Postoperative anesthesia for vitreoretinal surgery in children
- Authors: Oleshchenko I.G.1, Zabolotskii D.V.2, Iureva T.N.1, Zaika V.A.1, Koriachkin V.A.2
-
Affiliations:
- Irkutsk Branch of S.N. Fyodorov Eye Microsurgery Federal State Institution of Ministry of Health of the Russian Federation
- Saint-Petersburg State Pediatric Medical University of Ministry of Health of the Russian Federation
- Issue: Vol 14, No 3 (2020)
- Pages: 156-163
- Section: Original study articles
- Submitted: 07.01.2021
- Accepted: 07.01.2021
- Published: 07.01.2021
- URL: https://rjraap.com/1993-6508/article/view/57663
- DOI: https://doi.org/10.17816/RA57663
- ID: 57663
Cite item
Abstract
Vitreoretinal surgery for retinal detachments in children is an effective, sometimes the only method to restore vision. As practice shows, the use of minimally invasive regional techniques is increasingly used for combined anesthesia in ophthalmic surgery in children. In the postoperative period, the use of blockades can provide prolonged analgesia, thereby improving the child’s comfort level after the surgery. All types of blockades in ophthalmology have certain risks, but the pterygopalatine blockade has not any, since it is performed outside the eye structures. The research of the use of the pterygopalatine blockade after surgery in children is important not only for creating prolonged analgesia, but also for reducing vegetative reactions that can complicate the recovery period.
Purpose of the study is to increase the pain management efficacy in the postoperative period in children who have undergone extensive surgery for retinal detachment.
Materials and methods. 1st group (n = 32) received postoperative analgesia — pterygopalatine blockage with ropivacaine 0.5%, 2nd group (n = 28) — systemic analgesia. Changes in hemodynamics and stress index in the postoperative period were evaluated. Cortisol levels in the intensive care unit was evaluated in 2 hours later. The time and frequency use of antiemetics in the occurrence of PONV were recorded. The level of patients comfort after surgery and the pain intensity were evaluated on an integral scale and on the Verbal Rating Scale (VRS) in points.
Results. The children of 1st group did not have significant changes in heart rate and SBP in the intensive care unit. In group 1, the TI decreased by 13.2% in the intensive care unit, and in group 2, the TI increased by 28.5% after 2 hours and by 88.6% after 8 hours. 2 hours after the surgery pain was 2 points in 12.5% of the patients (1st group) and 39.2% of patients (2nd group). After 8 hours, 35.7% of patients (2nd group) reported moderate pain that required medication. There were no PONV in group 1, and it occured in 28.5% of patients in group 2. In group 1, 75% of children rated the postoperative period as comfortable, and in group 2 — 21.4% (p < 0,05).
Conclusion. Pterygopalatine blockade as the main method of postoperative analgesia in the early postoperative period has got a long-term analgesic effect, reducing the frequency of nausea and vomiting, improving the quality of the postoperative period in children.
Full Text
Отслойка сетчатки, основными причинами которой являются травма, близорукость и врождëнные аномалии развития у детей, составляет 3–13% от всей глазной патологии любого возраста [1]. Наиболее эффективные методы оперативного лечения отслойки сетчатки – интраретинальные вмешательства, включающие заднюю закрытую витрэктомию с последующим расправлением сетчатки, эндолазеркоагуляцию разрывов, замену стекловидного тела на газовую смесь или силиконовое масло. При этом у детей на протяжении всей жизни существует высокий риск рецидивов данного заболевания [2].
Лечение боли при хирургической коррекции отслойки сетчатки не ограничивается интраоперационным периодом и является одной из важнейших составляющих реабилитации пациента после перенесëнного вмешательства.
Вопрос выбора обезболивания детям во время офтальмологических операций в последнее время решается в пользу ингаляционной анестезии в комбинации с различными видами интраоперационной анальгезии [3].
В педиатрии существует значимое количество ограничений, связанных с использованием препаратов для системного обезболивания у детей раннего возраста [4], тем не менее на современном этапе отмечено активное внедрение в клиническую практику методов местной анестезии. Однако регионарные блокады в офтальмологии, выполняемые интраорбитально, могут приводить к тяжëлым осложнениям, вплоть до перфорации глазного яблока [5].
