Expression of MSX1, HOXA11 and TP53I3 in the endometrium associated with the onset of pregnancy after repeated failed IVF attempts in patients with tubo-peritoneal factor infertility
- Authors: Knyazeva E.A.1, Kuznetsova M.V.1, Burmenskaya O.V.1, Donnikov A.E.1, Kalinina E.A.1
 - 
							Affiliations: 
							
- Kulakov Research Center for Obstetrics, Gynecology and Perinatology
 
 - Issue: Vol 22, No 1 (2020)
 - Pages: 23-28
 - Section: ORIGINAL ARTICLE
 - Published: 01.05.2020
 - URL: https://gynecology.orscience.ru/2079-5831/article/view/33965
 - DOI: https://doi.org/10.26442/20795696.2020.1.200028
 - ID: 33965
 
Cite item
Full Text
Abstract
Relevance. The success of the in vitro fertilisation (IVF) program, among other factors, depends on the readiness of the endometrium to accept the embryo. It is believed that this is possible during the so-called «implantation window», the timing of which can be shifted under the influence of various factors. Evaluation of endometrial receptivity and the «implantation window» based on analysis of endometrial gene expression before embryo transfer is a promising approach for predicting the likelihood of pregnancy in IVF programs.
Aim. To construct a classifier based on the expression of endometrial genes for predicting the outcome of an IVF program in patients with tubal-peritoneal infertility factor and repeated failed IVF attempts in history.
Materials and methods. Before the IVF program, a genome-wide transcriptome profiling of endometrial samples of 15 women with tubal-perioneal infertility factor and repeated unsuccessful IVF attempts in history was carried out using Affymetrix arrays. Potential genes capable of classifying IVF program outcomes were selected, after which the expression of these genes was analyzed by qPCR-RT in the endometrium of 47 women to construct IVF outcome classifiers based on the expression of pairs or triples of genes.
Results. A classifier based on the expression of the triple of genes MSX1 (HOX7), HOXA11, and TP53I3 made it possible to determine the onset of pregnancy in an IVF program with a sensitivity of 73% and a specificity of 71% with an area under the ROC-curve (AUC) of 0.738 (95% confidence interval 0.577–0.898). Earlier, a relationship was found between the expression of these genes and receptivity of the endometrium, which suggests that these genes play a role in the onset of the «implantation window».
Conclusions. The use of a classifier based on the genes MSX1 (HOX7), HOXA11, and TP53I3 can determine the readiness of the endometrium to accept an embryo and create an individual prognosis of the outcome of an IVF program in women with tubal-peritoneal infertility factor and repeated failed IVF attempts in history.
Full Text
Введение
В настоящее время наиболее эффективным способом лечения бесплодия во всем мире является использование программ вспомогательных репродуктивных технологий (ВРТ). Экстракорпоральное оплодотворение (ЭКО) используется в мировой практике в терапии бесплодия с 1978 г. Частота применения метода ЭКО в России с целью лечения бесплодия с каждым годом увеличивается: за 20 лет (с 1995 по 2015 г.) количество проводимых циклов ЭКО увеличилось более чем в 30 раз (с 3690 до 111 972 циклов) [1]. Несмотря на более чем 40-летнюю историю существования методов ВРТ, эффективность программ ЭКО существенно не меняется и частота наступления беременности составляет 30–40% в расчете на один цикл без тенденции к увеличению [2]. В связи с этим в последние годы большое внимание сконцентрировано на поиске новых подходов, которые помогли бы увеличить эффективность лечения пациентов с бесплодием.
Известно, что на результат программ ЭКО влияют состояние эндометрия и его имплантационный потенциал [3]. Еще в 1956 г. А. Hertig и соавт. впервые предположили, что эндометрий способен принять эмбрион в течение менструального цикла только в ограниченный промежуток времени, называемый «окном имплантации» [4]. Впоследствии было подтверждено: эндометрий готов к имплантации бластоцисты в середину секреторной фазы, на 6–8-й день после пика лютеинизирующего гормона и овуляции [3].
