Ассоциация уровня цитокина VEGF и одиночных нуклеотидных полиморфизмов гена VEGF-А с развитием генитального эндометриоза у женщин популяции Северо-Западного федерального округа России
- Авторы: Куликова Н.В.1,2, Литвинова Л.С.1, Шперлинг Н.В.3, Иванов А.В.2
-
Учреждения:
- ФГАОУ ВО «Балтийский федеральный университет им. Иммануила Канта»
- ФГБОУ ВО «Санкт-Петербургский государственный университет»
- ЧУОО ВО «Медицинский университет “Реавиз”»
- Выпуск: Том 24, № 4 (2022)
- Страницы: 289-293
- Раздел: ОРИГИНАЛЬНАЯ СТАТЬЯ
- Статья опубликована: 29.09.2022
- URL: https://gynecology.orscience.ru/2079-5831/article/view/79469
- DOI: https://doi.org/10.26442/20795696.2022.4.201771
- ID: 79469
Цитировать
Полный текст
Аннотация
Цель. Найти ассоциацию полиморфизмов гена неоангиогенеза VEGF-А С(-460)T (rs833061), С(+936)T (rs3025039) с риском развития генитального эндометриоза в популяции Северо-Западного федерального округа; изучить взаимосвязь полиморфных вариантов гена неоангиогенеза VEGF-А С(-460)T (rs833061), С(+936)T (rs3025039) с содержанием фактора VEGF-A в крови у женщин с генитальным эндометриозом.
Материалы и методы. В исследовании приняли добровольное участие 85 пациенток с гистологически подтвержденным диагнозом «генитальный эндометриоз», возраст пациенток колебался от 19 до 44 лет, средний возраст составил 32,9 (5,8) года, а также 79 женщин, не имеющих очагов эндометриоза в результате проведенной диагностической лапароскопии по поводу бесплодия или внематочной беременности, в возрасте от 20 до 42 лет, средний возраст составил 32,5 (7,2) года (p=0,71). Полученные данные подвергались обработке с помощью пакета статистических программ SPSS 20.0, где оценивали значение χ2, достигнут уровень значимости p.
Результаты. В ходе проведенного исследования нами обнаружена взаимосвязь аллеля С и генотипа СС полиморфизма С(+936)T (rs3025039) гена VEGF-А с генитальным эндометриозом: отношение шансов (ОШ) 2,35, 95% доверительный интервал (ДИ) 1,03–4,61, p=0,023; ОШ 1,89, 95% ДИ 1,03–4,61, p=0,048. Генотип ТТ полиморфизмов С(-460)T (rs833061) и генотип ТТ и аллель Т полиморфизма С(+936)T (rs3025039) гена VEGF-А встречались реже среди пациенток с генитальным эндометриозом: ОШ 0,43, 95% ДИ 0,14–1,29, p=0,023; ОШ 0,06, 95% ДИ 0,04–3,18, p=0,001; ОШ 0,43, 95% ДИ 0,23–1,29, p=0,023. Установлено, что концентрация цитокина VEGF-А в крови у пациенток с генитальным эндометриозом по всем генотипам локуса С(-460)T (rs833061) гена VEGF-А ниже, чем у женщин без эндометриоза. При анализе распределения частот генотипов полиморфного сайта С(+936)T гена VEGF-А выявлено, что в группе сравнения при наличии гетерозиготного генотипа СТ уровень цитокина VEGF-A в 1,5 раза выше относительно гомозиготных генотипов. Проведенный иммуноферментный анализ у обследованных женщин показал снижение (в 2,5 раза) уровня ангиогенного цитокина VEGF-A в сыворотке крови у пациенток, страдающих эндометриозом, в сравнении с группой пациенток без эндометриоза.
Заключение. С целью большего понимания патогенетических особенностей течения эндометриоза и индивидуализации прогноза течения и эффективности терапии заболевания необходим дополнительный анализ ассоциаций полиморфизмов перечисленных генов и уровня фактора ангиогенеза.