Альтернативным методом регионарной анестезии глаза, орбиты и орбитальной клетчатки является крылонёбная блокада (КНБ), которую выполняют c применением ультразвуковой навигации вне орбиты, не затрагивая анатомические структуры глаза [6–8]. Данный вид регионарного обезболивания способен прервать ноцицептивную импульсацию в чувствительных анастомозах II ветви тройничного нерва с цилиарным узлом, а также импульсацию симпатических волокон из периартериального симпатического сплетения внутренней сонной артерии.
Предметом данного исследования явился поиск оптимального варианта продлëнного послеоперационного обезболивания у детей после хирургического лечения отслойки сетчатки.
Цель исследования: повысить эффективность лечения болевого синдрома в послеоперационном периоде у детей, перенëсших обширные хирургические вмешательства при отслойке сетчатки глаза.
Материалы и методы
Рандомизированное проспективное контролируемое исследование было проведено в соответствии с Хельсинкской декларацией и одобрено Комитетом по этике Иркутского филиала НМИЦ «МНТК «Микрохирургии глаза» им. акад. С.Н. Фёдорова» Министерства здравоохранения Российской Федерации. В исследование были включены 60 детей в возрасте 5–15 лет, оперированных в плановом порядке в период с 01.01.2017 по 01.01.19 по поводу отслойки сетчатки, ассоциированной с витреоретинальной пролиферацией и посттравматическими изменениями глазного яблока.
Критерии включения:
- согласие родителей или законного представителя пациента на проведение исследования,
- возраст от 5 до 15 лет,
- плановое офтальмологическое вмешательство по поводу отслойки сетчатки.
Критерии исключения:
- отказ родителей или законного представителя пациента от проведения исследования,
- нарушение протокола исследования,
- противопоказания к регионарным блокадам, такие как коагулопатия и др.
Всем пациентам выполняли витрэктомию, удаление эпиретинальных мембран, лазеркоагуляцию, введение силиконового масла. Все операции выполнялись одним и тем же хирургом.
С целью послеоперационного обезболивания пациентам выполняли КНБ – 1-я группа, или осуществляли системную анальгезию – 2-я группа. Случайная последовательность распределения была последовательно пронумерована для участников. Непрозрачные, запечатанные конверты, определяющие контрольную группу, были сгенерированы компьютером.
Демографические данные пациентов, включая возраст, массу тела, пол, были задокументированы до операции. Общую анестезию выполняли по единой методике, которая включала премедикацию мидазоламом 0,1–0,25 мг/кг, ингаляцию севофлурана с расходом газа 1 л/мин, с установкой ларингеальной маски соответствующего размера. Поддержание анестезии обеспечивали ингаляцией 2,2–2,5 об % севофлурана (МAК 1,0–1,2) при сохранëнном спонтанном дыхании. Всем пациентам после индукции выполняли перибульбарную блокаду с использованием 0,5% раствора ропивакаина – 3,0 мл (0,47 ± 0,03 мг/кг).
Для профилактики послеоперационной тошноты и рвоты (ПОТР) в конце операции всем пациентам вводили 0,1 мг/кг дексаметазона.
С целью послеоперационного обезболивания пациентам 1-й группы со стороны вмешательства под ультразвуковым контролем (Fujifilm SonoSite Inc., США) выполняли КНБ (Патент РФ № 267867) путëм введения 3,0 мл 0,5% раствора ропивакаина, после чего оценивали распределение раствора местного анестетика в крылонёбной ямке.
Пациентам 2-й группы в послеоперационном периоде проводили системное обезболивание: ацетоминофен (15 мг/кг) и трамадол (1 мг/кг ) внутривенно медленно.
Регистрировали неинвазивным способом функциональные параметры сердечно-сосудистой системы:
- артериальное давление (систолическое – АДс, диастолическое – АДд, среднее – АДср),
- частоту сердечных сокращений (ЧСС).
