Factors and characteristics of chronic pain in survivors of critical conditions
- Authors: Spasova A.P.1, Barysheva O.Y.1, Tikhova G.P.1, Maltsev V.V.1, Koriachkin V.A.2
-
Affiliations:
- Institute of Medicine, Petrozavodsk State University
- Saint Petersburg State Pediatric Medical University of MH RF
- Issue: Vol 14, No 4 (2020)
- Pages: 193-205
- Section: Original study articles
- Submitted: 01.03.2021
- Accepted: 01.03.2021
- Published: 08.12.2020
- URL: https://rjraap.com/1993-6508/article/view/62393
- DOI: https://doi.org/10.17816/RA62393
- ID: 62393
Cite item
Abstract
This study aimed to determine the factors that affect the development of chronic pain in patients who recovered from a critical illness and to explore characteristics of pain.
Material and methods. This study included a total of 112 patients with surgical pathology who stayed in the intensive care unit (ICU) and subsequently discharged from the hospital. Before discharge, patients were assessed using a short pain questionnaire, the PainDetect questionnaire to assess the neuropathic component of pain, and the HADS questionnaire to verify the presence of anxiety and depression. After 6 and 12 months, catanamnestic data were analyzed, and neuro-orthopedic examination and repeat testing were performed. The duration of ventilation and ICU and hospital stays were assessed as risk factors. The APACHE-II scale score and the maximum SOFA scale score were used as severity parameters of critical conditions. The maximum level of C-reactive protein (CRP) was recorded as a marker of inflammation. The Charlson comorbidity index was used to assess baseline comorbidity.
Results. After 6 months, pain syndrome developed in 55.6% of the patients, and after 12 months, the average pain intensity was 4 points on the verbal rating scale in 59% of the patients. Neuropathic pain was diagnosed in 34% of the patients. The most frequent location of pain was the shoulder joint area, and both shoulders were affected by pain in 58.2% of the patients. In the period from 6 months to 1 year after discharge from the ICU, the risk factors for chronic pain were the duration of ventilator use, ICU stay, and CRP level. Age and gender did not affect the development of chronic pain in patients who recovered from critical illness.
Conclusions. Chronic pain is a complication in more than half of the patients with critical illness. A third of patients with chronic pain experienced neuropathic pain, which requires a comprehensive approach to relieve pain.
Keywords
Full Text
За последние десятилетия выживаемость в отделениях интенсивной терапии (ОИТ) заметно увеличилась [1, 2] и на первое место вышли проблемы долгосрочного влияния перенесённого критического состояния на качество жизни [3]. Многие пациенты, пережившие критическое состояние, страдают от разнообразных длительных нарушений здоровья, описанных как синдром последствий интенсивной терапии (ПИТ-синдром) [4, 5]. Появляется всё больше свидетельств увеличения распространённости боли у пациентов этой группы [6, 7]. В работе Baumbach P. (2016) сообщалось о формировании у 33,1% пациентов хронической боли через 6 мес после выписки из ОИТ, из-за которой они страдали от умеренных и серьёзных ограничений в повседневной жизни [8].
В исследовании Battle C. (2013) уже 44% пациентов сообщили о новой продолжающейся боли через 12 мес после выписки из отделения интенсивной терапии [8]. О предикторах хронической боли после интенсивной терапии (ХБПИТ) известно очень мало [9, 10]. Как правило, острую ноцицептивную боль в ОИТ провоцируют многочисленные факторы, важнейшими из которых считаются болезненные медицинские процедуры [11] и длительная иммобилизация [12]. Кроме того, повреждение нервов в результате хирургического вмешательства может вызвать невропатическую боль [13]. Важную роль играют воспалительные процессы, т. к. медиаторы воспаления прямо или косвенно взаимодействуют с ноцицепторами [14], а воспаление снижает болевой порог и толерантность [15, 16]. Массивное ноцицептивное воздействие во время пребывания в ОИТ может вызвать длительные изменения ноцицепции, способствуя хронизации боли [5]. Кроме того, появляется всё больше доказательств развития патологии мелких волокон при критических состояниях [17–19], что клинически манифестируется болевым синдромом и не подпадает под классическое определение сенсомоторной нейропатии критических состояний [20, 21]. Потеря чувствительности по типу чулок или перчаток, ощущение зябкости в конечностях, онемение, покалывание, жжение, гиперальгезия были описаны при длительном наблюдении за выжившими пациентами, перенёсшими критическое состояние [20]. У некоторых пациентов боль может быть чрезвычайно интенсивной, что препятствует эффективной реабилитации [21].
Полагают, что механизмы развития ХБПИТ аналогичны механизмам развития хронической послеоперационной боли (ХПОБ) [22]. Обсуждаются несколько провоцирующих факторов, таких как хирургические и инвазивные процедуры с недостаточным купированием острой боли [23], психосоциальные факторы [24]. Недавние исследования подчёркивают важную роль ранее существовавших заболеваний, сопровождающихся хронической болью [25]. Таким образом, целью нашего исследования было определение факторов, влияющих на формирование хронического болевого синдрома у пациентов, перенёсших критическое состояние, и особенностей характеристик болевого синдрома.
Материалы и методы
Пациенты
После одобрения локальным этическим комитетом набор пациентов проходил в период с 2015 по 2018 г. в отделении анестезиологии и реанимации № 1 ГБУЗ «Республиканская больница имени В.А. Баранова».
