Оценка результатов комбинированного лечения пациентов с диссеминированным раком яичников
- Авторы: Юрова М.В.1,2, Хабас Г.Н.2, Павлович С.В.1,2
-
Учреждения:
- ФГАОУ ВО «Первый Московский государственный медицинский университет им. И.М. Сеченова» Минздрава России (Сеченовский Университет)
- ФГБУ «Национальный медицинский исследовательский центр акушерства, гинекологии и перинатологии им. акад. В.И. Кулакова» Минздрава России
- Выпуск: Том 24, № 2 (2022)
- Страницы: 132-139
- Раздел: ОРИГИНАЛЬНАЯ СТАТЬЯ
- Статья опубликована: 15.04.2022
- URL: https://gynecology.orscience.ru/2079-5831/article/view/104395
- DOI: https://doi.org/10.26442/20795696.2022.2.201438
- ID: 104395
Цитировать
Полный текст
Аннотация
Актуальность. Согласно современной концепции хирургического лечения рака яичников (РЯ), необходимо выполнить циторедуктивную операцию (ЦРО) без остаточной опухоли, однако возможности достижения полной ЦРО при диссеминированном процессе (III–IV стадии) ограничены, в связи с чем некоторым пациентам на I этапе лечения выполняют индукционную неоадъювантную химиотерапию (НАХТ).
Цель. Сравнить длительность выживаемости без прогрессирования (ВБП) у пациентов с распространенным РЯ после лечения, а также оценить значение прогностического нутритивного статуса в предикции данного исхода.
Материалы и методы. В исследование были включены 78 пациентов с III–IV стадиями РЯ по классификации Международной федерации акушеров и гинекологов, которые получали комбинированное лечение в НМИЦ «АГП им. акад. В.И. Кулакова» с января 2016 по март 2020 г. Первичную ЦРО (ПЦРО)+платиносодержащую химиотерапию (ХТ) прошли 54 пациента; НАХТ+интервальную ЦРО (ИЦРО)+послеоперационную ХТ провели 24 женщинам. Проанализирована предикторная значимость прогностического нутритивного индекса (ПНИ).
Результаты. Достижение полной ПЦРО сопровождается удлинением ВБП: после полной ПЦРО – 32±11,21 мес (95% доверительный интервал – ДИ 10,09–53,97); после оптимальной ПЦРО – 22±3,46 мес (95% ДИ 15,21–28,79); после неоптимальной ПЦРО – 14±7 мес (95% ДИ 0,28–27,72). Выполнение полной ИЦРО сопровождается статистически значимым сокращением ВБП по сравнению с ПЦРО даже при условии выполнения операции без остаточной опухоли: после полной ИЦРО – 14±3,34 мес (95% ДИ 7,46–20,54); после оптимальной ИЦРО – 17±2,16 мес (95% ДИ 12,77–21,23); после неоптимальной ИЦРО – 7 мес. ПНИ≥27,86 сопровождается повышением вероятности выполнения ПЦРО без остаточной опухоли у пациентов с распространенным РЯ (AUC 94,3, чувствительность – 80%, специфичность – 91,7%; р<0,001).
Заключение. Показана целесообразность стремления выполнять полную ПЦРО пациентам с распространенным РЯ. Выявлена прогностическая ценность учета ПНИ при планировании ПЦРО: повышение ПНИ сопряжено с более благоприятными периоперационными исходами. Следует разрабатывать объективные критерии для строго аргументированного отказа от проведения I этапом хирургического лечения в связи с заведомо менее благоприятным прогнозом тактики «НАХТ+ИЦРО+ХТ».
Ключевые слова
Полный текст
Введение
В структуре заболеваемости злокачественными новообразованиями среди женского населения РФ на рак яичников (РЯ) приходится 4,1% [1]. В структуре пациентов с заболеванием от 3 до 14% составляют женщины репродуктивного возраста [1–4]. Смертность от РЯ в РФ занимает 2-е место после рака молочной железы, опережая злокачественные новообразования остальных органов репродуктивной системы [1, 5]. По данным А.Д. Каприна и соавт., из числа впервые выявленных злокачественных новообразований в России в 2020 г. удельный вес РЯ, выявленного на III стадии, составляет 38,8%, на IV стадии – 20,6% [6].
Объем и характер первичного лечения оказывают решающее влияние на прогноз выживаемости пациента и качество его жизни. Согласно данным мировых сообществ ESMO-ESGO (The European Society for Medical Oncology, The European Society of Gynaecological Oncology, страны Европы) [7, 8], NCCN (National Comprehensive Cancer Network, США) [9], регламентирующих тактику на основании релевантных рекомендаций и принципов доказательной медицины, более благоприятные онкологические исходы (общая выживаемость, выживаемость без прогрессирования – ВБП) при РЯ обеспечивает полная циторедуктивная операция (ЦРО), однако возможности ее достижения ограничены, в связи с чем некоторым пациентам на I этапе лечения выполняют индукционную неоадъювантную химиотерапию (НАХТ) [10, 11]. Выбор в пользу одной из тактик по-прежнему представляет собой сложную задачу для клинициста и требует дальнейшего исследования для конкретизации противопоказаний к первичной ЦРО (ПЦРО) и показаний к НАХТ с последующей интервальной ЦРО (ИЦРО) и для объективизации и валидации индексов, которые учитывают значимые факторы исходов лечения при распространенном раке яичников.
Цель исследования – оценить длительность ВБП у пациентов с распространенным РЯ после лечения, а также значение прогностического нутритивного индекса (ПНИ) в предикции данного исхода.
Материалы и методы
В исследование были включены 78 пациентов с III–IV стадиями РЯ по классификации Международной федерации акушеров и гинекологов, которые получили хирургическое лечение по поводу заболевания по одной из схем в период с января 2016 по март 2020 г. в отделении инновационной онкологии и гинекологии НМИЦ «АГП им. акад В.И. Кулакова». Комбинированное лечение заключалось в выполнении хирургического и химиотерапевтического этапов: 54 пациентам после ПЦРО была проведена платиносодержащая химиотерапия (ХТ), 24 пациента на I этапе лечения прошли 3–4 курса НАХТ, затем интервальную ЦРО и 3–4 курса послеоперационной платиносодержащей ХТ (карбоплатин AUC 6+паклитаксел 175 мг/м2, где AUC, area under the curve, – это целевое содержание карбоплатина, соответствующее площади под кривой, отображающей зависимость концентрации карбоплатина от времени).