Для исследования напряжения вегетативной нервной системы регистрировали индекс напряжения (ИН) методом кардиоинтервалометрии по Р.М. Баевскому. Показатели фиксировали интра-операционно на этапе окончания операции, в палате интенсивной терапии (ПИТ) через 2 и 8 ч после операции. На следующий день после операции определяли интегральный показатель качества раннего послеоперационного периода, критериями которого были: двигательная активность, наличие или отсутствие сонливости, аппетита, возможность принимать пищу. Каждый критерий оценивался в 1 балл – при его отсутствии, где 4 балла соответствовали комфортному состоянию пациента.
С целью оценки стресс-ответа в послеоперационном периоде исследовали уровень кортизола в сыворотке крови, который определяли иммуноферментным методом. Забор крови проводили до поступления в ПИТ и перед переводом в стационар.
Оценку интенсивности боли осуществляли по 4-балльной вербальной аналоговой шкале (ВАШ), где 1 – боли нет; 2 – слабая; 3 – умеренная; 4 – сильная боль. Оценка боли проводилась в отделении интенсивной терапии (через 2 ч после операции, когда пациент просыпался и мог ответить на вопросы), через 8 и 24 ч после операции. Фиксировали время назначения дополнительного обезболивания, а также частоту возникновения ПОТР.
Статистический анализ проводили с использованием пакета программ Statistica 6.0. Нормализация распределения полученных данных проверялась по критерию Шапиро-Уилка. Данные были представлены в виде среднего (M), стандартного отклонения (SD) и в виде медианы (Me), первого (Q1) и третьего квартиля (Q3). Для определения ключевых различий механизмов действия двух видов послеоперационного обезболивания, при хирургии патологии сетчатки использовали метод ROC анализа.
Результаты
Значимых различий между пациентами в группах сравнения по антропометрическим характеристикам и возрасту не выявлено (табл. 1). Группы были сопоставимы по объëму оперативного вмешательства.
Таблица 1. Клиническая характеристика пациентов
Table 1. Clinical characteristics of patients
Показатели | 1-я группа, n = 32 | 2-я группа, n = 28 | P |
Возраст, лет | 10,5 ± 4,1 | 10,5 ± 4,5 | 0,989* |
ASA, I/II/III | 7/20/5 | 3/19/6 | 0,76** |
Пол, муж/жен, n | 22/10 | 20/8 | 0,112** |
* По критерию Манна-Уитни, **По критерию χ².
* Mann-Whitney U test, ** χ² criterion.
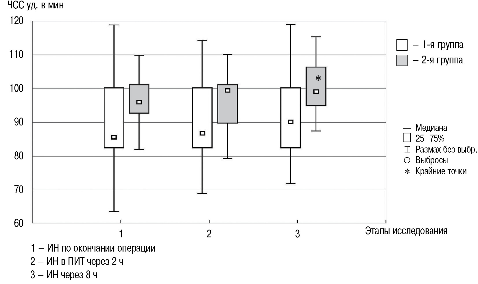
Изучение показателей ЧСС, АДс, АДд, АДср и изменения ИН у больных обеих клинических групп интраоперационно показало, что функциональное состояние сердечно-сосудистой системы на различных этапах оперативного вмешательства оставалось стабильным и не имело отклонения в пределах референсных значений. Через 8 ч после операции во 2-й группе отмечено повышение ЧСС на 10% по сравнению с предыдущим периодом (рис. 1).
