Diuretic activity of thick extract and flavonoids of fruits of the Filipendula Ulmaria (L.) Maxim.
- Authors: Kurkin V.A.1, Sazanova K.N.1, Sharipova S.K.1, Zaitceva E.N.1, Dubishchev A.V.1, Gladunova E.P.1
-
Affiliations:
- Samara State Medical University
- Issue: Vol 6, No 4 (2021)
- Pages: 68-72
- Section: Pharmacology
- Published: 15.12.2021
- URL: https://innoscience.ru/2500-1388/article/view/96122
- DOI: https://doi.org/10.35693/2500-1388-2021-6-4-68-72
- ID: 96122
Cite item
Full Text
Abstract
Objectives – comparative study of the diuretic activity of a thick extract of Filipendula ulmaria (L.) Maxim. fruits and flavonoids spireoside and quercetin isolated from Filipendula ulmaria (L.) Maxim. fruits by column chromatography.
Material and methods. The extractum spissum was obtained by extracting the fruits of Filipendula ulmaria (L.) Maxim. using 70% ethyl alcohol, followed by vacuum evaporation. Spireoside and quercetin were isolated from the fruits of meadowsweet by the method of column chromatography with further purification by recrystallization. The isolated flavonoids were identified using 1H-NMR and 13C-NMR spectroscopy, mass spectrometry, UV spectroscopy, several chemical transformations, and thin-layer chromatography. The thick extract from the fruits of meadowsweet, and also flavonoids spireoside and quercetin were investigated for diuretic activity in albino rats.
Results. The thick extract of the fruits of Filipendula ulmaria (L.) Maxim. at a dose of 50 mg/kg significantly increases diuresis for 4 and 24 hours. At the same time, significant diuretic activity of spireoside was detected only at a dose of 10 mg/kg in the experiment, when diuresis was studied for 4 and 24 hours. Quercetin at a dose of 5 mg/kg increases the daily diuresis of laboratory animals.
Conclusion. A extractum spissum of the fruits of Filipendula ulmaria (L.) Maxim. shows diuretic activity at a dose of 50 mg/kg for 4 and 24 hours of the experiment. Spireoside has diuretic activity at a dose of 10 mg/kg for 4 and 24 hours of the experiment. Quercetin at a dose of 5 mg/kg has the ability to increase diuresis for 24 hours of the experiment. The fruits of Filipendula ulmaria (L.) Maxim. appear to be a promising source of medicines.
Full Text
ТХС – тонкослойная хроматография
ВВЕДЕНИЕ
Лабазник вязолистный Filipendula ulmaria (L.) Maxim. (семейство розоцветные – Rosaceae) широко распространен в европейской части России и Сибири (рисунок 1) [1]. Для экстракционных препаратов цветков, листьев и травы лабазника вязолистного, а также выделенных из данного сырья флавоноидов описаны ноотропные, гепатопротекторные, антиоксидантные антимикробные и противовоспалительные свойства [2–11]. Надземная часть данного растения богата разнообразными биологически активными соединениями, среди которых преобладают фенольные соединения (простые фенолы, фенилпропаноиды, флавоноиды, дубильные вещества), сапонины и другие вещества [2–5, 8–10]. На наш взгляд, перспективным видом лекарственного растительного сырья являются также плоды лабазника вязолистного, содержащие богатый набор биологически активных соединений, среди которых наибольший интерес представляют флавоноиды [11].
Рисунок 1. Лабазник вязолистный (надземная часть).
Так, для препаратов плодов лабазника вязолистного описаны антимикробные свойства и противовоспалительная активность [12, 13]. Водные и водно-спиртовые (на 40% и 70% спирте этиловом) извлечения из плодов и травы лабазника вязолистного и лабазника шестилепестного активны в отношении микроорганизмов: Bacillus cereus, Candida albicans, Escherichia coli, Pseudomonas aeruginosa, Staphylococcus aureus [12, 13]. Выявлено, что широким спектром бактерицидной активности обладает водно-спиртовое извлечение (1:5) на 70% спирте этиловом из плодов лабазника вязолистного, с максимальной активностью в отношении грамположительной бактерии Bacillus cereus [12].
При этом некоторые биологически активные соединения, относящиеся к простым фенольным соединениям и сапонинам, содержащиеся в сырье лабазника вязолистного, могут вызывать задержку жидкости в организме, осложняющую лечение [12].