ЦРО включала лапаротомию, ревизию органов брюшной полости, аспирацию асцита и смывов с брюшины диафрагмы и латеральных каналов для цитологического исследования, экстирпацию матки с придатками, оментэктомию на уровне поперечной ободочной кишки и при наличии идентифицируемых проявлений заболевания – тотальную или субтотальную, в том числе тазовую, перитонэктомию и мультивисцеральную резекцию (удаление метастатически пораженных аппендикса, круглой связки печени, стриппинг куполов диафрагмы, селезенки, резекция кишечника, стенки мочевого пузыря), лимфаденэктомию (удаление визуально измененных лимфатических узлов, в том числе кардиодиафрагмальной группы) [12, 13]. Мы изучили клинико-лабораторные данные (возраст и индекс массы тела – ИМТ, значения маркера Cancer Antigen 125 – СА 125), объем асцитической жидкости, рассчитали индекс перитонеального канцероматоза (ИПК), индекс коморбидности Чарлсона и ПНИ. Проанализированы частота наступления рецидива и длительность ВБП у пациентов, которым выполнили полную, оптимальную или неоптимальную ЦРО.
Методы статистического анализа данных. Количественные показатели, имевшие нормальное распределение, описывали с помощью средних арифметических величин (M) и стандартных отклонений (SD), границ 95% доверительного интервала (95% ДИ), при отсутствии нормального распределения – с помощью медианы (Me) и нижнего и верхнего квартилей (Q1–Q3). По количественному показателю, имевшему нормальное распределение, группы сравнивали с помощью t-критерия Стьюдента, при ненормальном распределении – с помощью U-критерия Манна–Уитни. Процентные доли при анализе многопольных таблиц сопряженности сравнивали, используя хи-квадрат Пирсона. Прогностическую модель вероятности определенного исхода строили при помощи метода логистической регрессии. Для оценки диагностической значимости количественных признаков при прогнозировании определенного исхода применяли метод анализа ROC-кривых (receiver operating characteristic). Разделяющее значение количественного признака в точке cut-off определяли по наивысшему значению индекса Юдена. Различия показателей считали статистически значимыми при p<0,05. Статистический анализ проводили в программах IBM SPSS Statistics v26 (США) и StatTech v2.4.8 (ООО «Статтех», Россия).
Результаты
Распределение пациентов по подгруппам в зависимости от I этапа лечения и результата ЦРО приведено в табл. 1. Подгруппы были сопоставимы по частоте выполнения операции без остаточной опухоли и с остаточной опухолью размерами до 10 мм (p=0,281; ОШ 1,81, 95% ДИ 0,612–5,352). Клиническая характеристика пациентов приведена в табл. 2.
Таблица 1. Подгруппы пациентов в зависимости от проведенного лечения Table 1. Groups of patients depending on the initial treatment | ||
Остаточная опухоль | I этап лечения | |
ПЦРО (n=54) | НАХТ (n=24) | |
Отсутствует, полная ЦРО, абс. (%) | 38 (70,37) | 14 (58,33) |
≤10 мм, оптимальная ЦРО, абс. (%) | 12 (22,22) | 8 (33,33) |
>10 мм, неоптимальная ЦРО, абс. (%) | 4 (7,41) | 2 (8,33) |
Таблица 2. Клинические характеристики пациентов в группах Table 2. The clinical characteristics of patients | |||||||||
Показатели | НАХТ+ИЦРО+ХТ | ПЦРО+ХТ | р | ||||||
M±SD/Me | 95% ДИ/Q₁–Q₃ | min | max | M±SD/Me | 95% ДИ/Q₁–Q₃ | min | max | ||
Возраст, лет, M±SD | 59±12 | 54–65 | 36 | 79 | 53±9 | 50–55 | 37 | 72 | 0,018** |
ИМТ, кг/м2, Me | 24 | 22–31 | 19 | 46 | 25 | 22–28 | 19 | 48 | 0,74 |
Индекс Чарлсона, баллы, Me | 8 | 7–8 | 6 | 10 | 7 | 7–8 | 6 | 12 | 0,281 |
ПНИ, M±SD* | 33±4 | 31–35 | 27 | 40 | 30 | 27–32 | 18 | 38 | 0,012*** |
СА 125, Ед/мл, Me | 751 | 548–2109 | 200 | 7344 | 270 | 116–669 | 10 | 7318 | <0,001*** |
