Оценка эффективности комбинации некогерентного широкополосного света (IPL) и низких доз системного изотретиноина по сравнению с монотерапией стандартными дозами изотретиноина у пациентов с акне
- Авторы: Колодий А.А.1, Грязева Н.В.2, Круглова М.С.3
-
Учреждения:
- Клиника «Чайка»
- Центральная государственная медицинская академия Управления делами Президента Российской Федерации
- Первый Московский государственный медицинский университет имени И.М. Сеченова (Сеченовский Университет)
- Выпуск: Том 20, № 4 (2021)
- Страницы: 289-296
- Раздел: Оригинальные исследования
- Статья опубликована: 15.07.2021
- URL: https://rjpbr.com/1681-3456/article/view/108253
- DOI: https://doi.org/10.17816/rjpbr108253
- ID: 108253
Цитировать
Полный текст
Аннотация
Обоснование. Длительный опыт клинического применения изотретиноина при акне свидетельствует о его хорошем профиле безопасности и эффективности, однако на фоне приёма стандартных доз препарата отмечаются выраженные нежелательные явления, которые носят дозозависимый характер. Именно поэтому поиск новых комбинированных схем лечения, позволяющих снизить дозу изотретиноина, является актуальной задачей.
Цель исследования ― оценить эффективность комбинации некогерентного широкополосного света (IPL) и низких доз системного изотретиноина (0,1–0,3 мг/кг массы тела в сутки) по сравнению с монотерапией стандартными дозами изотретиноина (0,5–1 мг/кг массы тела в сутки) у пациентов с акне.
Материал и методы. Дерматологический статус пациентов в ходе исследования оценивали с учётом дерматологического индекса GSS (Global Severity Sсore), дерматологического индекса акне (ДИА) и шкалы IGA (Investigator’s Global Assessment). Для сравнительного анализа влияния различных методик на качество жизни применяли высоковалидный индекс качества жизни. Дерматологический статус и качество жизни у пациентов оценивали до начала и по истечении 6 мес терапии. Спустя 12 мес пациентов приглашали в клинику с целью выявления отсроченных рецидивов.
Результаты. Оценивая в целом результаты лечения пациентов со средней степенью тяжести акне методом монотерапии изотретиноином и комбинированной терапии низкими дозами изотретиноина и широкополосным некогерентным светом, можно отметить эффективность обоих методов, однако клиническая ремиссия по данным глобальной шкалы тяжести (GSS) достоверно чаще наблюдалась в группе комбинированной терапии по сравнению с группой мототерапии (88 и 74% соответственно, p <0,05). Кроме того, в группе комбинированной терапии не выявлено рецидивов по прошествии 12 мес, а также реже наблюдались нежелательные явления, обусловленные применением изотретиноина.
Заключение. Таким образом, комбинированная терапия акне низкими дозами изотретиноина и широкополосным некогерентным светом является наиболее эффективной.
Полный текст
ОБОСНОВАНИЕ
Акне — хроническое воспалительное заболевание кожи, которым страдает примерно 80% молодых людей и подростков. Акне характеризуется появлением открытых и закрытых комедонов, пустул, папул, воспалительных узлов, обычно поражающих лицо, грудь и спину [1, 2]. Как правило, для достижения удовлетворительного результата лечения требуется длительная терапия. Приверженность к лечению у пациентов с акне является серьёзной проблемой, особенно из-за длительного времени терапии и развития побочных эффектов [3, 4]. Несмотря на то что опыт клинического применения изотретиноина при акне свидетельствует о его хорошем профиле безопасности и эффективности, выраженные нежелательные явления на фоне приёма стандартных доз препарата зачастую заставляют пациентов отказываться от лечения. Это приводит к рецидивам акне, неудовлетворённости пациентов и увеличению медицинских расходов. Так, многочисленные международные исследования показали низкую приверженность пациентов к лечению акне [5, 6]. Один из самых низких показателей зарегистрирован в Соединённых Штатах — 11,74% [3]. Именно поэтому поиск новых комбинированных схем лечения, позволяющих снизить дозу изотретиноина, является актуальной задачей.
Солнечный свет давно известен своим благоприятным воздействием при лечении акне. Видимый диапазон света в голубом спектре и в меньшей степени — в красном эффективен при лечении акне благодаря механизму, аналогичному фотодинамической терапии. Cutibacterium acnes продуцируют большое количество эндогенного порфирина, который при реакции со светом выделяет синглетный кислород — свободный радикал, который обладает мощным антибактериальным эффектом и, соответственно, уменьшает выраженность проявлений акне. На основании практического клинического опыта, накопленного в последние несколько лет, было показано, что лазерные и светодиодные источники могут оказаться весьма эффективными в лечении акне, особенно у пациентов с наличием противопоказаний к антибиотикотерапии и приёму ароматических ретиноидов [7].