Рис. 1. Изменение показателя ЧСС в группах в послеоперационном периоде
* p ˂ 0,01 (межгрупповая разница по критерию Вилкоксона)
Fig. 1. Heart rate changes in groups in the postoperative period
* p ˂ 0.01 (inter-group difference by the Wilcoxon criterion)
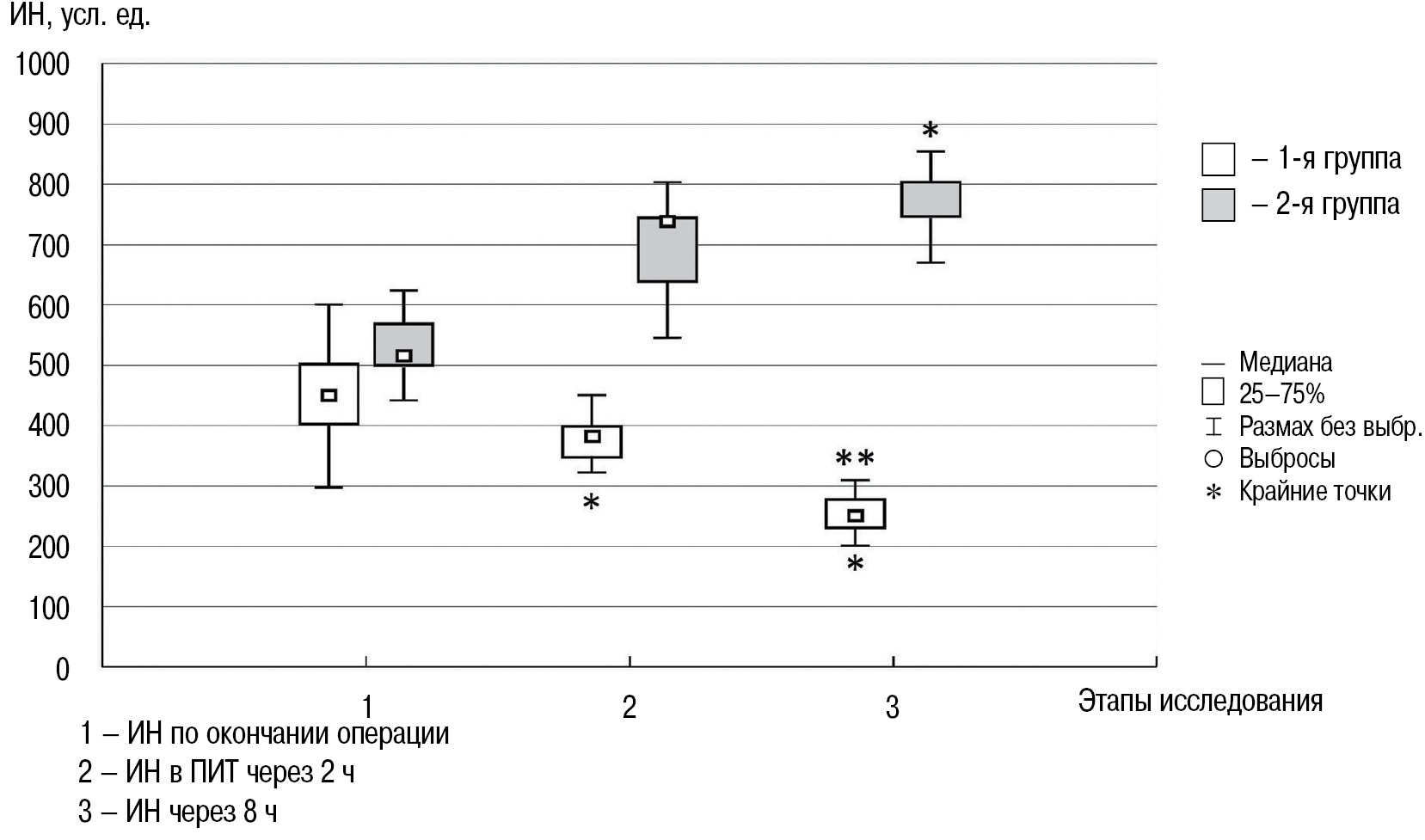
Соответствующие изменения наблюдали и при регистрации ИН (рис. 2). Так, через 2 ч после операции у пациентов 1-й группы индекс напряжения регуляторных систем уменьшился по сравнению со значениями послеоперационного периода на 13,2% и составлял 380,5 ± 44,82 усл.ед., а в стационаре стал ниже исходного показателя на 31% (259,1 ± 39,25 усл.ед.) (p < 0,05). У пациентов 2-й группы послеоперационный период сопровождался ростом данного показателя: через 2 ч после хирургии ИН увеличился на 28,5% (с 396,75 ± 45,15 до 509,75 ± 45,34 усл. ед.) (р < 0,05), а через 8 ч ещë на 88,6%, составив 765,5 ± 87,18 усл. ед. (р < 0,05), что в целом превышало исходное значение в 1,8 раза.