Созревание эндометрия и развитие эмбриона –‒ это два самостоятельных процесса, идущих независимо друг от друга [3]. «Окно имплантации» является оптимальным периодом, когда оба процесса синхронизированы. Если синхронизации не произойдет, то имплантация не состоится или беременность прервется на ранних стадиях [5]. Поскольку в программах ЭКО созревание эмбриона контролируется визуально, то перед переносом необходимо убедиться, что эндометрий готов принять эмбрион, т.е. находится в периоде «окна имплантации».
У всех пациенток с бесплодием на этапах обследования по поводу бесплодия и подготовки к программе ЭКО корректируются гинекологические заболевания, которые могут повлиять на исходы программы ЭКО (полипы/гиперплазия эндометрия, субмукозные миоматозные узлы, спаечный процесс, гидросальпинкс и т.п.). Однако, несмотря на это, у части женщин беременность не наступает при неоднократных попытках ЭКО. Данная категория женщин представляет особый интерес для практикующих врачей и исследователей, в связи с чем в последнее время активно изучается роль особенностей «окна имплантации» у этой группы пациенток. Десинхронизация процессов развития эндометрия может приводить к тому, что развитие «окна имплантации» может «отставать» или «опережать» сроки, считающиеся стандартными [6]. В исследовании N. Mahajan показано, что у пациенток с выраженным аденомиозом имеется смещение «окна имплантации»: у 47% пациенток эндометрий был «пререцептивным», а у 53% – «пострецептивным» [7]. В исследовании M. Ruiz-Alonso и соавт. показано, что у каждой 4-й пациентки с повторными неудачами имплантации (repeated implantation failure) определяется смещение «окна имплантации», причем у 84% из них эндометрий был определен как «пререцептивный», а у остальных – как «пострецептивный» [6]. В клинической практике информация о том, что у конкретной женщины имеется смещение «окна имплантации», могла бы помочь правильно выбрать день переноса эмбриона, при необходимости произвести витрификацию эмбриона и тем самым помочь повысить частоту наступления беременности у женщин с неоднократными неудачными попытками ЭКО в анамнезе.
В настоящее время существуют различные методы, которые могут использоваться для оценки рецептивности эндометрия: гистологический, электронная микроскопия, иммуногистохимическое окрашивание образцов, изучение профиля экспрессии генов в биоптатах эндометрия. В основе данных методов лежит определение различными способами тех изменений в эндометрии, которые возникают в период «окна имплантации» (образование пиноподий, появление структурных белков на апикальной поверхности эпителиальных клеток; синтез цитокинов, факторов роста, молекул адгезии и др.) [8]. В 2011 г. был разработан метод оценки «окна имплантации» с помощью молекулярно-генетического исследования экспрессии 238 генов в эндометрии –‒ тест ERA (Endometrial receptivity array) [9]. Таким образом, стало возможным использовать транскрипционный профиль образца эндометрия для определения уровня рецептивности и периода «окна имплантации» у каждой конкретной пациентки, что позволяет определить персонализированное «окно имплантации» и выбрать подходящий именно для этой пациентки день переноса эмбриона (personalized embryo transfer) [6]. Однако данный метод имеет ряд ограничений, в частности, в России его проведение затруднено в связи с достаточно высокой стоимостью и необходимостью транспортировки биологического материала за границу.
В опубликованном метаанализе L. Craciunas и соавт., включающем данные более чем 160 исследований и более 88 тыс. пациенток, было выявлено, что в настоящее время имеется огромное число различных потенциальных маркеров рецептивности эндометрия, однако не существует одного конкретного маркера или панели из очень ограниченного числа маркеров, которые имели бы высокую диагностическую точность для оценки состояния рецептивности эндометрия [10]. В связи с этим продолжается поиск новых информативных маркеров «окна имплантации», что могло бы позволить прогнозировать наступление беременности в программах ВРТ.
Цель работы – построение классификатора для определения исхода программы ЭКО на основе сочетанного анализа экспрессии нескольких генов в эндометрии женщин с повторными неудачными попытками ЭКО.
