Mechanism of light polymerization of composites
- Authors: Bordina G.E.1, Lopina N.P.1, Parshin G.S.1, Andreev A.A.1, Nekrasov I.A.2
-
Affiliations:
- Tver State Medical University
- RUDN University
- Issue: Vol 26, No 2 (2022)
- Pages: 163-170
- Section: Reviews
- Submitted: 12.05.2022
- Accepted: 18.05.2022
- Published: 04.09.2022
- URL: https://rjdentistry.com/1728-2802/article/view/107512
- DOI: https://doi.org/10.17816/1728-2802-2022-26-2-163-170
- ID: 107512
Cite item
Abstract
BACKGROUND: The article presents a review of the chemical aspects of the reaction of light polymerization of composites in dental practice. This reaction refers to free radical polymerization reactions, with photons as activators. In dentistry, composites are classified as chemically cured, light cured, doubly cured, and thermally cured. This depends on the origin of the activation energy of free radical polymerization of methacrylates. Chemically, dental composites are usually a mixture of four main components: an organic polymer matrix, an inorganic filler, an appret compound, a binder matrix and filler, and an initiator–accelerator system. The radical polymerization process includes four main stages. The first stage is activation; in the case of light cured dental composites, it is photoactivation. In this case, a photoinitiator molecule is excited, for example, camphorquinone, which is widely used in the production of dental composite materials. If a free radical is formed, the polymerization process is similar for all composite materials based on a methacrylate organic matrix. The only difference is exactly how free radicals are formed and the rate of their formation. Under the influence of light quanta, the carbon atom of the ketone group of camphorquinone passes into an excited state, which allows the excited photoinitiator molecule to interact with two methacrylate molecules by a double bond. The double bond gives one electron to the excited camphorquinone molecule, and the second electron acts as a free radical agent; in other words, a macroradical is formed–a monomer molecule that can attach other monomer molecules to itself.
Full Text
АКТУАЛЬНОСТЬ
На сегодняшний день композиты являются тем реставрационным материалом, который используется в каждом стоматологическом кабинете [1, 2]. Серебряная амальгама и неорганические цементы были заменены композитными материалами в качестве наиболее частых материалов прямой реставрации. Помимо эстетической привлекательности композитов, подобная замена также объясняется недостаточной биосовместимостью [3, 4] амальгамы и спорными физико-механическими свойствами неорганических цементов [3].
На сегодняшний день разработка наполнителей, адгезивных систем и новых технологий в отрасли эстетических реставрационных стоматологических материалов идет полным ходом [5]. Композитные смолы имеют изначальную тестообразную консистенцию и затвердевают в ходе реакции полимеризации. Стоматологические композиты с химической точки зрения обычно представляют собой смесь четырех главных компонентов: органическую полимерную матрицу, неорганический наполнитель, аппрет (связующее соединение) и систему «инициатор — ускоритель». На данный момент в качестве инициатора наиболее широко используется камфорохинон [6–8]. Он применяется в сочетании с соинициатором, который также является ускорителем полимеризации, обычно третичным амином. Третичный амин по своей химической структуре является органическим основанием. Однако у третичных аминов основные свойства выражены слабее, чем у первичных и вторичных аминов. Это объясняется затрудненным доступом реагента к нуклеофильному азоту из-за наличия трех объемных радикалов. Амин не поглощает свет, но необходим для образования молекулой камфорохинона, активированной светом, свободных радикалов и, следовательно, инициирования радикальной полимеризации [9–11].
Самые распространенные в стоматологической практике мономеры в составе композитов — сложные эфиры метакриловой кислоты, метакрилаты Bis-GMA (бисфенол-А-глицидилметакрилат) и UDMA (уретандиметакрилат), но также применяются и другие мономеры, представленные на рис. 1 [12].
Рис. 1. Метакрилатные мономеры, входящие в состав стоматологических композитов [12]
Композиты в стоматологии классифицируются на химически отверждаемые, светоотверждаемые, двойного механизма отверждения и теплового отверждения в зависимости от происхождения энергии активации свободнорадикальной полимеризации метакрилатов [5, 13]. Если свободный радикал образован, процесс полимеризации аналогичен для всех композитных материалов, основанных на метакрилатной органической матрице.
