Анализ предикторов развития синдрома слабости синусового узла после открытого хирургического лечения фибрилляции предсердий
- Авторы: Карнахин В.А.1, Базылев В.В.1, Воеводин А.Б.1, Сластин Я.С.1
-
Учреждения:
- ФГБУ «Федеральный центр сердечно-сосудистой хирургии» Минздрава России
- Выпуск: Том 11, № 4 (2020)
- Страницы: 20-24
- Раздел: Оригинальные статьи
- Статья получена: 13.02.2021
- Статья одобрена: 13.02.2021
- Статья опубликована: 13.02.2021
- URL: https://cardiosomatics.ru/2221-7185/article/view/60806
- DOI: https://doi.org/10.26442/22217185.2020.4.200571
- ID: 60806
Цитировать
Полный текст
Аннотация
Цель. Выявить и проанализировать предикторы развития синдрома слабости синусового узла (СССУ) у больных с фибрилляцией предсердий.
Материал и методы. В исследование включены 847 пациентов c пароксизмальной (121) и постоянной (726) формой фибрилляции предсердий, перенесших процедуру Cox-Maze IV c коррекцией клапанной и/или коронарной патологии в условиях искусственного кровообращения. В качестве независимых предикторов рассмотрены: объем оперативного вмешательства, клинические, лабораторные и эхокардиографические параметры.
Результаты. Имплантация постоянного электрокардиостимулятора (ЭКС) на госпитальном этапе потребовалась 37 (4,3%) из 847 пациентов. Ни у одного из этих пациентов не отмечали показаний к имплантации ЭКС до вмешательства. Показания для имплантации кардиостимулятора: СССУ – у 30 (3,5%), брадиаритмии – у 6 (0,7%); синдром Фредерика – у 1 (0,11%) пациента. СССУ – наиболее частая причина установки ЭКС. Анализ нейронных сетей показал, что индекс массы тела, время искусственного кровообращения, время искусственной вентиляции легких, а также возраст пациента являются независимыми предикторами развития данного состояния.
Заключение. Ожирение, время искусственного кровообращения, время искусственной вентиляции легких, а также возраст пациента являются независимыми наиболее значимыми предикторами развития СССУ.
Полный текст
ИК – искусственное кровообращение
ИМТ – индекс массы тела
ЛП – левое предсердие
СССУ – синдром слабости синусового узла
ТК – трикуспидальный клапан
ФП – фибрилляция предсердий
ЭКГ – электрокардиография
ЭКС – электрокардиостимулятор
Введение
Фибрилляция предсердий (ФП) – наиболее частая аритмия у пациентов кардиохирургического профиля [1–5]. ФП повышает смертность, риск тромбоэмболических осложнений, снижает качество жизни пациента, увеличивает пребывание пациента в стационаре, связана с повторным поступлением в отделение интенсивной терапии, увеличивает затраты на лечение, а также является предиктором развития таких осложнений, как инсульт, почечная недостаточность, сердечная недостаточность, сепсис [3, 5]. В руководствующих документах Европейского общества кардиологов/Американской ассоциации кардиологов выделяют: впервые выявленную, пароксизмальную, персистирующую, длительно персистирующую и постоянную формы ФП. Однако первые 3 формы не всегда удается полностью разграничить, так как диагностированные клинические варианты могут не коррелировать с частотой и длительностью эпизодов ФП, выявляемых при помощи длительного мониторирования электрокардиографии (ЭКГ) [6, 7]. Лечение ФП антиаритмическими препаратами ограничено из-за множества побочных эффектов и низкой эффективности. Таким образом, хирургическая аблация предсердий – радикальная рекомендованная операция для пациентов с ФП и сопутствующей патологией сердца [8]. Синдром слабости синусового узла (СССУ) – частое осложнение, возникающее с частотой 4–15% [9] у пациентов после радиочастотной катетерной аблации предсердий и включающее такие клинические проявления, как синусовая брадикардия, синусовые паузы, предсердные тахиаритмии и хронотропная недостаточность [10, 11]. В ФГБУ «Федеральный центр сердечно-сосудистой хирургии» г. Пензы операция Cox-Maze IV выполняется с 2010 г., поэтому поставлена цель – выявить все предикторы развития СССУ после сопутствующей операции Cox-Maze IV на основании собственного опыта.
