Adaptation of the Quest Scale questionnaire to study the connection between the religiosity of women and their behavior during pregnancy
- Authors: Maryanyan A.Y.1, Kuzmin M.Y.1,2
-
Affiliations:
- Scientific Center of Family Health Problems and Human Reproduction
- Irkutsk State University
- Issue: Vol 29, No 2 (2022)
- Pages: 129-141
- Section: ORIGINAL STUDY ARTICLES
- Submitted: 26.01.2022
- Accepted: 09.02.2022
- Published: 16.06.2022
- URL: https://hum-ecol.ru/1728-0869/article/view/99544
- DOI: https://doi.org/10.17816/humeco99544
- ID: 99544
Cite item
Full Text
Abstract
INTRODUCTION: This article presents the results of the adaptation of the Quest Scale questionnaire to study the religiosity in a Russian population, including women at different stages of pregnancy. The authors suggest that the study of religiosity as a personal quest is applicable when studying the religiosity of modern women. In addition, this study aimed to adapt the Quest Scale questionnaire to study the religiosity of women.
AIM: To adapt the Quest Scale questionnaire to investigate the religiosity of women.
MATERIAL AND METHODS: The questionnaire was adapted for 530 people (50, pilot sample; 162, a group of subjects of different genders and ages; 318, a group of women at different stages of pregnancy; M=32.8 years; SD, 8.27 years) of different levels of education and ethnic and religious affiliation. Consistency, reproducibility, and validity were determined using the Cronbach consistency coefficient α, ICC coefficient, and factor analysis, respectively. In addition, Pearson correlation coefficient r was calculated on the basis of the “index of basic spiritual experiences,” which is a scale of religious orientation (G. Allport, D. Ross) to determine the structure of individual religiosity (Yu.V. Shcherbatykh). Calculations were performed in IBM SPSS 23.0 program.
RESULTS: During adaptation, the questionnaire with a high level of scale consistency was obtained: for the first scale “willingness to solve existential problems without reducing their complexity” α=0.85; for the second scale “positive perception of religious doubts” α=0.78; for the third scale “openness to change” α=0.76. In addition, the level of scale consistency is higher in pregnant women, and lower in subjects of different genders and ages. A sufficient level of stability was recorded during repeated reproduction (ICC≈0.83 for the first scale, ICC≈0.75 for the second scale, and ICC≈0.85 for the third scale, p=0.0001). The factor structure of the questionnaire is also described. External validity was established during the discussion of the relationship between the scales of the Quest Scale questionnaire and the methods adapted for the Russian population.
CONCLUSIONS. The adapted Quest Scale questionnaire is suitable for studying the peculiarities of religiosity in the Russian population, primarily for women at different stages of pregnancy.
Keywords
Full Text
ВВЕДЕНИЕ
Проблема сопровождения женщин, решившихся на аборт или употребляющих вещества, оказывающие тератогенное действие на плод, является актуальной как для медицинских работников, так и для общества в целом [1–3]. Изучение данной проблемы осуществляется социологическими [4], психологическими методами [5], с попытками смоделировать соответствующие процессы [6], выявить отношение к проблеме со стороны различных представителей медицинского сообщества [7, 8].
Среди различных социально-психологических факторов, влияющих на поведение женщин во время беременности, можно выделить религиозность. Данный феномен неодинаково понимается в различных психологических подходах. Выделяются традиционная, рациональная и интуитивная религиозность [9], мистическая и практическая Пратта [10] религиозность и т.п. Разнообразие подходов обусловливает большое количество методик, используемых для диагностики религиозности, в том числе в отечественной науке [11–15].
Распространённой является концепция «внешней» и «внутренней» религиозности, предложенная Г. Оллпортом [12, 16]. Для русскоязычной аудитории адаптирована методика «Шкала религиозной ориентации», измеряющая соответствующие стороны религиозности. При этом ещё в 1991 году C.D. Batson [17] предложил третье измерение религиозности, представляющей её не как средство, цель, совокупность переживаний, а как некий личностный поиск. В рамках такой религиозности личность признаёт, что не знает и, вероятно, никогда не получит окончательного ответа на ряд экзистенциальных вопросов, но при этом считает их важными и не отказывается от попыток их разрешить [18]. Однако в отличие от методики Г. Оллпорта методика C.D. Batson и P.A. Schoenrade для русскоязычной аудитории не адаптирована.
По нашему мнению, адаптация инструмента, позволяющего измерять, наряду с внешней и внутренней сторонами, ещё одну сторону религиозности, может оказаться полезным как для изучения религиозности современных россиян в целом, так и для её изучения у беременных женщин.
Цель. Адаптация методики Quest Scale для изучения религиозности женщин.
В выборку вошли две группы респондентов: группа из 212 человек различного пола и возраста и группа из 318 женщин, находящихся на различных сроках беременности. В связи с этим результаты адаптации методики Quest Scale будут представлены как в целом, так и по каждой из групп в отдельности.
Концепция религиозности C.D. Batson и коллег
Обосновывая свой подход к религиозности, C.D. Batson предположил, что помимо внешней и внутренней религиозности существует третье измерение, которое было определено как «поиск» (quest) [17]. Данный тип религиозности состоит в признании принципиальной сложности существующих экзистенциальных вопросов (откуда произошла жизнь, для чего мы существуем и т.д.) и, одновременно в признании невозможности простого их решения [18].
Описание методики Quest Scale
Методика Quest Scale представляет собой опросник из 12 пунктов, измеряющий восприятия респондентом религии как некоего поиска. Религиозность как Поиск изучается при помощи трёх субшкал: готовность столкнуться с экзистенциальными вопросами без снижения их сложности; самокритичность и восприятие своих религиозных сомнений позитивно; готовность к изменениям. Каждую субшкалу составляют четыре вопроса, которые, в свою очередь, оцениваются респондентами по девятибалльной шкале в диапазоне от 1 (категорически не согласен) до 9 (категорически согласен). Результаты о надёжности и валидности данной методики для зарубежной англоязычной аудитории были представлены её авторами [17, 18].
Подход C.D. Batson неоднократно подвергался критике [19], однако, за более чем четверть века методика Quest Scale адаптировалась для других культур [20, 21], использовалась как основание для разработки других методик [14] или непосредственно в исследованиях [22].