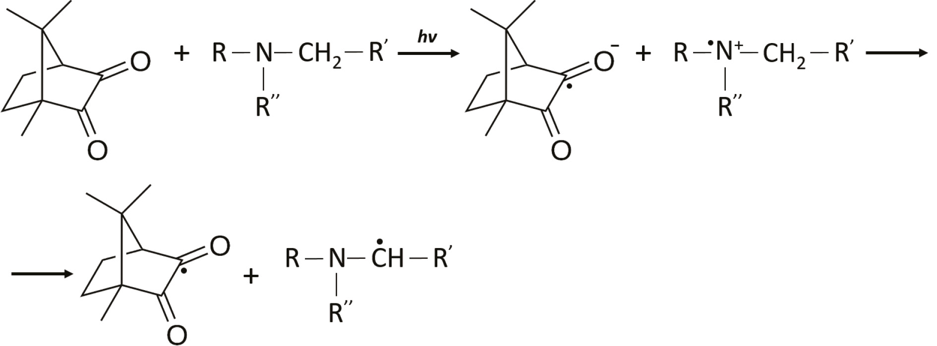
Процесс радикальной полимеризации включает в себя четыре основные стадии. Первой стадией является активация, в случае светоотверждаемых композитов — фотоактивация с возбуждением молекулы фотоинициатора камфорохинона, который наиболее широко применяется для этих целей в стоматологии. Камфорохинон имеет диапазон поглощения света от 400 до 500 нм с максимумом при длине волны в 468 нм [14, 15]. Под воздействием фотонов атом углерода кетонной группы камфорохинона переходит в возбужденное состояние, что позволяет молекуле фотоинициатора взаимодействовать с двумя молекулами метакрилатов по каждой из метакрилатных двойных связей (рис. 2).
Рис. 2. Возбуждение молекулы камфорохинона и дальнейшее образование двух метакрилатных монорадикалов
Двойная связь отдает один электрон возбужденной молекуле камфорохинона, а второй электрон действует в качестве свободного радикального агента, другими словами, образуется макрорадикал — молекула мономера, которая способна присоединять к себе другие молекулы мономеров. Однако без участия третичного амина в качестве соинициатора реакция протекает медленно [16–18]. При этом коэффициент молярной экстинкции камфорохинона в диапазоне излучения в 400–500 нм составляет всего 40 л×моль−1×см−1 [19, 20], т. е. можно сказать, что камфорохинон слабо поглощает свет данной длины волны. Следовательно, системы инициации, основывающиеся только на камфорохиноне без соинициаторов, имеют низкий коэффициент полезного действия при активации стоматологическими светодиодными полимеризационными лампами с длинной волны излучения в 420–515 нм, так как бóльшая часть энергии излучения лампы рассеивается в виде тепла. Следовательно, эффективность полимеризации метакрилатов в присутствии только камфорохинонов недостаточна для полноценного применения in vivo. Тем не менее скорость полимеризации значительно возрастает, когда третичные амины добавляются в состав композита в качестве соинициатора камфорохинона. В качестве соинициатора камфорохинона используются такие амины, как этил-4-диметиламинобензоат и 2-диметиламиноэтилметакрилат [21, 22]. Наиболее популярным соинициатором в составе стоматологических композитов является этил-4-диметиламинобензоат из-за своей высокой эффективности и низкой основности, так как композиты более прочны и долговечны в условиях кислой и нейтральных сред [23].
На стадии образования радикалов в ходе фотолиза молекула амина взаимодействует с возбужденной молекулой камфорохинона. Это взаимодействие включает перенос электрона от амина к карбонильной группе с последующим отщеплением протона [24]: имеет место фотоиндуцированный протон-электронный перенос (рис. 3).
Рис. 3. Механизм бимолекулярной фотоинициирующей системы, содержащей камфорохинон и третичный амин
Еще одним механизмом, влияющим на эффективность аминов в качестве соинициаторов камфорохинона, является способность аминов поглощать кислород с образованием свободных радикалов: кислород, который присутствует в мономере, может реагировать с аминами с образованием перекисного радикала [25]. Данный перекисный радикал, в свою очередь, может реагировать с другой молекулой амина с образованием нового свободного радикала (рис. 4). Также перекисные радикалы могут инициировать свободную радикальную полимеризацию подобно свободным радикалам перекиси бензоила в композитах химического отверждения [26].
Рис. 4. Механизм реакции третичного амина с кислородом.