Материалы и методы
Клиническая характеристика пациенток
Все пациентки были нами разделены на две группы в зависимости от исхода программы ЭКО после проведения пайпель-биопсии. В 1-ю группу вошли пациентки, у которых беременность наступила в результате проведенной программы ЭКО (n=15); 2-ю группу составили те пациентки, у которых беременность не наступила (n=32). На основании критерия Колмогорова–Смирнова выявлено, что как возраст, так и антропометрические данные пациенток в исследуемых группах подчинялись закону нормального распределения (p>0,05), однако в связи с небольшим объемом исследуемых выборок мы применяли непараметрические методы расчета (различия между статистическими величинами считали статистически значимыми при уровне значимости p<0,05). Тест Манна–Уитни не выявил статистически значимых различий по возрасту, росту, массе тела и, как следствие, по индексу массы тела между исследуемыми группами (см. таблицу).
Менструальная и сексуальная функции также статистически значимо не отличалась между группами пациенток. Структура гинекологической заболеваемости была представлена наличием наружного генитального эндометриоза I–II стадии, интрамуральной миомой матки малых размеров и миомэктомией в анамнезе, полипами эндометрия и гиперплазией эндометрия в анамнезе, эрозией шейки матки и перенесенными ранее инфекциями, передаваемыми половым путем. Гинекологическая заболеваемость была несколько выше в группе незабеременевших пациенток, однако статистически значимых различий между группами забеременевших и незабеременевших обнаружено не было. Также у большего числа пациенток в обеих группах отмечалось вторичное бесплодие. При этом продолжительность бесплодия в обеих группах была сопоставима (медиана составила 5,0 года); см. таблицу.
Клинико-анамнестические характеристики исследуемых групп Clinical and anamnestic characteristics of the studied groups  | |||
Параметр  | 1-я группа (беременные), n=15  | 2-я группа (небеременные), n=32  | р – уровень значимости  | 
Возраст и антропометрические характеристики  | |||
Возраст, лет**  | 33,0 (31,0–36,0)  | 34,5 (32,5–39,0)  | 0,291  | 
Рост, см**  | 168,0 (165,0–169,0)  | 165,0 (162,0–170,0)  | 0,362  | 
Масса тела, кг**  | 68,5 (56,0–76,0)  | 64,0 (52,0–70,0)  | 0,264  | 
Индекс массы тела, кг/м2**  | 25,0 (19,6–26,6)  | 22,0 (20,1,8–25,7)  | 0,615  | 
Менструальная и половая функция  | |||
Возраст менархе, лет**  | 13,0 (12,0–14,0)  | 13,0 (12,0–14,0)  | 0,569  | 
Длительность менструации, дни**  | 5,0 (5,0–5,0)  | 5,0 (4,0–5,0)  | 0,719  | 
Длина цикла, дни**  | 28,0 (27,0–30,0)  | 28,0 (28,0–28,5)  | 0,597  | 
Возраст начала половой жизни, лет**  | 18,0 (17,0–19,0)  | 18,0 (16,5–18,0)  | 0,145  | 
Гинекологический и акушерский анамнез  | |||
Инфекции, передаваемые половым путем, в анамнезе*  | 46,7% (7)  | 56,3% (18)  | >0,05  | 
Наружный генитальный эндометриоз I–II стадии*  | 13,3% (2)  | 15,6% (5)  | >0,05  | 
Миома матки*  | 6,7% (1)  | 18,8% (6)  | >0,05  | 
Патология эндометрия (гиперплазия эндометрия, полипы эндометрия)*  | 20,0% (3)  | 37,5% (12)  | >0,05  | 
Эрозия шейки матки*  | 13,3% (2)  | 18,8% (6)  | >0,05  | 
Число внутриматочных вмешательств**  | 0 (0–1)  | 1 (1–3)  | 0,069  | 
Тип бесплодия*  | |||
Первичное  | 40,0% (6)  | 43,7% (14)  | >0,05  | 
Вторичное  | 60,0% (9)  | 56,3% (18)  | |
Длительность бесплодия, годы**  | 5,0 (4,0–10,0)  | 5,0 (3,0–10,0)  | 0,909  | 
Число беременностей в анамнезе**  | 1 (0–2)  | 1 (0–2)  | 0,867  | 
Число беременностей после ЭКО**  | 0 (0–1)  | 0 (0–0)  | 0,145  | 
