Актуальные проблемы стандартизации цветков бархатцев отклоненных
- Авторы: Савельева А.Е.1, Куркина А.В.1
-
Учреждения:
- ФГБОУ ВО «Самарский государственный медицинский университет» Министерства здравоохранения Российской Федерации
- Выпуск: Том 21, № 5-6 (2021)
- Страницы: 105-111
- Раздел: Фармация
- Статья опубликована: 15.05.2021
- URL: https://aspvestnik.ru/2410-3764/article/view/105818
- DOI: https://doi.org/10.55531/2072-2354.2021.21.3.105-111
- ID: 105818
Цитировать
Полный текст
Аннотация
Один из перспективных источников флавоноидов — цветки бархатцев отклоненных (Tagetes patula L.). Цель исследования — разработка подходов к стандартизации цветков бархатцев отклоненных, заключающихся в определении подлинности данного сырья и количественного определения биологически активных соединений. В результате проведенного сравнительного хроматографического исследования в цветках бархатцев отклоненных обнаружено наличие флавоноидов с использованием детекции при длине волны 254 и 366 нм до и после проявления спиртовым раствором алюминия хлорида (AlCl3). Разработана методика количественного определения патулитрина и патулетина в цветках бархатцев отклоненных (Tagetes patula L.) методом высокоэффективной жидкостной хроматографии. Содержание доминирующего флавоноида — патулитрина (7-О-β-D-глюкопиранозид 3,5,7,3ʹ,4ʹ-пентагидрокси-6-метоксифлавона) в цветках бархатцев отклоненных варьирует от 5,11 ± 0,18 до 5,64 ± 0,17 %. Ошибка единичного определения патулитрина в цветках бархатцев отклоненных с доверительной вероятностью 95 % составляет ±3,32 %.
Ключевые слова
Полный текст
Введение
В современной фармацевтической промышленности находит широкое применение лекарственное растительное сырье (ЛРС) для получения целого ряда лекарственных растительных препаратов, эффективных для лечения многих заболеваний и оказывающих минимальные побочные действия. Особый интерес представляют лекарственные растения, содержащие флавоноиды, благодаря широкому спектру их фармакологической активности [1–3].
Один из перспективных источников флавоноидов — цветки бархатцев отклоненных (Tagetes patula L.) [4–6]. На сегодняшний день данный вид растительного сырья не является официальным, препаратов на его основе в Российской Федерации не зарегистрировано. В связи с этим актуальным считается вопрос стандартизации цветков бархатцев отклоненных, как перспективного вида ЛРС, основанной на определении количественного и качественного содержания доминирующей в них группы биологически активных соединений — флавоноидов.
Цель настоящего исследования — разработка методик качественного и количественного определения содержания флавоноидов в цветках бархатцев отклоненных методами хроматографического анализа.
Материалы и методы
Материалом исследования стали цветки бархатцев отклоненных сорта «Мандарин», собранные в августе-сентябре 2018 и 2019 гг. в Ботаническом саду Самарского университета в период массового цветения и плодоношения растения.
Тонкослойную хроматографию (ТСХ) осуществляли с использованием хроматографических пластинок Sorbfil ПТСХ-АФ-А-УФ и системе растворителей хлороформ – этанол – вода (25 : 18 : 2). Детекцию веществ на хроматограмме проводили при дневном свете, в УФ-свете при длине волны 254 нм и 366 нм (до и после проявления раствором алюминия хлорида).
Хроматографический анализ осуществляли методом обращенно-фазовой высокоэффективной жидкостной хроматографии (ВЭЖХ) на микроколоночном жидкостном хроматографе «Милихром-6» (НПАО «Научприбор») в следующих условиях: изократический режим, стальная колонка КАХ-6-80-4 (№ 2; 2 × 80 мм; Сепарон-C18 7 мкм), подвижная фаза — ацетонитрил: 1 % раствор уксусной кислоты в воде в соотношении 3 : 7, скорость элюирования — 100 мкл/мин, объем элюента — 2500 мкл. Детекцию веществ осуществляли при длине волны 360 нм. Объемы инжектируемых проб — 4 мкл (патулитрин, патулетин и извлечение из цветков бархатцев отклоненных).