Рис. 2. Изменение показателя ИН в группах в послеоперационном периоде
* p ˂ 0,01 (межгрупповая разница по критерию Вилкоксона), ** p ˂ 0,01 (межгрупповая разница по критерию Манна-Уитни)
Fig. 2. Stress index changes in groups in the postoperative period
* p ˂ 0,01 (inter-group difference by the Wilcoxon criterion), ** p ˂ 0,01 (inter-group difference by the Mann-Whitney criterion
Межгрупповое сравнение полученных значений через 2 ч после операции выявило отличия показателя ИН, достигающего 48% (в 1-й группе – 380 ± 44,82 усл.ед., во 2-й группе – 719,09 ± 86,70 усл.ед.) (p < 0,05), а через 8 ч – 66,1% (p < 0,05).
Гуморальным критерием хирургического стресс-ответа является содержание кортизола в сыворотке крови. У больных 1-й группы уровень кортизола в сыворотке крови в стационаре был на 52% меньше от исходных показателей (p < 0,05). Во 2-й группе – уровень кортизола уменьшился на 13,5% (p < 0,05) (рис. 3).
Рис. 3. Изменение уровня кортизола в сыворотке крови пациентов в послеоперационном периоде
* p ˂ 0,01 (межгрупповая разница по критерию Вилкоксона), ** p ˂ 0,01 (межгрупповая разница по критерию Манна-Уитни)
Fig. 3. Cortisol level changes in blood in the postoperative period
* p ˂ 0,01 (inter-group difference by the Wilcoxon criterion), ** p ˂ 0,01 (inter-group difference by the Mann-Whitney criterion
Полученные данные закономерно нашли отражение в необходимости дополнительного обезболивания и ограничения вегетативных, эметогенных реакций в послеоперационном периоде. У пациентов 1-й группы через 2, 24 ч – боль отсутствовала (табл. 2).
Таблица 2. Оценка боли в послеоперационном периоде
Table 2. Pain assessment in groups in the postoperative period
Критерии оценки | 1-я группа (n = 32) | 2-я группа (n = 28) | |
ВАШ (0/1/2 балла) | 2 ч | 32/0/0 | 15/9/2* |
8 ч | 28/4/0 | 18/10/0* | |
24 ч | 32/0/0 | 28/0/0 | |
Время назначения повторного обезболивания, мин | 313 ± 144,04 | 25,45 ± 17,1* | |
* p ˂ 0,01 (межгрупповая разница по критерию Вилкоксона).
* p ˂ 0,01 (intergroup difference by the Wilcoxon criterion).
Через 8 ч у 4 (12,5% от общего числа больных) детей интенсивность боли соответствовала 1 баллу по ВАШ. Во 2-й группе болевой синдром интенсивностью 1–2 балла по ВАШ отмечали в 39,2% случаев через 2 ч после операции и 35,7% через 8 ч после хирургического вмешательства, что потребовало назначения дополнительного анальгетика. Мы посчитали важным моментом изучение длительности безболевого периода, так у пациентов 2-й группы назначение препаратов ацетоминофена (15 мг/кг) или трамадола (1 мг/кг) для купирования болевого синдрома потребовалось через 25,45 ± 17,1 мин после операции. В 1-й группе 4 пациентам потребовалось обезболивание ацетоминофеном (15 мг/кг) через 313 ± 144,04 мин после хирургии сетчатки (p ˂ 0,01).
В послеоперационном периоде во 2-й группе у 8 (28,5%) детей отмечали тошноту, из них 6 (21,4%) пациентов – рвоту, что потребовало введения ондасетрона (0,1 мг/кг). В 1-й группе тошноту и рвоту не отметили ни у одного пациента (табл. 3).
Таблица 3. Оценка антиэмической терапии в послеоперационном периоде в группах
Table 3. Evaluation of antimimetic therapy in the postoperative period
Критерии оценки | 1-я группа (n = 32) | 2-я группа (n = 28) | |
Время назначения антиэметиков | 2 ч | 0 | 4 |
4 ч | 0 | 2 | |
6 ч | 0 | 1 | |
Количество доз антиэметиков | 1 | 0 | 5 |
2 | 0 | 1 | |
Для определения специфичности и чувствительности показателей, характеризующих различия в течении раннего послеоперационного периода был проведëн ROC-анализ частоты возникновения таких послеоперационных осложнений, как боль и ПОТР для разных видов послеоперационного обезболивания (рис. 4). Установлено, что КНБ позволяет избежать болевого синдрома в послеоперационном периоде, на что указывают значения AUC = 0,750, AUC = 0,770 показатели интенсивности боли в ПИТ и в стационаре соответственно. Кроме того, КНБ снижает напряжение вегетативной нервной системы и сокращает ПОТР у пациентов 1-й группы, порог отсечения которого составил AUC = 0,660, p ˂ 0,001, что по традиционной экспертной шкале оценки качества модели по площади под кривой указывает на хорошие чувствительность и специфичность.