Цель исследования — оценить эффективность комбинации некогерентного широкополосного света (intensive pulse light, IPL) и низких доз системного изотретиноина (0,1–0,3 мг/кг массы тела в сутки) по сравнению с монотерапией стандартными дозами изотретиноина (0,5–1 мг/кг массы тела в сутки) у пациентов с акне.
МАТЕРИАЛ И МЕТОДЫ
Дизайн исследования
Выполнено открытое рандомизированное сравнительное исследование.
Условия проведения
Исследование проведено на базе клиники «Чайка» (Москва) в период 2019–2021 гг.
Критерии соответствия
Критерии включения: акне среднетяжёлой и тяжёлой степени; согласие пациента на участие в исследовании; отсутствие беременности; отсутствие патологии желудочно-кишечного тракта.
Критерии невключения: беременность; сведения о непереносимости или гиперчувствительности к компонентам предполагаемой терапии; ожидаемое использование косметических процедур в течение срока наблюдения; ожидаемый приём гормональных контрацептивов с антиандрогенами; применение терапии акне ретиноидами до начала исследования; лёгкая степень тяжести акне.
Описание вмешательства
Пациенты с папуло-пустулёзной формой акне средней степени тяжести (n=78), находящиеся под наблюдением в амбулаторных условиях, были разделены на 2 группы, которые, в свою очередь, — на возрастные подгруппы (12–24 и 25–45 лет).
Все пациенты группы 1 (n=38) находились на монотерапии изотретиноином в дозе 0,5–1,0 мг/кг массы тела в сутки, ежедневно, в течение 6 мес. В группе 2 (n=40) применяли комбинированную терапию изотретиноином в дозе 0,1–0,3 мг/кг массы тела в сутки, ежедневно, в течение 6 мес, в сочетании с фотолечением широкополосным некогерентным светом (длина волны 440–950 нм) 1 раз в 2 нед, курсом 4–6 процедур.
Методы регистрации исходов
В ходе исследования дерматологический статус пациентов оценивался с помощью глобальной шкалы тяжести (Global Severity Ssore, GSS), дерматологического индекса акне (ДИА), шкалы глобальной оценки исследователем (Investigator’s Global Assessment, IGA). Для сравнительного анализа влияния различных методик на качество жизни использовали высоковалидный индекс качества жизни (ДИКЖ). Дерматологический статус и качество жизни оценивали у пациентов до начала и спустя 6 мес терапии. Через 12 мес после окончания терапии пациентов приглашали в клинику для выявления отсроченных рецидивов.
Для IPL-процедур использовалась система Harmony XL AFT Acne 420 израильской компании Alma Lasers (сертификат качества ISO 9001:2000, ISO 13485:2003, MDD 93/42, приложение стандартов II, подтверждающий соответствие системам качества и правилам GMP, стандартам Соединённых Штатов Америки, требованиям директивы Евросоюза о медицинских устройствах. Регистрационный номер медицинского изделия: ФСЗ 2008/03484).
Усовершенствованная флуоресцентная технология AFT (Advanced Fluorescence Technology) представляет собой интенсивный импульсный свет с большим флюэнсом, но меньшей травматичностью для пациента. Суть метода заключается в применении уникального фильтра, осуществляющего преобразование неиспользуемой части спектра (коротковолновая и ультрафиолетовые части) в дополнительное околоинфракрасное излучение. Таким образом, наличие фильтра способствует использованию полезной энергии без увеличения мощности. Длина волны ― 420–950 нм. Плотность энергии ― (флюенс) 5–25 Дж/см2.
В течение исследования параметры воздействия не подвергались изменению: длина волны 420–950 нм; плотность энергии 10–12 Дж/см2, импульс 12 мсек. Количество проходов — 1–3, до появления слабовыраженной эритемы.
Методика фототерапии на системе Harmony XL AFT Acne 420 предполагала следующие этапы:
- очищение кожи раствором хлоргексидина биглюконата 0,05%;
- нанесение ультразвукового геля во избежание рассеивания и отражения света, а также с целью сохранения энергии; кроме того, гель оказывал охлаждающее воздействие;
- воздействие широкополосным некогерентным светом (IPL). Применение плотности энергии (10–12 Дж/см2) было выбрано для снижения риска возникновения побочных эффектов и обострения процесса, так как у пациентов наблюдались умеренные воспалительные элементы. Воздействие проводилось с помощью серии проходов (от 1 до 3) до появления слабовыраженной эритемы;
- удаление геля, охлаждение поверхности кожи с помощью холодовых пакетов, нанесение на обработанную поверхность успокаивающего средства, содержащего пантенол.
