Суицидологическая характеристика Москвы и Санкт-Петербурга в контексте пандемии
- Авторы: Розанов В.А.1,2, Семенова Н.В.1, Вукс А.Я.1, Фрейзе В.В.1, Малышко Л.В.1, Костюк Г.П.3, Исаков В.Д.4,5, Ягмуров О.Д.5, Софронов А.Г.4,6, Незнанов Н.Г.1,7
-
Учреждения:
- Национальный медицинский исследовательский центр психиатрии и неврологии им. В.М. Бехтерева
- Санкт-Петербургский государственный университет
- Психиатрическая клиническая больница № 1 им. Н.А. Алексеева Департамента здравоохранения города Москвы
- Северо-Западный государственный медицинский университет имени И.И. Мечникова
- Бюро судебно-медицинской экспертизы
- Городская психиатрическая больница № 3 им. И.И. Скворцова-Степанова
- Первый Санкт-Петербургский государственный медицинский университет им. академика И.П. Павлова
- Выпуск: Том 29, № 4 (2022)
- Страницы: 241-252
- Раздел: ОРИГИНАЛЬНЫЕ ИССЛЕДОВАНИЯ
- Статья получена: 28.01.2022
- Статья одобрена: 15.03.2022
- Статья опубликована: 27.07.2022
- URL: https://hum-ecol.ru/1728-0869/article/view/99722
- DOI: https://doi.org/10.17816/humeco99722
- ID: 99722
Цитировать
Полный текст
Аннотация
Обоснование. Москва и Санкт-Петербург относятся к регионам с низким (ниже среднемирового) уровнем самоубийств. Смертность от самоубийств в двух мегаполисах в период пандемии охарактеризована недостаточно, хотя эти крупнейшие города федерального значения в наибольшей степени пострадали во время пандемии.
Цель. Проанализировать новейшие тенденции суицидального поведения в исторически сформировавшихся столицах России в ходе обсервационного исследования с учётом динамики волн пандемии.
Материал и методы. Использованы оперативные данные (по месяцам) о случаях самоубийств (в формате «дата смерти, пол, возраст, способ самоповреждения») за период с 01 января 2016 г. по 30 сентября 2021 г., общим числом по Москве — 1558 случаев, по Санкт-Петербургу — 2077 случаев. Рассчитывали частоту самоубийств на 100 000 населения, динамику и тенденции анализировали в разрезе половозрастных групп (с интервалом 10 лет). Использованы Z-критерий и расчёт доверительных интервалов по Уилсону.
Результаты. Смертность от суицидов в обоих городах в последнее время снижается, в Москве — более выраженно. Во все исследованные годы в Санкт-Петербурге смертность выше (в среднем — в 3,28 раза) как среди мужчин (в 3,53 раза), так и среди женщин (в 2,84 раза). Соотношение между мужчинами и женщинами в Санкт-Петербурге также выше (3,39:1 по сравнению с 2,87:1 в Москве). В обоих городах наибольшие показатели смертности отмечены в группе лиц старше 80 лет, высоки показатели также среди молодых и зрелых лиц (20–49 лет), сравнительно благополучная ситуация наблюдается среди лиц в возрасте 60–69 лет. После кратковременного снижения уровня самоубийств в период первых карантинов в 2021 году по мере прихода новых волн пандемии снижение в Москве прекратилось, в то время как в Санкт-Петербурге начался постепенный подъём, достигший значимых величин среди мужчин в сентябре 2021 г. Изменилась структура способов самоповреждения за счёт уменьшения наиболее традиционного (повешения) и увеличения доли падений с высоты (на 38,8%), самоотравлений и самопорезов. Детальный анализ такого «городского» способа, как падение с высоты, показал, что в Санкт-Петербурге в 2021 году выявилась категория лиц, среди которых этот способ резко (в 5 раз) участился, — мужчины старше 60 лет.
Заключение. Суициды среди урбанизированного населения крупнейших мегаполисов России демонстрируют тревожные тенденции на фоне пандемии, меняется структура смертности и способов самоповреждений. Необходимы дальнейшее наблюдение и активизация мер превенции, особенно в Санкт-Петербурге.
Ключевые слова
Полный текст
ВВЕДЕНИЕ
Смертность от суицидов в России неоднократно была предметом детального анализа, в том числе с учётом регионального аспекта проблемы [1–3]. В то же время большинство публикаций посвящены регионам с высоким уровнем самоубийств, очевидно в силу озабоченности положением в самых неблагополучных территориальных образованиях [4–6]. Суициды среди населения двух крупнейших исторически сложившихся урбанистических центров России (городов федерального значения Москвы и Санкт-Петербурга), относящихся к числу благополучных с точки зрения уровня самоубийств, охарактеризованы слабее. Суициды в Москве и Московской области были предметом исследований в начале 2000-х годов [7, 8], но после этого детально не анализировались, данные по Санкт-Петербургу также устарели [9, 10]. В то же время в этих мегаполисах (суммарное население которых на начало 2021 года составило 17,8 млн человек, т.е. более 12% населения России) наблюдались наиболее высокие показатели заболеваемости и смертности во время пандемии. И если в самом начале пандемии, во время жёстких карантинов, основной тенденцией было кратковременное снижение суицидов [11, 12], то суицидальное поведение на более поздних этапах борьбы с инфекцией пока детально не проанализировано. Эти соображения легли в основу данного обсервационного исследования.
Цель. Оценить современные тенденции суицидального поведения наиболее урбанизированных российских популяций (двух исторически сложившихся столиц России) и среднесрочные (в пределах 1,5 лет) последствия пандемической ситуации в этих городских агломерациях.