Цель исследования – выявить и проанализировать предикторы развития СССУ у больных с ФП.
Материал и методы
Данное исследование – нерандомизированное наблюдательное ретроспективное. В ФГБУ «Федеральный центр сердечно-сосудистой хирургии» г. Пензы с ноября 2010 по май 2019 г. 847 пациентам выполнена сопутствующая хирургическая аблация предсердий по схеме Cox-Maze IV с целью купирования пароксизмальной (n=121; 14,2%) и постоянной (n=726; 85,7%) формы ФП. Средний возраст составил 58,2±6,7 года, 51% пациентов – мужского пола. Критерий исключения – наличие электрокардиостимулятора (ЭКС) в анамнезе. Клинико-демографические характеристики пациентов представлены в табл. 1. Статистически значимых различий по клинико-демографическим характеристикам между группами не выявили.
Таблица 1. Клинико-демографические характеристики по группам (1-я группа – пароксизмальная форма; 2-я группа – постоянная форма) | |||
Характеристики | Пароксизмальная (n=121) | Постоянная (n=726) | Значение, p |
Возраст | 60,3±6,9 | 57,7±7,3 | 0,795 |
Мужской пол, абс. (%) | 67 (55,3) | 366 (50,4) | 0,313 |
Фракция выброса | 55,4±11,8 | 54,6±11,3 | 0,960 |
Сахарный диабет, абс. (%) | 24 (19,8) | 106 (14,6) | 0,140 |
ИМТ | 28,8±4,9 | 28,2±4,9 | 0,09 |
Диаметр ЛП, мм | 43,6±16,04 | 51,5±18,5 | 0,747 |
Анестезиологическое пособие проводили по схеме: фентанил 10–15 мг/кг, мидазолам 0,1–0,15 мг/кг, рокурония бромид 1,5–2 мг/кг, постоянная ингаляция севофлурана 1,2–3,0 минимальная альвеолярная концентрация. Операции выполнены с помощью стандартной срединной стернотомии, в условиях искусственного кровообращения (ИК). Болюс гепарина введен внутривенно за 10 мин до подключения к аппарату ИК, в дозе 3 мг/кг, для достижения целевого значения активированного времени свертывания >400 с. Дополнительный болюс гепарина вводили при необходимости держать активированное время свертывания на соответствующем уровне. Все перфузии проводили в условиях нормотермии (температура оттекающей венозной крови и в носоглотке 36,5–36,6°С). Защита миокарда достигнута либо кристаллоидной фармакохолодовой кардиоплегией «Кустодиол», либо кровяной, с высоким содержанием уровня калия. Хирургическое лечение по схеме Cox-Maze IV заключалось в изоляции биполярным зажимом устьев легочных вен, формировании соединительных аблационных повреждений между устьями легочных вен – «box lesion set». Следующим этапом выполнялась монополярная аблация перешейка левого предсердия (ЛП) и резекция ушка ЛП.
Аблация правого предсердия заключалась в изоляции ушка правого предсердия, формировании линий к атриотомному доступу, фиброзному кольцу трикуспидального клапана (ТК), к верхней и нижней полой вене, аблации кавотрикуспидального перешейка и коронарного синуса. Аблация выполнена с помощью радиочастотных аппаратов AtriCure Bipolar Medtronic и AtriCure Pen Isolator Synergy Medtronic. Также всем пациентам выполнили сопутствующее лечение коронарной и коррекцию клапанной патологии сердца. Объем оперативного вмешательства представлен в табл. 2.