МАТЕРИАЛ И МЕТОДЫ
Исследование проводилось с 01.09.2019 по 25.12.2019. Часть выборки, состоявшая из респондентов различного пола и возраста, собиралась на базе Иркутского государственного университета (факультеты психологии, отделения религиоведения и теологии исторического факультета), а также Института филологии, иностранных языков и медиакоммуникации. Часть выборки, состоявшая из беременных женщин, была представлена женщинами, обращавшимися в женскую консультацию поликлиник Иркутской городской клинической больницы №8, Медсанчасти Иркутского Авиационного производственного объединения (ИАПО), Медсанчасти №2, в перинатальные центры Иркутской областной клинической больницы и Иркутского городского перинатального центра.
В пилотное исследовании было приглашено 54 человека, из них полностью заполнили комплект опросников 50 участников (92,5%) различного пола и возраста, преимущественно женщины. Помимо пилотной группы в основное исследование были вовлечены 175 мужчин и женщин, обучавшихся в Иркутском государственном университете, и 350 женщин, находящихся на разных сроках беременности. Из 175 приглашенных студентов полностью заполнили комплект опросников 162 человека (92,57%). Вместе с участниками пилотной группы данная часть выборки составила 212 человек (74,1% женщин, 25,9% мужчин), средний возраст — 34,1 года; стандартное отклонение — 11,9 лет. Более половины этой группы (53%) были студентами факультета психологии Иркутского государственного университета (ИГУ), 27% — студентами Института филологии, иностранных языков и медиакоммуникации ИГУ, 20% — студентами отделения религиоведения и теологии исторического факультета ИГУ. Большинство участников опроса отнесли себя к христианам (80%) либо к буддистам (5%); 15% указали, что являются атеистами. К русскому этносу отнесли себя 85,2% респондентов, к бурятскому — 9,8%, 5% опрошенных данных не предоставили.
При ответе на вопрос о семейном положении 28,6% участников на состояли в браке; 54,8% были холосты, 9,5% человек были в разводе; 7% участников данных о семейном положении не предоставили. Среди женщин, находящихся на разных сроках беременности, было получено 318 полностью заполненных комплектов опросников из 350 предложенных к заполнению (90,8%). Средний возраст женщин составил 31,9, стандартное отклонение 5,85. К русскому этносу отнесли себя 88,68% женщин, 7,55% — к бурятскому, 2,52% женщин были смешанного происхождения, 1,26% женщин не ответили на вопрос. Большинство опрашиваемых отнесли себя к христианам (82%). Незначительная часть респондентов относилась к буддистам (4,5%), а 13,5% являлись атеистами. Высшее образование имели 52,2% женщин, 18,8% окончили колледж, 10% — техникум, 13,8% женщин имели среднее образование, 4,4% — незаконченное среднее. Семейное положение у беременных женщин не устанавливалось.
Таким образом, общая выборка составила 530 человек. Внешняя валидность обеспечивалась участием широкого круга респондентов, различных по возрасту, роду занятий, образованию и вероисповеданию.
Для оценки психометрических свойств полученного инструмента была осуществлена проверка на надёжность и валидность. Надёжность оценивалась при помощи следующих методик: 1) анализ Блэнда-Алтмана; 2) установление внутриклассового коэффициента корреляции (ICC), использовалась двухфакторная смешанная модель. Согласованность шкал методики оценивалась при помощи критерия альфа Кронбаха. Валидность определяли при помощи факторного анализа (по методу главных компонент с вращением Варимакс), а также путём установления корреляционных связей с используемыми в России методиками изучения религиозности (путём расчёта коэффициента корреляции Пирсона). Обработка полученных данных проводилась при помощи пакета SPSS Statistica 23.0.
Этапы апробации методики
Адаптация опросника состояла из нескольких последовательных этапов и проводилась в соответствии с общепринятыми принципами, предложенными Научно-консультативным комитетом Фонда медицинских исходов (Scientific Advisory Committee of Medical Outcomes Trust) [23].
1-й этап. Культурная и языковая адаптация. После получения официального разрешения от авторов оригинальный опросник был переведён двумя носителями русского языка, один из них был клиническим психологом, другой — научным сотрудником Научного центра проблем здоровья семьи и репродукции человека и преподавателем отделения религиоведения и теологии исторического факультета, магистром религиоведения. Затем двумя носителями английского языка был осуществлён обратный перевод, и в ходе обсуждения созданы промежуточные версии опросника. По результатам перевода было проведено совещание с привлечением специалистов Научного центра проблем здоровья семьи и репродукции человека (НЦ ПЗСРЧ), факультета психологии и отделения религиоведения и теологии ИГУ для обсуждения итогового текста вопросов. Оценка содержательной валидности русскоязычного варианта методики обеспечивалась, таким образом, работой группы экспертов, в качестве которых выступили профессиональные психологи, религиоведы, имеющие учёные степени и звания, а также медицинские работники, планирующие использовать адаптированную методику в научных целях. Предлагалось оценить следующие критерии: ясность формулировок, возможность однозначного ответа, стилистическая простота, сложность для заполнения. После внесения изменений в формулировки вопросов была утверждена его окончательная тест-версия опросника.
2-й этап. Тест-версия опросника в рамках пилотного исследования была предложена студентам ИГУ факультета психологии, отделения религиоведения и теологии исторического факультета, а также Института филологии, иностранных языков и медиакоммуникации. Студентам была представлена переведённая версия опросника для заполнения. Кроме того, предлагалось заполнить адаптированные к русскоязычной аудитории версии следующих методик: «Индекс базовых духовных переживаний (INSPIRIT; Index of core spiritual experiences, разработанный Дж. Касс) [15], шкалу религиозной ориентации (Г. Оллпорт, Д. Росс) [12], а также тест для определения структуры индивидуальной религиозности Ю.В. Щербатых [11]. Выбор данных методик был обусловлен их использованием в зарубежной практике, в том числе совместно с методикой Quest Scale (для шкалы религиозной ориентации Г. Оллпорта и Д. Росс), а также широтой шкал, отражающей различные стороны религиозности (методика Ю.В. Щербатых). Незаполненные или заполненные наполовину опросники исключались из обработки. Полученные результаты были статистически обработаны с помощью пакета IBM SPSS 23.0 для оценки валидности и надёжности.
