. Вовлечение граждан со стойким нарушением здоровья в общественную жизнь (социальная инклюзия) требует проведения комплекса реабилитационных мероприятий [9–12].
Цель исследования ― изучение нозологической структуры повторной инвалидности взрослого населения г. Москвы вследствие класса болезней системы кровообращения.
МАТЕРИАЛ И МЕТОДЫ
Методы регистрации исходов
Проведён анализ нозологической структуры повторной инвалидности вследствие класса БСК среди взрослого населения г. Москвы.
Данные проанализированы по трём основным возрастным группам повторно признанных инвалидами (ППИ) граждан: молодого (женщины и мужчины до 44 лет), среднего (женщины 45–54 лет и мужчины 45–59 лет) и пожилого (женщины 55 лет и старше и мужчины 60 лет и старше) возраста.
Период исследования ― 2013–2019 гг.
Объектом изучения являлись данные государственной статистической отчётности 7 (собес) «Сведения о медико-социальной экспертизе лиц в возрасте 18 лет и старше».
Методы исследования: документальный, выкопировка данных, статистический и графический.
Статистический анализ
Описательная статистика представлена в виде относительных интенсивных и экстенсивных коэффициентов. Для количественной оценки тенденций динамических рядов использованы показатели темпа роста/убыли и наглядности. Сравнение двух групп по числовым показателям осуществляли на основе непараметрического критерия Манна–Уитни, сравнение трёх и более групп по числовым шкалам ― с помощью непараметрического метода Краскела–Уоллиса. Для описания количественных шкал применяли среднее значение и стандартное отклонение в виде M±S; для оценки относительного разброса использовали коэффициент вариации (V), который характеризует однородность показателя и позволяет сравнивать однородность разных показателей, независимо от их масштаба и единиц измерения. Для описания структуры показателя использовали медиану и квартили в формате Me [LQ; UQ], а также минимум и максимум для оценки диапазона колебания показателя в формате (Min; Max). Уровень статистической значимости был зафиксирован на уровне вероятности ошибки 0,05.
Статистическая обработка данных выполнена с использованием пакетов прикладных программ Statistica 10 и SAS JMP 11.
РЕЗУЛЬТАТЫ
Общая численность ППИ вследствие класса БСК в 2013 г. составляла 46 352 чел., в том числе ППИ вследствие хронической ревматической болезни сердца (ХРБС) ― 401 (0,9%), ППИ вследствие артериальной гипертонии (АГ) ― 3611 (7,8%), ППИ вследствие ишемической болезни сердца (ИБС) ― 16 839 (36,3%), ППИ вследствие цереброваскулярной болезни (ЦВБ) ― 19 230 (41,5%). Численность ППИ вследствие других БСК составляла 6271 чел. (13,5%).
В 2014 г. в нозологической структуре повторной инвалидности вследствие класса БСК ППИ вследствие ХРБС составляли 294 чел. (0,7%), ППИ вследствие АГ ― 2987 (7,0%), ППИ вследствие ИБС ― 16 812 (39,6%), ППИ вследствие ЦВБ ― 19 323 (45,5%), ППИ вследствие других БСК ― 3068 (7,2%). Общая численность ППИ вследствие БСК составляла 42 484 чел.
В 2015 г. нозологическую структуру повторной инвалидности вследствие класса БСК формировали ППИ вследствие ХРБС ― 310 чел. (0,8%), ППИ вследствие АГ ― 1436 (3,6%), ППИ вследствие ИБС ― 15 761 (39,8%), ППИ вследствие ЦВБ ― 19 311 (48,7%), ППИ вследствие других БСК ― 2835 (7,1%). Общая численность ППИ вследствие БСК составляла 39 653 чел.
В 2016 г. в нозологической структуре повторной инвалидности вследствие класса БСК ППИ вследствие ХРБС составляли 333 чел. (0,9%), ППИ вследствие АГ ― 1064 (2,7%), ППИ вследствие ИБС ― 14 439 (37,2%), ППИ вследствие ЦВБ ― 19 889 (51,3%), ППИ вследствие других БСК ― 3051 (7,9%). Общая численность ППИ вследствие БСК составляла 38 776 чел.
В 2017 г. нозологическую структуру повторной инвалидности вследствие класса БСК (всего 35 459 чел.) формировали ППИ вследствие ХРБС ― 227 чел. (0,6%), ППИ вследствие АГ ― 750 (2,1%), ППИ вследствие ИБС ― 12 453 (35,1%), ППИ вследствие ЦВБ ― 18 967 (53,5%), ППИ вследствие других БСК ― 3062 (8,6%).
