Comparative analysis of visual analog scales for assessing acute pain in women after radical mastectomy
- Authors: Yaskevich V.V.1, Marochkov A.V.2
-
Affiliations:
- Healthcare Institution “Bobruisk Interdistrict Oncologic Dispensary”
- Healthcare Institution “Mogilev Regional Clinical Hospital”
- Issue: Vol 15, No 2 (2021)
- Pages: 153-162
- Section: Original study articles
- Submitted: 10.12.2021
- Accepted: 10.12.2021
- Published: 15.04.2021
- URL: https://rjraap.com/1993-6508/article/view/90119
- DOI: https://doi.org/10.17816/RA90119
- ID: 90119
Cite item
Abstract
BACKGROUND: Effective quantitative assessment of acute pain as an urgent problem in clinical medicine. One of the solutions to this problem is a color discrete scale (CDS).
AIM: To determine the efficacy of the clinical usage of color discrete scale compared with linear visual analog scale to assess acute pain in women after radical mastectomy.
MATERIALS AND METHODS: This study includes a prospective, observational, and non-randomized clinical trial. A total of 110 females who underwent radical mastectomy (RM) were interviewed. We used a 100-point linear visual analog scale (lVAS) and CDS with monotonic (mCDS) and random (rCDS) color arrangement. Pain was assessed 2, 6, 12, 24, 48, and 72 h after surgery.
RESULTS: Pain scores obtained 2 h after RM were 6 (0; 30), 12 (0; 24), 8 (0; 20) points according to IVAS, mCDS, and rCDS, respectively (p >0.05). Furthermore, the pain scores were gradually reduced on all three scales and had no statistically significant difference (p >0.05). In women who underwent paravertebral blockade (PVB), pain scores were significantly less at 2, 6, 12, and 48 h after surgery (p <0.05). Spearman’s correlation coefficient for lVAS and mCDS is 0.90, 0.86 for lVAS and rCDS, and 0.90 for mCDS and rCDS (all p <0.05).
CONCLUSIONS: The CDS is an alternative, independent, and sufficient tool for quantifying pain. A strong correlation was found between the pain assessments according to CDS and lVAS. PVB significantly improves the quality of pain relief after RM.
Full Text
Количественная оценка острой боли на протяжении многих лет остаётся актуальной проблемой для врачей анестезиологов-реаниматологов и врачей других специальностей. Для количественной оценки острой боли нет однозначных решений и инструментов, которые были бы универсальны в применении, легко воспроизводимы, а результаты соразмерны и сопоставимы в различных клинических группах пациентов.
В попытках решить эту проблему были предложены различные методы и инструменты для оценки острой боли: различные алгезиметры, основанные на применении механических или электрических раздражителей с изменяемой и измеряемой силой воздействия, регистрации кожно-гальванических рефлексов и электрической проводимости кожи; компьютерная электроакупунктура; разнообразные шкалы оценки боли и опросники боли [1–4]. Многие из этих способов имеют историческое значение, некоторые методы получили второе дыхание и опять представлены в качестве инструментов для врачей, занимающихся острой болью и послеоперационным обезболиванием [5, 6].
Наибольшей популярностью для количественной оценки острой боли пользуются различные шкалы оценки боли, наиболее распространёнными являются визуально-аналоговые шкалы. Визуально-аналоговые шкалы представлены разнообразными графическими и техническими решениями. Таковыми являются числовые рейтинговые шкалы, вербальные рейтинговые шкалы, шкалы боли с нарисованными лицами, цветовые шкалы интенсивности боли, линейная визуально-аналоговая шкала (лВАШ) и др. [3, 7]. Самой популярной из визуальных аналоговых шкал является лВАШ, имеющая вид чёрной линии на листе белой бумаги длиной 10 см, где «0» начало отрезка – «нет боли», а окончание отрезка – «самая сильная, невыносимая боль». Оценку боли проводят в баллах, в зависимости от расстояния от ноля до отметки на отрезке, указанной пациентом. Используют 10- или 100-балльную шкалу, в зависимости от выбранной единицы измерения в см или мм [3].
Визуально-аналоговые шкалы просты в использовании, что объясняет их широкое применение в клинической практике.
Однако при использовании визуально-аналоговых шкал необходимо сотрудничество с пациентом, что не всегда возможно. После 60 лет пациенты зачастую не сотрудничают с врачом при предъявлении визуально-аналоговых шкал для количественной оценки острой боли, что приводит к отказу от измерения или получению неинформативной и/или искажённой оценки боли [8]. Причиной этого могут быть различные факторы: непонимание сути измерения, субъективная оценка восприятия боли, когнитивные затраты для использования визуально-аналоговых шкал зачастую являются слишком высокими для ряда пациентов [9].