3-й этап. На основании пилотного исследования и последующей статистической обработки часть вопросов методики была модифицирована. Скорректированные тексты опросников были предложены группе студентов ИГУ. Одновременно тексты опросников были предложены женщинам, находящимся на разных сроках беременности. Также опросник дополнительно выдали респондентам, принявшим участие в пилотном исследовании, для оценки воспроизводимости результатов. Незаполненные или заполненные наполовину опросники исключались из дальнейшей обработки. В результате были получены опросники 530 человек, 212 из которых составили группу респондентов различного пола, возраста, этнической принадлежности, а 318 из них были женщинами, находящимися на разных сроках беременности.
РЕЗУЛЬТАТЫ
В ходе пилотного исследования тест-версии было установлено, что блоки вопросов, отражающих готовность решать экзистенциальные проблемы без снижения их сложности, позитивное восприятие сомнений и готовность к переменам, не вызывают трудности при заполнении опросника. Оказалось, что в целом уровень согласованности вопросов методики высокий, так коэффициент альфа Кронбаха равен 0,85.
При этом была обнаружена низкая согласованность конкретных блоков вопросов (табл. 1). Так, по первой шкале, отражающей готовность решать экзистенциальные проблемы без снижения их сложности, альфа Кронбаха оказалась достаточной (α=0,76). Однако по второй шкале, отражающей позитивное восприятие религиозных сомнений, и по третьей, отражающей готовность к переменам, согласованность оказалась низкой (α=0,66 и α=0,67, соответственно).
Таблица 1. Показатели надёжности субшкал методики Quest Scale на пилотном и основном этапах исследования
Table 1. Quest Scale subscale reliability indicators at the pilot and main stages of the study
Шкала методики Scale of the methodology | α Кронбаха α Kronbach | α Кронбаха α Kronbach |
Пилотный этап Pilot stage (n=50) | Основной этап Main stage (n=530) | |
Готовность решать экзистенциальные проблемы без снижения их сложности | 0,76 | 0,85 |
Позитивное восприятие религиозных сомнений | 0,66 | 0,78 |
Открытость к изменениям | 0,67 | 0,76 |
На основании результатов пилотного исследования были внесены изменения в вопросы, показавшие наименьшую согласованность, такие как шкалы, отражающие позитивное восприятие религиозных сомнений и готовность к переменам. Затем итоговая версия опросника вместе с методиками «Индекс базовых духовных переживаний» (INSPIRIT; Index of core spiritual experiences), шкалой религиозной ориентации (Г. Оллпорт, Д. Росс) и методикой Ю.В. Щербатых была предложена респондентам, составляющим основную выборку.
Согласованность методики
После заполнения итоговой версии опросника было установлено, что уровень согласованности вопросов повысился по сравнению с пилотным этапом до 0,88. Был обнаружен рост согласованности конкретных блоков вопросов: для первой шкалы α Кронбаха согласованность осталась высокой, а для второй и для третьей шкал достаточной (см. табл. 1).
В группе, состоящей из респондентов различного пола и возраста, согласованность вопросов итогового варианта методики по сравнению с пилотным этапом несколько снизилась. Так, коэффициент α Кронбаха оказался равным 0,79; по первой шкале он равен 0,76, по второй — 0,75, по третьей — 0,74. Наоборот, на выборке беременных женщин уровень согласованности вопросов итогового варианта методики оказался в целом высоким — 0,902); для первой и второй шкал значение α Кронбаха составило 0,87 и 0,83, соответственно, для третьей шкалы α=0,79.
Надёжность (воспроизводимость) методики
Через две недели после первичного заполнения опросника 29 беременных женщины заполнили его повторно. Одновременно 50 человек, принявших участие в пилотном исследовании, тоже заполнили новые версии опросника. Таким образом, группа респондентов, повторно заполнявших опросник, составила 79 человек.
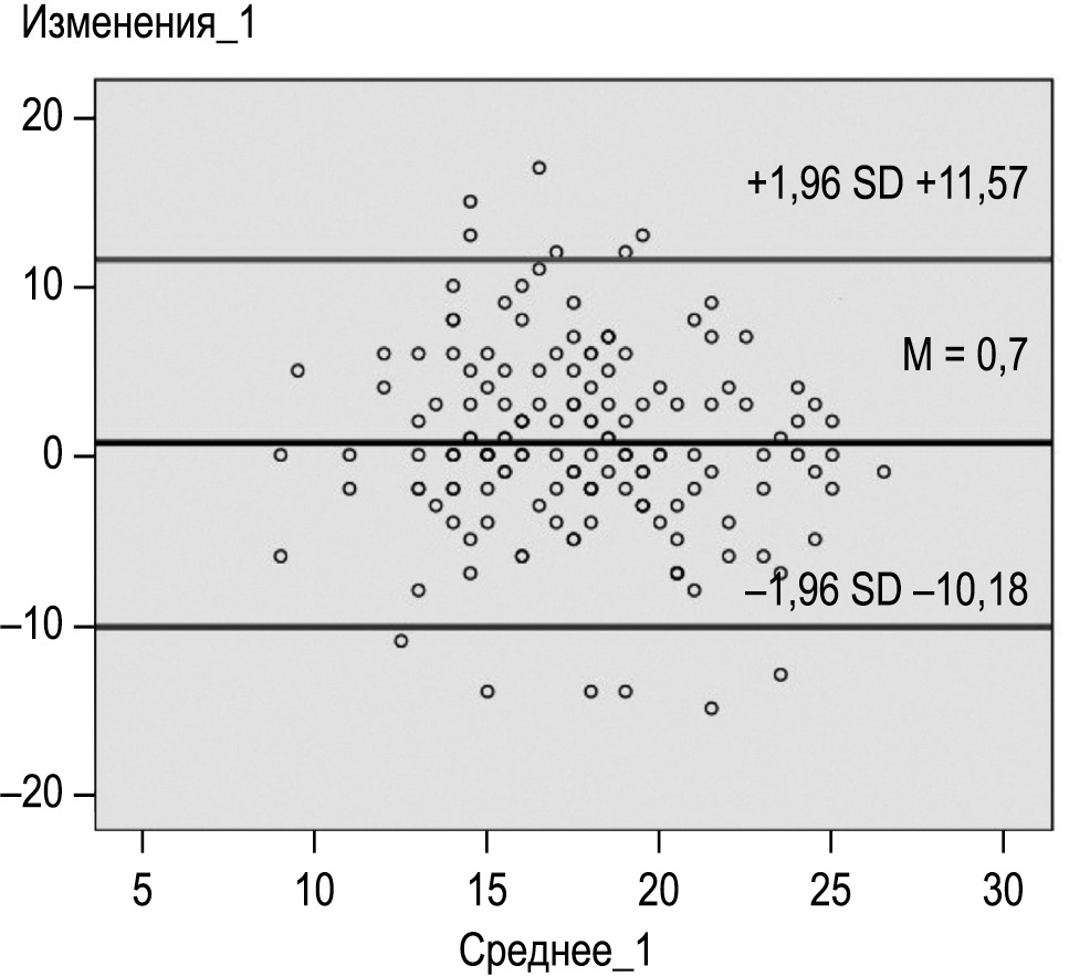
Прежде всего, мы построили диаграмму Блэнда- Алтмана. Одновыборочный t-критерий Стьюдента для каждой из шкал оказался незначимым. Так, t=1,287, p=0,2 для шкалы «Готовность решать экзистенциальные вопросы без потери их сложности»; t=1,7, p=0,09 для шкалы «Позитивное восприятие религиозных сомнений»; t=1,6, p=0,112 для шкалы «Открытость к изменениям». Мы не обнаружили единого смещения одного среза по сравнению с другим (рис. 1–3).