ИПК, баллы, Me | 9 | 6–14 | 2 | 27 | 9±6 | 8–11 | 0 | 27 | н/п |
Объем асцита, мл, Me | 300 | 125–750 | 0 | 6500 | 100 | 10–300 | 0 | 4700 | 0,036*** |
Время операции, мин, M±SD | 195±62 | 168–223 | 90 | 310 | 240±77 | 218–262 | 115 | 385 | 0,019** |
Полная (ПЦРО: M±SD, ИЦРО: Ме) | 205 | 169–259 | р=0,108 | 237±77 | 211–262 | р=0,606 | |||
Оптимальная (ПЦРО: M±SD, ИЦРО: Ме) | 155 | 140–169 | 250±77 | 201–299 | |||||
Объем кровопотери, мл, Me | 300 | 200–500 | 150 | 800 | 450 | 300–738 | 150 | 3000 | 0,164 |
Полная, Ме | 300 | 200–500 | р=0,836 | 500 | 225–738 | р=0,891 | |||
Оптимальная, Ме | 300 | 238–538 | 400 | 300–650 | |||||
Койко-дни после ЦРО, Me | 11 | 8–13 | 7 | 25 | 11 | 9–13 | 6 | 28 | 0,76 |
Категориальные переменные | |||||||||
Категория | Значение | НАХТ | ПЦРО | p | |||||
Мутация в гене BRCA ОШ 0,400, 95% ДИ 0,08–2,002 | да | 2 (9,1) | 10 (20,0) | 0,322 | |||||
нет | 20 (90,9) | 40 (80,0) | |||||||
Опухолевые клетки в смывах (цитологическое исследование) ОШ 2,462, 95% ДИ 0,784–7,732 | да | 17 (77,3) | 29 (58,0) | 0,117 | |||||
нет | 5 (22,7) | 21 (42,0) | |||||||
Порт для интраперитонеальной химиотерапии, ОШ 1,23, 95% ДИ 0,44–3,439 | да | 9 (40,9) | 18 (36,0) | 0,692 | |||||
нет | 13 (59,1) | 32 (64,0) | |||||||
Осложнения, абс. (%) | да | 0 | 4 (8,0) | 0,306 | |||||
нет | 22 (100,0) | 46 (92,0) | |||||||
Примечание. *ПНИ рассчитан в соответствии с формулой: 10×альбумин сыворотки крови (г/дл)+0,005×лимфоциты (абсолютное значение, мм3), – предложенной T. Onodera и соавт. в 1984 г; **t-критерий Стьюдента; ***U-критерий Манна–Уитни; н/п – не применимо (сравнение ИПК до ПЦРО и после воздействия НАХТ не проводится). | |||||||||
На основании двухэтапного кластерного анализа было показано, что все пациенты могут быть подразделены на 2 кластера (по 50% человек в каждом, силуэтная мера составила 0,7, хорошее качество кластеров; р<0,001), первый из которых образован теми пациентами, значения ПНИ у которых составляют 26,71 (Q1–Q3 23,5–28,63), а второй – 34,86 (Q1–Q3 32,63–37,33). При дальнейшем проведении анализа при помощи метода ROC-кривых было показано, что выполнение полной ПЦРО можно ожидать у пациентов со значениями ПНИ 27,86 и выше, при значении ниже 27,86 – выполнение ПЦРО с остаточной опухолью (AUC 94,3, чувствительность – 80%, специфичность – 91,7%; р<0,001, рис. 1). Статистической значимости ПНИ для прогнозирования результата ИЦРО установлено не было (р=0,079).
Рис. 1. ROC-кривая прогнозируемой вероятности выполнения ПЦРО без остаточной опухоли.
При увеличении ПНИ на каждую единицу следовало ожидать сокращения времени ПЦРО на 6,58 мин (р=0,05) и ИЦРО на 6,79 мин (р=0,04). При увеличении ПНИ на каждую единицу следовало ожидать уменьшения объема кровопотери в процессе ПЦРО на 28,12 мл (р=0,042). При увеличении ПНИ на единицу следовало ожидать сокращения пребывания в стационаре после ИЦРО на 0,52 койко-дня (р=0,05).
Медиана наблюдения за пациентами после первичной и интервальной ЦРО составила 31 мес (39 мес после ПЦРО+ХТ, 27 мес после НАХТ+ИЦРО). После окончания комбинированного лечения рецидив заболевания был отмечен у 50 (64,1%) пациентов: у 32 (59,26%) после ПЦРО, у 18 (75%) после НАХТ (ОШ 2,06, 95% ДИ 0,7–6,02; р=0,181).
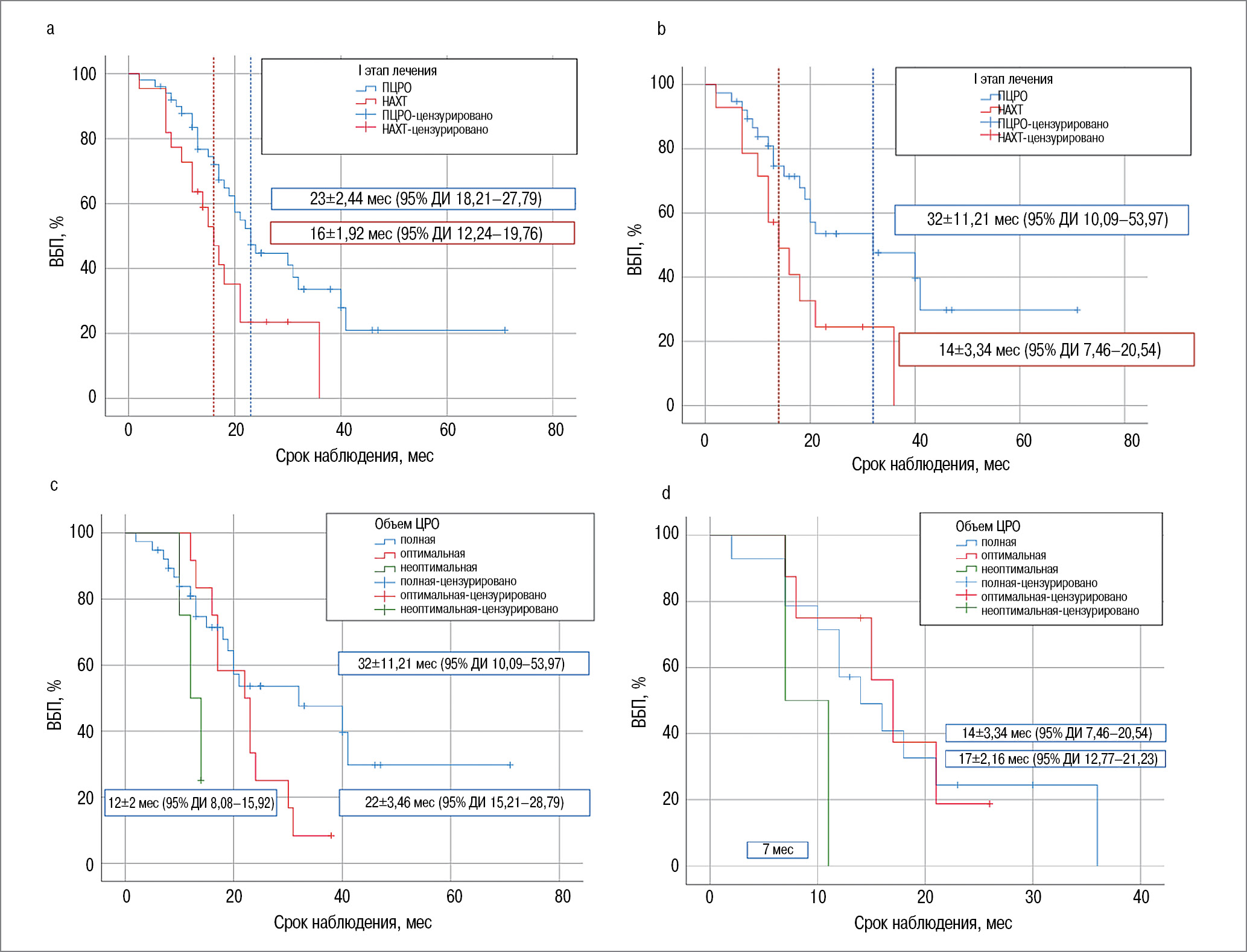
Зависимость сроков наступления рецидива от I этапа лечения была оценена при помощи лог-ранк критерия Мантеля– Кокса и была статистически значимой (p=0,026). Анализ показал, что медианы сроков наступления рецидивов после первичной и интервальной ЦРО, выполненных в объеме полной или оптимальной ЦРО, составили 23±2,44 мес (95% ДИ 18,21–27,79) и 16±1,92 мес (95% ДИ 12,24–19,76) соответственно (рис. 2a).