Кратность процедур — 1 раз в 2 нед, курс — 4–6 процедур в осенне-зимний период.
РЕЗУЛЬТАТЫ
Объекты (участники) исследования
Под наблюдением в амбулаторных условиях находилось 78 пациентов с диагнозом акне папуло-пустулёзной формы средней степени тяжести. Группа 1 (n=38) подразделялась на две возрастные подгруппы: А (n=18) — пациенты 12–24 лет и В (n=20) — пациенты 25–45 лет. Группа 2 (n=40) подразделялась на подгруппы тех же возрастных категорий — А (n=21) и В (n=19).
Длительность терапии в обеих группах составила 6 мес.
Основные результаты исследования
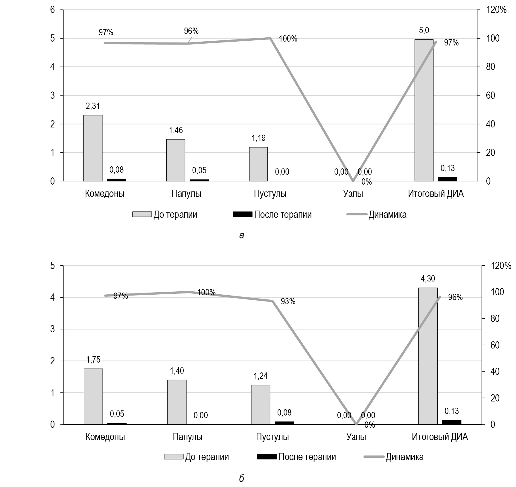
Исходные средние значения индекса ДИА в группе 1 (стандартные дозы изотретиноина) несколько превосходили таковые в группе 2 (низкие дозы изотретиноина и широкополосный некогерентный свет) ― 5 и 4,3 соответственно (рис. 1). В целом, несмотря на имеющуюся небольшую разницу в исходных средних значениях ДИА, в обеих группах была продемонстрирована сходная динамика данного индекса — регресс на 97 и 96% (в группе А1 — от 5,4 до 0,15, в группе В1 — от 4,5 до 0,11; в группе А2 — от 4,4 до 0,1, в группе В2 — от 4,3 до 0,16), в основном за счёт уменьшения количества комедонов и папул, в меньшей степени — пустул.
Рис. 1. Динамика дерматологического индекса акне (ДИА) у пациентов 1-й (а) и 2-й (б) групп.
Среднее значение ДИКЖ в исследуемых группах до лечения составляло 12,6 в группе 1 и 13,1 в группе 2 (рис. 2), что свидетельствует о существенном воздействии на жизнь пациентов. В группе пациентов, получавших комбинированный метод лечения низкими дозами изотретиноина и широкополосным некогерентным светом (IPL), отмечалась более выраженная динамика ДИКЖ по сравнению с группой пациентов, получавших монотерапию стандартными дозами изотретиноина, — 76 и 84% соответственно (при p <0,05, сравнение с показателями до лечения).
Рис. 2. Динамика дерматологического индекса качества жизни (ДИКЖ) в группах наблюдения в процессе терапии.
Исходное среднее значение по шкале IGA в группе терапии стандартными дозами изотретиноина было равно 5, в группе комбинированной терапии — 4,95 (рис. 3). Данные показатели свидетельствуют о наличии у пациентов множественных комедонов, до 10 папул и пустул, единичных рубцов. Полученные значения напрямую коррелируют с исходными значениями ДИА в обеих группах. Положительная динамика средних значений шкалы IGA в группе терапии стандартными дозами изотретиноина составила 94%; в группе терапии низкими дозами изотретиноина и широкополосным некогерентным светом (IPL) отмечалась более выраженная положительная динамика — 97%. Средние значения по шкале IGA после терапии составили 0,3 в группе 1 и 0,13 в группе 2, что свидетельствует о регрессии воспалительных элементов у пациентов.
Рис. 3. Динамика значений шкалы глобальной оценки исследователем (IGA) в группах наблюдения в процессе терапии.