Число искусственных прерываний беременности**  | 0 (0–0)  | 0 (0–0)  | 0,109  | 
Число самопроизвольных прерываний беременности**  | 1 (0–2)  | 1 (0–2)  | 0,864  | 
Число родов**  | 0 (0–1)  | 0 (0–0)  | 0,263  | 
Примечание. Различия между статистическими величинами считали статистически значимыми при уровне значимости p<0,05. *Данные представлены как процент и абсолютные значения, точный критерий Фишера; **данные представлены как медиана, 25–75-й процентили, тест Манна–Уитни. Note. Differences between statistical values were considered statistically significant at p<0.05. *Data are presented as percentage and absolute values, Fisher’s exact test; **data are presented as median, 25–75th percentile, Mann–Whitney test.  | |||
Получение биологических образцов
У каждой пациентки производился забор ткани эндометрия с помощью аспирационной биопсии инструментом Pipelle de Cornier (Laboratoire CCD, Франция) в период «окна имплантации», на 7–9-й день после овуляции, которая диагностировалась при помощи ультразвукого исследования и мочевого теста на овуляцию Clear Blue (Unipath Ltd, Великобритания). Для предотвращения деградации матричной РНК биопсийный материал помещали в лизирующий раствор с гуанидинтиоцианатом (набор реагентов «Проба НК», «ДНК-технология», Россия) и замораживали при -20°С.
Выделение РНК
Выделение тотальной РНК из биологических образцов осуществляли по принципу гуанидинтиоцианат-фенол-хлороформной экстракции с помощью набора реагентов RNeasy Mini Kit с использованием Qiazol Lysis Reagent (Qiagen, Германия) по протоколу производителя. Оценку концентрации РНК осуществляли с помощью спектрофотометра NanoPhotometer P-Class (Implen, Германия). Качество выделенной РНК оценивали с помощью набора реагентов Experion RNA StdSens Analysis Kit на автоматической системе для электрофореза Experion (Bio-Rad, США), используя в дальнейшей работе образцы РНК с индексом качества РНК (RQI) не менее 7, как описано ранее [11].
Транскриптомный анализ на микрочипах
Для полногеномного транскриптомного анализа использовали наборы реагентов GeneChip WT PLUS Reagent Kit и GeneChip Hybridization, Wash and Stain Kit с микрочипами GeneChip Human Gene 2.0 ST Array (Thermo Fisher Scientific) по протоколу производителя. На один чип использовали 500 нг образца тотальной РНК, выделенной из биопсийного материала. Обработку транскриптомных данных осуществляли с помощью программного обеспечения Transcriptome Analysis Console v.4.0.1.36 (Thermo Fisher Scientific) с использованием статистической опции eBayes (различия между статистическими величинами считали статистически значимыми при уровне значимости p<0,05). Построение и визуализация сети взаимосвязей генов осуществлялись с помощью плагина GeneMANIA 3.5.1 для Cytoscape 3.7.2.
Постановка полимеразной цепной реакции
В образцах тотальной РНК (по 500 нг на реакцию) с помощью набора реагентов для полимеразной цепной реакции (ПЦР) с обратной транскрипцией в реальном времени («ДНК-технология», Россия) определяли экспрессию 3 референсных генов (B2M, GUSB и TBP) и 16 функциональных генов. ПЦР в реальном времени проводили в двух повторах для каждой точки по следующей программе: предварительная денатурация при 95°C в течение 5 мин, затем 40 циклов из трех шагов каждый: денатурация при 94°C в течение 20 с, отжиг при 64°C в течение 10 с, элонгация при 72°C в течение 15 с; фиксацию флуоресцентного сигнала осуществляли в режиме реального времени. После 40 циклов ПЦР строили кривую плавления.