В 2018 г. в нозологической структуре повторной инвалидности вследствие класса БСК (30 403 чел.) ППИ вследствие ХРБС составляли 194 чел. (0,7%), ППИ вследствие АГ ― 408 (1,3%), ППИ вследствие ИБС ― 10 127 (33,3%), ППИ вследствие ЦВБ ― 16 625 (54,7%), ППИ вследствие других БСК ― 3049 (10,0%).
Общая численность ППИ вследствие класса БСК в 2019 г. составляла 25 821 чел. (в 2013 г. ― 46 352, темп убыли -44,3%), в том числе ППИ пожилого возраста ― 18 247 (в 2013 г. ― 26 071, темп убыли -30,0%), ППИ молодого и среднего возраста ― 958 и 6616 соответственно (в 2013 г. ― 2387 с темпом убыли -59,9% и 17 894 с темпом убыли -66,0% соответственно). Показатель наглядности составлял 55,7% (по отношению к численности ППИ в 2013 г.). Нозологическую структуру повторной инвалидности формировали ППИ вследствие ХРБС ― 161 чел. (0,6%), ППИ вследствие АГ ― 262 (1,0%), ППИ вследствие ИБС ― 8454 (32,7%), ППИ вследствие ЦВБ ― 13 875 (53,7%), ППИ вследствие других БСК ― 3069 (11,9%).
В общем контингенте ППИ вследствие класса БСК мужчин было 14 932 ППИ, а численность женщин составляла 10 889 ППИ. Средний возраст имел максимальное значение в контингенте ППИ вследствие ЦВБ ― 68,43±13,28 лет (p <0,0001). Возраст ППИ вследствие ИБС (62,56±8,79) был достоверно выше по сравнению с ППИ вследствие ХРБС (p <0,0001) и ППИ вследствие других БСК (р <0,0001).
В структуре повторной инвалидности по возрасту в гендерных контингентах удельный вес ППИ пожилого возраста преобладал (среди мужчин ППИ ― 58,5%, среди женщин ― 87,4%). Данное возрастное распределение инвалидов максимально было выражено среди ППИ вследствие ЦВБ ― среди мужчин ППИ 63,3% были пожилого возраста, а среди женщин ППИ экстенсивный показатель составлял 89,1%. Однако в контингенте мужчин ППИ вследствие ХРБС удельный вес ППИ среднего возраста был выше (58,1%) по сравнению с ППИ молодого возраста (8,1%) и ППИ пожилого возраста (33,8%). В то же время в контингенте мужчин ППИ вследствие АГ доля ППИ пожилого возраста незначительно превышала долю ППИ среднего возраста (48,8 и 46,4% соответственно).
Мужчины преобладали в контингентах ППИ вследствие ИБС и других БСК (72,11 и 72,66% соответственно), тогда как женщины превалировали в контингентах ППИ вследствие ХРБС, АГ и ЦВБ (54,0; 52,3 и 53,8% соответственно). Выявлены существенные различия по удельному весу женщин в контингентах ППИ вследствие ХРБС и вследствие других БСК (54,0 и 27,3% соответственно); рис. 1.
Рис. 1. Сравнение гендерной структуры нозологических форм повторной инвалидности взрослого населения по классу болезней системы кровообращения в Москве (2019), %.
Примечание. ХРБС ― хроническая ревматическая болезнь сердца; АГ ― артериальная гипертония; ИБС ― ишемическая болезнь сердца; ЦВБ ― цереброваскулярная болезнь; БСК ― болезни системы кровообращения.
Fig. 1. Comparison of the gender structure of nosological forms of repeated disability of the adult population due to the class of circulatory system diseases in Moscow (2019), %.
Note: ХРБС ― chronic rheumatic heart disease; АГ ― arterial hypertension; ИБС ― ischemic heart disease; ЦВБ ― cerebrovascular disease; БСК ― diseases of the circulatory system.
Уровень повторной инвалидности вследствие БСК в общем контингенте мужчин ППИ составлял 30,9 на 10 тыс. мужского населения, в том числе среди ППИ вследствие ХРБС ― 0,2, вследствие ИБС ― 12,6, вследствие АГ ― 0,3, вследствие ЦВБ ― 13,2, вследствие других БСК ― 4,6.