Таблица 2. Сопутствующие хирургические процедуры (1-я группа – пароксизмальная форма; 2-я группа – постоянная форма) | |||
Объем вмешательства | Пароксизмальная (n=121), абс. (%) | Постоянная (n=726), абс. (%) | Значение, p |
КШ | 29 (23,9) | 56 (7,7) | <0,001 |
МК+КШ | 2 (1,6) | 12 (1,6) | 1,000 |
АК+КШ | 1 (0,8) | 2 (0,2) | 0,345 |
ТК+КШ | 0 | 17 (2,3) | 0,090 |
АК | 0 | 1 (0,1) | 0,683 |
МК | 15 (12,3) | 54 (7,4) | 0,065 |
ТК | 2 (1,6) | 1 (0,1) | 0,010 |
МК+ТК | 46 (38) | 422 (58,1) | <0,001 |
АК+МК | 2 (1,6) | 9 (1,2) | 0,711 |
АК+МК+ТК | 5 (4,13) | 46 (6,3) | 0,346 |
Другие | 19 (15,7) | 106 (14,6) | 0,752 |
Примечание. МК – митральный клапан, КШ – коронарное шунтирование, АК – аортальный клапан. | |||
В обеих группах превалировала коррекция клапанной патологии сердца.
После отключения от аппарата ИК, контроля гемостаза введен протамина сульфат с целью нейтрализации действия гепарина. Время ИК и окклюзии аорты зафиксировали для каждого пациента.
По окончании оперативного вмешательства пациенты переведены в палату реанимации и экстубированы при гемодинамической стабилизации. После хирургической процедуры выполнили непрерывный мониторинг контроля сердечного ритма в 3 стандартных (I; II; III) и 3 усиленных (AVR; AVL; AVF) отведениях. Полный ЭКГ-мониторинг в 3 стандартных, 3 усиленных и 12 грудных (V1–V12) отведениях проводили каждые 12 и 24 ч в палате интенсивной терапии и в стационарном отделении соответственно. При возникновении жалоб пациента на одышку, сердцебиение или приступ стенокардии выполнили дополнительный ЭКГ-контроль. Мониторинг продолжали до выписки пациентов из стационара.
Статистическую обработку материала выполняли с использованием программного обеспечения Statistica 6.0 StatSoft (StatSoft, Inc. Tulsa, USA) и SPSS версии 23 (SPSS, Chicago, IL, USA) MedCalc (Ostend Belgium). Непрерывные переменные представлены в виде m±SD, категориальные переменные – в виде частот и процентов. Для каждой переменной определяли нормальность распределения. Групповые различия оценены с помощью тестов Стьюдента или Манна–Уитни для непрерывных переменных и с помощью критерия c2 – для категориальных переменных. Критический уровень значимости принят за 0,05. Влияние предикторов развития СССУ оценивали с помощью нейронных сетей (многослойный перцептрон).
Результаты
СССУ возник у 30 (3,5%) пациентов, в группе с пароксизмальной формой – у 6 (4,9%), с постоянной формой – у 24 (3,3%). Ни у одного из пациентов не отмечали серьезных осложнений, связанных с аблацией. Интраоперационной смерти не отмечено. У 2 (0,2%) пациентов случился периоперационный инсульт. Госпитальная смертность составила 0,8% в группе пациентов с пароксизмальной формой и 1,7% – в группе с постоянной формой ФП. Характеристика групп и особенности течения послеоперационного периода представлены в табл. 3.
Таблица 3. Сравнение переменных 2 групп пациентов (1-я группа – пароксизмальная форма; 2-я группа – постоянная форма) | |||
Характеристики | Пароксизмальная (n=121) | Постоянная (n=726) | Значение, p |
ИК | 146,7±64,6 | 138,8±31,9 | 0,912 |
Ишемия миокарда | 92,2±34,6 | 92,5±26,8 | 0,994 |
Летальность, абс. (%) | 1 (0,8) | 13 (1,7) | 0,442 |
Имплантация ЭКС, абс. (%) | 7 (5,7) | 30 (4,1) | 0,411 |
Статистической разницы между группами во времени ИК (1-я группа – 146,7±64,6; 2-я группа – 138,8±31,9; р=0,912), времени ИМ (1-я группа – 92,2±34,6; 2-я группа – 92,5±26,8; р=0,994) и частотой имплантации ЭКС (1-я группа – 7 [5,7%]; 2-я группа – 30 [4,1%]; р=0,411) не выявили. Летальность в 1-й группе составила 0,8%; во 2-й – 1,7% (р=0,442).