Ключевые слова
Полный текст
Введение
Эндометриоз является мультифакторным, рецидивирующим, дисгормональным, иммунозависимым и генетически детерминированным заболеванием, при котором ткань, морфологически и функционально схожая с эндометрием, аберрантно расположена вне матки. Клиническая картина данного заболевания разнообразна, что затрудняет постановку диагноза. Синдром тазовой боли, дисменорея, бесплодие значимо влияют на качество жизни женщин с данной патологией [1–3]. Основу патофизиологии данного заболевания составляют воспалительная реакция, нарушение апоптоза, пролиферация и адгезия клеток, а также инвазия эктопического эндометрия в подлежащие ткани и неоангиогенез [4, 5]. Отмечается, что ключевую роль в развитии и росте эндометриоидных гетеротопий играют процессы неоангиогенеза.
Несмотря на многочисленные исследования, посвященные эндометриозу, многие аспекты его патофизиологии и развития остаются до конца не изученными, а практические достижения в прогнозировании, профилактике и лечении эндометриоза до сих пор остаются несовершенными [6, 7].
В ходе многочисленных исследований, посвященных основам происхождения и развития эндометриоидных поражений, изучены различные факторы, в том числе эндокринные, экологические, иммунные, генетические и эпигенетические [8]. В настоящее время существует достаточно информации о генетическом вкладе в развитие эндометриоидной болезни, однако унифицированной гипотезы, объясняющей все факторы риска, не существует [9].
Известно, что основой этиопатогенеза наружного генитального эндометриоза является отсутствие качественного контроля со стороны иммунной и гормональной систем над пролиферацией и дифференцировкой эндометриоидных гетеротопий [10]. В связи со сказанным перспективным направлением является изучение процессов регуляции апоптоза и элиминации поврежденных и функционально неполноценных клеток эндометрия.
Повышенный адгезивный и инвазивный потенциал клеток эндометрия способствует формированию эндометриоидных гетеротопий, сопровождающихся ангиогенезом, который является необходимым условием данного процесса [11]. Образование de novo кровеносных сосудов регулируется различными ангиогенными молекулами, в том числе фактором роста эндотелия сосудов (VEGF). VEGF является одним из самых мощных ангиогенных медиаторов и стимулирует пролиферацию, миграцию, дифференцировку эндотелиальных клеток, увеличивает проницаемость сосудов и индуцирует образование капилляров, способствуя формированию эндометриоидных поражений [12].
В связи со сказанным для выявления новых механизмов развития и прогрессирования эндометриоза необходимы детальные молекулярно-генетические исследования.
В основу настоящего исследования легло предположение, что наличие минорных аллелей гена VEGF-A замедляет формирование сосудов на пике роста при изменениях гормонального фона. Патогенетическое значение изменений уровня белка VEGF охватывает обширные группы многих мультифакторных заболеваний, в частности онкологических, где VEGF-A играет ключевую роль в метастазировании [13], аутоиммунных нарушений функционирования женской репродуктивной системы, метаболического синдрома и др. [14]. Основой молекулярного механизма нарушения синтеза белка VEGF является наличие минорных аллелей соответствующего гена, которые представляют собой одиночные нуклеотидные полиморфизмы (single nucleotide polymorphism – SNP).
Исходя из сказанного, для выявления новых механизмов развития и прогрессирования эндометриоза необходимы детальные молекулярно-генетические исследования.
Материалы и методы
В исследование включили 85 пациенток с диагнозом «генитальный эндометриоз», возраст пациенток колебался от 19 до 44 лет, средний возраст составил 31,5±12,5 года, и 79 здоровых женщин, возраст колебался от 20 до 42 лет, средний возраст составил 31,0±11,0 года.
Все женщины, включенные в исследование, не имели аллергических и воспалительных заболеваний любой локализации, экстрагенитальных заболеваний в стадии декомпенсации, онкологических заболеваний, наследственных, психических заболеваний, алкогольной и наркотической зависимостей, также в исследование не включены пациентки, участвующие в другом клиническом исследовании и/или отказавшиеся от участия в данном исследовании.
План и дизайн исследования согласованы и одобрены локальным этическим комитетом (протокол №7 заседания локального этического комитета Инновационного парка ФГАОУ ВО «БФУ им. И. Канта» от 9 декабря 2015 г.).
Биологический материал (удаленные участки тканей оперированных органов), полученный во время оперативного вмешательства, подвергали гистологическому исследованию, результаты которого во всех случаях подтвердили наличие эндометриоза.
Группу контроля составили пациентки, которым проводилось хирургическое исследование по поводу эндометриоз- неассоциированного бесплодия, внематочной беременности и хирургической стерилизации.