В общем контингенте женщин ППИ интенсивный показатель равнялся 18,6 на 10 тыс. женского населения, в том числе среди ППИ вследствие ХРБС ― 0,1, вследствие ИБС ― 4,0, вследствие АГ ― 0,2, вследствие ЦВБ ― 12,8, вследствие других БСК ― 1,4.
Уровень повторной инвалидности вследствие БСК среди ППИ трудоспособного возраста был ниже по сравнению с ППИ пожилого возраста. Так, в контингенте ППИ трудоспособного возраста (ППИ молодого и среднего возраста) уровень повторной инвалидности среди мужчин составлял 16,7, а среди женщин ― 3,9 на 10 тыс. трудоспособного населения соответствующего пола. В контингенте ППИ пожилого возраста интенсивный показатель среди мужчин равнялся 77,2, а среди женщин ― 40,2 на 10 тыс. пожилого населения соответствующего пола. Максимальные значения уровня повторной инвалидности отмечались вследствие ЦВБ (среди мужчин ― 13,3, среди женщин ― 12,8 на 10 тыс. взрослого населения соответствующего пола).
Структура повторной инвалидности по тяжести характеризовалась неоднородным распределением инвалидов (табл. 1). Наиболее многочисленный контингент составляли ППИ с III группой ― 15 869 (61,46%); ППИ со II группой составляли 22,39% от общей численности ППИ; наименьший удельный вес имели ППИ с I группой инвалидности (16,15%). В структуре отдельных нозологий также преобладали ППИ с III группой с наибольшим удельным весом в контингентах ППИ вследствие ИБС и ХРБС (85,77 и 83,23% соответственно). ППИ со II группой было больше в контингентах ППИ вследствие других БСК и вследствие ЦВБ (31,05 и 25,95% соответственно). ППИ с I группой больше всего было среди ППИ вследствие ЦВБ (28,04%), а наименьший удельный вес их был в контингенте ППИ вследствие ИБС (0,51%) и вследствие ХРБС (0,62%); p <0,0001.
Таблица 1. Структура повторной инвалидности вследствие класса болезней системы кровообращения с учётом групп инвалидности (оба пола)
Table 1. Structure of repeated disability due to the class of diseases of the circulatory system, taking into account disability groups (both sexes)
Заболевания | Всего | I группа | II группа | III группа | ||||
Абс. | % | Абс. | % | Абс. | % | Абс. | % | |
ЦВБ | 13 875 | 100 | 3890 | 28,04 | 3600 | 25,95 | 6385 | 46,02 |
ИБС | 8454 | 100 | 43 | 0,51 | 1160 | 13,72 | 7251 | 85,77 |
АГ | 262 | 100 | 15 | 5,73 | 43 | 16,41 | 204 | 77,86 |
ХРБС | 161 | 100 | 1 | 0,62 | 26 | 16,15 | 134 | 83,23 |
Другие БСК | 3069 | 100 | 221 | 7,20 | 953 | 31,05 | 1895 | 61,75 |
Всего ППИ | 25 821 | 100 | 4170 | 16,15 | 5782 | 22,39 | 15 869 | 61,46 |
Группа инвалидности | Группа | p df=8 | ||||
ХРБС n=161 (%) | АГ n=262 (%) | ИБС n=8454 (%) | ЦВБ n=13 875 (%) | Другие БСК n=3069 (%) | ||
III | 134 (83,23) | 204 (77,86) | 7251 (85,77) | 6385 (46,02) | 1895 (61,75) | <0,0001* |
II | 26 (16,15) | 43 (16,41) | 1160 (13,72) | 3600 (25,95) | 953 (31,05) | |
I | 1 (0,62) | 15 (5,73) | 43 (0,51) | 3890 (28,04) | 221 (7,20) | |
Примечание. * Различия статистически достоверны. ЦВБ ― цереброваскулярная болезнь; ИБС ― ишемическая болезнь сердца; АГ ― артериальная гипертония; ХРБС ― хроническая ревматическая болезнь сердца; БСК ― болезни системы кровообращения; ППИ ― повторно признанные инвалидами.
Note: * Difference is statistically significant. ЦВБ ― cerebrovascular disease; ИБС ― ischemic heart disease; АГ ― arterial hypertension; ХРБС ― chronic rheumatic heart disease; БСК ― diseases of the circulatory system; ППИ ― repeated recognized as disabled.