В этой связи актуальным в плане обоснования без-опасного применения препаратов лабазника вязолистного является сравнительное изучение влияния на выделительную систему густого экстракта из плодов лабазника вязолистного, а также индивидуальных веществ, выделенных из исследуемого растительного сырья.
ЦЕЛЬ
Целью нашего исследования являлось сравнительное изучение диуретической активности густого экстракта плодов лабазника вязолистного и индивидуальных веществ (флавоноидов спиреозида и кверцетина), выделенных из плодов лабазника вязолистного методом колоночной хроматографии.
МАТЕРИАЛ И МЕТОДЫ
Плоды лабазника вязолистного заготовлены и высушены в 2019 году в Самарской области (поселок Алексеевка). Видовую специфичность изучаемого вида лабазника подтверждали с помощью определителей Среднего Поволжья РФ.
В лабораторных условиях было получено водно-спиртовое извлечение (1:5) на основе 70% этилового спирта из плодов лабазника вязолистного, после чего из него путем упаривания под вакуумом получили густой экстракт. Спиреозид и кверцетин были выделены из плодов лабазника вязолистного методом колоночной хроматографии, с последующей очисткой путем перекристаллизации.
950 мл водно-спиртового извлечения (1:5) из плодов лабазника вязолистного для проведения колоночной хроматографии упарили в роторном вакуумном испарителе до 100 мл. Полученное в результате упаривания концентрированное извлечение наносили на сорбент – силикагель L 40/100, затем полученную пробу высушивали. Навеска сорбента для пробы – 60,0 г (30% от массы сырья). Такое же количество сорбента отмеривали для колоночной хроматографии.
Высушенный порошок с пробой (сухой экстракт + силикагель) наносили на слой силикагеля (диаметр – 8 см, высота – 6 см), сформированный в виде взвеси в хлороформе. Колонку последовательно элюировали хлороформом и смесями хлороформ – спирт этиловый и спирт этиловый – вода в различных соотношениях.
Полученные в результате элюирования фракции собирали в маркированные емкости и упаривали в вакуумном испарителе до объема примерно 5–10 мл. Полученные концентрированные фракции переносили в пенициллиновые флаконы и затем подвергали дальнейшему исследованию.
Контроль за ходом элюирования проводили визуально (по интенсивности окраски раствора), а также с использованием метода ТСХ. На хроматографическую пластинку «Сорбфил ПТСХ-АФ-А-УФ», предварительно активированную в сушильном шкафу при 105°С, капилляром наносили образцы концентрированных фракций. Разделение проводили в системе растворителей хлороформ – спирт этиловый – вода (в соотношении 26:16:3). После прохождения фронтом примерно 7–8 см пластинку вынимали, высушивали и просматривали в УФ-свете при длине волны 366 нм и 254 нм.
Идентификация выделенных веществ осуществлялась с помощью 1Н-ЯМР- и 13С-ЯМР-спектроскопии, масс-спектрометрии, УФ-спектроскопии, различных химических превращений, ТСХ.
Изучение диуретической активности проводили в хроническом эксперименте на белых беспородных крысах обоего пола с массой от 200 до 250 г [14]. Животные содержались в условиях вивария на стандартном рационе. Все животные были разделены на группы. В каждой группе было 10 опытных животных. В день эксперимента животным однократно внутрижелудочно при помощи зонда вводили препараты веществ и водную нагрузку в объеме 3% от массы тела, после чего животных помещали в обменные клетки на сутки. Собирались 4-часовые и 24-часовые порции мочи. Препаратом сравнения в 4-часовом эксперименте был выбран фуросемид в пороговой дозе 1 мг/кг, а в 24-часовом опыте – гипотиазид в эффективной средней терапевтической дозе 20 мг/кг.
Полученные в результате всех исследований данные обрабатывали статистически по критерию Манна – Уитни. Статистическую обработку числового материала проводили с использованием статистического пакета IBM SPSS Advanced Statistics 24.0 № 5725-А54, лицензия: Z125-3301-14.