Для выделения флавоноидов использовали колоночную хроматографию на силикагеле L 40/100 (Чехия) с последующей перекристаллизацией (чистота веществ подтверждалась физико-химическими константами и УФ-спектроскопией). Для этих целей нами было получено извлечение из 150 г цветков бархатцев отклоненных сорта «Мандарин» с помощью 70 % этилового спирта в соотношении 1 : 5, которое упаривали под вакуумом, наносили на силикагель L 40/100 и высушивали. В качестве элюентов использовали хлороформ, а также смеси хлороформа и этилового спирта в соотношениях 99 : 1; 98 : 3; 97 : 5; 93 : 7; 90 : 10; 85 : 15; 80 : 20; 70 : 30 и 60 : 40. Элюаты делили на фракции, примерно одинакового объема (по 200 мл), затем упаривали под вакуумом.
Из фракций, полученных элюированием смесью хлороформа и этилового спирта в соотношении 60 : 40, выделили доминирующее вещество с величиной Rf около 0,4, а из фракций, где в качестве элюата выступала смесь хлороформа и этилового спирта в соотношении 93 : 7, выделили вещество с величиной Rf около 0,7.
Идентификацию выделенных соединений проводили на основании данных УФ-, 1Н ЯМР-, 13С ЯМР-спектроскопии. Спектры ЯМР 1Н получали на приборе JNM-ECX 400 (399,78 МГц), спектры ЯМР 13С — на приборе JNM-ECX 400 (100,52 МГц).
Результаты и их обсуждение
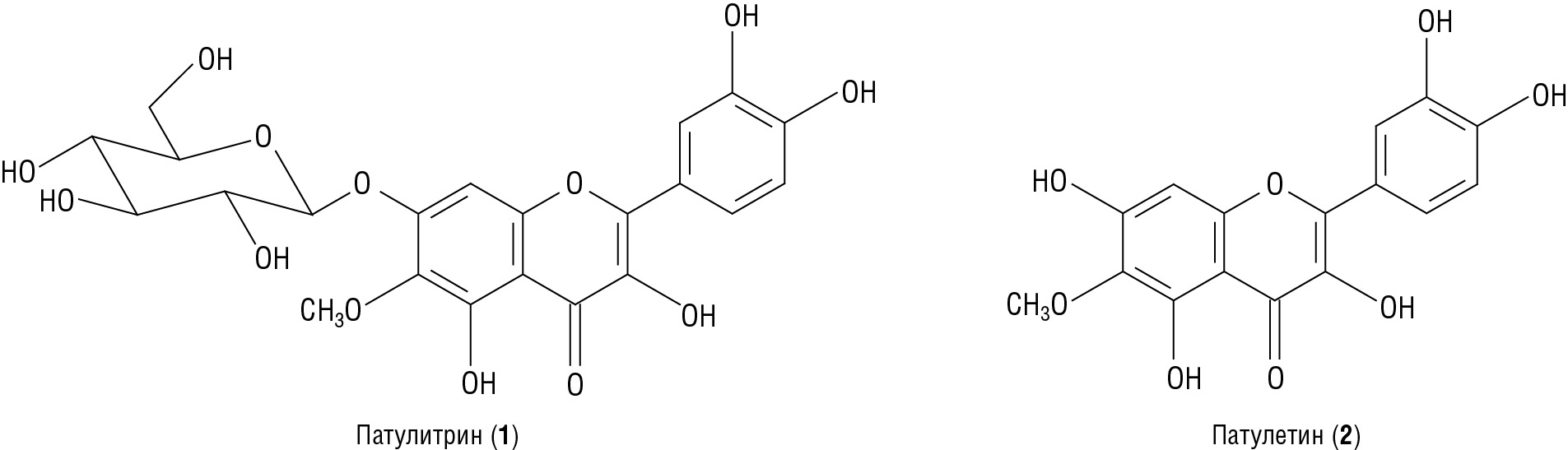
В результате хроматографических исследований нами были выделены флавоноиды, идентифицированные как патулитрин (7-О-β-D-глюкопиранозид 3,5,7,3ʹ,4ʹ-пентагидрокси-6-метоксифлавона) и его агликон — патулетин (3,5,7,3ʹ,4ʹ-пентагидрокси-6-метоксифлавон) (рис. 1).