МАТЕРИАЛ И МЕТОДЫ
Дизайн исследования
Проведено наблюдательное ретроспективное сплошное неконтролируемое исследование. Оперативные данные (по месяцам) о самоубийствах в формате «дата смерти, пол, возраст, способ самоповреждения» получены из Санкт-Петербургского и Московского городских бюро судебно-медицинской экспертизы. В исследовании обработаны данные за период с 01 января 2016 г. по 30 сентября 2021 г., т.е. за 69 мес. Всего по Санкт-Петербургу в базе данных оказалось 2077 случаев (1531 мужчина и 546 женщин), по Москве общее число составило 1558 случаев (1108 мужчин и 450 женщин). Данные были стратифицированы по принципу динамики по месяцам с учётом пола, возрастных групп (с интервалом 10 лет) и способов самоповреждения (согласно МКБ-10) в соответствии с рекомендациями международной рабочей группы по мониторингу суицидов при пандемии в режиме реального времени (The international COVID-19 suicide prevention research collaboration — ICSPRC) [12].
Статистическая обработка данных
Расчёт частот осуществляли на 100 000 населения в год или месяц, в зависимости от целей сопоставительного анализа, для расчёта доверительных интервалов частот использовали метод Уилсона [13]. Анализ частот, оценку статистической значимости межгрупповых различий с применением Z-критерия проводили с помощью пакета программ SPSS, v. 26. Сведения о численности населения получены из официальных источников (Росстат), для расчёта частот использовали среднегодовые показатели численности населения, для 2021 года использовали данные на 01.01.2021 г. Сведения о заболеваемости COVID-19 получены из Yandex Datalens (Коронавирус: дашборд) [14].
РЕЗУЛЬТАТЫ
Частота суицидов в Санкт-Петербурге оказалась выше, чем в Москве, в 1,88–5,18 раза в зависимости от года наблюдения, в среднем за период с 2016 по 2020 г. — в 3,28 раза. Общей тенденцией для обеих столиц является постепенное снижение индексов с 2016 по 2020 г., однако в силу того, что это снижение более выражено в Москве, разница между столицами за весь период наблюдения нарастала с каждым годом (рис. 1). При этом в Москве наблюдается постепенно замедляющееся снижение (в среднем на 19,5% за год), в то время как в Санкт-Петербурге в 2017 и 2019 годах имели место небольшие подъёмы. В целом с 2016 по 2020 г. смертность от суицидов в Москве снизилась на 69,2%, в то время как в Санкт-Петербурге — на 15,3%. Различия между Москвой и Санкт-Петербургом почти в равной степени определяются различиями среди мужского и женского населения. В частности, превышение частот среди мужчин в Санкт-Петербурге по сравнению с Москвой за весь период наблюдения колеблется в пределах 1,94–5,74 раза в зависимости от года, в среднем — в 3,53 раза, в то время как среди женщин — в пределах 1,80–4,22 раза, в среднем — в 2,84 раза (см. рис. 1). Если оценивать динамику по годам, то видно, что в Москве снижение уровня самоубийств среди мужчин и женщин было равномерным и за годы наблюдения составило 71,1% и 64,7% соответственно. В Санкт-Петербурге наблюдалось повышение частоты суицидов среди мужчин в 2017 и 2019 годах, однако в целом с 2016 по 2020 г. имело место снижение на 14,7%, среди женщин снижение за этот же период составило 17,2% (см. рис. 1).
Рис. 1. Частота суицидов на 100 000 населения в год в Москве и Санкт-Петербурге в 2016–2020 гг. (с 95% ДИ).
Fig. 1. Suicide frequencies per 100 000 per year in Moscow and St. Petersburg in 2016–2020 (CI 95%).
При оценке соотношения между мужчинами и женщинами по всему массиву данных выявлено, что в случаях это соотношение в Санкт-Петербурге составило 2,80, в Москве — 2,46, а при расчёте соотношения в индексах на 100 000 населения оно составило в Санкт-Петербурге 3,39 и 2,87 — в Москве. Примечательно в связи с этим выглядит соотношение между частотами суицидов у мужчин и женщин в каждой возрастной категории (рис. 2). В обоих городах наблюдается два подъёма уровня смертности среди мужчин и женщин — в молодом и зрелом (20–49 лет) и пожилом возрасте (начиная с 70 лет). Наибольшие показатели отмечены среди наиболее пожилой части населения (старше 80 лет). Наиболее благополучно в обеих столицах складывается ситуация среди мужчин и женщин в возрасте 60–69 лет. В Москве преобладание суицидальной смертности среди мужчин по сравнению с женщинами достигает максимума в возрастной группе 30–39 лет (в 6,18 раза) и затем снижается до 2,06 в категории старше 80 лет. В Санкт-Петербурге максимум соотношения мужчины/женщины (4,74) достигается уже в группе 20–29 лет и удерживается почти на том же уровне до возраста 50–59 лет, в категории 60–69 лет это соотношение немного снижается (2,87), но в более старших группах вновь повышается (3,79 и 3,55) (см. рис. 2).
Рис. 2. Индексы самоубийств среди мужчин и женщин по возрастным группам (на 100 000 живущих в каждой возрастной группе) в Москве и Санкт-Петербурге за весь период наблюдения.
Fig. 2. Suicide indexes for men and women stratified by age groups (per 100 000 in every age group) in Moscow and St. Petersburg for the whole observation period.