Постоянная имплантация кардиостимулятора потребовалась у 37 (4,3%) из 847 пациентов в течение госпитального периода наблюдения. Ни у одного из этих пациентов не выявили показаний к имплантации кардиостимулятора до хирургического вмешательства. Причины имплантации ЭКС представлены в табл. 4.
Таблица 4. Показания к имплантации ЭКС (1-я группа – пароксизмальная форма; 2-я группа – постоянная форма) | |||
Причина имплантации ЭКС | Пароксизмальная (n=7), абс. (%) | Постоянная (n=30), абс. (%) | Пациенты (n=37) |
Синдром Фредерика | 0 | 1 (2,7) | 1 |
Брадиаритмия | 1 (2,7) | 5 (13,5) | 6 |
СССУ | 6 (16,2) | 24 (64,8) | 30 |
Показания для имплантации кардиостимулятора – СССУ (n=30), брадиаритмии (n=6), синдром Фредерика (n=1). Как правило, СССУ – наиболее частая причина установки ЭКС.
Поиск ведущих предикторов развития СССУ выполняли при помощи искусственных нейронных сетей, методом многослойного перцептрона (рис. 1).
Рис. 1. Нейронные сети (многослойный перцептрон).
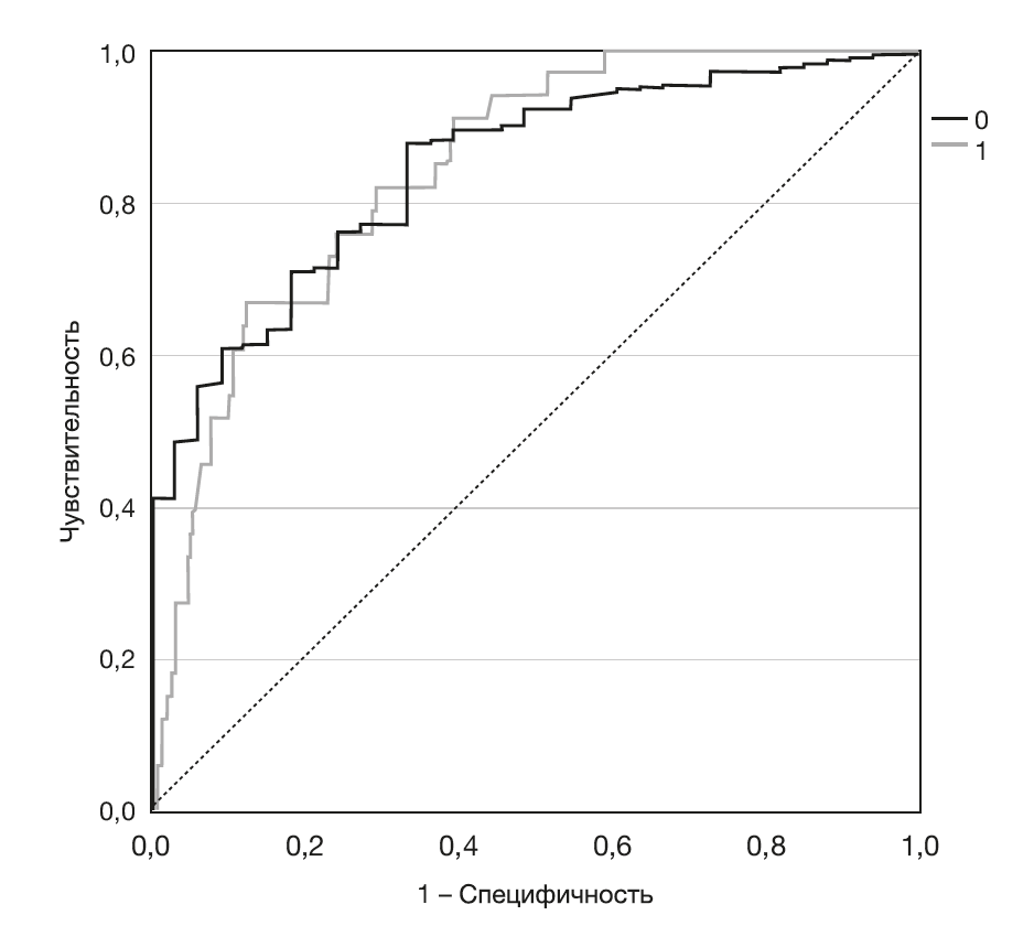
Ожирение – наиболее значимый фактор развития СССУ у пациентов с ФП после процедуры Сox-Maze IV, с нормализованной важностью 100%. Данный факт подтверждается анализом Roc-кривой (рис. 2).
Рис. 2. Roc-анализ взаимосвязи ИМТ и СССУ.
Площадь под кривой составила 0,802, что подтверждает высокую взаимосвязь между индексом массы тела (ИМТ) и СССУ.
Обсуждение
Хирургическая аблация предсердий – основная процедура, рекомендованная для пациентов с диагнозом ФП при выполнении операции на сердце [5]. Благодаря хирургической реиннервации и восстановлению автономной нервной системы к концу первого года после оперативного вмешательства, как правило, значительно улучшается функция синусного узла и сократимости миокарда с практически полной нормализацией [12, 13]. J. Cox впервые сообщил о методике аблации предсердий в 1987 г. [14]. Первоначальная процедура изменена и привела к операции Cox-Maze III, которая с годами стала «золотым стандартом» для хирургической аблации при ФП. В последние годы метод «cut-and-sew» заменен созданием процедуры Cox-Maze IV, заключающейся в трансмуральном поражении предсердий с использованием различных источников тепловой энергии [15, 16]. Используемые источники энергии включают радиочастоту и криоаблацию. Целью является создание трансмуральных поражений, блокируя аритмогенные контуры, поддерживающие ФП. В связи