Анализ спектра нарушений основных функций организма в гендерных контингентах ППИ свидетельствует, что нарушение функции сердечно-сосудистой системы 1-й и 2-й степени чаще отмечалось у мужчин ― 63,09 и 59,65% соответственно (у женщин ― 36,91 и 40,35). Нарушение 3-й степени чаще имело место у женщин ― 64,72% (у мужчин 35,28%) (p <0,0001). Нарушение статодинамических функций отмечалось у 81,45% ППИ с I группой инвалидности и более чем у половины (58,88%) ППИ со II группой инвалидности, а также у 38,95% ППИ с III группой инвалидности (p <0,0001).
В общем контингенте ППИ вследствие класса БСК чаще встречалось нарушение способности к контролю за своим поведением 2-й степени (менее чем у половины инвалидов, 39,1%), а реже всего ― нарушение 1-й степени (более чем у 1/4 инвалидов, 28,4%) от общей численности ППИ с этим видом ограничения жизнедеятельности. Нарушение способности к обучению 1-й степени отмечалось у 41,0% ППИ, реже всего ― 3-й степени (чуть более чем у 1/4 инвалидов, 27,5%). Нарушение способности к общению 1-й степени имело место менее чем у половины ППИ (39,1%), а реже всего отмечалась 3-я степень (23,0%) от общей численности ППИ с этим видом ограничения жизнедеятельности. У большего числа ППИ отмечалось нарушение способности к ориентации 2-й степени (у 38,2% ППИ), а реже всего ― 1-й степени (28,5%). Более чем у половины ППИ (61,7%) имела место 1-я степень нарушения способности к передвижению, и лишь у 17,1% ― 3-я степень нарушения от общей численности ППИ с этим видом ограничения жизнедеятельности. В контингенте ППИ доля инвалидов с нарушением способности к самообслуживанию 1-й степени была наибольшей (63,8%), тогда как нарушение 2-й степени отмечалось у 20,6% ППИ, а нарушение 1–3-й степени ― всего лишь у 15,6% ППИ от общей численности ППИ с этим видом ограничения жизнедеятельности. Чаще выявлялось нарушение способности к трудовой деятельности 1-й степени (более чем у половины инвалидов, 62,6%), а реже всего ― 3-й степени нарушение данного вида жизнедеятельности (лишь у 15,4% инвалидов) от общей численности ППИ с этим видом ограничения жизнедеятельности. Несмотря на то, что большинство ППИ не работали, мужчины работали как в основной, так и по другой профессии чаще, чем женщины (в основной профессии ― 9,9 против 5,1%; по другой профессии ― 2,4 против 1,1%; p <0,0001).
Результаты анализа видов и степени ограничения жизнедеятельности в нозологических контингентах ППИ вследствие класса БСК представлены в табл. 2.