Проведен анализ длительности ВБП у пациентов в зависимости от I этапа лечения (лог-ранк критерий Мантеля–Кокса ВБП после первичной и интервальной ЦРО: p=0,006). Медианы сроков наступления рецидивов после ПЦРО и после НАХТ при операции, выполненной без остаточной опухоли (полная ЦРО), составили 32±11,21 мес (95% ДИ 10,09–53,97) и 14±3,34 мес (95% ДИ 7,46–20,54) соответственно (рис. 2b). Медианы сроков наступления рецидивов после ПЦРО и после НАХТ при операции, выполненной с остаточной опухолью размерами до 1 см (оптимальная ЦРО), составили 22±3,46 мес (95% ДИ 15,21–28,79) и 17±2,16 мес (95% ДИ 12,77–21,23) соответственно. Медианы сроков наступления рецидивов после ПЦРО и после НАХТ при операции, выполненной с остаточной опухолью размерами более 1 см (неоптимальная ЦРО), составили 14±7 мес (95% ДИ 0,28–27,72) и 7 мес (2 пациента) соответственно. Проведен анализ ВБП пациентов после ПЦРО и ИЦРО в зависимости от полноты циторедукции. Медианы ВБП после полной, оптимальной и неоптимальной ПЦРО составили 32±11,21 мес (95% ДИ 10,09–53,97), 22±3,46 мес (95% ДИ 15,21–28,79) и 12±2 мес (95% ДИ 8,08–15,92) соответственно (лог-ранк критерий Мантеля–Кокса: р=0,03; рис. 2c). Медианы ВБП после полной, оптимальной и неоптимальной ИЦРО были также сопоставимы: 14±3,34 мес (95% ДИ 7,46–20,54), 17±2,16 мес (95% ДИ 12,77–21,23) и 7 мес соответственно (лог-ранк критерий Мантеля–Кокса: р=0,139, рис. 2d).
Рис. 2. Сроки наступления рецидива после лечения в зависимости от I этапа лечения и объема остаточной опухоли: a – ВБП при первичных и интервальных циторедуктивных вмешательствах, выполненных в полном или оптимальном объеме; b – ВБП при первичных и интервальных циторедуктивных вмешательствах, выполненных без остаточной опухоли; c – ВБП после полной, оптимальной и неоптимальной ПЦРО; d – ВБП после полной, оптимальной и неоптимальной ИЦРО.
Обсуждение
Полная циторедукция с удалением всех макроскопических проявлений заболевания должна являться основной целью лечения больных РЯ, в том числе при диссеминации опухолевого процесса. Биологическое объяснение данного стремления заключается в повышении эффективности химиотерапевтического лечения за счет улучшения биодоступности препаратов, доставленных к опухолевым клеткам редуцированной до микроскопических размеров опухолевой ткани, – ранее было показано, что проникающая способность химиотерапевтических агентов составляет 1–2 мм [14]. Одним из наиболее крупных исследований, посвященных изучению влияния остаточной опухоли на показатели выживаемости пациентов после комбинированного лечения РЯ IIB–IV стадий, является метаанализ 3 проспективных рандомизированных исследований (AGO-OVAR 3, 5 и 7), суммарно включивший 3126 пациентов, которым были выполнены полная, оптимальная или неоптимальная ПЦРО [15]. A. du Bois и соавт. показали, что ВБП пациентов после ПЦРО составила 18,2 мес (95% ДИ 17,3–19,1), ВБП после полной ЦРО – 15,5 мес, после оптимальной – 10,1 мес и 7,8 мес – после неоптимальной ЦРО (p<0,0001).
Мы показали, что выполнение операции без остаточной опухоли сопровождается более длительной безрецидивной выживаемостью пациентов после комбинированного лечения (32 мес после ПЦРО без остаточной опухоли по сравнению с 22 мес после ПЦРО, выполненной с остаточной опухолью размерами менее 1 см, и 12 мес после ПЦРО, выполненной с остаточной опухолью размерами более 1 см).
Следует отдельно отметить, что лечение пациентов, включенных в метаанализ A. du Bois и соавт., проводилось в 1995–2002 гг. С тех пор хирургическая тактика во многом претерпела изменения, в первую очередь за счет расширения зон хирургической активности. Ранее этому было посвящено исследование, выполненное D. Chi и соавт. в MSKCC (Memorial Sloan Kettering Cancer Center) [16]. Опыт увеличения частоты вмешательств на ободочной кишке (до 35% по сравнению с 6% ранее), а также выполнение хирургических этапов на органах верхнего этажа брюшной полости у 38% пациентов с IIIC–IV стадиями РЯ было ассоциировано с увеличением частоты достижения полной и оптимальной циторедукций (80% по сравнению с 46%; p<0,01) и со значимым улучшением показателей выживаемости пациентов (5-летняя ВБП увеличилась до 31% по сравнению с 14%, общая выживаемость возросла до 47% по сравнению с 35%). Пациентам, включенным в проведенное нами исследование, при наличии показаний были выполнены все необходимые этапы для элиминации опухоли (стриппинг или резекция куполов диафрагмы, спленэктомия, резекция печени, резекция отделов кишечника и т. д.).