Решением данной проблемы является применение в клинической практике альтернативных визуально-аналоговых шкал – более простых для восприятия пациентом. Одна из таких шкал – цветовая дискретная шкала (ЦДШ), представляющая собой изменения интенсивности чёрного (серого) цвета – от белого до максимально насыщенного чёрного цвета – в виде 26 прямоугольников, расположенных в один ряд на листе белой бумаги [10].
Цель исследования – определить эффективность клинического применения ЦДШ в сравнении с лВАШ для оценки острой боли у женщин после радикальной мастэктомии.
МАТЕРИАЛЫ И МЕТОДЫ
Проспективное, обсервационное, нерандомизированное клиническое исследование проведено с 2016 по 2020 г. На исследование было получено разрешение Комитета по этике (протокол №14 от 09.12.2016 г.).
Для определения количественных оценок острой боли после радикальной мастэктомии было опрошено 110 женщин. Однако 5 женщин нами были исключены из исследования и дальнейшего анализа по причине возникших у них затруднений при оценке болевых ощущений по предложенным шкалам.
Таким образом, количественные оценки острой боли проанализировали у 105 женщин в возрасте от 34 до 87 лет. Возраст пациенток составил 62 (55;68) года, масса тела – 78 (69; 89) кг, рост – 160 (156; 164) см. Физический статус по АSA: I–III, анестезиологический риск по ААА: 1–3. В 51 случае из 105 (48,6%) хирургическое вмешательство выполняли слева, в оставшихся 54 случаях (51,4%) – справа. В 96 случаях из 105 (91,5%) выполнена радикальная мастэктомия по Маддену, ещё в 8 случаях (7,6%) – радикальная мастэктомия по Пейти, и в 1 случае (0,9%) – по Холстеду. Длительность хирургического вмешательства составила 65 (50; 80) мин.
Для измерения острой боли в послеоперационном периоде применяли 3 визуальные шкалы. Одна шкала – это 100-балльная линейная визуально-аналоговая шкала (лВАШ), представляющая собой отрезок 100 мм, где «0» – нет боли, а «100» – самая сильная, непереносимая боль. 1 мм отрезка принят нами за 1 балл болевого восприятия (рис. 1).
Рис. 1. Линейная визуально-аналоговая шкала (лВАШ)
Fig. 1. Linear visual analog scale (lVAS)
В послеоперационном периоде оценку острой боли производили через 2, 6, 12, 24, 48 и 72 ч. Измерение проводил врач анестезиолог-реаниматолог или медицинская сестра, которой был заранее разъяснен алгоритм проведения оценок острой боли по используемым визуальным аналоговым шкалам.
Рис. 2. Цветовая дискретная шкала (ЦДШ). 2а – с монотонной последовательностью цветов (мЦДШ); 2б – со случайным расположением цветов (сЦДШ)
Fig. 2. Color discrete scale (CDS). 2a – with a monotone sequence of colors (mCDS); 2b – with a random arrangement of colors (rCDS)
Для анестезиологического обеспечения РМЭ применяли два различных метода анестезии. Для изучения влияния метода анестезии на результаты количественного измерения острой боли по визуальным аналоговым шкалам были выделены 2 клинические группы пациенток. У 35 женщин для анестезиологического обеспечения РМЭ применяли многокомпонентную сбалансированную эндотрахеальную анестезию (МСЭА), они сформировали группу 1. У 70 женщин для обеспечения хирургического вмешательства применяли МСЭА в комбинации с паравертебральной блокадой (ПВБ), они включены в группу 2. В этой группе блокаду проводили до индукции в анестезию. Применяли ультразвуковой контроль, многоинъекционную методику ПВБ на уровнях с Th-1 по Th-6 и однократное введение 0,75% раствора ропивакаина от 1,5 до 3,0 мл на каждом уровне.
Статистически значимых различий между выделенными группами по возрасту, росту, массе тела не выявлено (p >0,05). Также группы значимо не различались по классу физического статуса по ASA, анестезиологическому риску по ААА, стороне и объёму операции (p >0,05), длительности оперативного вмешательства (p >0,05). Сравнительная характеристика групп 1 и 2 представлена в таблице 1.
После операции с целью обезболивания пациентам назначали внутримышечно кеторолак 30 мг через каждые 8 ч. При сохранении болевого синдрома дополнительно применяли 5% раствор трамадола – 2,0 мл или 1% раствор промедола – 1,0 мл.