Результаты
Одно из направлений изучения маркеров и предикторов определенных состояний и вмешательств заключается в построении классификатора, обладающего способностью разделять наблюдения с двумя вариантами на основе анализа экспрессии нескольких генов одновременно, чаще пар и троек генов. При этом экспрессия отдельных генов в составе пар и троек может не различаться достоверно в двух группах наблюдений с разными исходами, однако совместный учет экспрессии данных генов позволяет построить эффективный классификатор. С биологической точки зрения данное наблюдение может объясняться тем, что гены в составе пар и троек могут относиться к взаимосвязанным процессам и сигнальным путям в клетке, поэтому статистически незначимое изменение экспрессии каждого гена может приводить к выраженному суммарному биологическому эффекту.
На микроматрицах Affymetrix GeneChip Human Gene 2.0 ST Array имеются специфичные зонды, соответствующие 40 716 транскриптам из базы данных RefSeq. Из комбинаторики известно, что количество различных сочетаний из n объектов (в нашем случае 40 716 транскриптов) по k объектов в каждом сочетании (в нашем случае 2 для пар генов) определяется следующей формулой:
По данной формуле можно подсчитать, что для сочетаний по 3 гена существует примерно в 13,5 тыс. раз больше вариантов. Для анализа такого количества сочетаний транскриптов необходимо использование суперкомпьютера. В связи с этим был произведен предварительный отбор генов, которые потенциально могут играть роль в определении исходов программ ЭКО. Поскольку биологический смысл пар и троек, как уже было сказано, заключается в суммации эффектов изменения экспрессии нескольких генов с взаимосвязанной функцией, то было отобрано 16 генов, образующих сеть взаимосвязей и играющих роль в определении рецептивности эндометрия. Данные 16 генов образуют сеть взаимосвязей, таких как генетические и физические взаимодействия, совместная экспрессия и локализация, общие белковые домены и сигнальные пути (рис. 1).
Рис. 1. Сеть взаимодействий генов, на основе которых производилось построение классификатора из пар и троек генов.
Fig. 1. A genetic interaction network, used as a base for constructing the classifier from pairs and triples of genes.
Из отобранных 16 генов можно составить 120 пар и 560 троек генов. Для экспрессий данных генов на микрочипах Affymetrix с помощью метода опорных векторов были построены классификаторы, способные линейно разделять пациенток по исходу программы ЭКО (наступление и ненаступление беременности). Для первичной фильтрации результатов был выбран порог чувствительности и специфичности разделения 70%. Ни одна из пар выбранных генов не позволяла достичь необходимого порога классификации, однако 235 из 560 троек генов показали способность к идеальному линейному разделению пациенток. Поскольку с помощью микрочипов Affymetrix было проанализировано только 15 образцов ткани эндометрия, то дальнейшая валидация троек генов производилась по результатам ПЦР на 16 отобранных генах.
Всего проанализировано 47 образцов, из них 15 образцов от женщин, у которых наступила беременность, и 32 образца от женщин, у которых не наступила беременность. Из 235 троек порог по чувствительности и специфичности превысила только одна тройка, состоящая из генов MSX1 (HOX7), HOXA11 и TP53I3.
Рис. 2. Наилучшая плоскость, полученная с использованием метода опорных векторов для классификатора на основе генов MSX1 (HOX7), HOXA11 и TP53I3.
Fig. 2. The best plane obtained with the support vector method for the classifier based on the MSX1 (HOX7), HOXA11 and TP53I3 genes.
Метод опорных векторов при анализе троек генов позволяет построить такую плоскость, которая наилучшим способом разделяет два исхода программы ЭКО. Визуализация наилучшей плоскости для двух выбранных троек представлена на рис. 2. При этом формула имеет вид:
0,741¥ExprMSX1+1,544¥ExprHOXA11-24,769¥ExprTP53I3+0,287,
где ExprMSX1, ExprHOXA11 и ExprTP53I3 – это экспрессия генов MSX1, HOXA11 и TP53I3 соответственно, нормированная на экспрессию референсных генов B2M, GUSB и TBP, при этом у забеременевших после ЭКО женщин значение формулы согласно классификатору должно быть выше 0.