Рис. 1. Диаграмма Блэнда-Алтмана для шкалы «Готовность решать экзистенциальные проблемы без снижения их сложности».
Рис. 2. Диаграмма Блэнда-Алтмана для шкалы «Позитивное восприятие религиозных сомнений».
Рис. 3. Диаграмма Блэнда-Алтмана для шкалы «Открытость к изменениям».
Далее мы рассчитали коэффициент внутриклассовой корреляции — ICC. ICC — это способ обозначения типа внутриклассовой корреляции в пакете SPSS (см. https://wikisko.ru/wiki/Intraclass_correlation) как для выборки в целом, так и для каждой из подгрупп. Получены следующие значения ICC: для шкалы «Готовность решать экзистенциальные вопросы без потери их сложности» — 0,83 (0,95% ДИ 74–0,88, p <0,0001); для шкалы «Позитивное восприятие религиозных сомнений» — 0,75 (0,95% ДИ 0,63–0,84, p <0,0001); для шкалы «Открытость к изменениям» — 0,85 (0,95% ДИ 0,77–0,89, p <0,0001). Согласно Koo T.K., Li M.Y. [24] это указывает на хороший уровень надёжности.
При этом уровень надёжности оказался неодинаковым у различных групп, входящих в выборку. Среди студентов ВУЗов, участвующих в пилотном этапе проекта, внутриклассовый коэффициент корреляции составил для первой шкалы 0,74 (0,95%, ДИ 0,63–0,81, p <0,0001), для второй — 0,64 (0,95%, ДИ 0,50–0,75, p <0,0001), для третьей — 0,74 (0,95%, ДИ 0,63–0,81, p <0,0001). Таким образом, как по шкале «Позитивное восприятие религиозных сомнений» внутриклассовый коэффициент корреляции оказался умеренным. Наоборот, у беременных женщин все внутриклассовые коэффициенты корреляции оказались высокими и очень высокими. Так, для первой шкалы у беременных женщин ICC был равен 0,89 (0,95%, ДИ 0,82–0,93, p <0,0001), для второй шкалы — 0,83 (0,95%, ДИ 0,72–0,90, p <0,0001) и для третей шкалы — 0,92 (0,95%, ДИ 0,87–0,95, p <0,0001).
Таким образом, показатели ретестовой надёжности методики оказались высокими, однако, неодинаковыми для двух групп, составляющих выборку. Так, в группе беременных женщин ретестовая надёжность оказалась значительно выше, чем в группе, состоящей из участников различного пола и возраста. Это могло быть связано как с большей гомогенностью первой группы, так и с тем, что ретестовая надёжность во второй группе вычислялась по данным, полученным в ходе пилотного исследования, по результатам которого формулировка некоторых вопросов была изменена.
Валидность методики
С помощью эксплораторного факторного анализа на всей выборке было выделено три фактора, объясняющих 58,54% совокупной дисперсии. Было обнаружено, что вопросы работают прежде всего на те шкалы, к которым их изначально относили. Анализ структуры взаимосвязей позволил однозначно указать на соответствие факторов выделенным шкалам: первый фактор соответствует шкале «Готовность решать экзистенциальные проблемы без снижения их сложности», второй фактор — шкале «Позитивное восприятие религиозных сомнений», третий — шкале «Открытость к изменениям» (табл. 2).
Таблица 2. Матрицы факторного отображения
Table 2. Factor mapping matrices
Шкалы Scale | Вся выборка Sampling | Группа испытуемых различного пола и возраста A group of subjects of different genders and ages | Беременные женщины Рregnant women | ||||||
Ф1 | Ф2 | Ф3 | Ф1 | Ф2 | Ф3 | Ф1 | Ф2 | Ф3 | |
В1 | 0,667 | 0,713 | |||||||
В2 | 0,827 | 0,747 | 0,724 | ||||||
В3 | 0,647 | 0,476 | 0,402 | 0,869 | |||||
В4 | 0,71 | 0,726 | 0,651 | ||||||
В5 | 0,497 | 0,447 | 0,598 | ||||||
В6 | 0,597 | 0,467 | 0,617 | ||||||
В7 | 0,461 | 0,492 | 0,604 | ||||||
В8 | 0,553 | 0,644 | 0,59 | ||||||
В9 | 0,672 | 0,685 | 0,575 | ||||||
В10 | 0,719 | 0,844 | 0,533 | ||||||
В11 | 0,699 | 0,476 | 0,61 | ||||||
В12 | 0,543 | 0,562 | 0,591 | ||||||
Примечание: В1-В12 — вопросы методики. Ф1-Ф3 — выделенные факторы, соответствующие шкалам методики.
Note: B1-B12 — questions of methodology. F1-F3 — selected factors corresponding to the scales of the methodology.
При этом в группе опрашиваемых, состоящей как из мужчин, так и из женщин, объяснённая совокупная дисперсия составила 56,9%. На этой группе вопрос 3 вносит вклад в смежные факторы, однако в меньшей степени, чем в тот, к которому относится.