Образцы геномной ДНК выделены из лейкоцитов венозной крови с использованием коммерческих наборов «ДНК-Экстран-1» согласно протоколу производителя (ЗАО «Синтол», Москва). Генотипирование проводилось методом полимеразной цепной реакции в режиме реального времени с помощью амплификатора ДТ-Прайм («ДНК-Технология», Москва) и наборов для определения полиморфизмов VEGF-А T(-460)C (rs833061), VEGF-А C936T (rs3025039); ЗАО «Синтол», Москва.
Определение уровня белка VEGF в крови проводилось методом иммуноферментного анализа (ИФА). Применены набор реактивов производства «Вектор-Бест», Новосибирск, автоматическое устройство для промывки Infinite F-50 и автоматический ридер с программным обеспечением Magellan F-50, Tecan, Швейцария.
Статистическую обработку полученных данных проводили с помощью программного обеспечения IBM SPSS Statistics v.20.0. Для измеряемых показателей рассчитывались среднее значение и стандартное отклонение. Оценку распределений переменных на соответствие нормальному закону распределения проводили с помощью теста Колмогорова–Смирнова. Статистическую значимость отличий в группах определяли по t-критерию Стьюдента для нормально распределенных данных. Проверку гипотезы о разности частот осуществляли с помощью критерия χ2, кроме случая, когда хотя бы одна из ожидаемых частот меньше 10. В этом случае использовали точный критерий Фишера. За уровень статистической значимости принято p<0,05.
Результаты
Проведенный ИФА у обследованных женщин показал изменение содержания ангиогенного фактора VEGF-A в сыворотке крови у обследованных лиц. Так, у женщин, составивших группу сравнения, уровень VEGF-A в сыворотке крови равен 341,9 (187,4–625,0) пг/мл. У пациенток, страдающих генитальным эндометриозом, содержание VEGF-A в сыворотке крови оказалось значимо ниже по сравнению с показателями в группе женщин без эндометриоза и равным 83,7 (63,9–201,3) пг/мл (p<0,001); табл. 1.
Таблица 1. Концентрация (пг/мл) VEGF-A в крови в исследуемых группах (Me[Q1-Q3]) / Table 1. VEGF-A blood concentration (pg/ml) in the study groups (Me[Q1-Q3])
Показатель | Группа сравнения (n=79) | Пациентки с генитальным эндометриозом (n=85) | Р* |
VEGF-A | 341,9 (187,4–625,0) | 83,7 (63,9–201,3) | p<0,001 |
*Согласно критерию Манна–Уитни. | |||
Исследование полиморфных вариантов гена VEGF-A выявило взаимосвязь генотипа ТТ полиморфизма С(-460)T (rs833061) гена VEGF-А с пониженным риском развития генитального эндометриоза (табл. 2). Аллель С и генотип СС полиморфизма С(+936)T (rs3025039) гена VEGF-А ассоциированы с повышенным, а генотип ТТ и аллель Т полиморфизма С(+936)T (rs3025039) гена VEGF-А – с пониженным риском развития генитального эндометриоза (табл. 2).
Таблица 2. Распределение частот (%) аллелей и генотипов полиморфизмов гена VEGF-A в исследуемых группах / Table 2. Frequency distribution (%) of alleles and genotypes of VEGF-A gene polymorphisms in the study groups
Полиморфизм | Распределение частот генотипов и аллелей | р, χ2 | |
группа сравнения (n=79) | пациентки с генитальным эндометриозом (n=85) | ||
С(-460)T (rs833061) гена VEGF-А | ТТ – 31,6 ТС – 46,8 СС – 21,5 | ТТ – 16,5 ТС – 50,6 СС – 32,9 | р=0,023*, χ2=5,2 р=0,63, χ2=0,23 р=0,10, χ2=2,68 |
Т – 55,1 С – 44,9 | Т – 41,8 С – 58,2 | р=0,08, χ2=2,92 | |
С(+936)T (rs3025039) гена VEGF-А | СС – 40,6 СТ – 38,0 ТТ – 21,4 | СС – 68,2 СТ – 30,6 ТТ – 1,2 | p<0,001*, χ2=12,71 р=0,32, χ2=0,99 p<0,001*, χ2=17,34 |
С – 59,4 Т – 40,6 | Т – 83,5 С – 16,5 | p<0,001*, χ2=10,4 | |
*p<0,05. | |||
Полиморфизм С(-460)T (rs833061) гена VEGF-А находился в неравновесном сцеплении в группах пациенток с эндометриозом и женщин без эндометриоза, что не оказывало влияния на содержание фактора VEGF-A в сыворотке крови.