Таблица 2. Распределение повторно признанных инвалидами вследствие класса болезней системы кровообращения по видам и степени ограничения жизнедеятельности (абс., %)
Table 2. Distribution of persons repeatedly recognized as disabled due to the class of diseases of the circulatory system by type and degree of disability (abs., %)
Нозологический контингент | ||||||
Способность к контролю за своим поведением, степень | ХРБС n=0 (%) | АГ n=1 (%) | ИБС n=30 (%) | ЦВБ n=2251 (%) | Другие БСК n=37 (%) | p df=8 |
Первая | - | (0,00) | 25 (83,33) | 613 (27,23) | 20 (54,05) | <0,0001* |
Вторая | - | 1 (100,00) | 4 (13,33) | 888 (39,45) | 13 (35,14) | |
Третья | - | (0,00) | 1 (3,33) | 750 (33,32) | 4 (10,81) | |
Способность к обучению, степень | ХРБС n=0 (%) | АГ n=3 (%) | ИБС n=87 (%) | ЦВБ n=470 (%) | Другие БСК n=32 (%) | p df=8 |
Первая | - | 3 (100,00) | 82 (94,25) | 136 (28,94) | 22 (68,75) | <0,0001* |
Вторая | - | (0,00) | 5 (5,75) | 172 (36,60) | 9 (28,12) | |
Третья | - | (0,00) | (0,00) | 162 (34,47) | 1 (3,12) | |
Способность к общению, степень | ХРБС n=1 (%) | АГ n=3 (%) | ИБС n=54 (%) | ЦВБ n=3276 (%) | Другие БСК n=40 (%) | p df=8 |
Первая | 1 (100,00) | 3 (100,00) | 49 (90,74) | 1241 (37,88) | 26 (65,00) | <0,0001* |
Вторая | (0,00) | (0,00) | 4 (7,41) | 1262 (38,52) | 11 (27,50) | |
Третья | (0,00) | (0,00) | 1 (1,85) | 773 (23,60) | 3 (7,50) | |
Способность к ориентации, степень | ХРБС n=1 (%) | АГ n=2 (%) | ИБС n=45 (%) | ЦВБ n=2340 (%) | Другие БСК n=39 (%) | p df=8 |
Первая | 1 (100,00) | 1 (50,00) | 40 (88,89) | 625 (26,71) | 24 (61,54) | <0,0001* |
Вторая | (0,00) | 1 (50,00) | 5 (11,11) | 909 (38,85) | 11 (28,21) | |
Третья | (0,00) | (0,00) | (0,00) | 806 (34,44) | 4 (10,26) | |
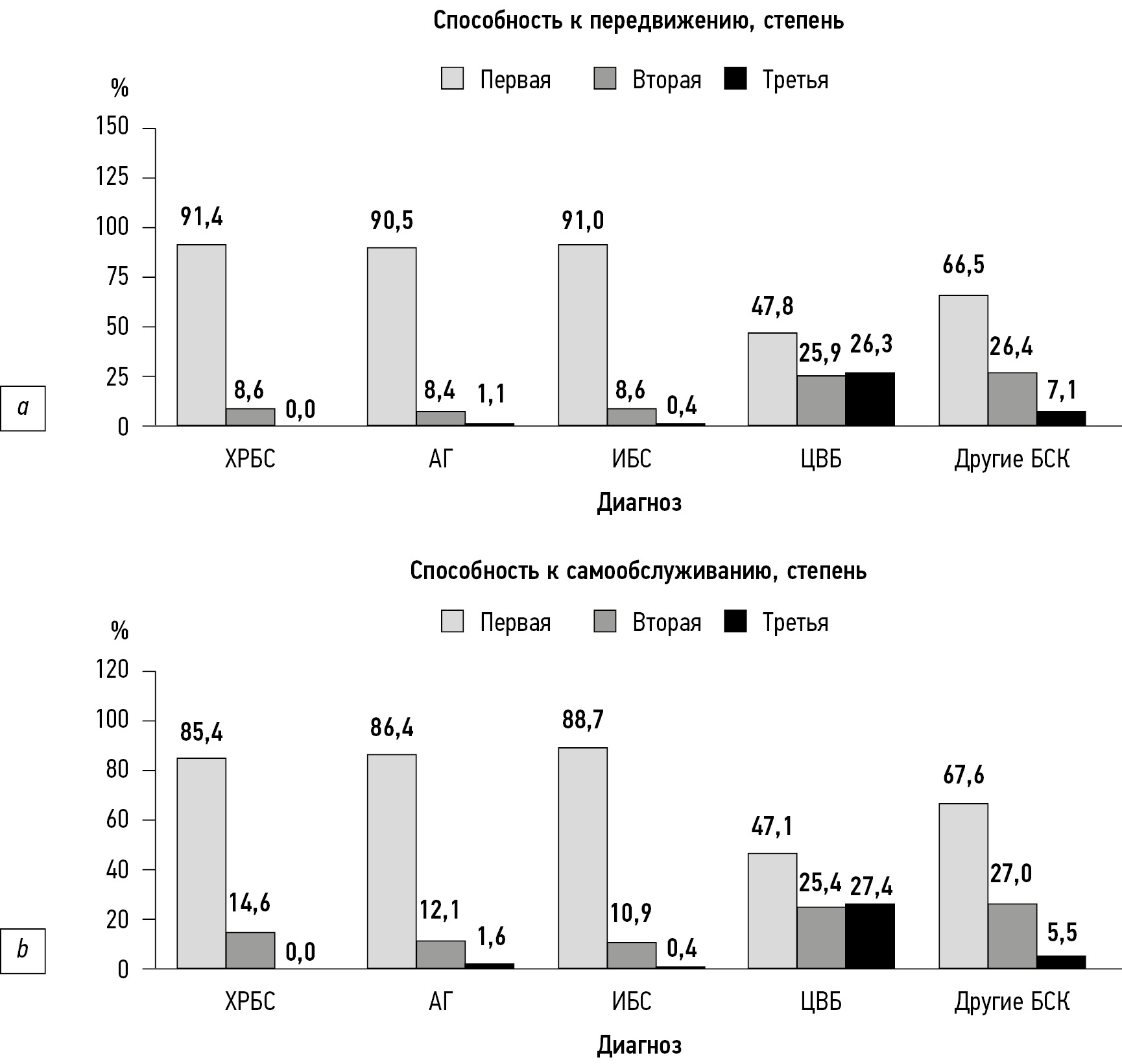
Способность к передвижению, степень | ХРБС n=105 (%) | АГ n=179 (%) | ИБС n=5645 (%) | ЦВБ n=13 443 (%) | Другие БСК n=2498 (%) | p df=8 |
Первая | 96 (91,43) | 162 (90,50) | 5137 (91,00) | 6429 (47,82) | 1661 (66,49) | <0,0001* |
Вторая | 9 (8,57) | 15 (8,38) | 488 (8,64) | 3480 (25,89) | 659 (26,38) | |
Третья | (0,00) | 2 (1,12) | 20 (0,35) | 3534 (26,29) | 178 (7,13) | |
Способность к самообслуживанию, степень | ХРБС n=158 (%) | АГ n=257 (%) | ИБС n=8337 (%) | ЦВБ n=13 687 (%) | Другие БСК n=3030 (%) | p df=8 |
Первая | 135 (85,44) | 222 (86,38) | 7397 (88,72) | 6450 (47,13) | 2047 (67,56) | <0,0001* |
Вторая | 23 (14,56) | 31 (12,06) | 906 (10,87) | 3480 (25,43) | 817 (26,96) | |
Третья | (0,00) | 4 (1,56) | 34 (0,41) | 3757 (27,45) | 166 (5,48) | |
Способность к трудовой деятельности, степень | ХРБС n=155 (%) | АГ n=246 (%) | ИБС n=8093 (%) | ЦВБ n=12 918 (%) | Другие БСК n=2962 (%) | p df=8 |