На следующем этапе анализировали влияние пандемической ситуации на уровень смертности в Москве и Санкт-Петербурге. Как видно из рис. 3, в обеих столицах постепенное снижение в 2016–2020 гг. сменяется тенденцией к подъёму в 2021 году, причём в Санкт-Петербурге эта тенденция оказалась более выраженной. За первые 9 мес 2021 года в Москве в целом наблюдался рост по сравнению с таким же периодом 2020 года на 11,5%, в Санкт-Петербурге — на 13,7%. В связи с наблюдаемой тенденцией важно понять, за счёт каких групп населения произошёл этот рост. Если принимать во внимание число случаев, то в Москве за первые 9 мес 2021 года общий прирост произошёл за счет мужчин (на 23,7%), в то время как среди женщин наблюдалось снижение на 13,5%. В Санкт-Петербурге тенденция была иной — прирост был и среди мужчин (на 9,8%), и среди женщин, причём более значительный (на 24,6%). С учётом того факта, что на июнь 2021 г. пришлось начало уже 3-й волны пандемии, нами была более детально изучена динамика частот суицидов по месяцам в 2021 году. В данном случае проводилось сопоставление частот по Z-критерию за первые 9 мес 2016–2020 гг. и за 9 мес 2021 года; отличия, статистически значимые на уровне 0,05, дополнительно пересчитывались по критерию Уилсона.
Рис. 3. Динамика случаев самоубийств по месяцам в Москве и Санкт-Петербурге за весь период наблюдения. Пунктирными стрелками отмечено появление волн пандемии.
Fig. 3. Suicide cases per month in Moscow and St. Petersburg for the whole observation period. Waves of the pandemic are marked with dotted arrows.
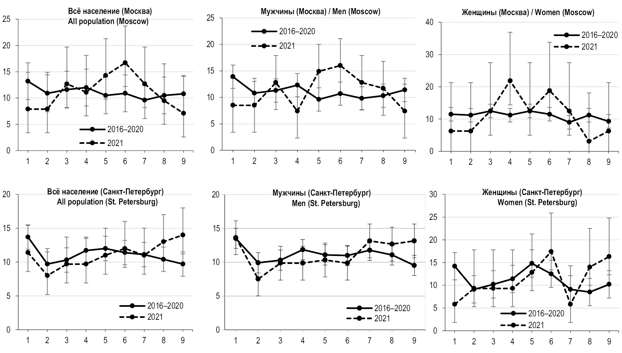
Как видно из рис. 4, в Москве в 2021 году среди всего населения, а также среди мужчин и женщин частоты были несколько ниже обычных в начале года, поднимались выше обычных в летние месяцы с последующим снижением в сентябре. Значимых различий по сравнению с предыдущими годами при этом выявлено не было. В Санкт-Петербурге в начале года среди всего населения и среди мужчин частоты не отличались от обычных для этого периода, в то время как среди женщин в январе частота была статистически значимо ниже обычной. Подъём наметился только в августе и сентябре, причём среди мужского населения в сентябре он подтверждён как значимый и по Z-критерию, и при расчёте доверительных интервалов по Уилсону (см. рис. 4).
Рис. 4. Частоты самоубийств в Москве и Санкт-Петербурге по месяцам с 01 января по 30 сентября 2021 г. в сравнении с соответствующими периодами в 2016–2020 гг., %
Fig. 4. Suicide frequencies in Moscow and St. Petersburg per month from January 01 to September 30, 2021 in comparison with corresponding periods in 2016–2020, %
Мы также проверили корреляцию между числом случаев суицида и суммарным числом заражений COVID-19 в месяц с начала пандемии (01 марта 2020 г.) по конец сентября 2021 г. В Москве в 2020 и 2021 годах корреляция была слабой положительной (r=0,074 и r=0,370 соответственно), в то время как в Санкт-Петербурге в 2020 году наблюдалась слабая отрицательная корреляция (r=–0,130), которая в 2021 году сменилась умеренной положительной (r=0,454); все коэффициенты статистически не значимы.
Последняя часть нашего анализа была посвящена способам суицида в целом и в условиях разгара пандемии. Распределение способов суицида в Москве и Санкт-Петербурге за весь период наблюдения и отдельно за первые 9 мес 2021 г. приведено в табл. 1. В обоих городах подавляющую долю составляют повешения, далее в убывающем порядке следуют падения с высоты, самоотравления, самопорезы, огнестрельные ранения и утопления. Небольшую группу составляют другие способы, куда входят более редко встречающиеся самоповреждения в результате самоподрыва, самосожжения, воздействия горячего пара, самоповреждения тупым предметом и падения под транспорт (см. табл. 1). При этом имеются некоторые различия между городами. В частности, в Москве повешения представлены в 1,3 раза реже, чем в Санкт-Петербурге, но при этом в 2,9 раза чаще встречаются самоотравления, в 1,5 раза чаще — огнестрельные ранения и в 1,4 раза — самопорезы. Другие методы в Москве также представлены чаще в 1,5 раза. В Санкт-Петербурге в 3,2 раза чаще, чем в Москве, встречается утопление.
Таблица 1. Способы самоповреждения (согласно МКБ-10) в Москве и Санкт-Петербурге (в процентах в 2016–2020 гг. и отдельно за 9 мес 2021 г.)