Критерии включения:
- возраст 18–75 лет,
- хирургическая патология,
- длительность пребывания в ОРИТ > 3 дней,
- длительность искусственной вентиляции лёгких (ИВЛ) > 48 ч,
- оценка состояния тяжести пациентов на момент поступления 7 баллов и более по шкале APACHE II,
- получение информированного согласия.
Критерии исключения:
- острые нарушения мозгового кровообращения,
- травматические повреждения головного и спинного мозга,
- термическая травма,
- онкологическая патология,
- кардиохирургические вмешательства,
- психические расстройства в анамнезе.
Таким образом, в конечную выборку было включено 112 пациентов с хирургической патологией, находившихся в ОИТ и впоследствии выписанных из стационара. Перед выпиской пациенты были тестированы с помощью набора опросников, выполнено температурное количественное тестирование. Второй и третий этапы исследования проведены через 6 и 12 мес. Проанализированы катанамнестические данные, проведено нейроортопедическое обследование и выполнено повторное тестирование.
Опросники
Оценка локализации, интенсивности боли проводилась по краткому болевому опроснику. Для выявления тревоги и депрессии использовали опросник HADS (Hospital Anxiety and Depression Scale), использовалось пороговое значение ≥ 8, чтобы различать пациентов с отклонениями от нормы в сумме оценок тревоги или депрессии, или без них. Нейропатический компонент боли оценивался по опроснику PainDetect, где сумма менее 12 баллов подразумевала отсутствие нейропатического компонента боли, 12–18 баллов соответствовали неопределённому результату, а 18 баллов и более предполагали нейропатический характер боли.
Нейроортопедическое обследование
Оценивали наличие нарушений всех видов чувствительности в ключевых сенсорных точках. Определяли силу мышц в различных группах по шкале количественной оценки мышечной силы (MRC, Medical Research Council Weakness Scale). Исследование объёма активных движений производили последовательно во всех суставах с фиксацией степени болевых ощущений.
Выявление хронического болевого синдрома после перенесённого критического состояния
ХБПИТ через 6 и 12 мес после выписки из стационара была определена как клинически значимая новая боль, которая длилась не менее 3–6 мес и была связана с пребыванием в ОРИТ. Пациентов просили указать, испытывают ли они какую-либо постоянную боль после выписки из ОРИТ (только новые боли, которых у них не было до их поступления в ОРИТ), и если да, то их попросили описать поражённые части тела наглядно на диаграмме тела как при заполнении краткого опросника боли, так и опросника PainDetect.
Клинические данные
Данные анамнеза были собраны из амбулаторных медицинских карт пациентов. Для оценки исходных сопутствующих заболеваний использовали индекс коморбидности (ИКЧ) М. Charlson. Любые состояния, существующие до поступления в ОРИТ, которые могли вызвать хроническую боль, были проанализированы как фактор риска. Боль, имевшая место до поступления в ОИТ, определялась как клинически значимая боль, продолжающаяся не менее 6 мес. Любые хирургические вмешательства, травмы, которые потенциально могли вызвать хроническую боль (любые дренажи, особенно плевральные, которые учитывались отдельно), также были зарегистрированы.
Продолжительность ИВЛ определяли как количество дней, в течение которых пациенту требовалась инвазивная ИВЛ. Продолжительность пребывания в ОРИТ определяли как количество полных сут, в течение которых пациент проходил лечение в отделении интенсивной терапии и реанимации. Продолжительность пребывания в стационаре определялась как общее количество дней с момента поступления в стационар до выписки. В качестве параметра тяжести критического состояния использовали шкалу APACHE-II и максимальный балл по шкале SOFA во время госпитализации в ОИТ. Как маркер воспаления регистрировали максимальный уровень С-реактивного белка (СРБ).
Статистические методы
Статистическая обработка данных включала методы описательной статистики: расчёт среднего значения, стандартного отклонения, медианы и интерквартильного размаха для числовых показателей и вычисления абсолютной (n) и относительной (%) частоты для бинарных и категориальных признаков. Проверку гипотезы о статистической достоверности различия частот двух групп проводили с помощью критерия χ2. Для тестирования статистической значимости различия средних двух групп использовался Т-критерий Стьюдента в случае незначимого отклонения выборочных распределений от нормального закона, и критерий Манна-Уитни для сильно скошенных и иных видов распределений. Для проверки предположения о различии средних 3 и более групп применялся дисперсионный анализ ANOVA. Уровень статистической значимости α для принятия гипотезы о достоверности различия средних или частот был принят равным 0,05. Статистический анализ данных проводился средствами программного пакета Statistica v.12, а также с использованием стандартных библиотек и специально написанных скриптов в программной среде R.
Результаты
В исследование были включены пациенты, пережившие критическое состояние; общая выборка составила 112 человек, среди них 45 (40,2%) мужчин. В таблице 1 представлены средние тенденции исследуемой выборки по возрастной категории и ряду клинических показателей.