Статистический анализ проводили с помощью программы StatPlus Версия 7 (AnalystSoft Inc., USA). Для оценки распределения применяли критерий Шапиро-Уилка. При распределении отличном от нормального для представления количественных данных использовали медиану (Ме), первый (Q1) и третий (Q3) квартили. Качественные номинальные признаки представлены в виде абсолютных и относительных частот, для качественных порядковых признаков использовали медиану (Ме), первый (Q1) и третий (Q3) квартили. Для сравнения 2 независимых групп применяли критерий Манна-Уитни, для сравнения 3 независимых групп применяли критерий Краскела-Уоллиса. Для сравнения 2 независимых групп номинальных данных применяли критерий χ2 Пирсона, если количество ожидаемых наблюдений в одной из ячеек менее 10, то использовали χ2 с поправкой Йетса на непрерывность, или точный критерий Фишера, если количество ожидаемых наблюдений в одной из ячеек было менее 5. Корреляционный анализ проводили с помощью коэффициента ранговой корреляции Спирмена. Различия считали статистически значимыми при р <0,05.
РЕЗУЛЬТАТЫ
Из 110 опрошенных женщин 5 пациенток были исключены из исследования. Из них 2 женщины не поняли сути всех предложенных шкал и отказались от сотрудничества. Их возраст составил 64 и 75 лет. Ещё 3 – не смогли оценить свои болевые ощущения по лВАШ, однако отметили цветовые прямоугольники на предложенных ЦДШ. Во всех 3 случаях наибольшие оценки боли по ЦДШ не превысили 12 баллов, в пересчёте на 100-балльную систему измерения. Возраст этих женщин составил 61, 64 и 74 года.
Количество отказов по лВАШ составило 5 (4,5%) человек, из них отказались от оценки и по ЦДШ – 2 (1,8%) человека. Значимости различий по количеству отказов между различными шкалами не выявлено (критерий Фишера, р >0,05).
Таблица 1. Характеристика групп 1 и 2, Me(Q1;Q3)
Table 1. Characteristics of groups 1 and 2, Me (Q1; Q3)
Оцениваемые параметры | Группа 1 (n=35) | Группа 2 (n=70) | p |
Возраст, лет | 64 (56;72) | 61 (55;68) | 0,181 |
Рост, см | 160 (156;164) | 161 (156;164) | 0,411 |
Масса тела, кг | 78 (69;84) | 78 (69;92) | 0,751 |
ИМТ, кг/м2 | 30 (27;35) | 30 (26;35) | 0,981 |
Физический статус по АSA, I-II/III-IV (n) | 25/10 | 61/9 | 0,092 |
Анестезиологический риск по ААА, I-II/III-IV (n) | 25/10 | 61/9 | 0,092 |
Объём операции: - Мадден (n) / Пейти + Холстед (n) | 32/3 | 64/6 | 1,03 |
Длительность операции, мин | 60 (45;80) | 65 (55;80) | 0,161 |
Сторона операции, левая/правая (n) | 21/14 | 30/40 | 0,094 |
Примечания: 1 – критерий Манна-Уитни, 2 – критерий χ2 Пирсона с поправкой Йетса на непрерывность, 3 – точный критерий Фишера, 4 – критерий χ2 Пирсона.
Всего по каждой шкале было получено и проанализировано 630 измерений оценок острой боли.
Из 105 женщин у 25 (23,8%), возраст которых составил 64 (57;68) года, отмечено 35 случаев (5,6%), когда по одной из шкал человек отмечал нулевое значение, но по другой шкале давал оценку, отличную от ноля.
В таблице 2 можно видеть количество этих случаев и время после операции, когда получена оценка.
В 24 (69%) из 35 случаев пациенты отметили по лВАШ «0» баллов, но по ЦДШ оценки составили от 4 до 16 баллов. Так, оценки по мЦДШ составили 4 (4;8) балла, по сЦДШ – 8 (4;8) баллов. Все эти случаи зарегистрированы в течение первых 24 ч после операции, когда отмечена наибольшая выраженность болевого синдрома после РМЭ. Через 48 и 72 ч не было отмечено ни одного такого случая.