Table 1. Methods of fatal self-harm (according to ICD-10) in Moscow and St. Petersburg (percents in 2016–2020 and separately for 9 months in 2021)
Способ самоповреждения Method of fatal self-harm | Москва | МMoscow | Санкт-Петербург | St. Petersburg | ||
2016–2020 | 2021 | 2016–2020 | 2021 | |
Повешение | Hanging (X70) | 49,86 | 42,06 | 66,14 | 58,53 |
Падения | Falls (X80) | 16,97 | 18,25 | 16,15 | 22,41 |
Самоотравления | Self-poisoning (X60-X69) | 15,50 | 19,84 | 5,34 | 6,35 |
Самопорезы | Self-cutting (X78) | 7,69 | 9,52 | 5,51 | 7,02 |
Огнестрельные | Gunshot (X72-X74) | 7,33 | 8,73 | 4,78 | 4,35 |
Другое | Other (X75-77; 79: 81-84:87) | 2,51 | 1,59 | 1,63 | 0,67 |
Утопление | Drowning (X71) | 0,14 | 0,00 | 0,45 | 0,67 |
Всего | Total | 100 | 100 | 100 | 100 |
Обращает на себя внимание изменение процентного распределения способов в 2021 году по сравнению с предыдущими годами. В обеих столицах изменения были однотипными: и в Москве, и в Санкт-Петербурге снизились самоповешения (в 1,19 и 1,13 раза) и увеличились падения с высоты (в Москве незначительно — в 1,08 раза, в Санкт-Петербурге более существенно — в 1,38 раза), выросли также самоотравления (в 1,28 и 1,19 раза соответственно) и самопорезы (в 1,23 и 1,27 раза). Изменения долей других способов 2021 году были разнонаправленными: в Москве в 1,19 раза выросла доля огнестрельных ранений и снизилась доля утоплений и других редких способов, в Санкт-Петербурге доля огнестрельных ранений снизилась в 1,10 раза, в 1,49 раза выросла доля утоплений и в 2,43 раза сократилась доля других редких способов. Детальный анализ всех этих изменений выходит за рамки данного исследования, поэтому мы сконцентрировали внимание на таком высоколетальном и характерном для городской среды способе самоубийства, как падение с высоты. Число таких случаев за весь период наблюдения в Москве снижалось в соответствии с общей динамикой суицидов, и лишь в 2021 году это снижение прекратилось. В Санкт-Петербурге количество падений с высоты с 2016 году оставалось относительно стабильным, но начиная с 2020 года начало расти, и в 2020–2021 гг. доля падений с высоты статистически значимо (Z-критерий) выросла по сравнению с 2016 годом (рис. 5).
Рис. 5. Случаи падений с высоты в Москве и Санкт-Петербурге и доля падений с высоты в Санкт-Петербурге по годам и по возрастным группам (* различия статистически значимы, p <0,05).
Fig. 5. Falling from height cases in Moscow and St. Petersburg and proportions of falls in St. Petersburg by years and by age groups (* significant differences, p <0.05).
Мы более детально проанализировали группу лиц, покончивших с собой таким способом в двух столицах в период пандемии (табл. 2). И в Москве, и в Санкт-Петербурге средний возраст мужчин ниже среднего возраста женщин, доля лиц в возрасте до 30 лет соответственно среди мужчин выше, т.е. в обоих городах этот способ самоубийства чаще выбирают молодые мужчины. При этом в Санкт-Петербурге и мужчины, и женщины, покончившие с собой таким высоколетальным способом в период пандемии, заметно моложе, чем в Москве (в 2020 году статистически значимо, в 2021 году — незначимо, критерий Манна–Уитни). Доля молодых лиц, покончивших с собой путём падения с высоты, в Санкт-Петербурге составляет от 27,6 до 48,4%, а в Москве — от 0 до 20% (см. табл. 2). В Москве за 9 мес 2020 и 2021 годов число случаев почти не изменилось, в то время как в Санкт-Петербурге выросло на 16,1% среди мужчин и на 38,1% — среди женщин. Малое число случаев в Москве не позволяет сделать обоснованные выводы относительно половозрастных характеристик данного контингента в динамике пандемии. В Санкт-Петербурге за весь период наблюдения выявлены две возрастные группы (20–29 лет и 60–69 лет) со статистически значимыми различиями: в первой преобладают мужчины, во второй — женщины (см. рис. 5). Таким образом, прыжки с высоты в Санкт-Петербурге как способ самоубийства наиболее характерны для молодых мужчин и пожилых женщин. Однако в период разгара пандемии в Санкт-Петербурге в 2021 году обнаруживаются тенденция к росту среднего возраста мужчин (статистически незначимо, критерий Манна–Уитни) и сдвиг в сторону большего представительства лиц старше 60 лет (в процентном отношении — рост с 6,5 до 27,8%, в фактическом выражении — в 5 раз, критерий χ2=5,153; p=0,028). Ничего подобного не выявлено среди мужчин и женщин в Москве, а также среди женщин в Санкт-Петербурге.