Рис. 4. Графики ROC-анализа (а – кривая зависимости вида анестезии и возникновения ПОТР; б – кривая зависимости вида анестезии и уровня боли в послеоперационном периоде)
Fig. 4. ROC analysis graphs (a — dependence curve of the type of anesthesia and the occurrence of PONY, б - dependence curve of the type of anesthesia and pain level in postoperative period)
Оценка качества течения послеоперационного периода пациентами и их родителями показала, что удовлетворëнность послеоперационным периодом у детей 1-й группы составила 4,6 ± 0,6 балла (при минимальном балле 4), тогда как во 2-й группе – 7 ± 2,2 балла, что является ещё одним подтверждением эффективности КНБ для анальгезии.
Обсуждение
Применение регионарных блокад в хирургии позволяет значительно снизить назначение наркотических анальгетиков как в интраоперационном периоде, так и в послеоперационном периоде. Интерес к КНБ в офтальмологии оправдан простотой, безопасностью еë выполнения и возможностью прерывания не только ноцицептивной, но и вегетативной импульсации глаза [9].
Исследование показателей вегетативного статуса пациентов показало высокую эффективность КНБ в сравнении с внутривенной анальгезией при витреоретинальной хирургии в послеоперационном периоде, что было продемонстрировано снижением уровня напряжения вегетативной нервной системы в раннем послеоперационном периоде. Известно, что нейрогуморальный ответ на операционную травму сопровождается тахикардией и вазоконстрикцией, увеличением скорости метаболизма и повышением уровня кортизола сыворотки крови [10]. Быстрая стабилизация уровня кортизола на фоне применения КНБ указывала на предотвращение активации хирургического стресс-ответа.
У детей, которым выполняли КНБ, был достигнут длительный анальгетический эффект без дополнительного обезболивания. Также отмечено значительное снижение частоты тошноты и рвоты, что привело к уменьшению количества введëнных доз противорвотных препаратов и подтвердило эффективность прерывания вегетативной импульсации [11].
ПОТР полиэтиологична и является специфическим осложнением в офтальмохирургии [12]. Еë возникновение может быть обусловлено раздражением парасимпатического отдела двойного ядра n.vagus. Также известно, что неадекватное обезболивание приводит к возбуждению ядра n.trigeminus, которое находится рядом с двойным ядром n.vagus. Помимо этого, ПОТР в послеоперационном периоде является причиной резкого подъëма внутриглазного давления, которое может повлиять на течение периода восстановления.
Полученные результаты подтверждают мнение о том, что в офтальмохирургии КНБ как компонент послеоперационного обезболивания способна профилактировать послеоперационную тошноту и рвоту благодаря эффективной блокаде ноцицептивной импульсации из области оперативного вмешательства и более выраженного симпатолизиса за счëт блокады симпатических коллатералей в крылонёбной ямке. Послеоперационные эметогенные реакции являются основной причиной удлинения периода восстановления, мешая приёму пероральных препаратов, задерживая очередной приём пищи, препятствуя раннему восстановлению пациентов [13].
Вывод
Крылонёбная блокада у детей как основной метод обезболивания в раннем послеоперационном периоде обладает длительным анальгетическим действием, снижая частоту возникновения тошноты и рвоты, улучшая качество послеоперационного периода.
About the authors
I. G. Oleshchenko
Irkutsk Branch of S.N. Fyodorov Eye Microsurgery Federal State Institution of Ministry of Health of the Russian Federation
Author for correspondence.