В 11 (31%) из 35 случаев респондентами по лВАШ отмечено от 1 до 5 баллов из 100, однако по обоим вариантам ЦДШ ими был выбран белый цвет – 0 баллов. Таким образом, женщины по цветовой дискретной шкале ассоциировали свои болевые ощущения с белым цветом. В большинстве случаев (8 из 11) такие оценки даны через 48–72 ч после операции, т.е. когда происходит объективное уменьшение болевого синдрома. Различие по количеству случаев несовпадения нулевых отметок по шкалам лВАШ и ЦДШ было статистически значимо (р <0,05).
Полученные количественные оценки боли после РМЭ по трём шкалам представлены в таблице 3.
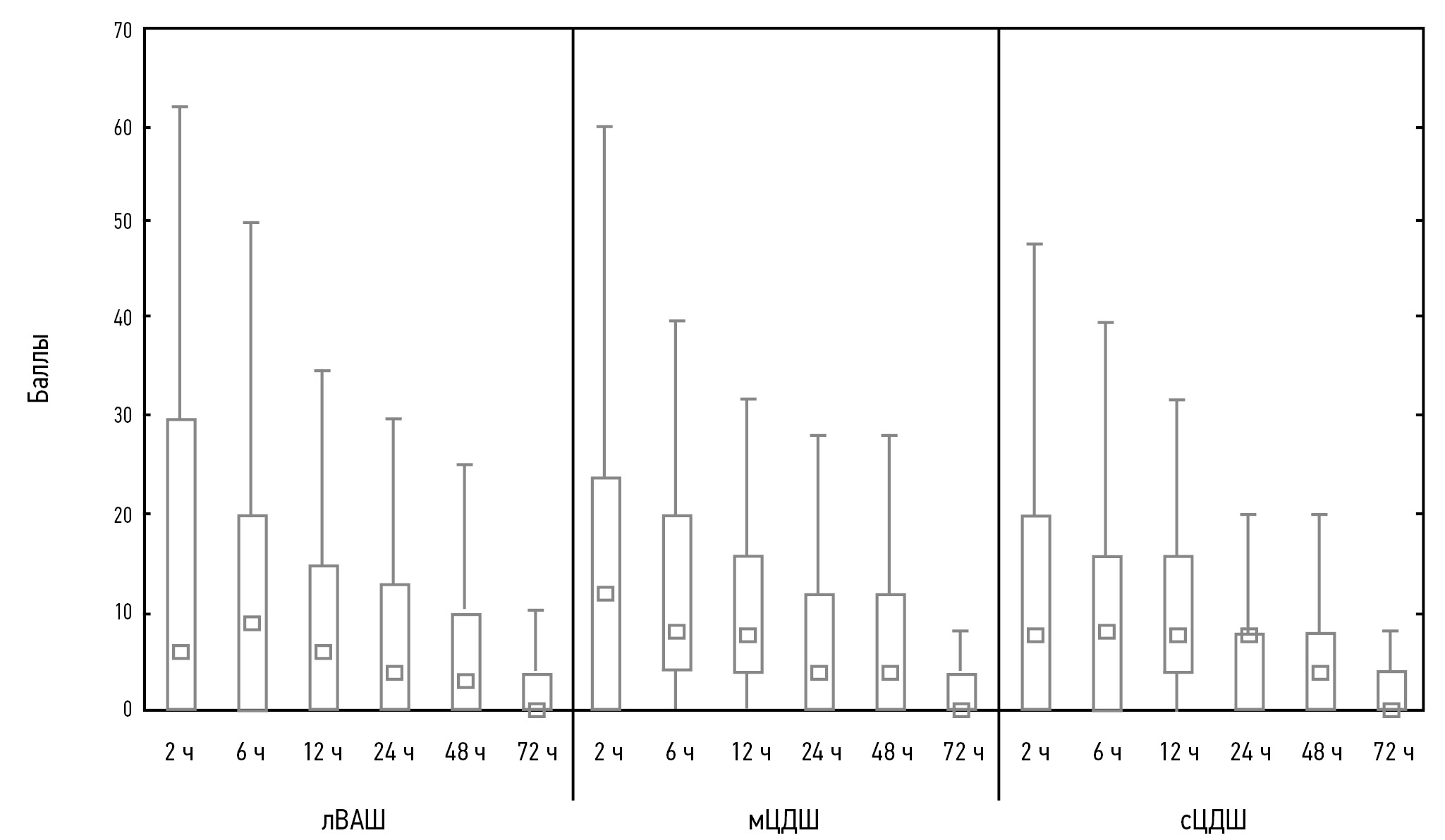
Оценки острой боли через 2 ч после РМЭ по 100-балльной лВАШ составили 6 (0;30) баллов, по мЦДШ – 12 (0;24) и по сЦДШ – 8 (0;20) баллов. Имеет место поэтапное снижение оценок острой боли по всем 2 шкалам на протяжении всего периода наблюдения. Через 72 ч оценки по всем трём шкалам близки к нулевой отметке. Не выявлено статистической значимости различий между оценками острой боли по трём шкалам на всех этапах наблюдения (p >0,05)
Динамика оценок болевого синдрома у пациентов в послеоперационном периоде и полученные максимальные оценки по трём шкалам представлены на рисунке 3.