Таблица 2. Распределение по возрастам лиц, покончивших с собой путём прыжка с высоты в Москве и Санкт-Петербурге за первые 9 мес 2020 и 2021 гг., % (М — среднее, p — уровень значимости при сравнении Москвы и Санкт-Петербурга)
Table 2. Age distribution of persons committing suicides by falling from height in Moscow and St. Petersburg for the first 9 months in 2020 and 2021, % (M — average, p — significance when comparing Moscow and St. Petersburg)
Возрастные периоды Age periods | Москва | Moscow | Санкт-Петербург | St. Petersburg | ||
2020 | ||||
Мужчины | Men (n=15), M=55,80 | Женщины | Women (n=9), M=68,89 | Мужчины | Men (n=31), M=36,42 (p=0,030) | Женщины | Women (n=21), M=51,90 (p=0,045) | |
30 лет | 6,7 | 0 | 48,4 | 28,6 |
30–60 лет | 46,6 | 33,3 | 45,2 | 33,3 |
>60 лет | 46,7 | 66,7 | 6,5 | 38,1 |
Возрастные периоды Age periods | 2021 | |||
Мужчины | Men (n=20), M=51,85 | Женщины | Women (n=3), M=69,00 | Мужчины | Men (n=36), M=43,08 (p=0,090) | Женщины | Women (n=29), M=50,17 (p=0,258) | |
30 лет | 20,0 | 0 | 41,7 | 27,6 |
30–60 лет | 45,0 | 33,3 | 30,6 | 31,0 |
>60 лет | 35,0 | 66,7 | 27,8 | 41,4 |
ОБСУЖДЕНИЕ
Москва и Санкт-Петербург относятся к российским городам федерального значения с низким уровнем самоубийств — ниже среднемирового уровня по данным на 2014 год (11,4 на 100 000 населения) [15]. За 1992–2012 гг. в обеих исторических столицах России смертность от суицидов снизилась примерно вдвое [2], к 2016 году уровень снизился еще на 26–28% и продолжил снижаться. И ранее, и в настоящее время наблюдаются существенные различия между Москвой и Санкт-Петербургом: смертность от самоубийств в Санкт-Петербурге всегда выше. Причём если в 1992–1994 гг. эта разница составляла 1,18 раза, то в 2002–2012 гг. — уже 1,94 раза, а в 2020 году, судя по имеющимся данным, — 5,18 раза. Таким образом, более выраженная положительная динамика в Москве постепенно увеличивает разрыв между столицами на фоне слабой положительной динамики в Санкт-Петербурге. Такое положение, вероятно, связано с целым комплексом причин, среди которых и различия исторического характера (Санкт-Петербург был впереди Москвы по уровню самоубийств еще в конце XIX в. [16]), и климатические различия (обилие пасмурных и дождливых дней и краткость светового дня в осенне-зимние месяцы в Санкт-Петербурге). Возможно, свою роль сыграли быстро улучшающаяся социально-экономическая ситуация в Москве и сохраняющиеся проблемы психического здоровья в Санкт-Петербурге, включая потребление алкоголя, уровень психосоциального стресса, распространённость психических и соматических заболеваний [17]. Вероятно, влияет также сложившийся городской нарратив (образ города) и социально-психологические различия миграционных потоков. В Москву приезжают изначально более стеничные, амбициозные и мотивированные на конкурентную борьбу и карьерный рост лица, в то время как Санкт-Петербург с его нарративом культурной столицы в большей степени притягателен для людей с более подвижной психической организацией. Можно обсуждать и другие причины, но в целом Санкт-Петербург несёт в себе, несомненно, больше рисков в плане суицидов.
В обеих столицах наблюдается преобладание смертности мужчин от самоубийств по сравнению с женщинами (соотношение в Москве составило в среднем 2,87, в Санкт-Петербурге — 3,39). Это соотношение для населения двух столиц заметно ниже, чем в целом по Российской Федерации и чем в регионах с более высокой частотой самоубийств (например, в Иркутске мужчины совершают самоубийства в 5,3 раза чаще, чем женщины) [3, 5]. Соотношение между мужчинами и женщинами в преимущественно славянских странах (Россия, Белоруссия, Украина) обычно тем выше, чем выше общий уровень суицидов, в сельской местности выше, чем в городах, и в молодом возрасте выше, чем в пожилом [18, 19]. Ситуация в Москве и Санкт-Петербурге подтверждает эти тенденции, но высокие значения соотношения между мужчинами и женщинами среди лиц старшего возраста в Санкт-Петербурге говорят о некоторых особенностях. Причины могут отражать демографический перекос (среди населения Санкт-Петербурга доля мужчин старших возрастных групп ниже, чем в Москве, в то время как доля женщин этого же возраста почти одинакова). Интересно, что в обеих столицах, если рассматривать половозрастное распределение смертности от суицида, мужчины и женщины в возрастной категории 60–69 лет имеют низкие индексы, что может быть связано с известным эффектом повышения качества жизни именно в этом возрасте [20].
Обсуждая ситуацию с суицидами в Москве и Санкт-Петербурге при пандемии, необходимо отметить, что в условиях глобализации и всеобщего информационного давления могут проявляться как глобальные тенденции, так и городская специфика. Как уже упоминалось, непосредственно после объявления карантина (апрель-май 2020 г.) в Москве и Санкт-Петербурге, как и во многих других субъектах федерации, а также в других городах мира с высоким и средним уровнем дохода количество смертей от самоубийств не увеличилось. Оно оставалось неизменным (Москва) или даже немного снизилось (Санкт-Петербург), после чего в течение нескольких месяцев произошёл возврат к обычному уровню или небольшой кратковременный подъём [11, 12, 21, 22]. Это расценивалось как естественная реакция социума на острый кризис, как интеграция перед лицом опасности, что сопровождается преобладанием стратегий выживания [12, 21]. Снижение суицидальной активности происходило, даже несмотря на рост тревоги, стрессовых реакций и депрессивной симптоматики среди широких слоёв населения [23, 24]. В то же время это была относительно кратковременная реакция (6–9 мес), а наши данные позволяют оценить тенденции на более длительном отрезке времени, в течение 18 мес.