Наоборот, на группе беременных женщин объяснённая совокупная дисперсия оказалась самой высокой и составила 69,65%. В этой группе анализ структуры взаимосвязей позволил однозначно указать на выделенные шкалы «Готовность решать экзистенциальные проблемы без снижения их сложности», «Позитивное восприятие религиозных сомнений» и «Открытость к изменениям» (см. табл. 2).
Для установления конвергентной валидности адаптируемой методики Quest Scale были проанализированы связи между её субшкалами и шкалами методик, которые используются в отечественной практике.
Связи с методикой Ю. В. Щербатых
Оказалось, что не все субшкалы методики Quest Scale и шкалы методики «Тест для определения структуры индивидуальной религиозности» (далее методика Ю.В. Щербатых) связаны друг с другом (табл. 3).
Таблица 3. Связь шкал методики Ю.В. Щербатых и методики Quest Scale, адаптированной на русский язык, критерий r-Пирсона (p-уровень)
Table 3. Relationship between the scales of Yu.V. Shcherbatykh method and the Russian-language-adapted Quest Scale method, Pearson’s r-test (p-level)
Шкалы Scales | Готовность решать экзистенциальные проблемы без снижения их сложности Willingness to solve existential problems without reducing their complexit | Позитивное восприятие религиозных сомнений Positive perception of religious doubts | Открытость к изменениям Openness to change | |
Отношение испытуемого к религии как философской концепции | 1 (n=530) | 0,454 (0,000) | 0,522 (0,000) | 0,544 (0,000) |
2 (n=212) | 0,472 (0,000) | 0,519 (0,000) | 0,570 (0,000) | |
3 (n=318) | 0,428 (0,000) | 0,536 (0,000) | 0,530 (0,000) | |
Отношение испытуемого к магии | 1 (n=530) | 0,080 (0,076) | -0,384 (0,000) | 0,291 (0,000) |
2 (n=212) | 0,153 (0,028) | -0,479 (0,000) | 0,332 (0,000) | |
3 (n=318) | 0,088 (0,118) | -0,343 (0,000) | 0,274 (0,000) | |
Тенденция искать в религии поддержку и утешение | 1 (n=530) | 0,241 (0,000) | 0,055 (0,119) | 0,042 (0,358) |
2 (n=212) | 0,179 (0,012) | 0,153 (0,028) | 0,117 (00,072) | |
3 (n=318) | 0,307 (0,000) | 0,104 (0,069) | 0,047 (0,337) | |
Внешние признаки религиозности | 1 (n=530) | 0,047 (0,296) | -0,027 (0,654) | 0,051 (0,250) |
2 (n=212) | 0,144 (0,038) | -0,011 (00,819) | 0,147 (00,032) | |
3 (n=318) | 0,105 (0,069) | -0,068 (0,218) | 0,109 (0,060) | |
Интерес к так называемой "псевдонауке" | 1 (n=530) | 0,058 (0,188) | -0,378 (0,000) | 0,028 (0,631) |
2 (n=212) | 0,021 (0,717) | -0,481 (0,000) | 0,027 (00,715) | |
3 (n=318) | 0,111 (0,051) | -0,340 (0,000) | 0,031 (0,489) | |
Тенденция верить в Творца | 1 (n=530) | 0,182 (0,001) | -0,043 (0,331) | 0,389 (0,000) |
2 (n=212) | 0,083 (00,245) | -0,097 (00,176) | 0,421 (0,000) | |
3 (n=318) | 0,297 (0,000) | -0,095 (0,118) | 0,360 (0,000) | |
Наличие религиозного самосознания | 1 (n=530) | 0,498 (0,000) | -0,294 (0,000) | 0,362 (0,000) |
2 (n=212) | 0,463 (0,000) | -0,355 (0,000) | 0,391 (0,000) | |
3 (n=318) | 0,510 (0,000) | -0,262 (0,000) | 0,345 (0,000) | |
Отношение испытуемого к религии | 1 (n=530) | 0,361 (0,000) | -0,457 (0,000) | 0,372 (0,000) |
2 (n=212) | 0,353 (0,000) | -0,476 (0,000) | 0,390 (0,000) | |
3 (n=318) | 0,367 (0,000) | -0,442 (0,000) | 0,356 (0,000) | |
Примечание: 1 — вся выборка; 2 — группа испытуемых различного пола и возраста; 3 — группа беременных женщин.
Note: 1 — the entire sample; 2 — a group of subjects of different genders and ages; 3 – a group of pregnant women.
Так, все субшкалы методики Quest Scale связаны со шкалами: «Отношение испытуемого к религии как философской концепции», «Наличие религиозного самосознания» и «Отношение испытуемого к религии». При этом с первой из названных шкал субшкалы методики Quest Scale коррелируют положительно. Это закономерно, так как шкала «Отношение испытуемого к религии как философской концепции» отражает отношение человека к религии с позиций гносеологических корней религиозности, его склонность к идеалистической философии, т.е. как и методика Quest Scale в целом, отражает религиозный поиск.
Со шкалами «Наличие религиозного самосознания» и «Отношение испытуемого к религии» субшкалы «Готовность решать экзистенциальные проблемы без снижения их сложности» и «Открытость к изменениям» связаны положительно, а субшкала «Позитивное восприятие религиозных сомнений» — отрицательно. Это закономерно, так как первая из названных шкал отражает внутреннюю потребность в религиозном веровании, а вторая —отношение к религии как образцу моральных норм поведения. Наоборот, субшкала «Позитивное восприятие религиозных сомнений», то есть сомнений как в своей вере, так и в религии в целом, связана с данными шкалами методики Ю.В. Щербатых отрицательно.
Отметим отдельные связи субшкал методики Quest Scale с другими шкалами методики Ю.В. Щербатых. Со шкалой «Отношение испытуемого к магии» отрицательно связана субшкала «Позитивное восприятие религиозных сомнений», но положительно связана субшкала «Открытость к изменениям». Поскольку субшкала «Позитивное восприятие религиозных сомнений» отражает сомнения именно гносеологического характера, а шкала «Открытость к изменениям» отражает широту взглядов испытуемого на религиозные вопросы, данный характер связей выглядит обоснованным.
По пятой шкале методики Ю.В. Щербатых, «Интерес к так называемой «псевдонауке» (см. табл. 3), была обнаружена сильная отрицательная связь со субшкалой «Позитивное восприятие религиозных сомнений». Это можно объяснить тем, что данная субшкала методики Quest Scale отражает сомнения гносеологического характера, что мало свойственно «псевдонауке».