Таблица 2. Количество случаев несовпадения «нулевых» отметок по лВАШ и ЦДШ
Table 2. The number of cases of non-coincidence of “zero” marks on the scales lVAS and CDS
Вариант несовпадения | 2 ч | 6 ч | 12 ч | 24 ч | 48 ч | 72 ч | Итого |
лВАШ=0, ЦДШ≠0 (n) | 4 | 5 | 10 | 5 | - | - | 24 |
лВАШ≠0, ЦДШ=0 (n) | - | 1 | 2 | - | 2 | 6 | 11 |
Максимальные оценки острой боли приходятся на первые 2 ч после операции и достигают 60 баллов по мЦДШ и 62 балла по лВАШ, по сЦДШ – 48 баллов.
Для определения влияния анестезиологического обеспечения на оценки острой боли после РМЭ проведено сравнение оценок боли по трём шкалам между двумя группами пациенток.
Таблица 3. Оценки острой боли по трём различным 100-балльным визуально-аналоговым шкалам, Me(Q1;Q3)
Table 3. Acute pain scores on three different visual analogue scales on a 100-point scale, Me(Q1;Q3)
Шкала | 2 ч | 6 ч | 12 ч | 24 ч | 48 ч | 72 ч |
лВАШ | 6 (0;30) | 9 (0;20) | 6 (0;15) | 4 (0;13) | 3 (0;10) | 0 (0;4) |
мЦДШ | 12 (0;24) | 8 (4;20) | 8 (4;16) | 4 (0;12) | 4 (0;12) | 0 (0;4) |
сЦДШ | 8 (0;20) | 8 (0;16) | 8 (4;16) | 8 (0;8) | 4 (0;8) | 0 (0;4) |
р | 0,944 | 0,929 | 0,372 | 0,772 | 0,962 | 0,887 |
Примечание. Для статистического анализа применяли критерий Краскела-Уоллиса.
Результаты количественного определения острой боли у женщин после РМЭ с различным анестезиологическим обеспечением представлены в таблице 4.
Рис. 3. Оценка болевого синдрома по лВАШ, мЦДШ и сЦДШ, (Me (Q1;Q3), max, min)
Fig. 3. Assessment of the pain syndrome according to lVASH, mCDS and rCDS, (Me (Q1;Q3), max, min)
Через 2 ч после РМЭ в группе 1 оценки боли составили по лВАШ – 22 (3;39), мЦДШ – 16 (8;36), сЦДШ – 16 (8;44) баллов. В группе 2 в это же время зарегистрированы по лВАШ – 5 (0;20), мЦДШ – 8 (0;20), сЦДШ – 8 (0;16) баллов. Различия между группами статистически значимы (р <0,05). Также значимо большие оценки острой боли отмечены в группе 1 через 6, 12 и 48 ч (р <0,05). Через 24 и 72 ч после операции достоверных различий в интенсивности болевого синдрома между группами пациентов не выявлено (р >0,05).
Наибольшие оценки болевого синдрома после РМЭ зарегистрированы в течение 1-х сут после операции. Однако в 1-е сут после РМЭ не требовали какого-либо дополнительного обезболивания в группе 1, где ПВБ не применяли 14% (5 из 35) женщин, в группе 2, где применяли ПВБ, – 54% (38 из 70) пациенток, при этом в назначении наркотических анальгетиков в группе 1 нуждались 40% (14 из 35), в группе 2 – 7% (5 из 70) пациенток. Выявленные различия между группами были статистически значимы (р <0,05).
При использовании двух шкал лВАШ и ЦДШ были получены сопоставимые результаты в балльной оценке острой боли. Выявлена высокая степень корреляции балльных оценок боли между шкалами лВАШ и мЦДШ (коэффициент корреляции Спирмена, rs=0,90, p <0,001). Для лВАШ и сЦДШ коэффициент корреляции Спирмена составил 0,86 при р <0,001. Между ЦДШ с монотонной и случайной последовательностью расположения цветов коэффициент корреляции составил 0,90 при p <0,001. Таким образом была установлена высокая степень корреляционной связи между всеми тремя шкалами.