Оценка эффективности проводимой терапии по шкале GSS проводилась с использованием динамики индекса IGA, чтобы наглядно продемонстрировать долю (%) пациентов с достигнутым клиническим эффектом (рис. 4). Так, в группе терапии стандартными дозами изотретиноина у 74% пациентов наблюдалась клиническая ремиссия (снижение IGA на 90–100%), у 21% — значительное улучшение (динамика IGA на 70–89%), у остальных 5% пациентов — улучшение (динамика IGA на 50–69%). В группе терапии низкими дозами изотретиноина и широкополосным некогерентным светом (IPL) у всех пациентов наблюдались либо клиническая ремиссия (у 88%), либо значительное улучшение (у 12%). В целом стоит отметить, что клиническая ремиссия достоверно чаще наблюдалась в группе комбинированной терапии по сравнению с группой мототерапии (88 и 74% соответственно, p <0,05). Такие градации GSS, как «незначительное улучшение» (снижение IGA на 30–49%), «без эффекта» (снижение IGA менее чем на 30%) и «ухудшение» (увеличение IGA не менее чем на 10%), не отмечались ни в одной из терапевтических групп.
Рис. 4. Динамика значений глобальной шкалы тяжести (GSS) в группах наблюдения в процессе терапии.
Проведён анализ влияния моно- и комбинированной терапии на развитие отсроченных рецидивов акне. Для этого пациентов приглашали в клинику через 12 мес по окончании терапии. Так, в группе монотерапии стандартными дозами изотретиноина рецидивы акне были выявлены в 4 (11%) случаях — у 2 мужчин (21 и 25 лет) и 2 женщин (21 и 39 лет). Во всех случаях отсроченные рецидивы проявлялись обострением кожного процесса в виде новых комедонов и папуло-пустулёзных элементов. В группе комбинированной терапии низкими дозами изотретиноина и широкополосным некогерентным светом (IPL) отсроченных рецидивов заболевания не наблюдалось.
Нежелательные явления
Нежелательные явления в группе терапии стандартными дозами изотретиноина наблюдались в 98% случаев. Наиболее частыми из них были сухость кожи и слизистых оболочек, в том числе хейлит, эритема, обострение кожного процесса, сохраняющееся до нескольких недель. Несмотря на высокую частоту развития нежелательных явлений, они не приводили к отмене терапии. В целом картина наблюдаемых нежелательных явлений соответствует имеющимся данным о безопасности стандартных доз изотретиноина.
В группе комбинированной терапии низкими дозами изотретиноина и широкополосным некогерентным светом (IPL) также наблюдались нежелательные явления, обусловленные применением изотретиноина: в 76% случаев — сухость кожи и слизистых оболочек, в том числе хейлит, эритема, обострение кожного процесса, сохраняющееся до нескольких недель. Выраженность данных нежелательных явлений была ниже, чем в группе 1. Нежелательных явлений, связанных с применением фототерапии, не наблюдалось ни у одного из пациентов.
ОБСУЖДЕНИЕ
Как известно, изотретиноин в стандартных дозировках может приводить к массе нежелательных побочных явлений, таких как ретиноевый дерматит, паронихии, дистрофии ногтей, истончение волос, светобоязнь, головная боль, колиты и др. Применение дополнительных методик терапии, например IPL, позволяет снизить дозу препарата и, соответственно, значительно уменьшить частоту побочных явлений. Данное исследование показало бóльшую эффективность использования комбинирования IPL и низких доз изотретиноина у пациентов с акне средней и тяжёлой степени, что, несомненно, позволит широко внедрять данную методику в практическое здравоохранение.
В группах исследования была продемонстрирована сходная динамика ДИА —регресс на 97% (группа 1) и 96% (группа 2) в основном за счёт уменьшения количества комедонов и папул, что говорит о высокой эффективности обоих методов терапии.
По шкале IGA в группе терапии низкими дозами изотретиноина и широкополосным некогерентным светом (IPL) отмечалась более выраженная положительная динамика средних значений (97%) по сравнению с группой пациентов, получавших монотерапию изотретиноином (94%).
Динамика ДИКЖ также была более выражена в группе пациентов, получавших комбинированный метод лечения низкими дозами изотретиноина и широкополосным некогерентным светом (84%), по сравнению с группой пациентов, получавших монотерапию стандартными дозами изотретиноина (76% при p <0,05).
Данные шкалы GSS также свидетельствуют о том, что клиническая ремиссия достоверно чаще наблюдалась в группе комбинированной терапии по сравнению с группой мототерапии (88 и 74% соответственно, p <0,05).
По прошествии 12 мес после терапии рецидивы заболевания были выявлены у 4 (11%) пациентов: 2 мужчин (21 и 25 лет) и 2 женщин (21 и 39 лет) в группе монотерапии стандартными дозами изотретиноина. В группе комбинированной терапии низкими дозами изотретиноина и широкополосным некогерентным светом (IPL) отсроченных рецидивов заболевания не наблюдалось.