Со шкалой «Тенденция верить в Творца» по методике Ю.В. Щербатых положительно коррелируют субшкала «Открытость к изменениям» и, на уровне тенденции, шкала «Готовность решать экзистенциальные проблемы без потери их сложности». Данные связи обусловлены, по-видимому, тем, что открытость к изменениям, допускающая плюрализм в вопросах веры, равно как и отсутствие тенденции упрощать представления о мироздании, например, в принципе отрицая «высшие силы», в свою очередь, допускает существование Творца, создавшего мир.
Со шкалой «Тенденция искать в религии поддержку и утешение» значимая корреляция зафиксирована только у субшкалы «Готовность решать экзистенциальные проблемы без потери их сложности». Это, вероятно, объясняется тем, что ряд опрошенных рассматривают различные способы снижения уровня экзистенциальной тревоги, в т.ч. прибегая к религии как к способу совладать с экзистенциальными проблемами.
На всей выборке мы не обнаружили связей между субшкалами методики Quest Scale и такой шкалой в методике Ю.В. Щербатых, как «Внешние признаки религиозности».
В целом, не были найдены противоречия по содержанию субшкал методики Quest Scale и шкал методики Ю.В. Щербатых.
Различные группы, образующие общую выборку, в целом демонстрируют схожие корреляции. Отличия заключаются в ряде дополнительных связей на уровне тенденции в более широкой выборке по сравнению с выборкой беременных женщин, которые приходятся на шкалу «Внешние признаки религиозности».
Связи с методикой Г. Оллпорта и Д. Росс
При анализе связи субшкал методики Quest Scale и шкал методики Г. Оллпорта и Д. Росс необходимо, на наш взгляд, учитывать то обстоятельство, что C.D. Batson предлагал свой подход как альтернативу взглядам Г. Оллпорта. Соответственно, получаемые в его исследовании связи с другими её типами были низкими: корреляции со шкалой внешней религиозности, как правило, находились в диапазоне от 0,00 до 0,25; корреляции с внутренней религиозностью — в диапазоне от –0,10 до 0,10 [17]. Так и в нашей адаптации связи субшкал методик Quest Scale со шкалой религиозной ориентации Г. Оллпорт, Д. Росс обнаружились не везде, и в ряде случаев оказались недостаточно сильными. На всей выборке были обнаружены позитивные связи субшкал «Готовность решать экзистенциальные проблемы без снижения их сложности» и «Открытость к изменениям» со шкалой «Внешняя религиозная ориентация» и их отрицательные связи со шкалой «Внутренняя религиозная ориентация» (табл. 4).
Таблица 4. Связь шкал методики Г. Оллпорта и шкал адаптированной на русский язык методики Quest Scale, критерий r-Пирсона (p-уровень)
Table 4. Relationship between the G. Allport method scales and the Russian-language-adapted Quest Scale method scales, r-Pearson test (p-level)
Шкала Scale | Готовность решать экзистенциальные проблемы без снижения их сложности Willingness to solve existential problems without reducing their complexit | Позитивное восприятие религиозных сомнений Positive perception of religious doubts | Открытость к изменениям Openness to change | |
Вся выборка (n=530) | Внешняя религиозная ориентация | 0,338 (0,000) | 0,114 (0,001) | 0,355 (0,000) |
Внутренняя религиозная ориентация | -0,348 (0,000) | 0,192 (0,000) | -0,391 (0,000) | |
Группа испытуемых различного пола и возраста (n=212) | Внешняя религиозная ориентация | 0,258 (0,000) | 0,074 (0,294) | 0,275 (0,000) |
Внутренняя религиозная ориентация | -0,250 (0,000) | 0,051 (0,450) | -0,240 (0,000) | |
Группа беременных женщин (n=318) | Внешняя религиозная ориентация | 0,420 (0,000) | 0,196 (0,000) | 0,453 (0,000) |
Внутренняя религиозная ориентация | -0,463 (0,000) | 0,334 (0,000) | -0,478 (0,000) | |
Получается, что респонденты, обнаруживающие в себе достаточный уровень религиозности, тяготели скорее к внешней (в терминологии Г. Оллпорта) религиозности, рассматривая её как ценность для себя. Однако с внутренней религиозностью их результаты связаны отрицательно.
При этом связь между субшкалой «Позитивное восприятие религиозных сомнений» на уровне тенденции прослеживается только со шкалой «Внутренняя религиозность».
В группе беременных женщин зафиксированы гораздо более значимые связи между субшкалами методик Quest Scale и методикой Г. Оллпорта и Д. Росс. В том числе обнаружены позитивные связи между субшкалой «Позитивное восприятие религиозных сомнений» и шкалами Внутренней и Внешней религиозности. Наоборот, в группе студентов университета таких связей обнаружено не было.
Связи с методикой «Индекс базовых духовных переживаний» (Инспирит) (Дж. Касс)
Методика INSPIRIT предназначена для изучения выраженности базовых духовных переживаний (ощущение внутреннего присутствия Бога, единения с Богом). Отсюда, на наш взгляд, закономерно, что на всей выборке субшкала «Готовность решать экзистенциальные проблемы без снижения их сложности» оказалась положительно связанной с методикой Дж. Касс, а субшкала «Позитивное восприятие религиозных сомнений» — связана отрицательно. Таким образом, готовность признавать существование высших сил положительно связана с ощущением близости к Богу или признанием событий, которые интерпретировались как таковые. Сомнения в вопросах веры и их позитивное принятие отрицательно связаны с убеждённостью существования Бога и переживании связи с ним (табл. 5).