с упрощением операции Cox-Maze III путем замены принципа «вырезать и шить» на трансмуральные термические поражения предсердий в последние годы эта процедура приобретает все большую популярность [17–19]. Процедура Cox-Maze IV при сопутствующей патологии сердца может быть выполнена безопасно, без дополнительного риска для пациента. В мировой литературе сообщается о низкой частоте серьезных осложнений, таких как повреждения коронарных артерий, коронарного синуса или формирование атриоэзофагеальной фистулы [20, 21]. Тем не менее уровень постоянной имплантации кардиостимулятора после хирургической аблации ФП оставался относительно высоким, с показателями до 17% в течение многих лет [22]. В данном исследовании частота имплантаций ЭКС составила 4,3% на 847 больных, что является одним из самых низких цифр по данным мировой и отечественной литературы. Ухудшение работы синусного узла вследствие продолжительной ФП, как правило, носит временные изменения [21, 22], однако некоторым пациентам требуется имплантация постоянного ЭКС. Необратимое нарушение работы синусного узла, по данным литературы, встречается у 4–15% пациентов, а возникновение синусовой брадикардии является субстратом для рецидивов ФП [10, 22]. В нашем исследовании данное состояние развилось у 30 (3,5%) пациентов, что послужило основной причиной имплантации ЭКС. Основные причины возникновения дисфункции синусного узла, по данным литературы: прямая хирургическая травма, деваскуляризация с последующей ишемией и некрозом, а также следствие приема антиаритмических препаратов [23]. Кроме того, дисфункция синусового узла может присутствовать до операции из-за фиброзных изменений миокарда как результат хронической ФП. Дисфункция синусного узла при ФП может протекать латентно и проявиться только при восстановлении синусового ритма после операции. Для анализа причин использованы нейронные сети и Roc-анализ. Нами выявлено, что длительность ИК и пережатия аорты, а также возраст и масса тела пациента оказались основными предикторами развития СССУ. По другим клинико-демографическим характеристикам, особенностям периоперационного течения и объему оперативного вмешательства группы статистически не отличались. Следует отметить, что всем пациентам выполняли весь спектр оперативных вмешательств на сердце, в том числе сложные сочетанные операции на коронарных сосудах и клапанах сердца.