Таблица 4. Оценка болевого синдрома у пациентов в послеоперационном периоде по лВАШ в группах 1 и 2, Me(Q1;Q3)
Table 4. Assessment of pain syndrome of patients in the postoperative period by lVAS in groups 1 and 2, Me (Q1; Q3)
Время после операци, ч | Шкала | Группа 1 (МСЭА) (n=35) | Группа 2 (МСЭА+ПВБ) (n=70) | p |
2 | лВАШ | 22 (3;39) | 5 (0;20) | 0,001 |
мЦДШ | 16 (8;36) | 8 (0;20) | 0,001 | |
сЦДШ | 16 (8;44) | 8 (0;16) | 0,016 | |
6 | лВАШ | 15 (2;30) | 5 (0;15) | 0,003 |
мЦДШ | 12 (8;24) | 4 (0;20) | 0,019 | |
сЦДШ | 12 (8;20) | 8 (0;16) | 0,010 | |
12 | лВАШ | 10 (4;22) | 5 (0;12) | 0,012 |
мЦДШ | 12 (4;24) | 8 (0;16) | 0,039 | |
сЦДШ | 8 (8;24) | 8 (0;16) | 0,044 | |
24 | лВАШ | 5 (0;15) | 3 (0;12) | 0,348 |
мЦДШ | 8 (0;12) | 4 (0;12) | 0,395 | |
сЦДШ | 8 (0;8) | 8 (0;16) | 0,758 | |
48 | лВАШ | 6 (0;17) | 2 (0;8) | 0,029 |
мЦДШ | 8 (0;20) | 2 (0;8) | 0,041 | |
сЦДШ | 8 (0;16) | 0 (0;8) | 0,064 | |
72 | лВАШ | 1 (0;8) | 0,0 (0;3) | 0,136 |
мЦДШ | 0 (0,0;8) | 0 (0;4) | 0,438 | |
сЦДШ | 0 (0;8) | 0 (0;4) | 0,479 |
Примечание. Для статистического анализа использован критерий Манна-Уитни.
ОБСУЖДЕНИЕ
Во всех случаях отказов от использования визуально-аналоговых шкал возраст респондентов был старше 60 лет. Это свидетельствует о возникающем затруднении в количественной оценке острой боли по лВАШ у пациентов данной возрастной группы. В исследованиях других авторов также имеются указания на возникающие затруднения при оценке острой боли у пациентов старше 50–60 лет [8, 9].
В результате исследования было выявлено, что после РМЭ наибольшие средние оценки острой боли по всем трём шкалам приходятся на первые 12 ч после операции, однако они не превышают 15 ББВ по 100-балльной шкале. Это значительно меньше, чем указано в целом ряде работ [11, 12]. Так, средние оценки боли в 1-е сут после РМЭ по 10-балльной цифровой рейтинговой шкале составляют 3,8 балла [12]. Среди операций, ранжированных по критерию интенсивности послеоперационной боли в 1-е сут, операция в объёме РМЭ c подмышечной лимфодиссекцией сопоставима с радикальной цистэктомией, нефрэктомией и гистерэктомией [12]. Однако имеются данные, что после РМЭ оценки боли могут достигать 8 баллов по 10-балльной шкале [13].
В нашем исследовании невысокие оценки острой боли после РМЭ связаны с тем, что у 70 женщин (67%) общую анестезию комбинировали с паравертебральной блокадой, а 35 женщин (33%) оперировали в условиях только общей анестезии. Данные оценок острой боли, схожие с опубликованными другими авторами, получены нами у женщин после РМЭ в условия МСЭА без ПВБ – оценки боли через 2 ч составили 22 (3;39) балла по лВАШ. Тогда как у женщин, которым применяли ПВБ оценки острой боли были значимо меньше и составили 5 (0;20) баллов из 100. Анализ оценок, полученных по визуально-аналоговым шкалам, показал достоверно меньшую выраженность интенсивности болевого синдрома у женщин после комбинированной анестезии при измерении через 2, 6, 12 и 48 ч после оперативного вмешательства (р <0,05). Через 24 ч средние оценки острой боли в обеих группах снизились и были менее 10 ББВ из 100. Это объясняется тем, что ПВБ проводили c однократным введением местного анестетика (ропивакаин). Поэтому длительность обезболивающего действия ПВБ составила 12 ч. Через 48 ч средние оценки боли в группе 1 оставались низкими – от 6 до 8 баллов, но они были значимо выше, чем в группе 2 – от 0 до 2 баллов по 100-балльной шкале. Данный факт мы объясняем положительным действием блокады – снижением болевой чувствительности, несмотря на окончание действия блокады. Через 72 ч средние оценки острой боли близки к нулю по всем трём шкалам в обеих группах.