У камфорохинона имеются две карбонильные группы, каждая из которых реагирует так, как показано на схеме (рис. 5), — с образованием радикальных центров. Из одной молекулы камфорохинона образуется 4 радикальных центра — две в одной молекуле камфорохинона и по одному центру в двух молекулах третичных аминов. Это является причиной того, что оптимальное соотношение камфорохинона и амина составляет 1 : 2 по количеству вещества, и именно это соотношение обычно включается в композитный состав [25]. Этап реакции свободной радикальной полимеризации, описанный выше, является первым и называется инициацией. В общем же виде его можно представить так (см. рис. 5).
Рис. 5. Образование четырех радикальных центров, где CQ — камфорохинон, AH — протонированный амин, M — метакрилат
Следующей является стадия роста цепи, которая заключается в последовательном присоединении молекул мономера к растущему макрорадикалу:
RM• + M → RM2•
…
RMn• + M → RMn + 1•, (1)
где RM• — макрорадикал, M — молекула метакрилата.
В результате длина цепи увеличивается, молекулярная масса растет, и вместе с этим уменьшается способность молекулы полимера перемещаться. Из-за того что окружающий композит переходит из состояния жидкости в состояние геля, т.е. растет его вязкость, снижается мобильность реагирующих молекул в целом [27]. Дальнейшее удлинение цепи снижает способность быстро присоединять молекулы остаточного мономера (снижает степень полимеризации). Этот феномен называется самоторможением. Со временем композит становится твердым, и дальнейшее увеличение длин молекул полимеров становится невозможным [27, 28]. В этот момент возрастает вероятность того, что два разных радикальных конца двух разных молекул полимеров встретятся и образуют ковалентную связь — происходит реакция рекомбинации (рис. 6 а). Также один макрорадикал может отщепить от другого атом водорода, тогда говорят о реакции диспропорционирования (рис. 6 б).
Рис. 6. Два механизма третьей завершающей стадии полимеризации: а) реакция диспропорционирования; б) реакция рекомбинации
Как только произошла реакция диспропорционирования или рекомбинации, дальнейшее удлинение полимерной цепи становится невозможным. Эта стадия называется терминацией, или обрывом цепи.
Наряду с этим может происходить стадия передачи цепи, которая заключается в переносе активного центра макрорадикала на другую молекулу, присутствующую в растворе (мономер, полимер, инициатор и др.). Если новый радикал малоактивен, то либо скорость полимеризации замедляется, либо процесс останавливается. При этом макромолекула теряет возможность дальнейшего роста:
Mn• + U → Mn + U•, (2)
где Mn• — макрорадикал, U — иная молекула.
Большинство стоматологических композитов также содержит в своем составе мономерные единицы, такие как TEGDMA, Bis-EMA и пр., которые имеют две и более двойные связи, позволяющие «сшивать» две соседние полимерные цепи [29], для улучшения рабочих свойств композитного материала и возникновения эффекта «сшивания» полимерных цепей:
Mn• + B → MnB•, (3)
где Mn• — макрорадикал, B — «сшивающий» мономер.
«Сшивание» цепей для стоматологических композитов является благоприятным явлением, так как композиты, в которых цепи макромолекул «сшиты» во множестве участков, более прочны на разрыв, более жесткие, менее гибкие и упругие, а также более устойчивые к высоким температурам [30]. Стоит заметить, что использование различных режимов световой полимеризации или источников излучения может обусловливать различное количество мест «сшиваний» в идентичном композитном составе. Этот эффект обусловливает тот факт, что различные растворители, пища и ферменты могут по-разному влиять на пломбу из композита в полости рта в зависимости от того, как именно полимеризовался данный композит светового отверждения [31].
ЗАКЛЮЧЕНИЕ
Несмотря на особенности образования радикалов, с точки зрения классической химии все три этапа фотохимической свободнорадикальной цепной полимеризации присутствуют при световой полимеризации стоматологических композитов.
ДОПОЛНИТЕЛЬНАЯ ИНФОРМАЦИЯ / ADDITIONAL INFO
Источник финансирования. Авторы заявляют об отсутствии внешнего финансирования при проведении исследования.
Funding source. This study was not supported by any external sources of funding.
Конфликт интересов. Авторы декларируют отсутствие явных и потенциальных конфликтов интересов, связанных с публикацией настоящей статьи.
Competing interests. The authors declare that they have no competing interests.