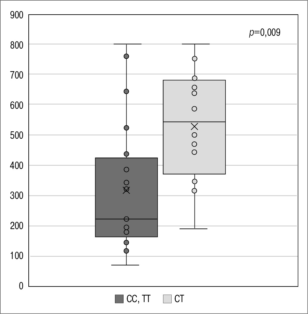
При анализе распределения частот генотипов полиморфного сайта С(+936)T (rs3025039) гена VEGF-А выявлено, что в группе сравнения при наличии гетерозиготного генотипа СТ уровень цитокина VEGF-A в 1,5 раза выше в сравнении с гомозиготными генотипами (рис. 1). Проведенный ИФА позволил выявить значимое снижение (в 2,5 раза) уровня ангиогенного цитокина VEGF-A в крови у всех пациенток, страдающих эндометриозом, относительно значений группы женщин без эндометриоза.
Рис. 1. Содержание (пг/мл) VEGF-A в крови женщин группы сравнения с генотипами полиморфизма С(+936)T (rs3025039) гена VEGF-А. / Fig. 1. VEGF-A blood concentration (pg/ml) in comparison group females with C(+936)T (rs3025039) polymorphism genotypes of VEGF-A gene.
Роль факторов ангиогенеза в патогенезе пролиферативных заболеваний репродуктивной системы является неоспоримой. Как описано выше, наиболее значимым из известных факторов ангиогенеза является VEGF-A, способный не только инициировать митогенную активность и подавлять апоптоз эндотелиальных клеток, но и повышать перфузию сосудов (что изначально определено как основной механизм его действия). Местная гиперэстрогения сопровождается повышением уровня VEGF-A в эндометриальных клетках и усилением процессов неоангиогенеза вокруг эндометриоидной гетеротопии. Также у пациенток с эндометриозом отмечается более высокий уровень VEGF-A в перитонеальной жидкости, который взаимосвязан со степенью тяжести эндометриоза. VEGF-A посредством неоангиогенеза способствует имплантации эктопического эндометрия [15].
VEGF-A кодируется геном на хромосоме 6p12, который включает кодирующую область размером 14 тыс. пар нуклеотидов из 8 экзонов и демонстрирует альтернативный сплайсинг с образованием семейства белков. Путем активации и образования связей с мембранными тирозинкиназными рецепторами (рецептором-1 VEGF и рецептором-2 VEGF) VEGF-А влияет на формирование и пролиферацию новых кровеносных сосудов. В 3`- нетранслируемом регионе гена полиморфная позиция в положении С(+936)Т влияет на уровень VEGF-А в сыворотке крови [16]. По данным литературы, полиморфизм промоторного региона гена неоангиогенеза VEGF-А в позиции +405G/C (rs2010963) ассоциирован с повышением выработки VEGF-А стимулированными мононуклеарными фагоцитами крови [17]. В ходе изучения зарубежной литературы однозначных сведений об ассоциации полиморфизма G(-405)C гена VEGF c риском развития генитального эндометриоза не обнаружено, напротив, встречались как опровергающие, так и подтверждающие взаимосвязь исследования. Поскольку генетические полиморфизмы часто различаются среди этнических групп, столь вариабельные результаты влияния SNP на развитие эндометриоза в разных популяциях могут быть ассоциированы с различным генетическим фоном. Проведенное исследование уточнило, что аллель С и генотип СС полиморфизма С(+936)T (rs3025039) гена VEGF-А повышают риск формирования эндометриоза у женщин славянской популяции Северо-Западного федерального округа. При наличии генотипа ТТ полиморфизма С(-460)T (rs833061), генотипа ТТ и аллеля Т полиморфизма С(+936)Т (rs3025039) гена VEGF-А вероятность формирования эндометриоза, наоборот, снижается. Как уже упоминалось ранее, неоангиогенез создает благоприятные условия для выживания и пролиферации эктопического эндометрия, которая невозможна без усиленной продукции факторов ангиогенеза посредством гиперэстрогении [18]. Выявленные полиморфные варианты гена неоангиогенеза VEGF-А: полиморфизм С(+936)T (rs3025039), полиморфизм С(-460)T (rs833061) – ассоциированные с генитальным эндометриозом, вероятно, способствуют усилению образования VEGF, а также инициации ангиогенеза при эндометриозе.