До 40–50% женщин после выполненной РМЭ с подмышечной лимфодиссекцией в послеоперационном периоде испытывают клинически значимую острую боль [11, 12]. Сопоставимые данные были получены в группе женщин, где РМЭ выполняли в условиях МСЭА без блокады.
В группе женщин, где применяли МСЭА и ПВБ, отмечено уменьшение острой боли после операции, что выразилось в низких оценках острой боли по визуально-аналоговым шкалам и значимом уменьшении частоты назначения наркотических анальгетиков. Положительное влияние ПВБ после операции подтверждено в ряде работ, где убедительно доказано, что ПВБ улучшает качество послеоперационного обезболивания и уменьшает частоту развития хронического болевого синдрома [11, 14].
Количественная оценка острой боли после РМЭ двумя различными визуальными шкалами показала, что подвергнутые анализу шкалы имеют высокую эффективность и высокий коэффициент корреляции.
Способ оценки боли, основанный на выборе цвета, активно исследуется и применяется в клинической практике [15]. Так, различные ассоциативные выборы цветовой гаммы и болевых ощущений представлены в различных шкалах-опросниках. Например, многомерный вербально-цветовой болевой тест [15]. В ряде случаев уже существующие шкалы сочетают с цветовой гаммой: на лВАШ накладывают цвета от зеленого (наименьшее значение) до красного (наибольшее значение) – визуально-аналоговая шкала с улучшенным цветом, или на шкале боли Вонга–Бейкера лица раскрашены различными цветами – зелёным, синим, красным и др. [15–17].
Эффективность применения ЦДШ была доказана в ряде работ ранее у пациентов различных клинических групп [10, 18]. Во всех случаях ЦДШ демонстрирует сильную корреляционную связь с лВАШ, что подтверждает её клиническую эффективность.
По результатам нашего исследования также установлена сильная корреляционная связь между всеми тремя визуально-аналоговыми шкалами – коэффициент корреляции между шкалами составил от 0,86 до 0,9 при р <0,05.
Таким образом, ЦДШ может выступать как дублирующая система для оценки боли по лВАШ, так и быть самостоятельным инструментом для оценки острой боли с получением валидных результатов в различных клинических группах пациентов. Кроме того, ЦДШ позволяет проводить оценку острой боли при затруднениях в оценке боли по лВАШ у пациентов старше 60 лет. При одновременном применении двух визуальных шкал лВАШ и ЦДШ при исследовании болевого синдрома повышается точность измерения для результатов исследования.
ВЫВОДЫ:
- ЦДШ является альтернативным, самостоятельным и достаточным инструментом для количественной оценки боли у пациентов после РМЭ.
- Результаты количественной оценки боли по ЦДШ характеризуются сильной корреляционной связью с результатами, полученными по лВАШ, при этом ЦДШ вызывает меньшие затруднения и меньшую частоту отказов у пациентов старше 60 лет.
- Наибольшие оценки острой боли после РМЭ отмечаются в 1-е сут после операции. ПВБ значимо улучшает качество обезболивания после РМЭ.
ДОПОЛНИТЕЛЬНО
Источник финансирования. Авторы заявляют об отсутствии внешнего финансирования при проведении исследования.
Конфликт интересов. Авторы декларируют отсутствие явных и потенциальных конфликтов интересов, связанных с публикацией настоящей статьи.
Вклад авторов. Все авторы подтверждают соответствие своего авторства международным критериям ICMJE (все авторы внесли существенный вклад в разработку концепции, проведение исследования и подготовку статьи, прочли и одобрили финальную версию перед публикацией).
Funding source. This study was not supported by any external sources of funding.
Competing interests. The authors declare that they have no competing interests.
Author contribution. All authors confirm the compliance of their authorship, according to international ICMJE criteria (all authors made a substantial contribution to the conception of the work, acquisition, analysis, interpretation of data for the work, drafting and revising the work, final approval of the version to be published).
About the authors
Valery V. Yaskevich
Healthcare Institution “Bobruisk Interdistrict Oncologic Dispensary”
Author for correspondence.