Рис. 1. Структурные формулы флавоноидов цветков бархатцев отклоненных / Fig. 1. The structural formulas of flavonoids of Tagetes patula L. flowers
Патулитрин (7-О-β-D-глюкопиранозид 3,5,7,3ʹ,4ʹ-пентагидрокси-6-метоксифлавона) (1). Кристаллическое вещество ярко желтого цвета, С22Н22О13, т. пл. 250–252 °C (спирт этиловый). УФ-спектр (EtOH, λmax, нм): 266, 382; +NaOAc 266, 384; +NaOAc + H3BO3 272, 400; +AlCl3 276, 382 пл., 443; +AlCl3 + HCl 275, 382 пл., 438; +NaOMe 303, 373, 445 (пл.).
Спектр ЯМР 1Н (399,78 МГц, ДМСО-d6, δ, м. д.): 12,47 (1H, с, 5-ОН-группа), 9,48 (3Н, уш. с, 3-ОН-группа, 7-ОН-группа и 4ʹ-ОН-группа), 7,70 (1Н, д, J = 2,5 Гц, Н-2ʹ), 7,52 (1Н, дд, J = 2,5 и 8,5 Гц, Н-6ʹ), 6,92 (1Н, с, Н-8), 6,88 (1Н, д, J = 8,5 Гц, Н-5ʹ), 5,11 (1Н, д, J = 7,12 Гц, Н-1ʹʹ глюкопиранозы), 3,75 (3H, с, ОСН3 при С-6), 3,3–4,6 (6Н глюкопиранозы).
Спектр ЯМР 13С (100,52 МГц, ДМСО-d6, δ, м. д.): 176,66 (С-4), 156,89 (С-7), 151,94 (С-5), 151,58 (С-9), 148,43 (С-4ʹ), 148,22 (С-3ʹ), 145,49 (C-3), 135,31 (C-6ʹ), 132,32 (С-2ʹ), 122,39 (С-1ʹ), 120,56 (С-6), 116,08 (С-2), 115,93 (С-5ʹ), 104,12 (С-10), 100,64 (C-1ʹʹ глюкозы), 77,75 (C-5ʹʹ глюкозы), 77,20 (C-3ʹʹ глюкозы), 73,72 (C-2ʹʹ глюкозы), 70,08 (C-4ʹʹ глюкозы), 61,15 (C-6ʹʹ глюкозы), 60,86 (CH3O при С-6).
Патулетин (3,5,7,3ʹ,4ʹ-пентагидрокси-6-метоксифлавон) (2). Кристаллическое вещество ярко-желтого цвета, С16Н12О8; т. пл. 265–267 °C (водный спирт). УФ-спектр (EtOH, λmax, нм): 264, 296 пл., 378; +NaOAc 268, 382 +NaOAc + H3BO3 270, 396; +AlCl3 274, 381 пл., 438; +AlCl3 + HCl 275, 381 пл., 436; +NaOMe 328, 368 пл., 428 (пл.).
Спектр ЯМР 1Н (399,78 МГц, ДМСО-d6, δ, м. д.): 12,54 (1H, с, 5-ОН-группа), 10,65 (1Н, с, 7-ОН-группа), 9,56 (1Н, с, 4ʹ-ОН-группа), 9,32 (1Н, с, 3-ОН-группа), 7,64 (1Н, д, J = 2,5 Гц, Н-2ʹ), 7,50 (1Н, дд, J = 2,5 и 8,5 Гц, Н-6ʹ), 6,85 (1Н, д, J = 8,5 Гц, Н-5ʹ), 6,48 (1Н, с, Н-8), 3,73 (3H, с, ОСН3 при С-6).
Спектр ЯМР 13С (100,52 МГц, ДМСО-d6, δ, м. д.): 176,56 (С-4), 157,50 (С-7), 152,27 (С-5), 151,84 (С-9), 148,24 (С-4ʹ), 147,46 (С-3ʹ), 145,49 (C-3), 135,31 (C-6ʹ), 132,32 (С-2ʹ), 122,39 (С-1ʹ), 120,56 (С-6), 116,08 (С-2), 115,93 (С-5ʹ), 104,12 (С-10), 60,52 (CH3O при С-6).