Таблица 1. Общая характеристика пациентов, включённых в исследование
Tablе 1. General characteristics of patients included in the study
Показатели | Всего пациентов | Среднее (станд. откл.) | Медиана (Q1; Q3) |
Возраст, г | 112 | 51,9 (16,4) | 52,0 (39,0; 64,0) |
Длительность ОРИТ, сут | 112 | 23,2 (21,7) | 14,5 (8,0; 28,5) |
Длительность стационара, сут | 112 | 47,0 (29,7) | 40,5 (25,5; 62,0) |
Длительность ИВЛ, сут | 112 | 16,6 (18,4) | 9,5 (5,0; 22,0) |
СРБ, мг/мл | 112 | 219,5 (100,3) | 207,0 (149,5; 288,2) |
ИКЧ, баллы | 112 | 2,4 (2,5) | 2,0 (0,0; 4,5) |
APACHE II, баллы | 112 | 16,7 (4,9) | 16,0 (13,5; 19,0) |
SOFA, баллы | 112 | 8,5 (2,4) | 8,0 (7,0; 10,0) |
Коморбидность | |||
Боль до госпитализации | 112 | 59 (52,7%) | ---- |
Сахарный диабет | 112 | 30 (26,8%) | ---- |
ИКЧ > 0 баллов | 112 | 70 (62,5%) | ---- |
Дренажи (количество) | |||
0 | 1 | 2 | |
Раны и дренажи | 7 (6,3%) | 104 (92,9%) | 1 (0,9%) |
Плевральные дренажи | 49 (43,8%) | 56 (50,0%) | 7 (6,3%) |
Примечание. ИКЧ – индекс коморбидности М. Чарлсон.
Note. ИКЧ – Charlson Comorbidity Index (CCI).
С целью исследования возможного влияния пола на изучаемые показатели полученная выборка была стратифицирована по гендерному признаку на 2 группы. Физиологические и клинические характеристики полученных групп представлены в таблице 2.
Таблица 2. Распределение выборки пациентов, перенёсших критическое состояние, по полу
Tablе 2. Distribution of the sample of critically ill patients by gender
Показатели | Мужчины (n = 45) | Женщины (n = 67) | р |
Возраст, г | 54,6 (17,2) | 50,0 (15,7) | 0,142 |
Длительность ОРИТ, сут | 22,6 (21,2) | 23,7 (22,1) | 0,880 |
Длительность стационара, сут | 50,3 (31,2) | 44,8 (28,7) | 0,347 |
Длительность ИВЛ, сут | 15,3 (15,1) | 17,5 (20,4) | 0,903 |
СРБ, мг/мл | 201,2 (95,6) | 231,7 (102,3) | 0,139 |
ИКЧ, баллы | 2,7 (2,5) | 2,3 (2,5) | 0,325 |
APACHE II, баллы | 16,4 (3,4) | 16,8 (5,6) | 0,713 |
SOFA, баллы | 8,6 (2,1) | 8,4 (2,6) | 0,674 |
Боль до госпитализации | 51,1% | 53,7% | 0,869 |
Сахарный диабет | 28,9% | 25,4% | 0,683 |
ИКЧ > 0 баллов | 66,7% | 59,7% | 0,455 |
Примечание. ИКЧ – индекс коморбидности Чарлсон.
Note. ИКЧ – Charlson Comorbidity Index (CCI)
Несмотря на видимые различия средних значений возраста, длительности пребывания на ИВЛ и в стационаре, а также уровень СРБ, при разделении по полу полученные показатели не достигали статистической значимости различий средних между группами из-за их высокой вариабельности. Интересным оказалось разделение на подгруппы по наличию/отсутствию хронической боли до госпитализации (табл. 3).
Таблица 3. Сравнительная таблица результатов в подгруппах с наличием/отсутствием боли до госпитализации
Tablе 3. Comparative results in subgroups with the presence /absence of pain before hospitalization
Показатели | Боль = ДА (n = 59) | Боль = НЕТ (n = 53) | р |
Возраст, г | 59,9 (14,5) | 43,0 (13,6) | < 0,0001 |
Длительность ОРИТ, сут | 22,7 (22,4) | 23,9 (21,0) | 0,241 |
Длительность стационара, сут | 47,3 (30,0) | 46,7 (29,7) | 0,910 |
Длительность ИВЛ, сут | 15,2 (18,0) | 18,2 (18,9) | 0,077 |
СРБ, мг/мл | 216,9 (93,7) | 222,3 (108,1) | 0,746 |
ИКЧ, баллы | 3,5 (2,5) | 1,2 (1,9) | < 0,0001 |
APACHE II, баллы | 17,6 (5,7) | 15,6 (3,4) | 0,036 |
SOFA, баллы | 8,6 (2,5) | 8,4 (2,3) | 0,723 |
Сахарный диабет | 40,7% | 11,3% | 0,0005 |
ИКЧ > 0 баллов | 83,1% | 39,6% | < 0,0001 |
Примечание. Статистически значимое различие средних между группами с/без боли до госпитализации (Т-критерий Стьюдента) было получено для показателей возраста (р < 0,0001), ИКЧ (р < 0,0001) и APACHE II (р = 0,036).
Note. A statistically significant difference in the mean values between the groups with/without pain before hospitalization (Student’s T-test) was obtained for age (p < 0.0001), СCI (p < 0.0001) and APACHE II (p = 0.036).
Распространённость ХБПИТ
Через 6 мес выборка пациентов, перенёсших критическое состояние, была разделена на группы на основе их ответа на первый вопрос краткого опросника боли: «У вас есть боль?». Группа боли включала тех, кто ответил «да», и группа без боли включала тех, кто ответил «нет» или чьи оценки по краткому опроснику боли были «0». Через 6 мес чуть более чем у половины пациентов (55/99, 55,6%) сформировалась боль (табл. 4).