РЕЗУЛЬТАТЫ И ОБСУЖДЕНИЕ
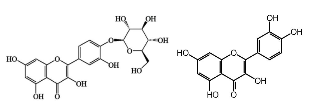
В результате проведенных исследований из плодов лабазника вязолистного впервые выделены флавоноиды 1 и 2, идентифицированные на основании данных 1Н-ЯМР-, 13С-ЯМР-спектроскопии, масс-спектрометрии, УФ-спектроскопии, а также различных химических превращений как спиреозид (4’-O-β-D-глюкопиранозид кверцетина) и кверцетин (3,5,7,3’,4’-пентагидроксифлавон) соответственно (рисунок 2).
Рисунок 2. Химические формулы флавоноидов лабазника вязолистного:1 – спиреозид; 2 – кверцетин.
Хроматографический профиль флавоноидов 1 и 2, а также веществ водно-спиртового извлечения (1:5) из плодов лабазника вязолистного представлен на рисунке 3. Физико-химические и спектральные свойства выделенных из плодов лабазника вязолистного представлены в таблице 1.
Рисунок 3. Хроматографический профиль веществ в видимом свете:1 – водно-спиртовое извлечение (1:5) из плодов лабазника вязолистного; 2 – спиреозид; 3 – кверцетин.
Таблица 1. Физико-химические и спектральные свойства флавоноидов, выделенных из плодов лабазника вязолистного
Table 1. The physical, chemical and spectral properties of flavonoids isolated from the fruits of Filipendula ulmaria
№ п/п | Название вещества | Физико-химические и спектральные свойства веществ |
1 | Спиреозид | 4’-O-β-D-глюкопиранозид кверцетина. Светло-желтое кристаллическое вещество состава С21Н22О12 с т. пл. 228-230°С (водный спирт). УФ-спектры: λmax EtOH 260 нм, 274 нм (пл), 372 нм; + NaOAc 276 нм, 384 нм; + NaOAc + H3BO3 276 нм, 384 нм; +А1С13 265 нм, 274, 424 нм; +А1С13 + HCl 265 нм, 274, 424 нм. 1Н-ЯМР-спектр: (300 МГц, DMSO-d6, δ, м.д., J/Гц): 12,39 (1H, с, 5-ОН), 9,50 (1Н, с, 7-ОН), 9,03 (1Н, с, 3-ОН), 7,68 (1Н, д, 2,5 Гц, Н-2’), 7,63 (1Н, дд, 2,5 и 9 Гц, Н-6’), 7,24 (1Н, д, 9 Гц, Н-5’), 6,43 (1Н, д, 2,5 Гц, Н-8), 6,20 (1Н, д, 2.5 Гц, Н-6), 4,86 (1Н, д, 7 Гц, Н-1’’ глюкозы), 3.2-4,7 (м, 6Н глюкозы). 13С-ЯМР спектр (126,76 МГц, ДМSО-d6, δС, м.д.): С-4 (176,05), С-7 (164,09), С-5 (160,73), С-9 (156,26), С-2 (156,26), С-4’ (146,79), С-3’ (148,38), С-3 (136,41), С-1’ (125,16), С-6’ (121,97), С-2’ (115,68), С-5’ (115,28), С-10 (103,92), С-1’’ глюкозы (101,40), С-8 (98,28), С-6 (93,53), С-3’’ (77,28), С-4’’ (75,97), С-5’’ (75,84), С-2’’ (73,28), С-6’’ (60,76). Масс-спектр: (HR-ESI-MS, 180 °С, m/z): m/z 465,1017 [М + H]+, m/z 487,0836 [М + Na]+, m/z 503,0552 [M + K]+. |
2 | Кверцетин | 3,5,7,3’,4’-Пентагидроксифлавон. Желтое кристаллическое вещество состава С15Н10О7 с т.пл. 314-315°С (водный спирт). УФ-спектры: λmax EtOH 257 нм, 268 нм (пл), 375 нм; + NaOAc 273нм, 386 нм; + NaOAc + H3BO3 273 нм, 390 нм; +А1С13 273, 405 нм; +А1С13 + HCl 270 нм, 401 нм. 1Н-ЯМР-спектр: (300 МГц, DMSO-d6, δ, м.д., J/Гц): 12,63 (1H, с, 5-ОН), 10,78 (1Н, с, 7-ОН), 9,60 (1Н, с, 3-ОН), 9,32 (2Н, уш. с, 3’- и 4’-ОН), 7,67 (1Н, д, 2,5 Гц, Н-2’), 7,53 (1Н, дд, 2,5 и 9 Гц, Н-6’), 6,84 (1Н, д, 9 Гц, Н-5’), 6,38 (1Н, д, 2,5 Гц, Н-8), 6,17 (1Н, д, 2.5 Гц, Н-6). 13С-ЯМР спектр (126,76 МГц, ДМSО-d6, δС, м.д.): С-4 (175,86), С-7 (163,91), С-5 (160,77), С-9 (156,15), С-2 (156,15), С-3’ (147,72), С-4’ (146,08), С-3 (135,72), С-1’ (121,98), С-6’ (120,01), С-2’ (115,76), С-5’ (115,63), С-10 (103,03), С-8 (98,21), С-6 (93,39). Масс-спектр (EI-MS, 70 eV, 200 °С, m/z, %): М+ 302 (100%), 153 (27%), 137 (15 %). |