Конфликт интересов. Авторы заявляют об отсутствии конфликта интересов.
Conflict of interests. The authors declare no conflict of interest.
Об авторах
Вадим Александрович Карнахин
ФГБУ «Федеральный центр сердечно-сосудистой хирургии» Минздрава России
Автор, ответственный за переписку.
Email: cardio-penza@yandex.ru
ORCID iD: 0000-0001-6089-9722
врач – сердечно-сосудистый хирург кардиохирургического отд-ния №1
Россия, ПензаВладлен Владленович Базылев
ФГБУ «Федеральный центр сердечно-сосудистой хирургии» Минздрава России
Email: cardio-penza@yandex.ru
ORCID iD: 0000-0002-7078-1274
д-р мед. наук, проф., глав. врач
Россия, ПензаАндрей Борисович Воеводин
ФГБУ «Федеральный центр сердечно-сосудистой хирургии» Минздрава России
Email: cardio-penza@yandex.ru
ORCID iD: 0000-0002-7078-1274
врач – сердечно-сосудистый хирург, зав. кардиохирургическим отд-нием №1
Россия, ПензаЯрослав Сергеевич Сластин
ФГБУ «Федеральный центр сердечно-сосудистой хирургии» Минздрава России
Email: cardio-penza@yandex.ru
ORCID iD: 0000-0002-4962-7651
врач – сердечно-сосудистый хирург кардиохирургического отделения №1
Россия, ПензаСписок литературы
- Ad N, Barnett SD, Haan CK et al. Does preoperative atrial fibrillation increase the risk for mortality and morbidity after coronary artery bypass grafting? Thorac Cardiovasc Surg 2009; 137: 901–6.
- Maesen B et al. Post-operative atrial fibrillation: a maze of mechanisms. Europace 2011; eur208.
- Funk M et al. Incidence, timing, symptoms, and risk factors for atrial fibrillation after cardiac surgery. Am J Critl Care 2003; 12 (5): 424–33.
- Базылев В.В., Немченко Е.В., Сластин Я.С., Карнахин В.А. Взаимосвязь SYNTAX score и фибрилляции предсердий в раннем послеоперационном периоде у пациентов после изолированного коронарного шунтирования. CardioСоматика. 2018; 9 (1): 5–9. [Bazylev V.V., Nemchenko E.V., Slastin Ya.S., Karnakhin V.A. Relationship between SYNTAX score and atrial fibrillation in the early postoperative period in patients after isolated coronary artery bypass grafting. Cardiosomatics. 2018; 9 (1): 5–9 (in Russian).]
- Peretto G et al. Postoperative arrhythmias after cardiac surgery: incidence, risk factors, and therapeutic management. Cardiol Res Pract 2014; 2014.
- Fuster V et al. ACCF/AHA/HRS focused updates incorporated into the ACC/AHA/ESC 2006 guidelines for the management of patients with atrial fibrillation: a report of the American College of Cardiology Foundation/American Heart Association Task Force on Practice Guidelines developed in partnership with the European Society of Cardiology and in collaboration with the European Heart Rhythm Association and the Heart Rhythm Society. J Am Coll Cardiol 2011; 57: e101–98.
- Bulent G et al. 2016. ESC Guidelines for the management of atrial fibrillation developed in collaboration with EACTS. Eur Heart J 2016.