При проведении анализа методом тонкослойной хроматографии в качестве стандартов использовали не только вещества, выделенные из цветков бархатцев отклоненных, но и кверцетин, описанный ранее для цветков бархатцев отклоненных, причем этот флавоноид изучен в данной в работе в качестве потенциального стандартного образца при разработке методики определения подлинности сырья, так как кверцетин имеет значение Rf около 0,7, соответствующее значению Rf патулетина.
Определено, что наиболее информативными являются хроматограммы, полученные в системе растворителей: хлороформ – этанол – вода (25 : 18 : 2), просматриваемые при длине волны 366 нм до и после обработки спиртовым раствором алюминия хлорида (рис. 2).
Рис. 2. Хроматограмма анализа водно-спиртового извлечения цветков бархатцев отклоненных в системе растворителей хлороформ – этанол – вода (25 : 18 : 2). Детекция в УФ-свете при длине волны 254 нм (a); 366 нм (b); 366 нм после обработки спиртовым раствором AlCl3 (c). 1 — настойка цветков бархатцев отклоненных; 2 — патулетин; 3 — кверцетин; 4 — патулитрин / Fig. 2. The chromatogram of the analysis of water-alcohol extraction of Tagetes patula L. flowers in the system of solvents chloroform – ethanol – water (25:18:2). Detection in UV light at the wavelength of 254 nm (a); 366 nm (b); 366 nm in the presence of alcohol solution of AlCl3 (c). 1 — tincture of Tagetes patula L. flowers; 2 — patuletin; 3 — quercetin; 4 — patulitrin
Принимая во внимание то обстоятельство, что патулитрин и патулетин являются доминирующими флавоноидными компонентами цветков бархатцев, считаем целесообразным проводить оценку количественного содержания данных флавоноидов в изучаемом растительном сырье.
Пробоподготовка для извлечения из цветков бархатцев отклоненных. Около 1 г (точная навеска) измельченного сырья помещали в колбу со шлифом вместимостью 100 мл, прибавляли 50 мл 70 % этанола. Колбу закрывали пробкой и взвешивали на тарированных весах с точностью до ±0,01. Колбу присоединяли к обратному холодильнику и нагревали на кипящей водяной бане (умеренное кипение) в течение 45 мин. Затем колбу охлаждали в течение 30 мин, закрывали той же пробкой, снова взвешивали и восполняли недостающий экстрагент до первоначальной массы. Извлечение фильтровали через бумажный фильтр (красная полоса) и затем дополнительно через мембранный фильтр Milipore (0,45 мкм) (испытуемый раствор).
Приготовление стандартного раствора патулитрина. Около 0,05 г (точная навеска) предварительно высушенного патулитрина (содержание основного вещества ≥98 %) переносили в мерную колбу вместимостью 50 мл, растворяли в 70 % этаноле и доводили объем раствора до метки тем же растворителем.
Приготовление стандартного раствора патулетина. Около 0,05 г (точная навеска) предварительно высушенного патулетина (содержание основного вещества ≥98 %) переносили в мерную колбу вместимостью 50 мл, растворяли в 70 % этаноле и доводили объем раствора до метки тем же растворителем.
Определено, что в указанных условиях хроматографирования при использовании системы ацетонитрил – вода в соотношении 3 : 7 и УФ-детектировании при 360 нм возможно идентифицировать анализируемые компоненты — патулитрин и патулетин (рис. 3–5).
Рис. 3. Высокоэффективная жидкостная хроматограмма извлечения из цветков бархатцев отклоненных: 1 — патулитрин; 2 — патулетин / Fig. 3. HPLC chromatogram of water-alcohol extraction from Tagetes patula L. flowers: 1 — patulitrin; 2 — patuletin
Рис. 4. Высокоэффективная жидкостная хроматограмма патулитрина (1) / Fig. 4. HPLC chromatogram of patulitrin (1)
Рис. 5. Высокоэффективная жидкостная хроматограмма патулетина (2) / Fig. 5. HPLC chromatogram of patuletin (2)
Методом ВЭЖХ фиксировали время удерживания пиков веществ в рабочих стандартных образцах, а также в извлечении из цветков бархатцев отклоненных (табл. 1).