Таблица 4. Основные показатели пациентов с хроническим болевым синдромом и без хронической боли через 6 мес
Tablе 4. Main indicators of patients with chronic pain syndrome and without chronic pain after 6 months
Боль | ДА | НЕТ | p | ||
N | Med (Q1; Q3) | N | Med (Q1; Q3) | ||
Возраст*, г | 55 | 51,0 ± 14,8* | 44 | 46,5 ± 13,1* | 0,113 |
Длительность ИВЛ, сут | 55 | 16,0 (7,0; 32,0) | 44 | 5,0 (3,0; 10,0) | < 0,0001 |
Уровень СРБ, сут | 55 | 223,0 (182,0; 320,0) | 44 | 198,5 (121,8,0; 232,0) | 0,026 |
Длительность ОРИТ, сут | 55 | 22,0 (12,0; 44,0) | 43 | 12,0 (7,0; 16,0) | < 0,0001 |
Длительность стационара, сут | 55 | 49,0 (32,0; 68,0) | 44 | 28,0 (19,5; 41,0) | < 0,0001 |
Примечание. * результаты представлены для возраста как среднее ± станд. откл.
Note.* for age the results are presented as mean ± std.
Результаты из таблицы 4 указывают на то, что длительность пребывания на ИВЛ и в ОРИТ (и как следствие в стационаре) влияет на формирование боли – у пациента, находящегося в ОРИТ 2 нед и более, имеется значительно бóльшая вероятность развития боли, чем у пациента, переведённого из ОРИТ ранее 2 нед.
Через 12 мес доля пациентов, отмечавших боль, незначительно увеличилась и составила 59,3% (51/86). Различие длительности пребывания на ИВЛ, в ОРИТ в стационаре между пациентами с болью и без боли через 12 мес после критического состояния стало ещё заметнее (табл. 5).
Таблица 5. Основные показатели пациентов с хроническим болевым синдромом и без хронической боли через 12 мес
Tablе 5. Main indicators of patients with chronic pain syndrome and without chronic pain after 12 months
БОЛЬ | ДА | НЕТ | p | ||
N | Med (Q1; Q3)* | N | Med (Q1; Q3)* | ||
Возраст*, г | 51 | 48,1 ± 13,8 | 35 | 46,6 ± 13,4 | 0,613 |
Уровень СРБ, мг/л | 51 | 230,0 (192,3; 320,0) | 35 | 183,0 (120,0,0; 230,0) | 0,018 |
Длительность ИВЛ, сут | 51 | 18,0 (7,0; 28,0) | 35 | 5,0 (3,0; 5,0) | < 0,0001 |
Длительность ОРИТ, сут | 51 | 21,0 (14,0; 44,0) | 34 | 10,0 (6,0; 12,0) | < 0,0001 |
Длительность стационара, сут | 51 | 43,0 (32,0; 65,0) | 35 | 24,0 (18,0; 41,0) | < 0,0001 |
Примечание. * результаты представлены для возраста как среднее ± станд. откл.
Note. * for age the results are presented as mean ± std.
Так, 75% пациентов без боли находились на ИВЛ 5 дней и менее, тогда как 75% пациентов с болью через 12 мес находились на ИВЛ не менее 7 сут.
Возраст не влиял на формирование ХБПИТ через 6 и через 12 мес, в том числе и при стратификации на подгруппы по гендерному признаку. А уровень СРБ оказался статистически достоверно выше в подгруппе у пациентов с ХБПИТ, причём как через 6, так и через 12 мес.
Интенсивность боли
Интенсивность боли по всем градациям – слабая, средняя и сильная представлена на рис. 1. Можно отметить тенденцию к снижению интенсивности боли по всем категориям с течением времени.
Рис. 1. Интенсивность боли
Интенсивность боли не зависела от возраста в общей выборке. Однако у женщин интенсивность средней боли оказалась выше, чем у мужчин, значение р, полученное при проверке нулевой гипотезы о различии средних между группами мужчин и женщин с помощью Т-критерия Стьюдента, было получено очень близким критическому значению (0,054) (табл. 6).
Таблица 6. Интенсивность боли по числовой рейтинговой шкале
Tablе 6. The intensity of pain on a numerical rating scale
БОЛЬ | < 45 лет | < 60 лет | ≥ 60 лет | P (ANOVA) | БОЛЬ | Муж | Жен | P (T) |
Сильная | 6,2 | 5,7 | 6,5 | 0,582 | Сильная | 6,5 | 5,9 | 0,122 |
Слабая | 1,9 | 1,5 | 1,8 | 0,492 | Слабая | 1,9 | 1,6 | 0,826 |
Средняя | 4,0 | 3,5 | 3,8 | 0,287 | Средняя | 4,0 | 3,7 | 0,054 |
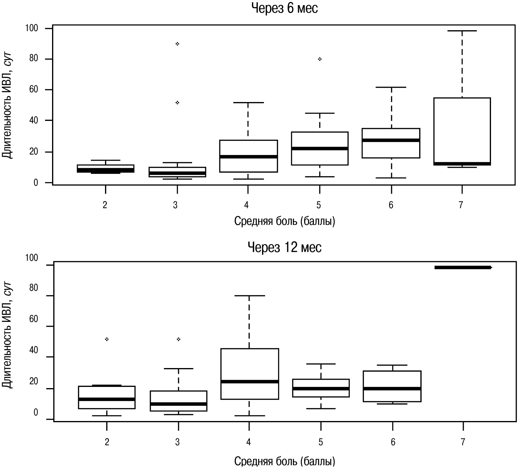
При анализе интенсивности болевого синдрома оказалась интересной связь интенсивности средней боли за последнюю нед с длительностью ИВЛ и через 6, и через 12 мес после перенесённого критического состояния (рис. 2).
Рис. 2. Связь длительности пребывания на ИВЛ с интенсивностью средней боли через 6 и 12 мес после критического состояния
Локализация боли
Анализируя описание локализации боли на диаграмме тела как по краткому опроснику боли, так и по опроснику PainDetect, было выявлено достаточно частое поражение суставов, причём болевой синдром в суставах сохранялся и через 12 мес. Результаты анализа данных представлены в таблице 7.