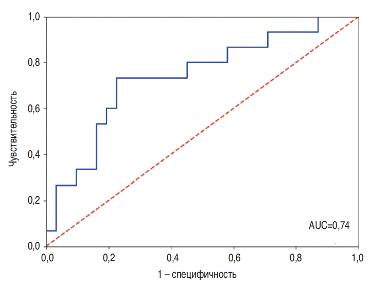
Рис. 3. ROC-кривая для классификатора на основе генов MSX1, HOXA11 и TP53I3.
Fig. 3. ROC curve for the classifier based on the MSX1, HOXA11 and TP53I3 genes.
Для тройки генов MSX1, HOXA11, TP53I3 чувствительность классификатора составила 73%, специфичность – 71%, а площадь под ROC-кривой (AUC) – 0,738 (95% доверительный интервал 0,577–0,898). Прогностическая ценность отрицательного результата составила 84,6%, а положительного – 55,0%. Полученная ROC-кривая представлена на рис. 3, а диаграмма, отражающая распределение значений классификатора в 2 группах, – на рис. 4.
Рис. 4. Диаграмма размаха («ящик с усами»), отражающая распределение значений классификатора, построенного на основе генов MSX1, HOXA11 и TP53I3. Жирной горизонтальной линией обозначена медиана, края «ящика» обозначают верхний и нижний квартиль, «усы» отражают наблюдаемый максимум и минимум, а точки означают выбросы.
Fig. 4. Span chart (“box with a mustache”), reflecting value distribution of the classifier, which was constructed on the basis of the MSX1, HOXA11 and TP53I3 genes. The bold horizontal line indicates the median, “box” edges indicate the upper and lower quartiles, the “mustache” reflects the observed maximum and minimum, and the dots indicate outliers.
Обсуждение
В результате исследования было выявлено, что тройка генов MSX1, HOXA11, TP53I3 позволяет предсказывать исходы программы ВРТ у женщин с многократными неудачными попытками ЭКО в анамнезе и трубно-перитонеальным фактором бесплодия.
Ген MSX1 (HOX7) относится к семейству генов, содержащих гомеобокс, и кодирует транскрипционный фактор, взаимодействующий с основным транскрипционным комплексом и другими гомеопротеинами в процессе эмбриогенеза и онтогенеза. Было выявлено, что экспрессия гена MSX1 отличается в ткани пререцептивного и рецептивного эндометрия [12]. Ген MSX1 участвует в регуляции рецептивности эндометрия, а его сниженная экспрессия в эндометрии была ассоциирована с бесплодием [13]. Данное наблюдение согласуется с формулой классификатора, согласно которой увеличение экспрессии гена MSX1 коррелирует с наступлением беременности в программах ВРТ.
Белок, кодируемый геном TP53I3, сходен с оксидоредуктазами, ферментами, вовлеченными в клеточный ответ на оксидативный стресс и облучение. Данный ген индуцируется опухолевым супрессором p53 и, по-видимому, вовлечен в p53-опосредованную клеточную гибель. Экспрессия проапоптотического гена TP53I3 была повышена в нерецептивном эндометрии по сравнению с рецептивным [14]. При наличии воспаления в тканях эндометрия отмечалась повышенная экспрессия гена TP53I3 [15]. Согласно формуле классификатора, пониженная экспрессия TP53I3 коррелирует с наступлением беременности в циклах ВРТ, что согласуется с приведенными выше результатами исследований.