Заключение
При анализе распределения частот генотипов полиморфного сайта С(+936)T гена VEGF-А выявлено, что в группе сравнения при наличии гетерозиготного генотипа СТ уровень цитокина VEGF-A в 1,5 раза выше относительно гомозиготных генотипов. Проведенный ИФА у обследованных женщин показал снижение (в 2,5 раза) уровня ангиогенного цитокина VEGF-A в сыворотке крови у пациенток, страдающих эндометриозом, в сравнении с группой пациенток без эндометриоза. Очевиден вклад изученных полиморфизмов генов в патогенез эндометриоза.
Раскрытие интересов. Авторы декларируют отсутствие явных и потенциальных конфликтов интересов, связанных с публикацией настоящей статьи.
Disclosure of interest. The authors declare that they have no competing interests.
Вклад авторов. Авторы декларируют соответствие своего авторства международным критериям ICMJE. Все авторы в равной степени участвовали в подготовке публикации: разработка концепции статьи, получение и анализ фактических данных, написание и редактирование текста статьи, проверка и утверждение текста статьи.
Authors’ contribution. The authors declare the compliance of their authorship according to the international ICMJE criteria. All authors made a substantial contribution to the conception of the work, acquisition, analysis, interpretation of data for the work, drafting and revising the work, final approval of the version to be published and agree to be accountable for all aspects of the work.
Источник финансирования. Авторы декларируют отсутствие внешнего финансирования для проведения исследования и публикации статьи.
Funding source. The authors declare that there is no external funding for the exploration and analysis work.
Соответствие принципам этики. Протокол исследования был одобрен локальным этическим комитетом (протокол №7 заседания локального этического комитета Инновационного парка ФГАОУ ВО «БФУ им. И. Канта» от 9 декабря 2015). Одобрение и процедуру проведения протокола получали по принципам Хельсинкской конвенции.
Compliance with the ethics principles. The research protocol was approved by the Local Ethics Committee (protocol №7 of the Local Ethics Committee Meeting of the Innovation Park of I. Kant Baltic Federal University dated 9 December 2015).
Об авторах
Наталья Владимировна Куликова
ФГАОУ ВО «Балтийский федеральный университет им. Иммануила Канта»; ФГБОУ ВО «Санкт-Петербургский государственный университет»
Автор, ответственный за переписку.
Email: dockulikova@rambler.ru
ORCID iD: 0000-0001-8640-0934
аспирант, врач – акушер-гинеколог амбулаторно-диагностического отд-ния эндокринной гинекологии Клиники высоких медицинских технологий им. Н.И. Пирогова
Россия, Калининград; Санкт-ПетербургЛариса Сергеевна Литвинова
ФГАОУ ВО «Балтийский федеральный университет им. Иммануила Канта»
Email: dockulikova@rambler.ru
ORCID iD: 0000-0001-5231-6910
д-р биол. наук, проф., зав. базовой лаб. иммунологии и клеточных биотехнологий
Россия, КалининградНаталья Владимировна Шперлинг
ЧУОО ВО «Медицинский университет “Реавиз”»
Email: shperling2@yandex.ru
ORCID iD: 0000-0002-7865-486X
д-р мед. наук, проф. каф. клинической медицины
Россия, Санкт-ПетербургАндрей Владимирович Иванов
ФГБОУ ВО «Санкт-Петербургский государственный университет»
Email: dockulikova@rambler.ru
ORCID iD: 0000-0002-1676-7754
канд. биол. наук, биолог Клиники высоких медицинских технологий им. Н.И. Пирогова
Россия, Санкт-ПетербургСписок литературы
- Shubina AN, Egorova AA, Baranov VS, Kiselev AV. Recent advances in gene therapy of endometriosis. Recent Pat DNA Gene Seq. 2013;7:169-78. doi: 10.2174/18722156113079990021
- Szubert M, Suzin J, Duechler M, et al. Evaluation of selected angiogenic and inflammatory markers in endometriosis before and after danazol treatment. Reprod Fertil Dev. 2014;26:414-20. doi: 10.1071/RD12258
- Скуратовская Д.А., Юрова К.А., Куликова Н.В., и др. Исследование взаимосвязи полиморфных вариантов генов VEGF и MUC2 с риском развития эндометриоз. Медицинская генетика. 2018;17(8):48-52 [Skuratovskaia DA, Iurova KA, Kulikova NV, et al. Issledovanie vzaimosviazi polimorfnykh variantov genov VEGF i MUC2 s riskom razvitiia endometrioz. Meditsinskaia genetika. 2018;17(8):48-52 (in Russian)].