Таблица 7. Средняя длительность ИВЛ (сут) и её связь с локализацией и количеством поражённых суставов
Table 7. Average duration of mechanical ventilation (days) and its relationship with the location and number of affected joints
Число поражённых суставов | 0 | 1 | 2 | р | |||
6 мес | |||||||
ИВЛ, сут | ИВЛ, сут | ИВЛ, сут | |||||
N | Med (Q1; Q3) | N | Med (Q1; Q3) | N | Med (Q1; Q3) | ||
Плечо | 0 | --- | 23 | 7,0 (5,0; 14,0) | 32 | 28,0 (15,0; 47,5) | 0,0001 |
ТС | 9 | 7,0 (6,0; 8,0) | 24 | 12,0 (5,0; 18,0) | 22 | 33,0 (27,0; 52,0) | 0,0002 |
КС | 24 | 8,0 (5,5; 14,5) | 17 | 18,0 (12,0; 20,0) | 14 | 51,0 (28,0; 62,0) | 0,0004 |
ЛС | 34 | 13,5 (6,0; 20,0) | 11 | 32,0 (8,0; 35,0) | 9 | 52,1 (45,0; 80,0) | 0,0245 |
12 мес | |||||||
ИВЛ, сут | ИВЛ, сут | ИВЛ, сут | |||||
N | Med (Q1; Q3) | N | Med (Q1; Q3) | N | Med (Q1; Q3) | ||
Плечо | 2 | --- | 20 | 7,0 (5,0; 12,5) | 30 | 22,0 (16,0; 33,0) | < 0,0001 |
ТС | 21 | 18,0 (7,0; 30,0) | 18 | 12,0 (5,0; 18,0) | 13 | 28,0 (18,0; 36,0) | 0,002 |
КС | 27 | 12,0 (6,5; 24,0) | 12 | 15,0 (9,0; 18,0) | 13 | 28,0 (20,0; 52,0) | 0,0001 |
ЛС | 43 | 18,0 (7,0; 26,0) | 8 | 11,0 (6,5; 31,5) | 1 | --- | --- |
Примечание. ТС – тазобедренный сустав. КС – коленный сустав. ЛС – локтевой сустав.
Note. TC – the hip joint, KC – the knee joint, ЛС – elbow joint.
Оказалось, что длительность ИВЛ оказывает влияние на количество поражённых суставов (рис. 3).
Рис. 3. Связь длительности ИВЛ с количеством поражённых суставов
Результаты, отражённые в таблице 7, позволяют утверждать, что:
- через 6 мес после критического состояния среди пациентов, отмечавших боль, не было ни одного, у кого бы не был поражён хотя бы один плечевой сустав, и они поражаются первыми (рис. 3); 75% пациентов с поражением одного плечевого сустава находились на ИВЛ менее 2 нед, тогда как 75% пациентов с поражением 2 плечевых суставов находились на ИВЛ более 2 нед;
- у более чем половины (32/55, 58,2%) пациентов с болью были поражены оба плеча;
- тазобедренные суставы начинают поражаться через 3 нед на ИВЛ, приводя к поражению одного сустава, более 3 нед – к поражению двух;
- локтевые суставы страдали менее всего (34/55,61,2%);
- поражение 2 суставов любой локализации отмечается при длительности ИВЛ более 2 нед.
Согласно рис. 3 тенденция влияния длительности ИВЛ на число поражённых суставов сохранялась и через 12 мес после перенесённого критического состояния.
Рис. 4. Взаимосвязь оценок сенсорных фенотипов PainDetect и суммы баллов по опроснику
На рис. 4 представлены сенсорные фенотипы по опроснику PainDetect в зависимости от суммы баллов. Сумма баллов менее 12 была у 52% пациентов, подразумевая отсутствие нейропатического компонента боли. У 12% больных сумма баллов 12–18 соответствовала неопределённому результату, а 34% набрали 18 и более баллов, что не исключает наличие нейропатического характера боли. Выраженность сенсорных характеристик, указывающая на изменение чувствительности с преобладанием деафферентационного компонента, увеличивается с ростом общего балла по Pain Detect.
Тревога и депрессия
На рис. 5 отражена динамика показателей по опроснику HADS.
Рис. 5. Динамика показателей по опроснику HADS через 6 и 12 мес после критического состояния
В нашей выборке пациенты в целом находились в состоянии умеренно-выраженной тревоги и депрессии. Эти показатели лишь незначительно снижались через 12 мес наблюдения.
Обсуждение результатов
Хроническая боль всё чаще признаётся проблемой у лиц, переживших критическое состояние [5]. Существуют противоречивые данные о частоте возникновения хронической боли. Результаты нашего исследования свидетельствуют, что половина всех респондентов всё ещё испытывает боль, по крайней мере через 6 и 12 мес после выписки из ОИТ. Это согласуется с исследованием немецких коллег, в котором сообщалось, что 56% пациентов сообщали о боли через 2 года после выписки из ОИТ [3]. По нашим данным, через 12 мес количество пациентов, страдающих от боли, несколько увеличилось. Если провести сравнение с ХПОБ, то, по данным многих исследователей, частота хронической послеоперационной боли снижается со временем. Но это утверждение, возможно, не совсем верно применять к ХБПИТ.