Первая | 132 (85,16) | 192 (78,05) | 6955 (85,94) | 6125 (47,41) | 1853 (62,56) | <0,0001* |
Вторая | 22 (14,19) | 40 (16,26) | 1091 (13,48) | 3307 (25,60) | 898 (30,32%) | |
Третья | 1 (0,65) | 14 (5,69) | 47 (0,58) | 3486 (26,99) | 211 (7,12%) | |
Примечание. * Различия статистически достоверны. ХРБС ― хроническая ревматическая болезнь сердца; АГ ― артериальная гипертония; ИБС ― ишемическая болезнь сердца; ЦВБ ― цереброваскулярная болезнь; БСК ― болезни системы кровообращения.
Note: * Difference is statistically significant. ЦВБ ― cerebrovascular disease; ИБС ― ischemic heart disease; АГ ― arterial hypertension; ХРБС ― chronic rheumatic heart disease; БСК ― diseases of the circulatory system.
В нозологических контингентах больше всего было инвалидов с 1-й и 2-й степенью ограничения различных видов жизнедеятельности. Ограничения наиболее тяжелой ― III ― степени имели место преимущественно в контингентах ППИ вследствие ЦВБ, а также у значительно меньшего числа ППИ вследствие других БСК (p <0,0001); рис. 2. Наименьшее различие между контингентами наблюдались по удельному весу инвалидов со 2-й степенью нарушения активности.
Рис. 2. Степень выраженности ограничений жизнедеятельности в нозологических контингентах повторно признанных инвалидами вследствие класса болезней системы кровообращения: а ― нарушение способности к передвижению, b ― нарушение способности к самообслуживанию, %.
Примечание. ХРБС ― хроническая ревматическая болезнь сердца; АГ ― артериальная гипертония; ИБС ― ишемическая болезнь сердца; ЦВБ ― цереброваскулярная болезнь; БСК ― болезни системы кровообращения.
Fig. 2. The degree of severity of disability in nosological contingents repeatedly recognized as disabled due to the class of diseases of the circulatory system: а ― impaired ability to move, b ― impaired ability to self-care, %.
Note: ХРБС ― chronic rheumatic heart disease; АГ ― arterial hypertension; ИБС ― ischemic heart disease; ЦВБ ― cerebrovascular disease; БСК ― diseases of the circulatory system.
Удельный вес ППИ, которым инвалидность определена бессрочно, был наиболее высоким в контингентах ППИ вследствие ЦВБ (64,4%) и вследствие ХРБС (50,9%). В других нозологических контингентах экстенсивный показатель был в пределах 42,4–50,9%. В контингентах ППИ вследствие АГ и ИБС инвалидность чаще устанавливалась сроком на 1 год (55,73 и 57,09% соответственно). Инвалидность сроком на 2 года устанавливалась во всех нозологических контингентах единичным инвалидам (0,6–2,9%).