Вклад авторов. Все авторы внесли существенный вклад в разработку концепции в равных долях.
Author contribution. All authors have made a significant contribution to the development of the concept in equal parts.
About the authors
Galina E. Bordina
Tver State Medical University
Author for correspondence.
Email: gbordina@yandex.ru
Cand. Sci. (Biol.), Associate Professor
Russian Federation, TverNadezhda P. Lopina
Tver State Medical University
Email: nadezhda_lopina@mail.ru
Cand. Sci. (Chem.), Professor
Russian Federation, TverGleb S. Parshin
Tver State Medical University
Email: gleb180699@gmail.com
Student
Russian Federation, TverAlexey A. Andreev
Tver State Medical University
Email: aandreev01@yandex.ru
Russian Federation, Tver
Ilya A. Nekrasov
RUDN University
Email: ilya.nekrasov.01@bk.ru
Student
Russian Federation, MoscowReferences
- Lalatovich AM, Vaniev MA, Sidorenko NV, et al. Photopolymerizable compositions and light sources for dental practice (review). Izvestiya Volgogradskogo gosudarstvennogo tekhnicheskogo universiteta. 2021;(12):7–22. (In Russ). doi: 10.35211/1990-5297-2021-12-259-7-22
- Riva YR, Rahman SF. Dental composite resin: A review. AIP Conf Proc. 2019;2193(1):020011. doi: 10.1063/1.5139331
- Kim DH, Sung AY. Photopolymerization and Characterization of Dental Resin Cement Containing Nano Material. J Nanosci Nanotechnol. 2018;18(9):6122–6126. doi: 10.1166/jnn.2018.15605
- Burkova AA, Shcherbakova SB. Choice of dental curing lamp for Filtek Ultimate light-curing composite material. Bulletin of Medical Internet Conferences. 2018;8(7):260. (In Russ).
- Zhou X, Huang X, Li M, et al. Development and status of resin composite as dental restorative materials. J Appl Polym Sci. 2019;136(44):48180. doi: 10.1002/app.48180
- Bait Said OM, Razumova SV, Velichko EV. On the issue of composite materials. Russian Journal of Dentistry. 2020;24(4):278–282. (In Russ). doi: 10.17816/1728-2802-2020-24-4-278-282
- Lima AF, Salvador MVO, Dressano D, et al. Increased rates of photopolymerisation by ternary type II photoinitiator systems in dental resins. J Mech Behav Biomed Mater. 2019;98:71–78. doi: 10.1016/j.jmbbm.2019.06.005
- Kim DH, Lee MJ, Sung AY. Preparation and Characterization of Novel Dental Material with High Shear Bond Strength. J Nanosci Nanotechnol. 2018;18(9):6355–6359. doi: 10.1166/jnn.2018.15654
- Bobyleva YuV, Petrova AP, Korotkov MM. Evaluation of the physical and technical characteristics of photopolymerizing devices in dentistry. Eurasian Scientific Association. 2018;(1–2):96–98. (In Russ).
- Koulaouzidou EA, Roussou K, Sidiropoulos K, et al. Investigation of the chemical profile and cytotoxicity evaluation of organic components eluted from pit and fissure sealants. Food Chem Toxicol. 2018;120:536–543. doi: 10.1016/j.fct.2018.07.042
- Fugolin APP, Pfeifer CS. New Resins for Dental Composites. J Dent Res. 2017;96(10):1085–1091. doi: 10.1177/0022034517720658
- Topa M. Light cured dental composite resins [Internet]. Encyclopedia [cited 2022 June 7]. Available from: https://encyclopedia.pub/item/revision/cc56ab086bd8c94dd72116f4b2e9eb6d.