После достижения плато кривой обучения в 2017 г. данный объем в нашем учреждении является «стандартной» хирургической практикой. При расширении объема вмешательства следует ожидать повышения риска определенных последствий, таких как увеличение длительности операции (соответственно и времени наркоза), объема кровопотери, повышение частоты инфекционных осложнений и времени пребывания в стационаре [16]. В связи с весомостью данного аргумента до начала лечения требуется предварительная тщательная оценка как распространения опухолевого процесса, так и соматического статуса пациента совместно с врачом-анестезиологом-реаниматологом. Мы также показали (табл. 2), что ПЦРО сопровождается более длительным течением операции (240±77 мин по сравнению со 195±62 мин; р=0,019), сопряжена с увеличением объема кровопотери (450 мл по сравнению с 300 мл; р=0,164) и риском послеоперационных осложнений (100% осложнений, потребовавших хирургического вмешательства, были отмечены после ПЦРО), что суммарно представляет более высокий риск для коморбидных пациентов, в связи с чем они не являются оптимальными кандидатами для выполнения ЦРО в момент постановки диагноза.
Поскольку возможности достижения полной ПЦРО ограничены, а коморбидность пациента на момент начала лечения может требовать времени на компенсацию сопутствующих заболеваний, для повышения вероятности проведения циторедукции без остаточной опухоли или для подготовки пациента к операции рассматривается альтернативная тактика, а именно индукционная НАХТ с последующей ИЦРО [10, 11]. Цель проведения НАХТ заключается в достижении лекарственного патоморфоза химиочувствительной опухолевой ткани [17, 18], который сопровождается ее замещением очагами фиброза, уменьшением распространенности опухолевого процесса до ограниченных участков, не регрессировавших на фоне проводимой НАХТ, или полной элиминацией вторичных проявлений перитонеального канцероматоза. Воздействие НАХТ повышает вероятность удаления всех видимых проявлений опухолевого процесса у пациентов, которые изначально не были признаны кандидатами для достижения полной циторедукции в процессе первичной операции [10].
По данным базы The Surveillance, Epidemiology, and End Results (США), с 2003 по 2010 г. было зафиксировано повышение частоты выполнения ИЦРО при IIIC стадии от 16 до 34% и от 41 до 62% – при IV стадии заболевания [19]. Данные рандомизированных контролируемых исследований, посвященных сравнению различных методик лечения распространенного РЯ (JCOG0602, проведенного The Japan Clinical Oncology Group [20]; SCORPION, проведенного Surgical COmplications Related to Primary or Interval debulking in Ovarian Neoplasm [21], и др.), свидетельствуют о сопоставимой длительности ВБП и общей выживаемости у пациентов наряду со значительным снижением послеоперационных осложнений после ИЦРО по сравнению с ПЦРО.
Мы показали, что частота рецидива заболевания после ИЦРО и ПЦРО была сопоставимой (75% и 59,26%), однако сроки рецидива статистически значимо различались. Длительность ВБП после ИЦРО, выполненной даже без остаточной опухоли (14 мес), значимо менее продолжительная, чем ВБП после ПЦРО, выполненной с остаточными проявлениями опухолевого процесса до 1 см (22 мес), и сопоставима с длительностью ВБП после неоптимальной ПЦРО (12 мес). Данный результат, а именно сокращение ВБП после НАХТ, проведенной на I этапе лечения, свидетельствует о том, что данная тактика практически нивелирует хирургические усилия, которые были применены для достижения полной ИЦРО. Снижение хирургической активности в процессе ИЦРО связано с патоморфозом, при котором регресс опухолевых очагов приводит к минимизации объема вмешательства (сохранение брюшины или удаление брюшины определенной области вместо тотальной перитонэктомии в связи с ее гладкостью и визуальной интактностью, а также сохранение органа или его части в связи с отсутствием канцероматоза и метастатического поражения). Предположительным фактором сокращения ВБП после НАХТ является микроскопический пул резистентных опухолевых клеток, оставленный после ИЦРО в связи со сложностями их идентификации на фоне патоморфоза опухоли (очаг уменьшился, перестал быть видимым глазу, у хирурга нет показаний к удалению визуально неизмененных тканей, а значит, клетки остаются и являются субстратом неизбежного более раннего рецидива). Данный вывод в очередной раз подчеркивает актуальность объективизации противопоказаний для проведения хирургического лечения в качестве I этапа лечения распространенного РЯ.
На сегодняшний день наиболее весомыми аргументами в пользу химиотерапевтического лечения на I этапе считаются критерии, прямо или косвенно отображающие соматический статус пациента (в том числе более старший возраст, наличие сопутствующих заболеваний, отягощающих анамнез, сниженный уровень альбумина в крови, кахексия и т. д.) и степень распространения опухолевого процесса (индекс перитонеального канцероматоза, объем асцита и т. д.). Факторы, влияющие на принятие решения о проведении пациенту НАХТ на I этапе, можно подразделить на 2 группы: факторы со стороны пациента (возраст, коморбидность, уровень альбумина, наличие и выраженность кахексии) и факторы, указывающие на степень распространенности опухолевого процесса (стадия заболевания, размеры опухоли, наличие отдаленных метастазов, инвазия стенок таза, вовлечение тонкой кишки и корня брыжейки на большом протяжении, вовлечение лимфоузлов выше чревного ствола, наличие множественных внутрипаренхиматозных метастазов в печени или перитонеальных узлов вблизи печеночной вены или воротной вены, вовлечение тонкой кишки и корня брыжейки на большом протяжении) [13, 22].
Несмотря на значимые различия ряда факторов в исследуемых группах (возраст, ПНИ, объем асцита, ИПК, СА 125), при статистическом анализе мы не обнаружили влияния данных показателей на длительность ВБП, которые, по данным литературы, обладают прогностической значимостью. О прогностической значимости изученных маркеров можно упомянуть только в контексте полученной взаимосвязи данных показателей с интраоперационными и послеоперационными исходами. На основании проведенного анализа мы показали, что выполнение на I этапе НАХТ прогнозируемо у пациентов старше 57,5 года, у которых уровень СА 125 >618,5 Ед/мл, а объем асцита более 225 мл. Противоречивость полученных данных побуждает продолжать поиск более объективных предикторов.