Судя по числу случаев суицида в первые 9 мес 2021 года, в Москве дальнейшее снижение числа самоубийств прекратилось, в то время как в Санкт-Петербурге наметилось повышение. Большинство изменений были статистически не значимыми при сравнении со средними величинами в аналогичный период 2016–2020 гг., однако среди мужчин в сентябре 2021 года частота суицидов достигла значимо более высоких значений. Эти наблюдения можно трактовать следующим образом: нарастающая усталость городского населения от продолжающейся пандемии, информационного давления и периодически применяемых ограничительных мер могла по истечении определённого времени привести к перелому и изменению тренда. Можно также предположить, что первоначальная реакция интеграции и объединения перед общей угрозой сменилась разобщением в связи с различным отношением к вакцинации и ограничениями по признаку её наличия. При этом при анализе способов самоповреждения было установлено, что наиболее ярким проявлением наблюдаемых изменений суицидальной активности населения стало заметное увеличение числа высоколетальных самоубийств, совершённых путем прыжков с высоты в Санкт-Петербурге.
Мы обратили особое внимание на этот факт в связи с тем, что такие самоубийства часто рассматриваются как типично «городские», т.е. характерные для урбанизированных популяций, проживающих в высокоэтажных зданиях, в силу чего этот способ является легкодоступным [25–27]. Характерно, что и в Москве, и в Санкт-Петербурге падение с высоты — второй по приоритетности способ самоубийства, в то время как, например, в Гонконге — первый [26]. Падения с высоты с целью самоубийства отличаются биомеханикой травмы и более высокой летальностью по сравнению со случайными падениями [27, 28], т.е. с точки зрения точности посмертной квалификации произошедшего относятся к хорошо верифицируемым.
Наше исследование показало, что в Санкт-Петербурге в 2021 году в условиях разгара пандемии по прошествии трёх волн произошло увеличение случаев этого высоколетального способа, причем в большей степени — среди мужчин пожилого возраста. Падения с высоты как способ суицида используются мужчинами в целом чаще, чем женщинами [25], в то же время, по нашим данным, есть две возрастные группы, контрастирующие по этому показателю в Санкт-Петербурге. В частности, молодые мужчины (20–29 лет) делают это вдвое чаще, чем женщины того же возраста, в то время как женщины в возрасте 60–69 лет — наоборот, вдвое чаще, чем мужчины. Характерно, что при пандемии их поведение существенно не изменилось, в то время как мужчины старше 60 лет показали 5-кратное увеличение количества случаев. В условиях пандемии пожилые люди оказались в наиболее сложной ситуации из-за множественности факторов риска, включая одиночество, депрессию и невозможность или боязнь прямых контактов с поддерживающим окружением, особенно в городах [29]. Эти изменения заслуживают внимания как один из вероятных признаков появления группы повышенного риска в условиях пандемии, а именно мужчин пожилого возраста, более четко проявившейся в Санкт-Петербурге, где общий уровень смертности от суицидов выше.
Ограничение исследования. Некоторые использованные приёмы анализа позволяют высказываться в основном в предположительном плане. Необходимы дальнейшие наблюдения, которые позволят уточнить выявленные тенденции.
ЗАКЛЮЧЕНИЕ
Проведённое исследование даёт наиболее полное на данный момент представление о ситуации со смертностью от самоубийств в двух крупнейших мегаполисах, исторических столицах России. Несмотря на то, что оба города характеризуются низким уровнем смертности (ниже среднемирового), между ними существуют заметные различия: в Санкт-Петербурге все показатели выше, чем в Москве. На втором году пандемии, вызванной вирусом COVID-19, наметились тревожные тенденции, особенно выраженные в Санкт-Петербурге. Уточнение этих тенденций может иметь значение для будущих пандемий или кризисов в плане разработки адресных превентивных мер. Несмотря на выявление группы повышенного риска (мужчины старшего возраста), меры превенции должны быть направлены на все категории населения. Один из очевидных практических выводов — необходимость значительной активизации усилий по превенции суицидального поведения в Санкт-Петербурге.
ДОПОЛНИТЕЛЬНАЯ ИНФОРМАЦИЯ / ADDITIONAL INFORMATION
Вклад авторов. Все авторы подтверждают соответствие своего авторства международным критериям ICMJE (все авторы внесли существенный вклад в разработку концепции, проведение исследования и подготовку статьи, прочли и одобрили финальную версию перед публикацией). Наибольший вклад распределён следующим образом: В.А. Розанов — разработка идеи исследования, анализ данных, написание статьи; Н.В. Семенова — организация исследования, комментарии к тексту статьи; А.Я. Вукс — статистическая обработка данных и участие в их анализе; В.В. Фрейзе — курация данных и подготовка их к обработке; Л.В. Малышко — курация данных и подготовка их к обработке; Г.П. Костюк — обеспечение и контроль качества исходных данных, комментарии к тексту статьи; В.Д. Исаков — организация исследования, комментарии к тексту статьи; О.Д. Ягмуров — обеспечение и контроль качества исходных данных; А.Г. Софронов — комментарии к тексту статьи; Н.Г. Незнанов — общее руководство проектом, комментарии к тексту статьи.
Финансирование. Настоящее исследование не имело финансовой поддержки.
Конфликт интересов. Авторы сообщают об отсутствии конфликта интересов.
Authors contribution. All authors confirm that their authorship meets the international ICMJE criteria (all authors have made a significant contribution to the development of the concept, research and preparation of the article, have read and approved the final version before publication). The greatest contribution is distributed as follows: V.A. Rozanov — development of the research idea, data analysis, writing an article; N.V. Semenova — organization of the research, comments to the text of the article; A.Ja. Vux — statistical data processing and participation in the analysis; V.V. Freize — data curation and preparation for analysis; L.V. Malyshko — data curation and preparation for analysis; G.P. Kostyuk — data quality control, comments to the text of the article; V.D. Isakov — organization of the research, comments to the text of the article; O.D. Yagmurov — data quality control; A.G. Sofronov — comments to the text of the article; N.G. Neznanov — general project management, comments to the text of the article.