Ген HOXА11 относится к семейству гомеобокс-содержащих генов. Согласно данным литературы ген НОХА11 относится к числу ключевых регуляторов процессов рецептивности эндометрия [16, 17]. Известно, что ген НОХА11 экспрессируется как в ядрах эпителия желез эндометрия, так и в строме эндометрия в различных участках матки. Кроме того, в процессе трансформации эндометрия в середине цикла в клетках эндометрия значительно увеличивается экспрессия гена НОХА11 [18]. Известно, что снижение уровня продукта того или иного гена может быть вызвано как генетическими причинами (полиморфизмом гена или мутацией), так и эпигенетической регуляцией. В частности, метилирование промоторного участка гена может приводить как к снижению экспрессии гена, так и к полной его инактивации («эпигенетическое молчание»). Ряд работ демонстрирует, что метилирование промотора гена НОХА11 приводит к снижению его экспрессии и снижению рецептивности эндометрия [19]. Также было показано, что мультипараметрическая модель, включающая данные по метилированию гена HOXA11, может предсказывать исходы программ ВРТ при неоднократных неудачных попытках ЭКО в анамнезе [20].
Все эти данные позволяют предполагать, что данные гены связаны с рецептивностью эндометрия, что может определять их связь с исходами программ ВРТ.
Выводы
В результате исследования транскрипционных профилей у пациенток с трубно-перитонельным фактором бесплодия и неоднократными неудачными попытками ЭКО была выявлена тройка генов MSX1 (HOX7), HOXA11 и TP53I3, которая позволила классифицировать образцы в соответствии со статусом «беременность» или «отсутствие беременности». По данным литературы данные гены связаны с рецептивностью эндометрия и могут участвовать в определении «окна имплантации», что и определяет их значимость при классификации исходов программ ВРТ.
Конфликт интересов. Авторы заявляют об отсутствии конфликта интересов.
Conflict of interests. The authors declare that there is not conflict of interests.
About the authors
Ekaterina A. Knyazeva
Kulakov Research Center for Obstetrics, Gynecology and Perinatology
							Author for correspondence.
							Email: dr.knyazeva.ea@gmail.com
				                	ORCID iD: 0000-0002-1472-2018
				                																			                								
Postgraduate Student
Russian Federation, MoscowMaria V. Kuznetsova
Kulakov Research Center for Obstetrics, Gynecology and Perinatology
														Email: mkarja@mail.ru
				                	ORCID iD: 0000-0003-3790-0427
				                																			                								
Cand. Sci. (Biol.)
Russian Federation, MoscowOlga V. Burmenskaya
Kulakov Research Center for Obstetrics, Gynecology and Perinatology
														Email: o_bourmenskaya@oparina4.ru
				                					                																			                								
D. Sci. (Biol.)
Russian Federation, MoscowAndrey E. Donnikov
Kulakov Research Center for Obstetrics, Gynecology and Perinatology
														Email: a_donnikov@oparina4.ru
				                	ORCID iD: 0000-0003-3504-2406
				                																			                								
Cand. Sci. (Med.)
Russian Federation, MoscowElena A. Kalinina
Kulakov Research Center for Obstetrics, Gynecology and Perinatology
														Email: e_kalinina@oparina4.ru
				                	ORCID iD: 0000-0002-8922-2878
				                																			                								
D. Sci. (Med.)
Russian Federation, MoscowReferences
- Хабаров С.В., Хадарцева К.А. Возрастные аспекты в неудачах программ вспомогательных репродуктивных технологий. Вестн. новых медицинских технологий. 2018; 12 (2): 74–9. [Khabarov S.V., Khadartseva K.A. Vozrastnye aspekty v neudachakh programm vspomogatel’nykh reproduktivnykh tekhnologii. Vestn. novykh meditsinskikh tekhnologii. 2018; 12 (2): 74–9 (in Russian).]
 - Bashiri A, Halper KI, Orvieto R. Recurrent Implantation Failure-update overview on etiology, diagnosis, treatment and future directions 11 Medical and Health Sciences 1114 Paediatrics and Reproductive Medicine. Reprod Biol Endocrinol 2018; 16 (1): 1–18.