Таблица 5. Связь шкал методики INSPIRIT и шкал адаптированной на русский язык методики Quest Scale, критерий r-Пирсона (p-уровень)
Table 5. Relationship between the INSPIRIT methodology scales and the Russian-language-adapted Quest Scale method scales, r-Pearson test (p-level)
Шкала Scale | Готовность решать экзистенциальные проблемы без снижения их сложности Willingness to solve existential problems without reducing their complexit | Позитивное восприятие религиозных сомнений Positive perception of religious doubts | Открытость к изменениям Openness to change | |
Вся выборка (n=530) | INSPIRIT | 0,381 (0,000) | -0,390 (0,000) | -0,250 (0,000) |
Группа испытуемых различного пола и возраста (n=212) | INSPIRIT | 0,350 (0,000) | -0,368 (0,000) | -0,140 (0,040) |
Группа беременных женщин (n=318) | INSPIRIT | 0,502 (0,000) | -0,427 (0,000) | -0,360 (0,000) |
ОБСУЖДЕНИЕ
Проведённая нами адаптация методики Quest Scale для русскоязычной аудитории несколько отличается от других адаптаций данной методики. Например, C.H.C. Ji и Y. Ibrahim, адаптировавшие данную методику для респондентов, исповедующих ислам, проводили повторную факторизацию вопросов методики. В результате были выделены только две субшкалы: «Жизненные кризисы как стресс/как опыт» (Life Distress/Experience Quest Scale) и «Религиозные сомнения/Религиозная открытость» (Religious Doubt/Openness Quest Scale). Авторы сочли такое разделение шкал правомерным, предполагая, что ориентация религиозности на поиск есть выражение тревожной, нестойкой веры, сопряжённой со стрессом [20]. Вместе с тем, если показатель согласованности первой субшкалы в адаптации C.Н.C. Ji и Y. Ibrahim составил 0,77, то показатель второй субшкалы — только 0,53.
Мы также проводили повторную факторизацию методики, используя эксплораторный факторный анализ. В целом, полученная нами факторная структура оказалась аналогична оригинальной методике. Это можно объяснить тем, что адаптация проводилась в культуре, которая, как и в исследовании C.D. Batson и P.A. Schoenrade, является христианской.
Сложности в согласованности вопросов Quest Scale при её адаптации отмечал P.M. Socha [21]. Он связывал их со спецификой польской выборки, куда входили также наркоманы и матери-одиночки. Мы обнаружили, что на выборке, содержащей результаты опроса рспондентов разного пола и возраста, ряд вопросов может одновременно входить в несколько шкал. Однако в случае более гомогенной группы, т.е. группы беременных женщин, согласованность оказывается хорошей.
С точки зрения конвергентной валидности адаптация данной методики, по нашему мнению, адекватно входит в репертуар используемых в отечественной науке психодиагностических методик, изучающих религиозность. Не были найдены противоречия по содержанию субшкал методики Quest Scale и шкал методики Ю.В. Щербатых, отечественной адаптации Г. Оллпорта и Д. Росс и методики «Индекс базовых духовных переживаний». Низкий уровень связи в ряде случаев (например, с методикой Г. Оллпорта и Д. Росс) можно объяснить изначальными особенностями методики [17]. Выявленные связи в группе беременных женщин сравнимы с результатами, полученными при адаптации данной методики для других культур [25]. По мнению авторов, в данном случае можно говорить о проявлении дискриминантной валидности, так как такое измерение религиозности, как поиск, не совпадает вполне с другими гранями религиозности, отсюда и отсутствие тесных корреляций.
Согласованность шкал нашей адаптации методики составила в целом 0,85 для субшкалы «Готовность решать экзистенциальные проблемы без снижения их сложности»; 0,78 — для шкалы «Позитивное восприятие религиозных сомнений» и 0,76 — для шкалы «Открытость к изменениям». Эти показатели ниже, чем у авторов польской версии методики [21], однако, находятся на хорошем уровне. При этом согласованность меняется в зависимости от того, в какой группе проводится исследование, и оказывается особенно высокой в группе беременных женщин.
Ретестовая надёжность методики также оказалась различной в зависимости от группы опрашиваемых: она оказалась выше у женщин, находящихся на разных сроках беременности.
Ограничением нашей адаптации методики Quest Scale являются характеристики выборки, на которой проводилась адаптация. Ограничительным фактором является специфичность выборки, состоящей преимущественно из женщин, живущих в городе, с высшим или неоконченным высшим образованием, находящихся на различных сроках беременности. Хотя такая выборка релевантна тем задачам, которые мы планируем решать при помощи данного адаптированного варианта. Необходимо отметить, что сами авторы валидизировали свою методику на лицах с высшим образованием. В сформированную ими выборку входили 94 студента-психолога (49 мужчин, 45 женщин) в Университете Канзаса, из которых 56 были протестантами, 36 — католиками, а двое не указали конфессиональную принадлежность. Затем в выборку выошли 116 студентов (63 мужчины, 53 женщины) того же университета [7, 18]. Перекос выборки в сторону преимущественного участия молодых (56%) респондентов и респондентов женского пола наблюдается и у P.M. Socha [21]. В этом отношении наша выборка оказывается вполне сопоставимой, хотя основной акцент делался все-таки на адаптации методики для женщин, находящихся на различных сроках беременности.
Также отметим, что в выборку, на основании которой определялась воспроизводимость методики, вошли только 36,7% (29 человек) беременных женщин — целевой группы данного исследования. Однако высокие внутриклассовые коэффициенты корреляции именно в этой группе позволили сделать нам вывод о надёжности данной методики для изучения религиозности беременных женщин.
Таким образом, можно рассматривать проведённую нами адаптацию методики Quest Scale достаточной для изучения связи религиозности женщин и их поведения в положении беременности.
ДОПОЛНИТЕЛЬНАЯ ИНФОРМАЦИЯ/ ADDITIONAL INFORMATION
Вклад авторов. Все авторы подтверждают соответствие своего авторства международным критериям ICMJE (все авторы внесли существенный вклад в разработку концепции, проведение исследования и подготовку статьи, прочли и одобрили финальную версию перед публикацией).
Финансирование. Авторы заявляют об отсутствии внешнего финансирования при проведении исследования.
Конфликт интересов. Авторы декларируют отсутствие явных и потенциальных конфликтов интересов, связанных с публикацией настоящей статьи.
Author contribution. All authors confirm that their authorship meets the international ICMJE criteria (all authors have made a significant contribution to the development of the concept, research and preparation of the article, read and approved the final version before publication).
Funding source. This study was not supported by any external sources of funding.
Competing interests. The authors declares that there are no obvious and potential conflicts of interest associated with the publication of this article.
About the authors
Anait Y. Maryanyan
Scientific Center of Family Health Problems and Human Reproduction
Email: anait_24@mail.ru
ORCID iD: 0000-0002-9544-2172
SPIN-code: 2584-6861
MD
Russian Federation, IrkutskMikhail Y. Kuzmin
Scientific Center of Family Health Problems and Human Reproduction; Irkutsk State University
Author for correspondence.