Флавоноиды 1 и 2 (таблица 1) были исследованы на диуретическую активность: кверцетин в дозе 5 мг/кг, спиреозид в дозе 1, 5 и 10 мг/кг. Параллельно изучался густой экстракт из плодов лабазника вязолистного в дозе 50 мг/кг. Для исследования фармакологической активности в качестве препаратов сравнения были использованы препараты фуросемид (лазикс) (раствор для внутривенного введения, производство «Санофи Индия Лимитед», Индия, серия 0418042) и гипотиазид (таблетки 25 мг №20, Sanofi Aventis, Индия, серия CV005).
Результаты исследования диуретического действия густого экстракта из плодов лабазника вязолистного и индивидуальных веществ, выделенных из сырья данного растения, представлены в таблице 2.
Таблица 2. Результаты исследования диуретической активности веществ и густого экстракта лабазника вязолистного
Table 2. The results of the study of the diuretic activity of the substances and the thick extract from the fruits of Filipendula ulmaria
№ п/п | Препарат, доза | Результат | |
4 часа | 24 часа | ||
1 | Контроль – вода | 1,17±0,12 | 2,00±0,15 |
2 | Густой экстракт плодов лабазника вязолистного, 50 мг/кг | 1,59±0,12* | 3,16±0,24** |
3 | Спиреозид, 1 мг/кг | 1,32±0,13 | 2,14±0,21 |
4 | Спиреозид, 5 мг/кг | 1,05±0,10 | 2,10±0,15 |
5 | Спиреозид, 10 мг/кг | 1,80±0,13* | 2,90±0,15* |
6 | Кверцетин, 5 мг/кг | 1,52±0,11 | 3,67±0,13* |
7 | Фуросемид, 1 мг/кг | 1,44±0,07* | - |
8 | Гипотиазид, 20 мг/кг | - | 2,80±0,14* |
* – достоверность отличий показателей опытной группы от показателей контрольной группы животных, получавших воду, р<0,05;
** – достоверность отличий показателей опытной группы от показателей контрольной группы животных, получавших воду, р<0,01.
Следует отметить, что густой экстракт лабазника в дозе 50 мг/кг существенно увеличивает диурез за 4 часа на 36% и за 24 часа на 58%. При этом достоверная диуретическая активность для спиреозида обнаружена только в дозе 10 мг/кг в опыте, при исследовании диуреза за 4 и 24 часа опыта. Происходит увеличение диуреза на 54% и 45% соответственно, что превышает аналогичный показатель для фуросемида в дозе 1 мг/кг (увеличение действия на 23%) и гипотиазида в дозе 20 мг/кг (увеличение действия на 40%). Другие дозы этого препарата достоверных изменений не показали. Кверцетин в дозе 5 мг/кг увеличивает суточный диурез за 24 часа на 30%, не превышая действие гипотиазида в дозе 20 мг/кг (увеличение действия на 40%).
ЗАКЛЮЧЕНИЕ
- Густой экстракт плодов лабазника вязолистного проявляет диуретическую активность в дозе 50 мг/кг за 4 и 24 часа эксперимента.
- Спиреозид в дозе 10 мг/кг обладает диуретической активностью за 4 и 24 часа эксперимента, превышая действие фуросемида в дозе 1 мг/кг и гипотиазида в дозе 20 мг/кг.