 - Teh WT, McBain J, Rogers P. What is the contribution of embryo-endometrial asynchrony to implantation failure? J Assist Reprod Genet 2016; 33 (11): 1419–30.
 - Hertig AT, Rock J, Adams EC. A description of 34 human ova within the first 17 days of development. Am J Anat 1956; 98 (3): 435–93.
 - Valdes CT, Schutt A, Simon C. Implantation failure of endometrial origin: it is not pathology, but our failure to synchronize the developing embryo with a receptive endometrium. Fertil Steril 2017; 108 (1): 15–8.
 - Ruiz-Alonso M, Blesa D, Díaz-Gimeno P et al. The endometrial receptivity array for diagnosis and personalized embryo transfer as a treatment for patients with repeated implantation failure. Fertil Steril 2013; 100 (3): 818–24.
 - Mahajan N. Endometrial receptivity array: Clinical application. J Hum Reprod Sci 2015; 8 (3): 121–9.
 - Kibanov MV, Makhmudova GM, Gokhberg YA. In search for an ideal marker of endometrial receptivity: from histology to comprehensive molecular genetics-based approaches. Alm Clin Med 2019; 47 (1): 12–25.
 - Díaz-Gimeno P, Horcajadas JA, Martínez-Conejero JA et al. A genomic diagnostic tool for human endometrial receptivity based on the transcriptomic signature. Fertil Steril 2011; 95 (1): 50–60.e15.
 - Craciunas L, Gallos I, Chu J et al. Conventional and modern markers of endometrial receptivity: A systematic review and meta-analysis. Hum Reprod Update 2019; 25 (2): 202–23.
 - Nikulin SV, Knyazev EN, Poloznikov AA et al. Expression of SLC30A10 and SLC23A3 Transporter mRNAs in Caco-2 Cells Correlates with an Increase in the Area of the Apical Membrane. Mol Biol 2018; 52 (4): 577–82.
 - Burmenskaya OV, Bozhenko VK, Smolnikova VY et al. Transcription profile analysis of the endometrium revealed molecular markers of the personalized “window of implantation” during in vitro fertilization. Gynecol Endocrinol 2017; 33 (Suppl. 1): 22–7.
 - Bolnick AD, Bolnick JM, Kilburn BA et al. Reduced homeobox protein MSX1 in human endometrial tissue is linked to infertility. Hum Reprod 2016; 31 (9): 2042–50.
 - Salilew-Wondim D, Hölker M, Rings F et al. Bovine pretransfer endometrium and embryo transcriptome fingerprints as predictors of pregnancy success after embryo transfer. Physiol Genomics 2010; 42 (2): 201–18.
 - Qin L, Wang R, Li S et al. Differentially Gene Expression Profile Related to Inflammation in Endometrial Cells Induce by Lipopolysaccharide. J Reprod Contracept 2009; 20 (1): 27–34.
 - Knyazeva EA, Alieva KU, Kalinina EA. Ovarian pregnancy after an IVF program in a patient with reduced endometrial receptivity. Akusherstvo Ginekol (Russian Fed.) 2018; 8: 180–4.
 - Knyazeva EA, Kalinina EA, Bystritsky AA et al. Role of HOX genes associated with infertility in female reproductive system diseases. Akusherstvo Ginekol (Russian Fed.) 2017; 11: 16–22.
 - Bourdiec A, Ahmad S-F, Lachhab A et al. Regulation of inflammatory and angiogenesis mediators in a functional model of decidualized endometrial stromal cells. Reprod Biomed Online 2016; 32 (1): 85–95.
 - Du H, Taylor HS. The Role of Hox Genes in Female Reproductive Tract Development, Adult Function, and Fertility. Cold Spring Harb. Perspect Med 2016; 6 (1): a023002.
 - Nazarenko TA, Kalinina EA, Knyazeva EA et al. The role of abnormal hypermethylation of the HOXA10 and HOXA11 promoters in implantation failures in IVF programs. Gynecol Endocrinol 2019; 35 (Suppl. 1): 31–4.
 
Supplementary files
				
			
					
						
						
				