Email: mirroy@mail.ru
ORCID iD: 0000-0002-7538-8375
SPIN-code: 6392-0180
PhD (Psychology), Аssistant Professor
Russian Federation, Irkutsk; IrkutskReferences
- Marianian AY, Atalyan A, Bohora S, et al. The effect of low alcohol consumption during pregnancy on the lipid peroxidation — antioxidant defense system of women, their alcohol-exposed infants, and growth, health, and developmental outcomes. Journal of Birth Defects Research, 2019;1-13. doi: 10.1002/bdr2.1582
- Marianian AY, Kolesnikova LI, Protopopova NV, Kalinkina ОB. Influence of small doses of alcohol on the state of health of pregnant women and their newborns. Alcoholism: Clinical and Experimental Research. 2018;42(6):77. doi: 10.1111/acer.13747
- Kolesnikovа LI, Kolesnikov S, Yamaoka Y, et al. Lipid peroxidationsystemin women and their newborns after consuming small amounts of alcohol during pregnancy. Journal of Gynecology and Women’s Health 7(5): JGWH.MS.ID.555727. 2018;7(3). doi: 10.19080/JGWH.2018.07.555727
- Perkoviü R, Hrkaü A, Dujiü G. The influence of religiosity and personality dimensions on the attitudes about abortion. Medicina Academica Mostariensia. 2019;7(1-2):83–91.
- Selebalo-Bereng L, Patel CJ. Reasons for Abortion: Religion, Religiosity/Spirituality and Attitudes of Male Secondary School Youth in South Africa. Journal of Religion and Health.2018. doi: 10.1007/s10943-017-0547-1
- Magelssen M, Le NQ, Supphellen M. Secularity, abortion, assisted dying and the future of conscientious objection: modelling the relationship between attitudes., BMC Medical Ethics. 2019;20(1). doi: 10.1186/s12910-019-0408-4
- Alvargonzález D. Knowledge and Attitudes About Abortion Among Undergraduate Students. Psicothema. 2017;29(4):520–526. doi: 10.7334/psicothema2017.58
- De Zordo S. From women’s “irresponsibility” to foetal “patienthood”: Obstetricians-gynaecologists’ perspectives on abortion and its stigmatisation in Italy and Cataluña. Global Public Health. 2017;13(6):711–723. doi: 10.1080/17441692.2017.1293707
- Chumakova DM. Psikhometricheskii podkhod k religioznosti lichnosti [Psychometric approach to the religiosity of a person]. Vestnik KGU [Bulletin of KSU], 2015;2:100–102.
- Malyavina SS. Religioznost' lichnosti: poisk struktury i soderzhaniya [Religiosity of personality: the search for structure and content]// Vestnik PSTGU [Bulletin of PSTGU]. Seriya Pedagogika. Psikhologiya. 2017;45: 92–105.
- Myagkov IF, Shcherbatykh YuV, Kravtsova MS. Psikhologicheskii analiz urovnya individual'noi religioznosti [Psychological analysis of the level of individual religiosity]. Psikhologicheskii zhurnal [Psychological magazine], 1996;17(6):119–122.
- Allport Gordon W. Religious context of prejudice. Journal for the Scientific Study of Religion. 1966;5(3):447–457.
- El-Menouar Y. The five dimensions of Muslim religiosity: Results of an empirical study. Methods. Data. Analyses. 2014;8(1):53–78.
- García-Alandete J, Rubio-Belmonte C, Soucase Lozano B. The Religious Orientation Scale Revised among Spanish Catholic People: Structural Validity and Internal Consistency of a 21-item Model. Universitas Psychologica. 2019;18(3):1–12. doi: 10.11144/javeriana.upsy18-3.rosr
- Kass JD, Friedman R, Lesserman J, et al. Health Outcomes and a New Index of Spiritual Experiences. Journal for the Scientific Study of Religion. 1991;30(2):203–211.
- Belykh TV. Vneshnyaya i vnutrennyaya religioznost' v strukture sub"ektnykh kharakteristik lichnosti [External and internal religiosity in the structure of the subjective characteristics of a person]. Mezhregional'nye pimenovskie chteniya [Interregional Pimenovskie readings]. 2016;13(13):345–348.
- Batson CD, Schoenrade PA. Measuring Religion as Quest: 1) Validity Concerns. Journal for the Scientific Study of Religion. 1991;30(4):416–429.
- Batson CD, Schoenrade PA. Measuring religion as quest: 2) Reliability concerns. Journal for the Scientific Study of Religion, 1991;30:430–447.
- Donahue MJ. Intrinsic and extrinsic religiousness: Review and meta-analysis. Journal of Personality and Social Psychology. 1985;48(2):400–419.
- Ji CHC, Ibrahim Y. Islamic doctrinal orthodoxy and religious orientations: Scale development and validation. International Journal for the Psychology of Religion. 2007;17:189–208.
- Socha PM. Ways Religious Orientations Work: A Polish Replication of Measurement of Religious Orientations. The International Journal for the Psychology of Religion. 1999;9(3):209-228. doi: 10.1207/s15327582ijpr0903_4
- Van Tongeren DR, Hakim S, Hook J.N, et al. Toward an Understanding of Religious Tolerance: Quest Religiousness and Positive Attitudes Toward Religiously Dissimilar Others. D.R. Van Tongeren, Hakim S, Hook J.N, et al. The International Journal for the Psychology of Religion. 2015;26(3):212–224. doi: 10.1080/10508619.2015.1039417
- Aaronson N, Alonso JA, Burnam A, et al. Scientific Advisory Committee of Medical Outcomes Trut. Assessing health status and quality-of-life instruments: attributes and review criteria..Qual Life. 2002;11(3):193–205. doi: 10.1023/a:1015291021312
- Koo TK, Li MY. A Guideline of Selecting and Reporting Intraclass Correlation Coefficients for Reliability Research. Journal of Chiropractic Medicine. 2016;15(2):155–163. doi: 10.1016/j.jcm.2016.02.012
- Jaume L, Simkin H, Etchezahar E. Religious as quest and its relationship with intrinsic and extrinsic orientation. International Journal of Psychological Research. 2013;6(2):71-78. doi: 10.21500/20112084.688
Supplementary files