Таблица 1. Время удерживания пиков флавоноидов цветков бархатцев отклоненных / Table 1. The retention time of peaks of flavonoid in Tagetespatula L. flowers
Флавоноид | Время удерживания на хроматограмме, мин | |
стандартный образец | извлечение | |
Патулитрин | 3,188 | 3,009 |
Патулетин | 10,770 | 11,385 |
Добавление раствора патулитрина и патулетина в извлечение проявляется на хроматограмме увеличением интенсивности пика патулитрина и пика патулетина соответственно по сравнению с таковой флавоноидов в исходном испытуемом растворе.
Методика количественного определения патулитрина и патулетина в цветках бархатцев отклоненных. Аналитическую пробу сырья измельчают до размера частиц, проходящих сквозь сито с отверстиями диаметром 3 мм. Около 1 г (точная навеска) измельченного сырья помещают в колбу со шлифом вместимостью 100 мл, прибавляют 50 мл 70 % этилового спирта. Колбу закрывают пробкой и взвешивают на тарированных весах с точностью до 0,01. Колбу присоединяют к обратному холодильнику и нагревают на кипящей водяной бане (умеренное кипение) в течение 45 мин. Затем колбу охлаждают в течение 30 мин, закрывают той же пробкой, снова взвешивают и восполняют недостающий экстрагент до первоначальной массы. Извлечение фильтруют через бумажный фильтр (испытуемый раствор).
В жидкостной хроматограф «Милихром-6» (НПАО «Научприбор») с УФ-детектором вводят 4 мкл полученного раствора. Хроматографируют в условиях обращенно-фазовой хроматографии в изократическом режиме на стальной колонке КАХ-6-80-4 (№ 2; 2 × 80 мм; Сепарон-C18 7 мкм), элюентная система — ацетонитрил/вода в соотношении 3 : 7 с добавлением 1 % уксусной кислоты, скорость элюирования — 100 мкл/мин, объем элюента — 2500 мкл, объем пробы испытуемого раствора — 4 мкл.
Проводят УФ-детектирование при длине волны 360 нм, диапазон чувствительности 0,5. Проводят не менее 3 параллельных определений.
Параллельно 4 мкл раствора патулитрина, а также раствор патулетина вводят в хроматограф и хроматографируют, как описано выше. Проводят определение площади пика патулитрина и патулетина, рассчитывают среднюю площадь пика по результатам 3 определений.
Определяют время удерживания и идентифицируют пик патулитрина и патулетина на хроматограмме испытуемого раствора. Вычисляют площадь пика патулитрина и патулетина на хроматограмме и рассчитывают среднюю площадь пика по 3 параллельным определениям.
Содержание патулитрина в цветках бархатцев отклоненных в пересчете на абсолютно сухое сырье в процентах (X) вычисляют по формуле:
где S — среднее значение площади пика патулитрина (или патулетина) испытуемого раствора, вычисленное из хроматограмм раствора испытуемого образца; S0 — среднее значение площади пика раствора рабочего стандартного образца (РСО) патулитрина (или РСО патулетина), вычисленное из хроматограмм раствора РСО патулитрина (или РСО патулетина); V — объем извлечения, мл; V1 — объем вводимой пробы раствора испытуемого образца, мкл; V0 — объем раствора РСО патулитрина (или РСО патулетина), мл; V2 — объем вводимой пробы раствора РСО патулитрина (или РСО патулетина), мкл; m — масса сырья, г; m0 — масса РСО патулитрина (или РСО патулетина), г; W — потеря в массе при высушивании сырья, %.
Содержание патулетина в цветках бархатцев отклоненных в пересчете на абсолютно сухое сырье в процентах (X) вычисляют по аналогичной формуле (табл. 2).