Founding sources. The present study had no financial support.
Competing interest. The authors report no conflict of interest.
Об авторах
Всеволод Анатольевич Розанов
Национальный медицинский исследовательский центр психиатрии и неврологии им. В.М. Бехтерева; Санкт-Петербургский государственный университет
Email: v.rozanov@spbu.ru
ORCID iD: 0000-0002-9641-7120
SPIN-код: 1978-9868
Scopus Author ID: 35977467700
https://psy.spbu.ru/department/teachers/1599-rozanov-va
д.м.н., профессор
Россия, 199034, Санкт-Петербург, набережная Макарова, 6; Санкт-ПетербургНаталия Владимировна Семенова
Национальный медицинский исследовательский центр психиатрии и неврологии им. В.М. Бехтерева
Email: mnoma@mail.ru
ORCID iD: 0000-0002-2798-8800
SPIN-код: 3552-1894
д.м.н.
Россия, 199034, Санкт-Петербург, набережная Макарова, 6Александр Янович Вукс
Национальный медицинский исследовательский центр психиатрии и неврологии им. В.М. Бехтерева
Email: ayavuks@bekhterev.ru
ORCID iD: 0000-0002-6700-0609
SPIN-код: 2290-4021
Россия, 199034, Санкт-Петербург, набережная Макарова, 6
Виктория Васильевна Фрейзе
Национальный медицинский исследовательский центр психиатрии и неврологии им. В.М. Бехтерева
Email: v.freize@mail.ru
ORCID iD: 0000-0003-1677-0694
SPIN-код: 4407-6915
Россия, 199034, Санкт-Петербург, набережная Макарова, 6
Лариса Владимировна Малышко
Национальный медицинский исследовательский центр психиатрии и неврологии им. В.М. Бехтерева
Email: lora5497@yandex.ru
ORCID iD: 0000-0002-5470-4359
SPIN-код: 5156-9223
Россия, 199034, Санкт-Петербург, набережная Макарова, 6
Георгий Петрович Костюк
Психиатрическая клиническая больница № 1 им. Н.А. Алексеева Департамента здравоохранения города Москвы
Email: kgr@yandex.ru
ORCID iD: 0000-0002-3073-6305
SPIN-код: 3424-4544
д.м.н., профессор
Россия, МоскваВладимир Дмитриевич Исаков
Северо-Западный государственный медицинский университет имени И.И. Мечникова; Бюро судебно-медицинской экспертизы
Email: profivd@mail.ru
ORCID iD: 0000-0002-0093-1230
SPIN-код: 5388-8690
д.м.н., профессор
Россия, 199034, Санкт-Петербург, набережная Макарова, 6; Санкт-ПетербургОразмурад Джумаевич Ягмуров
Бюро судебно-медицинской экспертизы
Email: oraz.yagmurov@gmail.com
ORCID iD: 0000-0002-0200-8474
SPIN-код: 7765-8978
д.м.н., профессор
Россия, 199034, Санкт-Петербург, набережная Макарова, 6Александр Генрихович Софронов
Северо-Западный государственный медицинский университет имени И.И. Мечникова; Городская психиатрическая больница № 3 им. И.И. Скворцова-Степанова
Email: alex-sofronov@yandex.ru
ORCID iD: 0000-0001-6339-0198
SPIN-код: 4846-6528
д.м.н., профессор
Россия, 199034, Санкт-Петербург, набережная Макарова, 6; Санкт-ПетербургНиколай Григорьевич Незнанов
Национальный медицинский исследовательский центр психиатрии и неврологии им. В.М. Бехтерева; Первый Санкт-Петербургский государственный медицинский университет им. академика И.П. Павлова
Автор, ответственный за переписку.
Email: nezn@bekhterev.ru
ORCID iD: 0000-0001-5618-4206
SPIN-код: 9772-0024
д.м.н., профессор
Россия, 199034, Санкт-Петербург, набережная Макарова, 6; Санкт-ПетербургСписок литературы
- Положий Б.С., Гладышев М.В. Региональные особенности распространенности суицидов в России // Российский психиатрический журнал. 2006. № 1. С. 38–41.
- Морев М.В., Шматова Ю.Е., Любов Е.Б. Динамика суицидальной смертности населения России: региональный аспект // Суицидология. 2014. Т. 5, № 1(14). С. 3–11.
- Аминов И.Г. Самоубийства в России // Демоскоп Weekly. 2016. № 705-706. С. 1–20.
- Положий Б.С., Куулар Л.Ы., Дуктеноол С.М. Особенности суицидальной ситуации в регионах со сверхвысокой частотой самоубийств (на примере республики Тыва) // Суицидология. 2014. Т. 5. № 1(14). С. 11–18.
- Зайкова З.А. Смертность от самоубийств в Иркутской области как показатель неблагополучия общества // Социальные аспекты здоровья населения. 2014. № 5(39). С. 20.
- Шелыгин К.В., Сумароков Ю.А., Малявская С.И. Смертность от самоубийств в арктической зоне Российской Федерации // Социальные аспекты здоровья населения // 2018. № 1(59). С. 4. doi: 10.21045/2071-5021-2018-59-1-4
- Гусева М.В. Эпидемиологический анализ и медико-психологические особенности самоубийств населения мегаполиса (на примере Москвы) : автореф. дис. ... канд. мед. наук, Санкт-Петербург, 2004.