- Calkins H et al. 2012 HRS/EHRA/ECAS Expert Consensus Statement on Catheter and Surgical Ablation of Atrial Fibrillation: Recommendations for Patient Selection, Procedural Techniques, Patient Management and Follow-up, Definitions, Endpoints, and Research Trial Design. Heart Rhythm 2012; 9: 632–96.e21.
- Barnett SD et al. Surgical ablation as treatment for the elimination of atrial fibrillation: a meta-analysis. J Thorac Cardiovasc Surg 2006; 131: 1029–35.
- Кушаковский М.С. Аритмии сердца: Руководство для врачей. СПб.: Гиппократ, 1992. [Kushakovsky M.S. Cardiac arrhythmias: A guide for doctors. Saint Petersburg: Hippocrates, 1992 (in Russian).]
- Кушаковский М.С. Фибрилляция и трепетание предсердий. Лечение фармакологическими и электрофизиологическими (нехирургическими) методами. Вестн. аритмологии. 1998; 7: 56–64. [Kushakovskii M.S. Fibrilliatsiia i trepetanie predserdii. Lechenie farmakologicheskimi i elektrofiziologicheskimi (nekhirurgicheskimi) metodami. Vestn. aritmologii. 1998; 7: 56–64 (in Russian).]
- Pasic M et al. Transient sinus node dysfunction after the Cox-maze III procedure in patients with organic heart disease and chronic fixed atrial fibrillation. J Am Coll Cardiol 1998; 32: 1040–7.
- Pasic M et al. The Cox-maze procedure: parallel normalization of sinus node dysfunction, improvement of atrial function, and recovery of the cardiac autonomic nervous system. J Thorac Cardiovasc Surg 1999; 118: 287–96.
- Cox JL et al. Modification of the maze procedure for atrial flutter and atrial fibrillation, I: rationale and surgical results. J Thorac Cardiovasc Surg 1995; 110: 473–84.
- Cox JL et al. Current status of the Maze procedure for the treatment of atrial fibrillation. Semin Thorac Cardiovasc Surg 2000; 12: 15–9.
- Cheng DC et al. Surgical ablation for atrial fibrillation in cardiac surgery: a meta-analysis and systematic review. Innovations (Phila) 2010; 5: 84–96.
- Blomström-Lundqvist C et al. A randomized double-blind study of epicardial left atrial cryoablation for permanent atrial fibrillation in patients undergoing mitral valve surgery: the SWEDish Multicentre Atrial Fibrillation study. Eur Heart J 2007; 28: 2902–08.
- Ad N, Henry L, Hunt S, Holmes SD. Do we increase the operative risk by adding the Cox Maze III procedure to aortic valve replacement and coronary artery bypass surgery? J Thorac Cardiovasc Surg 2012; 143: 936–44.
- Mohr FW et al. Curative treatment of atrial fibrillation with intraoperative radiofrequency ablation: short-term and midterm results. J Thorac Cardiovasc Surg 2002; 123: 919–27.
- Moten SC, Rodriguez E, Cook RC. New ablation techniques for atrial fibrillation and the minimally invasive cryo-maze procedure in patients with lone atrial fibrillation. Heart Lung Circ 2007; 16: S88–93.
- Yamane T, Shah DC, Jais P et al. Electrogram polarity reversal as an additional indicator of breakthroughs from the left atrium to the pulmonary veins. J Am Coll Cardiol 2002; 39: 1337–44.
- Yamane T, Date T, Kanzaki Y et al. Segmental pulmonary vein antrum isolation using the “large-size” lasso catheter in patients with atrial fibrillation. Circ J 2007; 71: 753–60.
- Pasic M, Musci M, Siniawski H et al. Transient sinus node dysfunction after the Coxmaze III procedure in patients with organic heart disease and chronic fixed atrial fibrillation. J Am Coll Cardiol 1998; 32: 1040–7.