- Кверцетин в дозе 5 мг/кг обладает способностью увеличивать диурез за 24 часа опыта, не превышая действие гипотиазида в дозе 20 мг/кг.
- Диуретическая активность густого экстракта плодов лабазника вязолистного, скорее всего, связана с содержанием в нем флавоноидов, в частности спиреозида и кверцетина.
- Плоды лабазника вязолистного являются перспективным источником лекарственных препара-тов.
Конфликт интересов: все авторы заявляют об отсутствии конфликта интересов, требующего раскрытия в данной статье.
About the authors
Vladmir A. Kurkin
Samara State Medical University
Email: Kurkinvladimir@yandex.ru
ORCID iD: 0000-0002-7513-9352
PhD, Professor, Head of the Department of Pharmacognosy with botany and the basics of phytotherapy
Russian Federation, SamaraKseniya N. Sazanova
Samara State Medical University
Email: kse-sazanova@yandex.ru
ORCID iD: 0000-0002-4287-8386
PhD, assistant of the Department of Management and economics of pharmacy
Russian Federation, SamaraSafiya Kh. Sharipova
Samara State Medical University
Email: safiya49@mail.ru
ORCID iD: 0000-0002-6532-4749
PhD, Associate professor, Department of Chemistry
Russian Federation, SamaraElena N. Zaitceva
Samara State Medical University
Email: 13zen31@mail.ru
ORCID iD: 0000-0001-5689-2077
PhD, Associate professor, Head of the Department of pharmacology
Russian Federation, SamaraAleksei V. Dubishchev
Samara State Medical University
Email: a.v.dubischev@samsmu.ru
ORCID iD: 0000-0003-2597-0815
PhD, Professor of the Department of Pharmacology
Russian Federation, SamaraElena P. Gladunova
Samara State Medical University
Author for correspondence.
Email: epg87@mail.ru
ORCID iD: 0000-0002-8137-7197
PhD, Professor of the Department of Management and economics of pharmacy
Russian Federation, SamaraReferences
- Mayevsky PF. Flora of the middle zone of the European part of Russia. M., 2006. (In Russ.). [Маевский П.Ф. Флора средней полосы европейской части России. М., 2006].
- Krasnov EA, Raldugin VA, Avdeeva EYu. Isolation and antioxidant activity of filimarin, a new flavonol glycoside from Filipendula ulmaria. Khimiko-farmatsevticheskii zhurnal. 2009;43(11):24–25. (In Russ.). [Краснов Е.А., Ралдугин В.А., Авдеева Е.Ю. Выделение и антиоксидантная активность филимарина – нового флавонольного гликозида из Filipendula ulmaria. Химико-фармацевтический журнал. 2009;43(11):24–25]. https://doi.org/10.30906/0023-1134-2009-43-11-24-25
- Shilova IV, Krasnov EA, Korotkova EI, et al. Antioxidant activity of extracts from Filipendula ulmaria aerial parts. Khimiko-farmatsevticheskii zhurnal. 2006;40(12):22–24. (In Russ.). [Шилова И.В., Краснов Е.А., Короткова Е.И. и др. Антиоксидантная активность экстрактов надземной части лабазника вязолистного. Химико-фармацевтический журнал. 2006;40(12):22–24]. https://doi.org/10.30906/0023-1134-2006-40-12-22-24
- Shilova IV, Suslov NI, Provalova NV, et al. Nootropic activity of Filipendula ulmaria aerial parts. Problems of Biological, Medical and Pharmaceutical Chemistry. 2008;4:24–26. (In Russ.). [Шилова И.В., Суслов Н.И., Провалова Н.В. и др. Ноотропная активность экстрактов надземной части лабазника вязолистного. Вопросы биологической, медицинской и фармацевтической химии. 2008;4:24–26].