Нежелательные явления в группе терапии стандартными дозами изотретиноина наблюдались в 98% случаев. В группе комбинированной терапии низкими дозами изотретиноина и широкополосным некогерентным светом (IPL) нежелательные явления, обусловленные применением изотретиноина, отмечены у 76% пациентов.
ЗАКЛЮЧЕНИЕ
Оценивая в целом результаты лечения пациентов со средней степенью тяжести акне методом монотерапии изотретинионом и комбинированной терапии низкими дозами изотретиноина и широкополосным некогерентным светом (IPL), можно отметить эффективность обоих методов, однако клиническая ремиссия по данным глобальной шкалы тяжести (GSS) достоверно чаще наблюдалась в группе комбинированной терапии по сравнению с группой мототерапии (88 и 74% соответственно, p <0,05). Кроме того, в группе комбинированной терапии не было выявлено рецидивов по прошествии 12 мес, а также реже наблюдались нежелательные явления, обусловленные применением изотретиноина.
ДОПОЛНИТЕЛЬНАЯ ИНФОРМАЦИЯ / ADDITIONAL INFORMATION
Источник финансирования. Авторы заявляют об отсутствии внешнего финансирования при подготовке статьи.
Funding source. This work was not supported by any external sources of funding.
Конфликт интересов. Авторы декларируют отсутствие явных и потенциальных конфликтов интересов, связанных с публикацией настоящей статьи.
Competing interests. The author declare that she has no competing interests.
Вклад авторов. Все авторы подтверждают соответствие своего авторства международным критериям ICMJE (все авторы внесли существенный вклад в разработку концепции, проведение исследования и подготовку статьи, прочли и одобрили финальную версию перед публикацией).
Author contribution. Аll authors made a substantial contribution to the conception of the work, acquisition, analysis, interpretation of data for the work, drafting and revising the work, final approval of the version to be published and agree to be accountable for all aspects of the work.
Об авторах
Анастасия Андреевна Колодий
Клиника «Чайка»
Email: tynrik@yandex.ru
ORCID iD: 0000-0002-2944-0232
SPIN-код: 7644-0893
Россия, Москва
Наталья Владимировна Грязева
Центральная государственная медицинская академия Управления делами Президента Российской Федерации
Автор, ответственный за переписку.
Email: tynrik@yandex.ru
ORCID iD: 0000-0003-3437-5233
SPIN-код: 1309-4668
к.м.н., доцент
Россия, МоскваМария Сергеевна Круглова
Первый Московский государственный медицинский университет имени И.М. Сеченова (Сеченовский Университет)
Email: kruglovals@mail.ru
ORCID iD: 0000-0002-3190-7460
Россия, Москва
Список литературы
- Gold M.D., Baldwin H., Lin T. Management of comedonal acne vulgaris with fixed-combination topical therapy // J Cosmet Dermatol. 2018. Vol. 17, N 2. Р. 227–231. doi: 10.1111/jocd.12497
- Strauss J.S., Krowchuk D.P., Leyden J.J., et al. Guidelines of care for acne vulgaris management // J Am Acad Dermatol. 2007. Vol. 56, N 4. Р. 651–663. doi: 10.1016/j.jaad.2006.08.048
- Tan X., Al-Dabagh A., Davis S.A., et al. Medication adherence, healthcare costs and utilization associated with acne drugs in Medicaid enrollees with acne vulgaris // Am J Clin Dermatol. 2013. Vol. 14, N 3. Р. 243–251. doi: 10.1007/s40257-013-0016-x
- Pawin H., Beylot C., Chivot M., et al. Creation of a tool to assess adherence to treatments for acne // Dermatol. 2009. Vol. 218, N 1. Р. 26–32. doi: 10.1159/000165628
- Park C., Kim G., Patel I., et al. Improving adherence to acne treatment: the emerging role of application software // Clin Cosmet Investig Dermatol. 2014. Vol. 7. Р. 65–72. doi: 10.2147/CCID.S46051
- Dreno B., Thiboutot D., Gollnick H., et al. Global alliance to improve outcomes in acne: large-scale worldwide observational study of adherence with acne therapy // Int J Dermatol. 2010. Vol. 49, N 4. Р. 448–456. doi: 10.1111/j.1365-4632.2010.04416.x
- Jones-Caballero M., Pedrosa E., Penas P.F. Self-reported adherence to treatment and quality of life in mild to moderate acne // Dermatol. 2008. Vol. 217, N 4. Р. 309–314. doi: 10.1159/000151441
Дополнительные файлы