Email: varera@tut.by
ORCID iD: 0000-0001-7428-7823
anaesthesiologist-resuscitator
Belarus, BobruiskAlexey V. Marochkov
Healthcare Institution “Mogilev Regional Clinical Hospital”
Email: varera@tut.by
ORCID iD: 0000-0001-5092-8315
MD, PhD, DSc, Professor
Belarus, MogilevReferences
- Gerasimov AA. O stadijah razvitija hronicheskogo bolevogo sindroma. Russian Journal of Pain. 2016;2:14–5 (In Russ).
- Milushkina OI, Peskov AB, Galushina IA. Algometric possibilities of the computer electroacupuncture аt the chronic abdominal pain. Journal of New Medical Technologies. 2008;15(2):152–4 (In Russ).
- Mokhov EM, Kadykov VA, Sergeev AN, et al. Pain scoring systems and their application features in medicine (literature review). Upper Volga Medical Journal. 2019;18(2):34–7 (In Russ).
- de Jesus JAL, Campos Júnior D, Storm H, et al. Skin conductance and behavioral pain scales in newborn infants. Psychol Neurosci. 2015;8(2):203–10. doi: 10.1037/h0101058
- Fratino S, Peluso L, Talamonti M, et al. Evaluation of Nociception Using Quantitative Pupillometry and Skin Conductance in Critically Ill Unconscious Patients: A Pilot Study. Brain Sci. 2021;11:109. doi: 10.3390/brainsci11010109
- Levina GY, Bykov YN, Borisov AS. Diagnostics and therapy of peripheral neuropathy (literature review). Acta Biomedica Scientifica (East Siberian Biomedical Journal). 2015.1:72–6 (In Russ).
- Morozov AM, Zhukov SV, Belyak MA, et al. About the possibilities of evaluating a pain syndrome using the most validized pain scales. Journal of New Medical Technologies. 2020;27(2):62–8 (In Russ).
- Popadyuk VI, Kastyro IV, Chuluunbaatar SS, Drozdova GA. Age-specificity in acute pain syndrome measurement in otorhinolaryngology. RUDN Journal of Medicine. 2012;(2):94–9 (In Russ).
- Zabolotskikh IB, Gorobets ES, Grigor’ev EV, et al. Perioperative management of geriatric patients. Russian Journal of Anаеsthesiology and Reanimatology. 2018;(1):5–20. doi: 10.17116/anaesthesiology201801-0215 (In Russ).
- Marochkov AV, Iakimov DA. Evaluation of the efficiency of using two different visual scales for quantitative measurement of acute pain. Russian journal of Anaesthesiology and Reanimatology. 2008;4:50–52 (In Russ).
- Ovechkin AM. Chronic postoperative pain syndrome – «a pitfall» of modern surgery. Regional Anesthesia and Acute Pain Management. 2016;10(1):5–18. doi: 10188.21/1993-6508-2016-10-1-5-18 (In Russ).
- Gerbershagen HJ, Aduckathil S, van Wijck AJ, et al. Pain intensity on the first day after surgery: a prospective cohort study comparing 179 surgical procedures. Anesthesiology. 2013;118(4):934–944. doi: 10.1097/ALN.0b013e31828866b3
- Jaffe RA, Golianu B, Schmiesing CA, editors. Anesthesiologist’s manual of surgical procedures. Lippincott: Williams & Wilkins; 2014.
- Khoronenko VE, Malanova AS, Baskakov DS, et al. Regional and peripheral blockades for prevention of chronic post-thoracotomy pain syndrome in oncosurgical practice. Pirogov Russian Journal of Surgery. 2017;(8):58–63. doi: 10.17116/hirurgia2017858-63 (In Russ).
- Tishkov DS, Bobyncev II. The study of the level of intensity of pain in patients with trigeminal neuralgia on the background of complex therapy phisiobalneotherapy. Physiotherapist. 2016;(2):23–28. (In Russ).
- Morozov AM, Sergeev AN, Zhukov SV, et al. About the possibility of using scales of pain in the conditions of a hospital. Modern problems of science and education. 2020;(4):148. doi: 10.17513/spno.29862 (In Russ).
- Le May S, Ballard A, Khadra C, et al. Comparison of the psychometric properties of 3 pain scales used in the pediatric emergency department: Visual Analogue Scale, Faces Pain Scale-Revised, and Colour Analogue Scale. Pain. 2018;159(8):1508–1517. doi: 10.1097/j.pain.0000000000001236
- Nesteruk SF, Marochkov AV, Marochkova NA. Kolichestvennaya otsenka vospriyatiya ostroy boli u beremennykh. Okhrana materinstva i detstva. 2011;(2):65–69 (In Russ).
Supplementary files