В изученной выборке мы не получили достоверной связи ХБПИТ и возраста, тогда как другие исследователи получили противоречивые результаты. По данным немецких и канадских коллег, более молодой возраст был связан с более высоким риском ХБПИТ [8, 10], тогда как Battle C. (2013) обнаружила, что пожилой возраст связан с ХБПИТ [25]. Возможными объяснениями могут быть различия в составе выборки пациентов. Увеличение риска ХБПИТ с возрастом, возможно, связано с нормальными физиологическими изменениями, такими как уменьшение мышечной массы, снижение уровня метаболизма, нередко нутриционной недостаточностью, возрастными изменениями опорно-двигательного аппарата [26].
В нашем исследовании мы не получили достоверной связи формирования боли в зависимости от пола. В целом, в экспериментальных условиях женщины имеют более высокий риск хронической боли и более высокую болевую чувствительность [27]. Основные механизмы (например, гормональные или психосоциальные различия) всё ещё изучаются, и однозначного ответа пока нет. В исследовании Battle C. (2013) также не было найдено связи пола и ХБПИТ. Результаты исследований по связи хронической послеоперационной боли и пола также противоречивы [23].
В целом психологический дистресс, тревога и депрессия [10] связаны с формированием ХПОБ и ХБПИТ. В нашей выборке пациенты находились в состоянии умеренно-выраженной тревоги и депрессии, что само по себе требует коррекции терапии. Однако по данным большого исследования, проведённого в Австралии, симптомы тревоги и депрессии у пациентов, перенёсших критическое состояние, были в пределах нормы по шкале HADS – 3,0 (1,0–6,0) и 1,0 (0–4). В долевом эквиваленте 80% не имели симптомов тревоги, в то время как 20% имели клинически значимые симптомы и 86% выживших не сообщили о симптомах депрессии, тогда как у 14% были клинически значимые симптомы [28]. Вероятнее всего, такие противоречивые результаты являются следствием разнородности изучаемых выборок.
Максимальные уровни СРБ во время пребывания в отделении интенсивной терапии были связаны с повышенным риском ХБПИТ. CРБ как маркер воспаления оказывается фактором риска развития боли. Это подчёркивает потенциальную роль воспалительных процессов в её развитии. В исследовании Griffith D. была изучена связь воспалительных маркеров со степенью физической активности через 3 мес после выписки из ОИТ [29]. Более низкий индекс мобильности по шкале Ривермид был связан с более высоким уровнем СРБ даже после поправки на тяжесть острого заболевания и ранее существовавшие сопутствующие заболевания [29]. По данным исследовательской группы Choi H., показатели боли по шкале вербальных оценок, потребление опиоидов и адъювантных препаратов у пациентов после обширных лапароскопических вмешательств были положительно связаны с послеоперационными уровнями СРБ и степенью повышения уровней СРБ на 2–3-й дни послеоперационного периода. Эти результаты не только дополняют результаты предыдущих исследований, которые показали, что уровень СРБ является клиническим маркером, связанным с выраженностью системного воспалительного ответа, но также, возможно, показывают, что уровень СРБ может отражать исход боли [30].
Сопутствующие заболевания, оцениваемые с помощью индекса коморбидности Чарлсон М., оказывали влияние на степень тяжести по шкале APACHE II, предопределяя более тяжёлое состояние и высокую смертность. В нашей выборке пациентов и в исследовании Battle С. (Battle et al., 2013) тяжесть заболевания не была связана с ХБПИТ. Таким образом, результат следует интерпретировать с осторожностью и требует дальнейшего изучения.
В нашем исследовании хирургическое вмешательство не было существенно связано с ХБПИТ. Это может быть обусловлено тем, что в нашей выборке были представлены только пациенты хирургического профиля. Baumbach et al. обнаружили более высокий риск ХБПИТ у пациентов, оперированных более чем 2 раза во время госпитализации в ОРИТ [8, 19].
Значительными факторами риска хронической боли были длительность ИВЛ и длительность пребывания в ОИТ. В исследовании Timmers et al. (2011) [31] продолжительность пребывания в отделении интенсивной терапии и дни ИВЛ не являлись значимыми факторами риска хронической боли после выписки из отделения интенсивной терапии, что возможно объясняется разным составом патологий пациентов.
В небольшом исследовании, завершённом в Англии в 2012 г., 80% пациентов, перенёсших критическое состояние, страдали от боли в плече в течение одного года после выписки из отделения интенсивной терапии [32]. Существуют ограниченные исследования, в которых исследуются конкретные части тела, пострадавшие от боли у выживших после критического заболевания. В нашем исследовании частота поражений суставов, особенно плечевого сустава, оказалась высокой. Такие данные были получены в исследовании Gustafson O. (2018). Общая распространённость боли в плече среди выживших в ОИТ, оценённых через 3 и 6 мес, составила 45 из 62 (73%) и 41 из 61 (67%) соответственно. Из них большинство имели двустороннее проявление, что составило 31 из 41 пациента (76%) в течение 6 мес. Доля пациентов с дисфункцией верхних конечностей была одинаковой через 3 и 6 мес, 48 (30/62) и 46% (28/61) соответственно. Эти новые данные подтверждают, что боли в плече после критического состояния – это не просто краткосрочная проблема, а нарушение, которое сохраняется у пациентов в течение нескольких месяцев после выписки из больницы. Возможный фактор, способствующий возникновению боли в плече, может включать нежелание пациента или его неспособность двигать плечевой пояс из-за положения центрального венозного катетера, диализного катетера и шлангов аппарата ИВЛ. Другой возможной причиной боли в плече является отсутствие мышечного тонуса во время критического состояния. Плечевой сустав считается нестабильным суставом при отсутствии мышечного тонуса [33]. Одна из причин этого заключается в том, что плечо потенциально подвергается чрезмерной нагрузке во время часто выполняемых процедур ухода, таких как перестилание, повороты для дренирования мокроты. Принятие во внимание этого факта должно учитываться в обеспечении надлежащего ухода за этой группой пациентов.