- Каращук Д.Н. Характеристика завершенных суицидов в Москве и Московской области // Вестник Российского государственного медицинского университета. 2006. № 2(49). С. 83–84.
- Шамкова С.В. Социальные характеристики суицидов в молодежной среде Санкт-Петербурга : автореф. дис. ... канд. социол. наук. Санкт-Петербург, 2006.
- Воронцова Т.Н., Лучанинов С.С., Черный А.Ж. Сравнительный анализ показателей смертности от внешних причин в Санкт-Петербурге, Северо-западном федеральном округе и Российской Федерации // Травматология и ортопедия России. 2016. Т. 22, № 4. С. 131–145. doi: 10.21823/2311-2905-2016-22-4-131-145
- Кекелидзе З.И., Положий Б.С., Бойко Е.О., и др. Суициды в период пандемической самоизоляции // Российский психиатрический журнал. 2020. № 3. С. 4–13. doi: 10.24411/1560-957X-2020-10301
- Pirkis J., John A., Shin S. et al. Suicide trends in the early months of the COVID-19 pandemic: an interrupted time-series analysis of preliminary data from 21 countries // Lancet Psychiatry. 2021. Vol. 8, N 7. P. 579–588. doi: 10.1016/S2215-0366(21)00091-2
- Гржибовский А.М. Доверительные интервалы для частот и долей // Экология человека. 2008. № 5. С. 57–60.
- Datalens.yandex [Internet]. YandexDatalens-Public [дата обращения: 04.12.2021]. Доступ по ссылке: https://datalens.yandex/7o7is1q6ikh23?tab=X1&utm_source=cbscenarios&state=448178f411386
- Preventing suicide: a global imperative. Geneva: World Health Organization; 2014.
- Богданов С.В. Самоубийства в Санкт-Петербурге во второй половине XIX века: масштабы, тенденции, проблемы недоучета // Суицидология. 2013. Т. 4. № 4(13). С. 3–10.
- Васильева А.В., Караваева Т.А. Психическое здоровье мегаполиса. Вызовы и прогнозы / под общ. ред. Н.Г. Незнанова, Ю.А. Петрова. Санкт-Петербург : Алеф-Пресс, 2020.
- Razvodovsky Y., Stickley A. Suicide in urban and rural regions of Belarus, 1990–2005 // Public Health. 2009. Т. 123, N 1. C. 27–31. doi: 10.1016/j.puhe.2008.10.003
- Захаров С.Е., Розанов В.А., Кривда Г.Ф., Жужуленко П.Н. Данные мониторинга суицидальных попыток и завершенных суицидов в г. Одессе за период 2001–2011 гг. // Суицидология. 2012. Т. 3, № 4(9). С. 3–10.
- Frijters P., Beatton T. The mystery of the U-shaped relationship between happiness and age // Journal of economic behavior and organization. 2012. Vol. 82, N 2–3. С. 525–542. doi: 10.1016/j.jebo.2012.03.008
- Семенова В.Г., Иванова А.Е., Евдокушина Г.Н., Зайко Е.С. Последствия потребления психоактивных веществ в период пандемии COVID-19 / под ред. Е.И. Аксеновой. Москва : Научно-исследовательский институт организации здравоохранения и медицинского менеджмента Департамента здравоохранения города Москвы, 2021.
- Rozanov V.A., Semenova N.V., Kamenshchikov Yu.G., et al. Suicides during the COVID-19 pandemic: comparing frequencies in three population groups, 9.2 million people overall // Health Risk Analysis, 2021. N 2. P. 131–142. doi: 10.21668/health.risk/2021.2.13.eng
- Сорокин М.Ю., Касьянов Е.Д., Рукавишников Г.В., и др. Психологические реакции населения как фактор адаптации к пандемии COVID-19 // Обозрение психиатрии и медицинской психологии имени В.М. Бехтерева. 2020. № 2. С. 87–94. doi: 10.31363/2313-7053-2020-2-87-94
- Самойлова Д.Д., Бородай А.А., Тяпкина Д.А. Влияние новой коронавирусной инфекции на психическое здоровье человека // Вестник неврологии, психиатрии и нейрохирургии. 2021. № 11. С. 841–854. doi: 10.33920/med-01-2111-03
- Ramos S.M., Delany H.M. Free falls from heights: a persistent urban problem // J Natl Med Assoc. 1986. Vol. 78, N 2. P. 111–115.
- Ajdacic-Gross V., Weiss M.G., Ring M., et al. Methods of suicide: international suicide patterns derived from the WHO mortality database // Bull World Health Organ. 2008. Vol. 86, N 9. P. 726–732. doi: 10.2471/BLT.07.043489
- Casati A., Granieri S., Cimbanassi S., Reitano E., Chiara O. Falls from height. Analysis of predictors of death in a single-center retrospective study // J Clin Med. 2020. Vol. 9, N 10. P. 3175. doi: 10.3390/jcm9103175
- Kang B.H., Jung K., Huh Y. Suicidal intent as a risk factor for mortality in high-level falls: a comparative study of suicidal and accidental falls // Clin Exp Emerg Med. 2021. Vol. 8, N 1. P. 16–20. doi: 10.15441/ceem.20.019
- De Leo D., Giannotti A.V. Suicide in late life: a viewpoint // Prev Med. 2021. Vol. 152, Pt 1. P. 106735. doi: 10.1016/j.ypmed.2021.106735
Дополнительные файлы