Результаты проведённого многоаспектного исследования корреспондируют с происходящими изменениями в эпидемиологии инвалидности взрослого населения в Российской Федерации. Мероприятия по борьбе с сердечно-сосудистыми заболеваниями (организация центров здоровья в амбулаторно-поликлинических организациях; создание и функционирование сосудистых центров для оказания экстренной помощи при инфарктах, инсультах и других сердечно-сосудистых заболеваниях; широкое использование реваскуляризирующих, в том числе высокотехнологичных методов) способствуют снижению как первичного выхода на инвалидность, так и направления на повторное освидетельствование [13, 14]. Произошли принципиальные изменения в виде существенного сокращения доли инвалидности II группы. С 2014 г. первое ранговое место начинает занимать инвалидность III группы [15].
ВЫВОДЫ
- Динамика повторной инвалидности населения вследствие класса БСК характеризуется тенденцией к уменьшению численности граждан, повторно признаваемых инвалидами. В структуре повторной инвалидности по возрасту преобладали ППИ пожилого возраста, по гендерному признаку ― мужчины.
- В нозологической структуре повторной инвалидности первое рейтинговое место занимали ППИ вследствие ЦВБ, второе ― ППИ вследствие ИБС, третье ― ППИ вследствие других БСК. ППИ вследствие АГ было меньше ― 4-е рейтинговое место, а ППИ вследствие ХРБС имели наименьшую численность ― 5-е рейтинговое место.
- Нозологическая структура повторной инвалидности изменялась в связи с увеличением удельного веса ППИ вследствие ЦВБ и уменьшения удельного веса ППИ вследствие ИБС. Удельный вес ППИ вследствие АГ уменьшался, вследствие других БСК ― увеличивался. Удельный вес ППИ вследствие ХРБС практически не изменялся. В гендерных контингентах максимальные значения уровня повторной инвалидности отмечались вследствие ЦВБ.
- У инвалидов в связи с нарушением функции кровообращения и статодинамических функций отмечались ограничения жизнедеятельности, наиболее часто ― нарушение способности к самообслуживанию, передвижению, трудовой активности. Ограничения различных видов жизнедеятельности 3-й степени преимущественно отмечались у ППИ вследствие ЦВБ. Превалирующей группой инвалидности была III.
- Результаты исследования нозологической структуры повторной инвалидности вследствие класса БСК по возрасту, гендерному признаку и тяжести являются научно-практической базой для планирования и эффективного проведения медико-социальной реабилитации инвалидов.
ЗАКЛЮЧЕНИЕ
Таким образом, класс БСК ассоциируется с многочисленным контингентом повторно признаваемых инвалидами граждан. Сказанное требует дальнейшего совершенствования подходов к медико-социальной реабилитации граждан со стойким нарушением здоровья вследствие этой социально значимой патологии.
ДОПОЛНИТЕЛЬНО
Источник финансирования. Авторы заявляют об отсутствии внешнего финансирования при проведении исследования.
Конфликт интересов. Авторы декларируют отсутствие явных и потенциальных конфликтов интересов, связанных с публикацией настоящей статьи.
Вклад авторов. Все авторы подтверждают соответствие своего авторства международным критериям ICMJE (все авторы внесли существенный вклад в разработку концепции, проведение исследования и подготовку статьи, прочли и одобрили финальную версию перед публикацией).
ADDITIONAL INFORMATION
Funding source. This study was not supported by any external sources of funding.
Competing interests. The authors declare that they have no competing interests.
Authors’ contribution. All authors made a substantial contribution to the conception of the work, acquisition, analysis, interpretation of data for the work, drafting and revising the work, final approval of the version to be published and agree to be accountable for all aspects of the work.
作者简介
Inna Lyalina
Main Clinical Center for Medical and Social Rehabilitation
Email: inna-lyalina@yandex.ru
ORCID iD: 0000-0001-5332-4701
Colonel of the Internal Service
俄罗斯联邦, 2/1 Barrikadnaya St., 123995, MoscowSergey Puzin
Federal Research and Clinical Center of Intensive Care Medicine and Rehabilitology; Russian Medical Academy of Continuous Professional Education
Email: S.puzin2012@yandex.ru
ORCID iD: 0000-0003-1030-8319
MD, Dr. Sci. (Med.), Professor, Academician of the Russian Academy of Sciences
俄罗斯联邦, 2/1 Barrikadnaya St., 123995, Moscow; MoscowMarina Shurgaya
Russian Medical Academy of Continuous Professional Education
Email: daremar@mail.ru
ORCID iD: 0000-0003-3856-893X
MD, Dr. Sci. (Med.), Professor
俄罗斯联邦, 2/1 Barrikadnaya St., 123995, MoscowServir Memetov
Rostov State Medical University
编辑信件的主要联系方式.