Выводы
Более половины пациентов, переживших критическое состояние, страдают от боли в течение года после выписки. Длительность ИВЛ и госпитализации в ОИТ, высокий уровень СРБ, наличие боли до госпитализации являются провоцирующими факторами риска развития ХБПИТ. Сочетание ноцицептивного, нейропатического и дисфункционального компонента боли требует мультимодальной анальгезии и комплексного подхода в облегчении боли. Особого внимания требует профилактика поражений суставов за счёт возможной ранней мобилизации, а затем ранней реабилитации у всех пациентов, перенёсших критическое состояние.
Вклад авторов статьи. Все авторы участвовали в анализе данных, составлении и редактировании статьи, окончательно утвердили версию, которая будет опубликована, и соглашаются нести ответственность за все аспекты работы.
About the authors
Arina P. Spasova
Institute of Medicine, Petrozavodsk State University
Author for correspondence.
Email: arina22@mail.ru
ORCID iD: 0000-0002-2797-4740
MD, PhD, Assistant Professor of Chair of X-Ray diagnostic and X-Ray treatment with course of Critical And Respiratory Medicine
Russian Federation, 33, Lenin street, Petrozavodsk, 185910O. Y. Barysheva
Institute of Medicine, Petrozavodsk State University
Email: arina22@mail.ru
ORCID iD: 0000-0001-6317-1243
Russian Federation, 33, Lenin street, Petrozavodsk, 185910
G. P. Tikhova
Institute of Medicine, Petrozavodsk State University
Email: arina22@mail.ru
ORCID iD: 0000-0003-1128-9666
Russian Federation, 33, Lenin street, Petrozavodsk, 185910
V. V. Maltsev
Institute of Medicine, Petrozavodsk State University
Email: arina22@mail.ru
ORCID iD: 0000-0002-5978-1804
Russian Federation, 33, Lenin street, Petrozavodsk, 185910
V. A. Koriachkin
Saint Petersburg State Pediatric Medical University of MH RF
Email: arina22@mail.ru
ORCID iD: 0000-0002-3400-8989
Russian Federation, 2, Litovskay street, Saint-Peterburg, 194100
References
- Zimmerman JE, Kramer AA, Knaus WA. Changes in hospital mortality for United States intensive care unit admissions from 1988 to 2012. Critical Care Medicine. 2013;17(2):81. doi: 10.1186/cc12695.
- Brinkman S, Bakhshi-Raiez F, Abu-Hanna A, de Jong E,de Keizer N. Determinants of mortality after hospital discharge in ICU patients: Literature review and Dutch cohort study. Critical Care Medicine. 2013;41(5):1237–1251. doi: 10.1097/ccm. 0b013e31827ca4f9.
- Cuthbertson BH, Roughton S, Jenkinson D, MacLennan G, Vale L. Quality of life in the five years after intensive care: a cohort study. Critical Care Medicine. 2010;14(1):6. doi: 10.1186/cc8848
- Needham DM, Davidson J, Cohen H, Hopkins RO, Weinert C, Wunsch H, et al. Improving long-term outcomes after discharge from intensive care unit: report from a stakeholders’ conference. Critical Care Medicine. 2012;40(2):502–509. doi: 10.1097/ccm.0b013e318232da75.
- Kyranou M, Puntillo K. The transition from acute to chronic pain: Might intensive care unit patients be at risk? Annals of Intensive Care. 2012;2(1):36. doi: 10.1186/2110-5820-2-36.
- Granja C, Lopes A, Moreira S, Dias C, Costa-Pereira A, Carneiro A. Patients’ recollections of experiences in the intensive care unit may affect their quality of life. Critical Care Medicine. 2005;9(2):96. doi: 10.1186/cc3026
- Orwelius L, Fredrikson M, Kristenson M, Walther S, Sjöberg F. Health-related quality of life scores after intensive care are almost equal to those of the normal population: a multicenter observational study Critical Care Medicine. 2013;17(5):236. doi: 10.1186/cc13059.
- Baumbach P, Götz T, Günther A, Weiss T, Meissner W. Prevalence and characteristics of chronic intensive care-related pain: The role of severe sepsis and septic shock. Critical Care Medicine. 2016;44(6):1129–1137. doi: 10.1097/ccm.0000000000001635
- Battle CE, Lovett S, Hutchings H. Chronic pain in survivors of critical illness: A retrospective analysis of incidence and risk factors. Critical Care Medicine. 2013;17(3):101. doi: 10.1186/cc12746.
- Choiniere M, Watt-Watson J, Victor JC, Baskett RJF, Bussieres JS, Carrier M, et al. Prevalence of and risk factors for persistent postoperative nonanginal pain after cardiac surgery: A 2-year prospective multicentre study. Canadian Medical Association Journal. 2014;186(7):213–223. doi: 10.1503/cmaj.131012.
- Puntillo KA, Max A, Timsit JF, et al. Determinants of procedural pain intensity in the intensive care unit. The Europain study. American Journal of Respiratory and Critical Care Medicine. 2013;189(1):39–47. doi: 10.1164/rccm.201306-1174oc
- Eachempati SR, Hydo LJ, and Barie PS. Factors influencing the development of decubitus ulcers in critically ill surgical patients. Critical Care Medicine. 2001;29(9):1678–1682. doi: 10.1097/00003246-200109000-00004.