- Shilova IV, Suslov NI, Semenov AA, et al. Chemical composition and biologically activity of fractions from the extract of Filipendula ulmaria. Khimiko-farmatsevticheskii zhurnal. 2009;43(4):7–11. (In Russ.). [Шилова И.В., Суслов Н.И., Семенов А.А. и др. Химический состав и биологическая активность фракций экстракта лабазника вязолистного. Химико-фармацевтический журнал. 2009;43(4):7–11]. https://doi.org/10.30906/0023-1134-2009-43-4-7-11
- Shilova IV, Khoruzhaya TG, Samylina IA. Development of composition, technology and standardization tablets with of thick extract of Filipendula ulmaria. Khimiko-farmatsevticheskii zhurnal. 2013;47 (10):41–44. (In Russ.). [Шилова И.В., Хоружая Т.Г., Самылина И.А. Разработка состава, технология и стандартизация таблеток с экстрактом лабазника вязолистного сухим. Химико-фармацевтический журнал. 2013;47(10):41–44]. https://doi.org/10.30906/0023-1134-2013-47-10-41-44
- Shilova IV, Gereng EA, Zhavoronok TV, et al. Hepatoprotective properties of the extract of meadowsweet. Problems of biological, medical and pharmaceutical chemistry. 2010;2:28–32. (In Russ.). [Шилова И.В., Геренг Е.А., Жаворонок Т.В. и др. Гепатопротекторные свойства экстракта лабазника вязолистного. Вопросы биологической, медицинской и фармацевтической химии. 2010;2:28–32].
- Shilova IV, Samylina IA, Suslov NI. Standardization of herbs of Filipendula ulmaria. Pharmacy. 2012;2:19–22. (In Russ.). [Шилова И.В., Самылина И.А., Суслов Н.И. Стандартизация травы лабазника вязолистного. Фармация. 2012;2:19–22].
- Shilova IV, Samylina IA, Suslov NI. Development of nootropic agents based on plants in Siberia. Tomsk, 2013. (In Russ.). [Шилова И.В., Самылина И.А., Суслов Н.И. Разработка ноотропных средств на основе растений Сибири. Томск, 2013].
- Plant resources of the USSR: Flowering plants, their chemical composition, use; Families Hydrangeaceae – Haloragaceae. L.: Science, 1987:45–46. (In Russ.). [Растительные ресурсы СССР: Цветковые растения, их химический состав, использование; Семейства Hydrangeaceae – Haloragaceae. Л.: Наука, 1987:45–46].
- Sokolov NS, Sazanova KN, Sharipova SKh, Ryzhov VM. Chromatographic study of the fruits of labaznik vyazolistnogo (Filipendula ulmaria (L.) Maxim.) and the six-leaved laburnum (Filipendula hexapetala Gilib.). In: Modern problems of pharmacognosy. Samara, 2017:123–127. (In Russ.). [Соколов Н.С., Сазанова К.Н., Шарипова С.Х., Рыжов В.М. Хроматографическое исследование плодов лабазника вязолистного (Filipendula ulmaria (L.) Maxim.) и лабазника шестилепестного (Filipendula hexapetala Gilib.). В кн.: Современные проблемы фармакогнозии. Самара, 2017:123–127].
- Sazanova KN, Sharipova SKh, Ryzhov VM, et al. Antimicrobial activity of extracts from the fruits of two types of Filipendula. Pharmacy. 2017;2:47–49. (In Russ.). [Сазанова К.Н., Шарипова С.Х., Рыжов В.М. и др. Антимикробная активность извлечений из плодов двух видов лабазника. Фармация. 2017;2:47–49].
- Sazanova KN, Sharipova SКh, Lyamin AV. Determination of antimicrobial activity of aqueous and hydroalcoholic extracts of the herb of meadowsweet Filipendula ulmaria (L.) Maxim. and Filipendula hexapetala Gilib. Aspirantskij vestnik Povolzhya. 2018;5–6:22–26. (In Russ.). [Сазанова К.Н., Шарипова С.Х., Лямин А.В. Определение антимикробной активности водных и водно-спиртовых извлечений из травы лабазника вязолистного и лабазника шестилепестного. Аспирантский вестник Поволжья. 2018;5–6:22–26]. doi: 10.17816/2072-2354.2018.18.3.22-26
- Zaitceva EN. Method for obtaining diuresis in laboratory animals. Patent for invention 2494703 of the Russian Federation No. 2012104057/13; application. 06.02.12; publ. 10.10.13. Inventions. Utility model. 2013;28:11. (In Russ.). [Зайцева Е.Н. Способ получения диуреза у лабораторных животных. Патент на изобретение 2494703 РФ № 2012104057/13; заявл. 06.02.12; опубл. 10.10.13. Изобретения. Полезные модели. 2013;28:11].
Supplementary files