Проведен анализ прогностической ценности ПНИ, который рекомендован американской ассоциацией National Comprehensive Cancer Network для ранжирования пациентов в соответствии с их нутритивным статусом как отображением общесоматического благополучия. ПНИ предложен T. Onodera и соавт. в 1984 г. в первую очередь для предикции осложнений в послеоперационном периоде [23]. Индекс рассчитывается на основании содержания в сыворотке крови альбумина и лимфоцитов в соответствии с формулой: 10×альбумин сыворотки крови (г/дл)+0,005×лимфоциты (абсолютное значение, мм3). При менее благоприятных значениях ПНИ вероятность выполнения полной и оптимальной ЦРО ниже, риск периоперационных осложнений выше, в связи с чем пациентам показана НАХТ в качестве I этапа лечения [9, 23–25].
Мы показали, что снижение ПНИ сопряжено с увеличением времени ПЦРО, объема интраоперационной кровопотери при ПЦРО и ИЦРО, а также с продлением послеоперационного пребывания в стационаре пациентов после ИЦРО. Было также показано, что на изменение ПНИ, в свою очередь, оказывает влияние увеличение объема асцита: при увеличении на 1 мл следует ожидать снижение ПНИ на 0,002 (р=0,028, метод линейной регрессии), что может косвенно указывать на потерю белкового компонента кровеносного русла при образовании асцитической жидкости. Образование экссудата при опухолевом процессе, в частности, сопровождаемом перитонеальным канцероматозом, характеризуется высоким содержанием белка и снижением альбумина в сыворотке крови [26].
Данные процессы являются следствием компрессии лимфатических коллекторов, изменения клеточного состава и профиля метаболитов, везикул, факторов роста, цитокинов и прочих высокомолекулярных компонентов, а также следствием повышенной порозности перитонеальной мембраны и капилляров, ассоциированной с образованием опухолью сосудисто-эндотелиального фактора роста и снижением внутрипросветного онкотического давления. Перечисленные патогенетические механизмы потенцируются при таких проявлениях коморбидности, как почечная, печеночная или сердечная недостаточность, в связи с изменением соотношения электролитов, в частности натрия. Гипоальбуминемия патогенетически взаимосвязана с образованием не только асцита, но и плеврального и перикардиального выпотов [23]. Снижение ПНИ, как и образование асцита при перитонеальной диссеминации, является одним из прогностически неблагоприятных факторов течения РЯ. Аналогичные данные об обратно пропорциональной взаимосвязи объема асцитической жидкости и уровня ПНИ были представлены N. Komura и соавт. [23]. Мы также показали прогностическую ценность учета ПНИ при планировании ПЦРО, поскольку было установлено, что ПНИ, равный 27,86 и более, сопровождается повышением вероятности выполнения ПЦРО без остаточной опухоли у пациентов с распространенным РЯ.
Вопреки данным опубликованных исследований [23], у пациентов проведенного нами исследования ПНИ перед ПЦРО был ниже, чем у пациентов перед ИЦРО. Это свидетельствует о том, что, несмотря на доступность его расчета, в проспективном режиме на данный показатель на этапе принятия решения о 1-м варианте лечения мы не ориентировались в отличие от широко внедренных в клиническую практику показателей (СА 125, объем асцита, определенный при помощи УЗИ, компьютерной томографии или магнитно-резонансной томографии) и возраста пациента. Следует отметить, что значения ПНИ в исследуемой нами выборке пациентов ниже, чем описанные в ряде опубликованных исследований (для сравнения: пороговое значение в нашем исследовании составило 27,86, в опубликованных – 42,9–47,2) [23, 27, 28], однако сопоставимы со значениями, представленными в работе D. Dai и соавт. [29]. Данные различия могут быть объяснены различием этнической принадлежности пациентов, а также референсных значений альбумина, принятых в лабораториях разных стран (в России: 35–50 г/л), что следует учитывать при интерпретации данных.
Заключение
Из вышеперечисленного следует, что шанс на получение I этапом хирургического лечения должен быть максимально реализован с учетом только значимых факторов риска осложнений, а направление пациентов на НАХТ должно быть аргументированным наиболее прогностически значимыми данными клинической и инструментально-лабораторной диагностики, поскольку данная тактика сопровождается значительно менее благоприятным прогнозом длительности безрецидивной выживаемости пациентов с распространенным РЯ.
В связи с противоречивыми и субъективными данными выбор в пользу одного из методов первичного лечения должен быть объективно обоснован. Мы показали ценность ПНИ в предоперационном прогнозировании выполнения ПЦРО без остаточной опухоли. Требуется проведение дальнейших исследований применения данного индекса также для предоперационного ранжирования рисков при выборе I этапа лечения пациентов с распространенными стадиями РЯ, а также для предикции ВБП после окончания комбинированного лечения. В связи с ограниченным количеством исследований при перечисленных перспективных точках клинического применения ПНИ требуется дальнейшее изучение данного способа оценки нутритивного благополучия пациентов перед выполнением лечения, требующего физических ресурсов пациента [23–25, 27–29].
Ограничения исследования
К ограничениям исследования относится ретроспективный дизайн проведенного нерандомизированного одноцентрового исследования и сравнительно небольшая выборка пациентов, средний возраст которых составил 55±10 лет (36–79 лет, 95% ДИ 52–57). Среди включенных в исследование было всего 6 пациентов, операция у которых была бы выполнена с остаточной опухолью более 1 см (неоптимальная ЦРО).
Раскрытие интересов. Авторы декларируют отсутствие явных и потенциальных конфликтов интересов, связанных с публикацией настоящей статьи.
Disclosure of interest. The authors declare that they have no competing interests.