Таблица 2. Содержание патулитрина в цветках бархатцев отклоненных (сорт «Мандарин») / Table 2. The content of patulitrin and patuletin in water-alcohol extraction from Tagetes patula L. flowers (variety “Tangerine”)
Образец сырья | Содержание патулитрина, % | Содержание патулетина, % |
Цветки бархатцев отклоненных (г. Самара, Ботанический сад Самарского университета, август 2018 г.) | 5,28 ± 0,17 | 0,0063 |
Цветки бархатцев отклоненных (г. Самара, Ботанический сад Самарского университета, сентябрь 2018 г.) | 5,11 ± 0,18 | 0,0023 |
Цветки бархатцев отклоненных (г. Самара, Ботанический сад Самарского университета, август 2019 г.) | 5,64 ± 0,17 | 0,0143 |
Поскольку содержание патулетина в цветках бархатцев отклоненных значительно ниже содержания патулитрина, целесообразно стандартизировать данное сырье только по содержанию патулитрина.
Метрологические характеристики разработанной методики ВЭЖХ-анализа патулитрина свидетельствуют, что ошибка единичного определения содержания патулитрина в цветках бархатцев отклоненных с доверительной вероятностью 95 % составляет +3,32 % (табл. 3).
Таблица 3. Метрологические характеристики методики количественного определения патулитрина в цветках бархатцев отклоненных / Table 3. Metrological characteristics of the method for the quantitative determination of patulitrin in Tagetes patula L. flowers
Образец | f | Xср | S | P, % | t (P, f) | ∆X | E, % |
Извлечение из цветков бархатцев отклоненных | 10 | 5,12 | 0,3808 | 95 | 2,23 | ±0,17 | ±3,32 |
Заключение
Таким образом, результаты проведенных исследований свидетельствуют о целесообразности стандартизации цветков бархатцев отклоненных путем определения наличия в них диагностически значимых флавоноидов — патулитрина и патулетина методом ТСХ, а также количественного содержания доминирующего флавоноида — патулитрина с использованием метода ВЭЖХ и детектированием на УФ-детекторе при длине волны 360 нм.
Авторы заявляют об отсутствии конфликта интересов.
Об авторах
Анна Евгеньевна Савельева
ФГБОУ ВО «Самарский государственный медицинский университет» Министерства здравоохранения Российской Федерации
Автор, ответственный за переписку.
Email: savelieva1997@mail.ru
аспирант кафедры фармакогнозии с ботаникой и основами фитотерапии
Россия, СамараАнна Владимировна Куркина
ФГБОУ ВО «Самарский государственный медицинский университет» Министерства здравоохранения Российской Федерации
Email: a.v.kurkina@samsmu.ru
доктор фармацевтических наук, заведующая кафедрой фармацевтической технологии с курсом биотехнологий
Россия, СамараСписок литературы
- Зайцева Е.Н., Дубищев А.В., Куркин В.А. Анализ влияния рутина и гравитационного воздействия на выделительную функцию почек // Наука и инновации в медицине. 2016. № 4. С. 47–50.
- Зименкина Н.И., Куркин В.А. Разработка подходов к стандартизации коры ореха черного // Аспирантский вестник Поволжья. 2020. № 1–2. С. 131–136. doi: 10.17816/2072-2354.2020.20.1.131-136
- Куркина А.В. Флавоноиды фармакопейных растений: монография. Самара, 2012.
- Ломкина Е.М., Червонная Н.М., Оганесян Э.Т. и др. Влияние экстракта бархатцев на заживление ран при сахарном диабете // Фармация. 2016. Т. 65, № 3. С. 37–39.
- Червонная Н.М., Андреева О.А., Аджиахметова С.Л., Оганесян Э.Т. О содержании фенольных соединений в соцветиях бархатцев распростертых (Tagetes patula L.) // Химия растительного сырья. 2018. № 3. С. 91–98. doi: 10.14258/jcprm.2018033714
- Deepshikha K., Yashodhara V. Evaluation of antioxidant and free radical scavenging activity of Tagetes patula // Annual Research and Review in Biology. 2017. Vol. 13, No. 6. Р. 1–8. doi: 10.9734/ARRB/2017/34349
Дополнительные файлы