- Haroutiunian S, Nikolajsen L, Finnerup NB, Jensen TS. The neuropathic component in persistent postsurgical pain: A systematic literature review. Pain. 2013;154(1):95–102. doi: 10.1016/j.pain.2012.09.010.
- Zhang JM, An J Cytokines, Inflammation and Pain. International Anesthesiology Clinics. 2007;45(2):27–37. doi: 10.1097/aia.0b013e318034194e.
- De Goeij M, van Eijk LT, Vanelderen P, Wilder-Smith OH, Vissers KC, van der Hoeven JG, et al. Systemic inflammation decreases pain threshold in humans in vivo. PLoS ONE. 2013;8(12). doi: 10.1371/journal.pone.0084159.
- Schistad EI, Stubhaug A, Furberg AS, Engdahl BL, Nielsen CS. C-reactive protein and cold-pressor tolerance in the general population: The Tromso Study. Pain. 2017;158(7):1280–1288. doi: 10.1097/j.pain.0000000000000912.
- Latronico N, Filosto M, Fagoni N, Gheza L, Guarneri B, Fagoni N, et al. Small nerve fiber pathology in critical illness. PLoS ONE. 2013;8(9). doi: 10.1371/journal.pone.0075696.
- Axer H, Grimm A, Pausch C, Teschner U, Zinke J, Eisenach S, et al. The impairment of small nerve fibers in severe sepsis and septic shock. Critical Care Medicine. 2016;20(1):64.19. doi: 10.1186/s13054-016-1241-5.
- Baumbach P, Gotz T, Gunther A, Weiss T, Meissner W. Somatosensory functions in survivors of critical illness. Critical Care Medicine. 2017;45(6):567–574. doi: 10.1097/ccm.0000000000002309.
- Latronico N, Shehu I, Seghelini E. Neuromuscular sequelae of critical illness. Current Opinion in Critical Care 2005;11(4): 381–390. doi: 10.1097/01.ccx.0000168530.30702.3e.
- Angel MJ, Bril V, Shannon P, Herridge MS Neuromuscular function in survivors of the acute respiratory distress syndrome. Canadian Journal of Neurological Sciences. 2007;34(4):427–432. doi: 10.1017/s0317167100007307
- Misak CJ. ICU-acquired weakness: obstacles and interventions for rehabilitation. American Journal of Respiratory and Critical Care Medicine. 2011;183(7):845–846. doi: 10.1164/rccm.201007-1110oe.
- Puntillo KA, Naidu R. Chronic pain disorders after critical illness and ICU-acquired opioid dependence: Two clinical conundra. Current Opinion in Critical Care. 2016;22(5):506–512. doi: 10.1097/mcc.0000000000000343.
- Fletcher D, Stamer UM, Pogatzki-Zahn E, Zaslansky R, Tanase NV, Perruchoud C, et al. Chronic postsurgical pain in Europe An observational study. European Journal of Anaesthesiology. 2015;32(10):725–734. doi: 10.1097/eja.0000000000000319.
- Hinrichs-Rocker A, Schulz K, Jarvinen I, Lefering R, Simanski C, Neugebauer EAM. Psychosocial predictors and correlates for chronic post-surgical pain (CPSP) – A systematic review. European Journal of Pain. 2009;13(7):719–730. doi: 10.1016/j.ejpain.2008.07.015.
- Rawal G, Yadav S, Kumar R. Post-intensive Care Syndrome: an Overview. J Transl Int Med. 2017;5(2):90–92. doi: 10.1515/jtim-2016-0016
- Bruce J, Quinlan J. Chronic post-surgical pain. Br J Pain. 2011;17:23–29. doi: 10.1177/204946371100500306.
- Bartley EJ, Fillingim RB. Sex differences in pain: a brief review of clinical and experimental findings. Br J Anaesth. 2013; 111(1):52–8. doi: 10.1093/bja/aet127.
- Gerth AMJ, Hatch RA, Young JD, Watkinson PJ. Changes in health-related quality of life after discharge from an intensive care unit: a systematic review. Anaesthesia. 2019;74(1):100–108. doi: 10.1111/anae.14444.
- Griffith DM, Lewis S, Rossi AG, Rennie J, Salisbury L, Merriweather JL, et al. Systemic inflammation after critical illness: relationship with physical recovery and exploration of potential mechanisms Thorax 2016;71:820–829. doi: 10.1136/thoraxjnl-2015-208114.
- Choi HR, Song IA, Oh TK, Jeon YT. Perioperative C-reactive protein is associated with pain outcomes after major laparoscopic abdominal surgery: a retrospective analysis. J Pain Res. 2019;12:1041–1051. doi: 10.2147/JPR.S187249.
- Timmers TK, Verhofstad MH, Moons KH, van Beeck EF, Leenen LP. Long-term quality of life after surgical intensive care admission. Arch Surg. 2011;17:412–418. doi: 10.1001/archsurg.2010.279.
- Gustafson O. The incidence of shoulder dysfunction in ICU survivors. The incidence of shoulder dysfunction in intensive care survivors. Intensive Care Med. 2012;38:S91–S91.
- Labriola JE, Lee TQ, Debski RE, McMahon PJ. Stability and instability of the glenohumeral joint: the role of shoulder muscles. J Shoulder Elbow Surg. 2005;17:32–38. doi: 10.1016/j.jse.2004.09.014.
Supplementary files