- Тагиева Ф.А. Метаболический синдром в акушерстве и гинекологии. Свiт медицини та бiологii. 2016;56(2):204-6 [Tagieva FA. Metabolic syndrome in obstetrics and gynecology. The world of medicine and biology. 2016;56(2):204-6 (in Russian)].
- Karaman S, Leppänen VM, Alitalo K. Vascular endothelial growth factor signaling in development and disease. Development. 2018;145(14):pii: dev151019. doi: 10.1242/dev.151019
- Liang S, Huang Y, Fan Y. Vascular endothelial growth factor gene polymorphisms and endometriosis risk: a meta-analysis. Arch Gynecol Obstet. 2012;286:139-46. doi: 10.1007/s00404-012-2270-1
- Saliminejad K, Memariani T, Ardekani AM, et al. Association study of the TNF-alpha -1031T/C and VEGF +450G/C polymorphisms with susceptibility to endometriosis. Gynecol Endocrinol. 2013;29:9747.
- Smith GA, Fearnley GW, Harrison MA, et al. Vascular endothelial growth factors: multitasking functionality in metabolism, health and disease. J Inherit Metab Dis. 2015;38(4):753-63. doi: 10.1007/s10545-015-9838-4
- Куликова Н.В., Коваленко И.И., Литвинова Л.С., и др. Исследование ассоциации одиночных нуклеотидных полиморфизмов генов MUC2 и CYP11B2 с развитием наружного генитального эндометриоза у пациенток славянской популяции Северо-Западного федерального округа России. Гинекология. 2020;22(2):22-5 [Kulikova NV, Kovalenko II, Litvinova LS, et al. A study of the association of single nucleotide polymorphisms of the MUC2 and CYP11B2 genes with the development of external genital endometriosis in patients of the Slavic population of the Northwestern Federal District of Russia. Gynecology. 2020;22(2):22-5 (in Russian)]. doi: 10.26442/20795696.2020.2.200011
- Braza-Boils A, Gilabert-Estelles J, Ramon LA, et al. Peritoneal fluid reduces angiogenesis-related micro RNA expression in cell cultures of endometrial and endometriotic tissues from women with endometriosis. PLoS One. 2013;8:62370. doi: 10.1371/journal.pone.0062370
- Pupo-Nogueira A, de Oliveira RM, Petta CA, et al. Vascular endothelial growth factor concentrations in the serum and peritoneal fluid of women with endometriosis. Int J Gynaecol Obstet. 2007;99:33-7. doi: 10.1016/j.ijgo.2007.04.033
- Capobianco A, Rovere-Querini P. Endometriosis, a disease of the macrophage. Frontiers in Immunology. 2013;28(4):9. doi: 10.3389/fimmu.2013.00009
- Králíčková M, Fiala L, Losan P, et al. Altered Immunity in Endometriosis: What Came First? Immunological Investigations. 2018;47(6):569-82. doi: 10.1080/08820139.2018.1467926
- Matsumoto K, Ema M. Roles of VEGF-A signalling in development, regeneration, and tumours. J Biochem. 2014;156(1):1-10. doi: 10.1093/jb/mvu031
- Soriano D, Schonman R, Gat I, et al. Thoracic endometriosis syndrome is strongly associated with severe pelvic endometriosis and IFNertility. J Minim Invasive Gynecol. 2012;19(6):742-8.
- Khan KN, Fujishita A, Hiraki K, et al. Bacterial contamination hypothesis: A new concept in endometriosis. Reprod Med Biol. 2018;17:125-33.
- D’Hooghe TM, Bambra CS, Raeymaekers BM, et al. Intrapelvic injection of menstrual endometrium causes endometriosis in baboons (Papio cynocephalus and Papio anubis). Am J Obstet Gynecol. 1995;173:125-34.
- Feghali J, Baker J, Mayenga JM, et al. Systematic hysteroscopy prior to in vitro fertilization. Gynecol Obstet Fertil. 2003;31:127-31.
Дополнительные файлы