Вклад авторов. М.В. Юрова – разработка дизайна представленного исследования, анализ данных доступной литературы, создание и ведение базы данных, статистическая обработка и интерпретация клинических данных, написание текста, редактирование, подготовка документации; Г.Н. Хабас – оперативное лечение пациентов, клиническая интерпретация полученных данных, критический пересмотр написанного текста, внесение правок и дополнений, окончательное утверждение публикуемой версии рукописи; С.В. Павлович – разработка дизайна представленного исследования, редактирование, клиническая интерпретация полученных данных, окончательное утверждение публикуемой версии рукописи, подготовка документации.
Authors’ contribution. MV Iurova – study planning, analysis of literature data, literature data research, clinical and statistical data processing, collection and characterization of clinical samples, manuscript authoring, discussion of the results, editing, registration of documents; GN Khabas – surgical treatment, clinical data processing, manuscript critical revision, final approval; SV Pavlovich – study planning, editing, clinical data processing, manuscript critical revision, final approval, registration of documents.
Источник финансирования. Авторы декларируют отсутствие внешнего финансирования для проведения исследования и публикации статьи.
Funding source. The authors declare that there is no external funding for the exploration and analysis work.
Соответствие принципам этики. Исследование выполнено в соответствии с ФЗ РФ №152-ФЗ от 27.07.2006 (с изменениями на 29.07.2017) «О персональных данных», с ФЗ РФ №323-ФЗ от 21.11.2011 «Об основах охраны здоровья граждан в РФ» (статья 13 «Соблюдение врачебной тайны»), а также с положениями Хельсинкской декларации с учетом пересмотров.
Ethics approval. The study was conducted in accordance with federal laws of the Russian Federation (152, 323 etc.) and the Declaration of Helsinki of 1964 with all subsequent extensions and amendments regulating scientific research involving biomaterials obtained from human beings.
Об авторах
Мария Владимировна Юрова
ФГАОУ ВО «Первый Московский государственный медицинский университет им. И.М. Сеченова» Минздрава России (Сеченовский Университет); ФГБУ «Национальный медицинский исследовательский центр акушерства, гинекологии и перинатологии им. акад. В.И. Кулакова» Минздрава России
Автор, ответственный за переписку.
Email: m_yurova@oparina4.ru
ORCID iD: 0000-0002-0179-7635
аспирант каф. акушерства, гинекологии, перинатологии и репродуктивного здоровья; специалист
Россия, Москва; МоскваГригорий Николаевич Хабас
ФГБУ «Национальный медицинский исследовательский центр акушерства, гинекологии и перинатологии им. акад. В.И. Кулакова» Минздрава России
Email: g_khabas@oparina4.ru
ORCID iD: 0000-0002-5011-9152
канд. мед. наук, рук. отд-ния инновационной онкологии и гинекологии
Россия, МоскваСтанислав Владиславович Павлович
ФГАОУ ВО «Первый Московский государственный медицинский университет им. И.М. Сеченова» Минздрава России (Сеченовский Университет); ФГБУ «Национальный медицинский исследовательский центр акушерства, гинекологии и перинатологии им. акад. В.И. Кулакова» Минздрава России
Email: s_pavlovich@oparina4.ru
ORCID iD: 0000-0002-1313-7079
канд. мед. наук, зав. учебной частью каф. акушерства, гинекологии, перинатологии и репродуктивного здоровья; ученый секретарь
Россия, Москва; МоскваСписок литературы
- Состояние онкологической помощи населению России в 2019 году. Под ред. Каприна А.Д., Старинского В.В., Шахзадовой А.О. М.: МНИОИ им. П.А. Герцена − филиал ФГБУ «НМИЦ радиологии» Минздрава России, 2020 [Sostoianie onkologicheskoi pomoshchi naseleniiu Rossii v 2019 godu. Pod red. Kaprina AD, Starinskogo VV, Shakhzadovoi AO. Moscow: MNIOI im. PA Gertsena − filial FGBU “NMITs radiologii” Minzdrava Rossii, 2020 (in Russian)].
- Назаренко Т.А., Ашрафян Л.А., Джанашвили Л.Г., Мартиросян Я.О. Сохранение репродуктивного материала у онкологических больных как медико-социальная и организационная проблема. Онкология. Журнал им. П.А. Герцена. 2020;9(1):60-5 [Nazarenko TA, Ashrafian LA, Dzhanashvili LG, Martirosyan YO. Retention of reproductive material in cancer patients as a sociomedical and organizational problem. P.A. Herzen Journal of Oncology. 2020;9(1):60-5 (in Russian)]. doi: 10.17116/onkolog2020901160
- Tomao F, Di Pinto A, Sassu CM, et al. Fertility preservation in ovarian tumours. Ecancermedicalscience. 2018;12:885. doi: 10.3332/ecancer.2018.885
- Ashraf MA, Dasari P. Outcome of fertility-preserving surgery for ovarian malignancy in young women. Case Rep. 2018;1(1):51-4.
- Siegel RL, Miller KD, Jemal A. Cancer Statistics, 2020. CA Cancer J Clin. 2020;70(1):7-30. doi: 10.3322/caac.21590
- Состояние онкологической помощи населению России В 2020 году. Под ред. Каприна А.Д., Старинского В.В., Шахзадовой А.О. М.: МНИОИ им. П.А. Герцена − филиал ФГБУ «НМИЦ радиологии» Минздрава России, 2021 [Sostoianie onkologicheskoi pomoshchi naseleniiu Rossii V 2020 godu. Pod red. Kaprina AD, Starinskogo VV, Shakhzadovoi AO. Moscow: MNIOI im. PA Gertsena − filial FGBU “NMITs radiologii” Minzdrava Rossii, 2021 (in Russian)].
- Colombo N, Sessa C, du Bois A, et al. ESMO–ESGO consensus conference recommendations on ovarian cancer: pathology and molecular biology, early and advanced stages, borderline tumours and recurrent disease. Ann Oncol. 2019;30(5):672-705. doi: 10.1093/annonc/mdz062
- Querleu D, Planchamp F, Chiva L, et al. European Society of Gynaecological Oncology (ESGO) Guidelines for Ovarian Cancer Surgery. Int J Gynecol Cancer. 2017;27(7):1534-42. doi: 10.1097/IGC.0000000000001041
- Armstrong DK, Alvarez RD, Bakkum-Gamez JN. NCCN Clinical Practice Guidelines in Oncology. Ovarian Cancer Including Fallopian Tube Cancer and Primary Peritoneal Cancer. 2021;3:1-254. Available at: https://www.lissod.com.ua/doctor/files/ovarian-Рак%20яичников.pdf Accssed: 15.08.2021.