Email: iga.oleshenko@mail.ru
ORCID iD: 0000-0003-1642-5276
MD, PhD, anesthesiologist of department of anesthesiology
Russian Federation, IrkutskD. V. Zabolotskii
Saint-Petersburg State Pediatric Medical University of Ministry of Health of the Russian Federation
Email: iga.oleshenko@mail.ru
ORCID iD: 0000-0002-6127-0798
Russian Federation, Saint-Petersburg
T. N. Iureva
Irkutsk Branch of S.N. Fyodorov Eye Microsurgery Federal State Institution of Ministry of Health of the Russian Federation
Email: iga.oleshenko@mail.ru
ORCID iD: 0000-0003-0547-7521
Russian Federation, Irkutsk
V. A. Zaika
Irkutsk Branch of S.N. Fyodorov Eye Microsurgery Federal State Institution of Ministry of Health of the Russian Federation
Email: iga.oleshenko@mail.ru
ORCID iD: 0000-0001-9100-1751
Russian Federation, Irkutsk
V. A. Koriachkin
Saint-Petersburg State Pediatric Medical University of Ministry of Health of the Russian Federation
Email: iga.oleshenko@mail.ru
ORCID iD: 0000-0002-3400-8989
Russian Federation, Saint-Petersburg
References
- Nuzzi R, Lavia C, Spinetta R. Paediatric retinal detachment: a review. Int. J. Ophthalmol. 2017;10(10):1592–11. doi: 10.18240/ijo.2017.10.18.
- Bobrovoy NF. Pediatric ophthalmology. [Detskaya oftal’mologiya.] Moscow: GEOTAR — Media; 2003. (In Russ).
- Ivlev YeV, Boyko YeA, Ruban YeA, Butov OV, Grigor’yev YeV. Preemptive analgesia in combination with multicomponent General anesthesia in children during operations in the nasal cavity and nasopharynx. Anesteziologiya i reanimatologiya. 2015;60(6):46–3. (In Russ).
- Snidvongs S, Nagaratnam M, Stephens R. Assessment and treatment of pain in children. Br. J. Hosp. Med. 2008;69(4):211–3. doi: 10.12968/hmed.2008.69.4.28975.
- Hamilton RC. Technique of ocular regional anesthesia. Can. Anesthesiol. 1992;40(7):463-5. PMID: 1477766.
- Efficacy of sphenopalatine ganglion block in nasal mucosal headache presenting as facial pain. Cranio. 2020;38(2):128–30. 2018;8:1–3. DOI: 10.1080/ 08869634.2018.1475859.
- Mehta D, Leary MC, Yacoub HA et al. The effect of regional anesthetic sphenopalatine ganglion block on self-reported pain in patients with status migrainosus. Headache. 2019;59(1):69–7. doi: 10.1111/head.13390.
- Oleshchenko I, Cok OY, Iureva T, Zabolotskii D, Kripak A. Effect of pterygopalatine blockade on perioperative stress and inflammatory outcomes following paediatric cataract surgery. Reg. Anesth. Pain. Med. 2020;45(3):204–4. doi: 10.1136/rapm-2019-100823.
- Ebbeling MB, Oomen KP, de Ru JA et al. Neurochemical characterization of pterygopalatine ganglion branches in humans. Am. J. Rhinol. Allergy. 2011;25(1):50–3. doi: 10.2500/ajra.2012.26.3697.
- Ul’rikh GE, Zabolotskiy DV. Postoperative anesthesia in children. What standards should we use? Regionarnaya anesteziya i lecheniye ostroy boli. 2015;2:40–5. (In Russ).
- Molchanov IV. Prolonged analgesia with ropivacaine after surgery on the thyroid gland. Vestnik Rossiyskogo nauchnogo tsentra rentgenoradiologii Minzdrava Rossii. 2013;4(13):13. (In Russ).
- Myles PS. Patient satisfaction after anaesthesia and surgery: results of a prospective survey of 10,811 patients. British journal of anaesthesia. 2000;84(1):6–10. doi: 10.1093/oxfordjournals.bja.a013383.
- Kranke P, Eberhart LH. Possibilities and limitations in the pharmacological management of postoperative nausea and vomiting. European Journal of Anaesthesiology. 2011;28(11):758–7. doi: 10.1097/EJA.0b013e32834a4e1e.
Supplementary files