Email: memetov.57@mail.ru
ORCID iD: 0000-0002-6804-0717
MD, Dr. Sci. (Med.), Professor
俄罗斯联邦, Rostov-on-Don参考
- World Health Organisation. Global action plan for the prevention and control of noncommunicable diseases 2013–2020. World Health Organisation: Geneva; 2013.
- Campbell NR, Ordunez P, Giraldo G, et al. HEARTS: a global program to reduce cardiovascular disease burden: Experience Implementing in the Americas and Opportunities in Canada. Can J Cardiol. 2021;37(5):744–755. doi: 10.1016/j.cjca.2020.12.004
- Chazova IE, Oshchepkova EV. Fight against cardiovascular diseases: problems and solutions at the present stage. Bulletin of Roszdravnadzor. 2015;(5):7–11. (In Russ).
- Jaffe MG, Frieden TR, Campbell NR, et al. Recommended treatment protocols to improve management of hypertension globally: a statement by Resolve to Save Lives and the World Hypertension League (WHL). J Clin Hyperten. 2018;20(5):829–836. doi: 10.1111/jch.13280
- Hindricks G, Potpara T, Dagres N, et al. 2020 ESC Guidelines for the diagnosis and management of atrial fibrillation developed in collaboration with the European Association for Cardio-Thoracic Surgery (EACTS): the Task Force for the diagnosis and management of atrial fibrillation of the European Society of Cardiology (ESC) Developed with the special contribution of the European Heart Rhythm Association (EHRA) of the ESC. Eur Heart J. 2021;42(5):373–498. doi: 10.1093/eurheartj/ehaa612
- Shurgaya MA. Criteria for the severity of disability in persistent circulatory disorders. Clin Med. 2017;95(2):158–162. (In Russ). doi: 10.18821/0023-2149-2017-95-2-158-162
- Laferton JA, Auer CJ, Shedden-Mora MC, et al. Factors associated with disability expectations in patients undergoing heart surgery. Int J Behavioral Med. 2015;22(1):85–91. doi: 10.1007/s12529-014-9434-2
- Nurgazizova AK, Sergeeva VV, Rodionova AY. Application of the international classification of functioning, disabilities and health to assess the rehabilitation of patients with cardiovascular diseases. Pract Med. 2014;6(82):29–36. (In Russ).
- Ivanova GE, Belkin AA, Belyaev AF, et al. Pilot project “Development of the system of medical rehabilitation in the Russian Federation”. General principles and protocol. Bulletin of the Ivanovo Medical Academy. 2016;21(1):6–14. (In Russ).
- Puzin SN, Shurgaya MA, Shkurko MA, et al. Aspects of rehabilitation of elderly disabled people. Med Social Expertise Rehabilitat. 2016;19(3):116–122. (In Russ). doi: 10.18821/1560-9537-2016-19-3-116-122
- McDermott MM. Exercise rehabilitation for peripheral artery disease: a review. J Cardiopulmon Rehabilitat Prevent. 2018;38(2):63–69. doi: 10.1097/HCR.0000000000000343
- Frieden TR, Varghese CV, Kishore SP, et al. Scaling up effective treatment of hypertension ― a pathfinder for universal health coverage. J Clin Hypertens. 2019;21(10):1442–1449. doi: 10.1111/jch.13655
- Order of the Ministry of Health of the Russian Federation No. 918 dated November 15, 2012 “On approval of the procedure for providing medical care to patients with cardiovascular diseases”. (In Russ). Available from: https://www.rosminzdrav.ru/documents/. Accessed: 15.10.2021.
- Federal project “Fight against cardiovascular diseases”. (In Russ). Available from: https://minzdrav.gov.ru/poleznye-resursy/natsproektzdravoohranenie/bssz. Accessed: 15.10.2021.
- Puzin SN, Shurgaya MA, Memetov SS, Sviridenko AV. Current trends in regional differentiation of disability due to diseases of the circulatory system in elderly citizens in the Russian Federation. Bulletin All-Russ Soc Special Med Social Expert, Rehabilitat Rehabilitat Industry. 2017;(1):33–41. (In Russ).
补充文件