- Koirala P, Moon AS, Chuang L. Clinical Utility of Preoperative Assessment in Ovarian Cancer Cytoreduction. Diagnostics (Basel). 2020;10(8):568. doi: 10.3390/diagnostics10080568
- Froyman W, Landolfo C, De Cock B, et al. Risk of complications in patients with conservatively managed ovarian tumours (IOTA5): a 2-year interim analysis of a multicentre, prospective, cohort study. Lancet Oncol. 2019;20(3):448-58. doi: 10.1016/S1470-2045(18)30837-4
- Sugarbaker PH. Comprehensive management of peritoneal surface malignancy using cytoreductive surgery and perioperative intraperitoneal chemotherapy: the Washington Cancer Institute approach. Expert Opin Pharmacother. 2009;10(12):1965-77. doi: 10.1517/14656560903044974
- Sugarbaker PH. Preoperative Assessment of Cancer Patients with Peritoneal Metastases for Complete Cytoreduction. Indian J Surg Oncol. 2016;7:295-302. doi: 10.1007/s13193-016-0518-0
- Sugarbaker PH, Van der Speeten K, Stuart OA. Pharmacologic rationale for treatments of peritoneal surface malignancy from colorectal cancer. World J Gastrointest Oncol. 2010;2(1):19-30. doi: 10.4251/wjgo.v2.i1.19
- du Bois A, Reuss A, Pujade-Lauraine E, et al. Role of surgical outcome as prognostic factor in advanced epithelial ovarian cancer: a combined exploratory analysis of 3 prospectively randomized phase 3 multicenter trials: by the Arbeitsgemeinschaft Gynaekologische Onkologie Studiengruppe Ovarialkarzinom (AGO-OVAR) and the Groupe d'Investigateurs Nationaux Pour les Etudes des Cancers de l'Ovaire (GINECO). Cancer. 2009;115(6):1234-44. doi: 10.1002/cncr.24149
- Chi DS, Eisenhauer EL, Zivanovic O, et al. Improved progression-free and overall survival in advanced ovarian cancer as a result of a change in surgical paradigm. Gynecol Oncol. 2009;114(1):26-31. doi: 10.1016/j.ygyno.2009.03.018
- Böhm S, Faruqi A, Said I, et al. Chemotherapy Response Score : Development and Validation of a System to Quantify Histopathologic Response to Neoadjuvant Chemotherapy in Tubo-Ovarian High-Grade Serous Carcinoma. J Clin Oncol. 2015;33(22):2457-63. doi: 10.1200/JCO.2014.60.5212
- Cohen PA, Powell A, Böhm S, et al. Pathological chemotherapy response score is prognostic in tubo-ovarian high-grade serous carcinoma : A systematic review and meta-analysis of individual patient data. Gynecol Oncol. 2019;154(2):441-8. doi: 10.1016/j.ygyno.2019.04.679
- Meyer LA, Cronin AM, Sun CC, et al. Use and Effectiveness of Neoadjuvant Chemotherapy for Treatment of Ovarian Cancer. J Clin Oncol. 2016;34(32):3854-63. doi: 10.1200/JCO.2016.68.1239
- Onda T, Satoh T, Ogawa G, et al. Comparison of survival between primary debulking surgery and neoadjuvant chemotherapy for stage III/IV ovarian, tubal and peritoneal cancers in phase III randomised trial. Eur J Cancer. 2020;130:114-25. doi: 10.1016/j.ejca.2020.02.020
- Fagotti A, Ferrandina MG, Vizzielli G, et al. Randomized trial of primary debulking surgery versus neoadjuvant chemotherapy for advanced epithelial ovarian cancer (SCORPION–NCT01461850). Int J Gynecol Cancer. 2020;30(11):1657-64. doi: 10.1136/ijgc-2020-001640
- Nougaret S, Addley HC, Colombo PE, et al. Ovarian Carcinomatosis: how the radiologist can help plan the surgical approach. Radiographics. 2012;32(6):1775-800. doi: 10.1148/rg.326125511
- Komura N, Mabuchi S, Yokoi E, et al. Prognostic significance of the pretreatment prognostic nutritional index in patients with epithelial ovarian cancer. Oncotarget. 2019;10(38):3605-13. doi: 10.18632/oncotarget.26914
- Feng Z, Wen H, Ju X, et al. The preoperative prognostic nutritional index is a predictive and prognostic factor of high-grade serous ovarian cancer. BMC Cancer. 2018;18(1):883. doi: 10.1186/s12885-018-4732-8
- Demir A, Alan O, Koca S, Surmeli H. The Relationship Between the Prognostic Nutritional Index and Overall Survival in Elderly Patients with Epithelial Ovarian Cancer. EJMI. 2020;4(2):269-73. doi: 10.14744/ejmi.2020.30288
- Pasha K, Ramesh Kumar B, Macherla R, et al. Biochemical Markers of Ascitic Fluid to Differentiate Ovarian Cancer from Liver Cirrhosis Patients. J Clin Diagn Res. 2020;14(6):BC01-4. doi: 10.7860/JCDR/2020/44135.13765
- Zhang W, Ye B, Liang W, Ren Y. Preoperative prognostic nutritional index is a powerful predictor of prognosis in patients with stage III ovarian cancer. Sci Rep. 2017;7(1):9548. doi: 10.1038/s41598-017-10328-8
- Miao Y, Li S, Yan Q, et al. Prognostic Significance of Preoperative Prognostic Nutritional Index in Epithelial Ovarian Cancer Patients Treated with Platinum-Based Chemotherapy. Oncol Res Treat. 2016;39(11):712-9. doi: 10.1159/000452263
- Dai D, Balega J, Sundar S, et al. Serum Albumin as a Predictor of Survival after Interval Debulking Surgery for Advanced Ovarian Cancer (AOC): A Retrospective Study. J Invest Surg. 2022;35(2):426-31. doi: 10.1080/08941939.2020.1827314
Дополнительные файлы