- Le Gars M, Bras J, Salmi-Mani H, et al. Polymerization of glycidyl methacrylate from the surface of cellulose nanocrystals for the elaboration of PLA-based nanocomposites. Carbohydr Polym. 2020;234:115899. doi: 10.1016/j.carbpol.2020.115899
- Rueggeberg FA, Giannini M, Arrais CAG, Price RBT. Light curing in dentistry and clinical implications: a literature review. Braz Oral Res. 2017;31(Suppl. 1):e61. doi: 10.1590/1807-3107BOR-2017.vol31.0061
- Palialol AR, Martins CP, Dressano D, et al. Improvement on properties of experimental resin cements containing an iodonium salt cured under challenging polymerization conditions. Dent Mater. 2021;37(10):1569–1575. doi: 10.1016/j.dental.2021.08.006
- Gushchin AA, Adamchik AA. Methods for improving the physicomechanical and chemical properties of composite filling materials. Medical and Pharmaceutical Journal “Pulse”. 2020;22(2):36–41. (In Russ). doi: 10.26787/nydha-2686-6838-2020-22-2-36-41
- Favarão J, Oliveira DCRS, Rocha MG, et al. Solvent Degradation and Polymerization Shrinkage Reduction of Resin Composites Using Isobornyl Methacrylate. Braz Dent J. 2019;30(3):272–278. doi: 10.1590/0103-6440201802525
- Albuquerque PPAC, Rodrigues EC, Schneider LF, et al. Effect of an acidic sodium salt on the polymerization behavior of self-adhesive resin cements formulated with different adhesive monomers. Dent Mater. 2018;34(9):1359–1366. doi: 10.1016/j.dental.2018.06.022
- Wang R, Li Y, Hass V, et al. Methacrylate-functionalized proanthocyanidins as novel polymerizable collagen cross-linkers — Part 2: Effects on polymerization, microhardness and leaching of adhesives. Dent Mater. 2021;37(7):1193–1201. doi: 10.1016/j.dental.2021.04.010
- Kruly PC, Giannini M, Pascotto RC, et al. Meta-analysis of the clinical behavior of posterior direct resin restorations: Low polymerization shrinkage resin in comparison to methacrylate composite resin. PLoS One. 2018;13(2):e0191942. doi: 10.1371/journal.pone.0191942
- Inami C, Shimizu H, Suzuki S, et al. Study on the performance of methyl methacrylate polymerization: Comparison of partially oxidized tri-n-butylborane and benzoyl peroxide with aromatic tertiary amines. Dent Mater J. 2019;38(3):430–436. doi: 10.4012/dmj.2018-166
- He J, Garoushi S, Säilynoja E, et al. The effect of adding a new monomer “Phene” on the polymerization shrinkage reduction of a dental resin composite. Dent Mater. 2019;35(4):627–635. doi: 10.1016/j.dental.2019.02.006
- Yoshihara K, Nagaoka N, Benino Y, et al. Touch-Cure Polymerization at the Composite Cement-Dentin Interface. J Dent Res. 2021;100(9):935–942. doi: 10.1177/00220345211001020
- Fugolin AP, de Paula AB, Dobson A, et al. Alternative monomer for BisGMA-free resin composites formulations. Dent Mater. 2020;36(7):884–892. doi: 10.1016/j.dental.2020.04.009
- Fugolin APP, Costa AR, Correr-Sobrinho L, et al. Toughening and polymerization stress control in composites using thiourethane-treated fillers. Sci Rep. 2021;11(1):7638. doi: 10.1038/s41598-021-87151-9
- Fugolin AP, Dobson A, Ferracane JL, Pfeifer CS. Effect of residual solvent on performance of acrylamide-containing dental materials. Dent Mater. 2019;35(10):1378–1387. doi: 10.1016/j.dental.2019.07.003
- Sprick E, Becht JM, Graff B, et al. New hydrogen donors for amine-free photoinitiating systems in dental materials. Dent Mater. 2021;37(3):382–390. doi: 10.1016/j.dental.2020.12.013
- Amiri P, Talebi Z, Semnani D, et al. Improved performance of Bis-GMA dental composites reinforced with surface-modified PAN nanofibers. J Mater Sci Mater Med. 2021;32(7):82. doi: 10.1007/s10856-021-06557-z
- Salvador MV, Fronza BM, Pecorari VGA, et al. Physicochemical properties of dental resins formulated with amine-free photoinitiation systems. Dent Mater. 2021;37(9):1358–1365. doi: 10.1016/j.dental.2021.06.005
- Fugolin AP, Dobson A, Mbiya W, et al. Use of (meth)acrylamides as alternative monomers in dental adhesive systems. Dent Mater. 2019;35(5):686–696. doi: 10.1016/j.dental.2019.02.012
- Sinha J, Dobson A, Bankhar O, et al. Vinyl sulfonamide based thermosetting composites via thiol-Michael polymerization. Dent Mater. 2020;36(2):249–256. doi: 10.1016/j.dental.2019.11.012
Supplementary files










