Анализ демографических процессов в Пермском крае
- Авторы: Олина А.А.1, Садыкова Г.К.1, Метелева Т.А.1
-
Учреждения:
- Пермский государственный медицинский университет им. академика Е.А. Вагнера
- Выпуск: Том 35, № 3 (2018)
- Страницы: 67-73
- Раздел: Статьи
- Статья получена: 01.08.2018
- Статья опубликована: 15.12.2018
- URL: https://permmedjournal.ru/PMJ/article/view/9178
- DOI: https://doi.org/10.17816/pmj35367-73
- ID: 9178
Цитировать
Полный текст
Аннотация
Цель. Оценить динамику основных демографических показателей (численность населения, половой, возрастной состав населения, число родившихся и умерших, естественный прирост (убыль) населения, миграционный прирост населения) в г. Перми и Пермском крае за период 1990–2016 гг.
Материалы и методы. Проведен анализ данных, представленных отделом переписи населения и демографической статистики территориального органа федеральной службы государственной статистики по Пермскому краю (Пермьстат).
Результаты. В Пермском крае в 2013 г., а в г. Перми в 2012 г. зарегистрировано повышение численности населения, что свидетельствует об окончании периода депопуляции, который наблюдался с 90-х гг. XX в. Анализируемый период в Перми и Пермском крае характеризуется увеличением рождаемости и снижением смертности. Однако естественный прирост населения остается незначительным. В статье дана подробная характеристика гендерной и возрастной структуры женского населения, что позволяет оценить репродуктивный потенциал региона.
Выводы. Выявленные закономерности и тенденции позволяют определить стратегические направления для улучшения медико-демографической ситуации в Пермском крае.
Ключевые слова
Полный текст
Введение
Сокращение численности населения, нарушение его воспроизводства, старение населения – все эти факторы в совокупности характеризуют демографическую ситуацию в Российской Федерации (РФ). На территории СССР, а в дальнейшем и постсоветского пространства ухудшение демографического положения совпало с кризисами в политической, социальной и экономической сферах в 1990-е гг. [4]. В нашей стране на постоянном уровне остается высокий показатель смертности. Сравнение данного показателя в разных странах свидетельствует о том, что в России он превышает европейский показатель в 2,5 раза, а показатель США – в 3 раза [2].
Анализ современной демографической ситуации в региональном разрезе предполагает, что, несмотря на наличие общих черт демографического развития (прежде всего депопуляционного характера рождаемости и низкой продолжительности жизни), субъекты РФ разнообразны и цель демографической политики в их отношении не может быть универсальной. В частности, и Пермский край (ПК) имеет свои демографические особенности. ПК характеризуется как универсальными, связанными с общими процессами социально-экономического развития России, так и уникальными чертами, обусловленными особенностями развития самого региона. Следует отметить, что на неоднородность статистических данных оказало влияние присоединение Коми-Пермяцкого автономного округа. Согласно результатам референдума 1 декабря 2005 г. образован ПК с административным центром в г. Перми. С этого периода в отчетные формы внесены показатели присоединенных территорий.
Цель работы – оценить динамику основных демографических показателей, характеризующих процессы воспроизводства населения в Перми и Пермском крае за период с 1990 по 2016 г.
Материалы и методы исследования
Проведен анализ демографических показателей (численность населения, половой, возрастной состав населения, число родившихся и умерших, естественный прирост (убыль) населения, миграционный прирост населения) в г. Перми и ПК за период 1990–2016 гг., представленных отделом переписи населения и демографической статистики территориального органа федеральной службы государственной статистики по ПК (Пермьстат).
Результаты и их обсуждение
В ПК отсутствует стабильная положительная динамика численности населения (табл. 1): за период с 1990 по 2012 г. население уменьшилось на 13,1 % (396 900 чел.), и только начиная с 2013 до 2015 г. зарегистрировано увеличение на 0,3 % (124 чел.). В 2016 г. численность населения уменьшилась на 1503 чел., цепной тип прироста – 3,9 %.
При рассмотрении показателей численности населения по г. Перми можно сделать вывод, что за 26 лет (1990–2016 гг.) она снизилась на 14,5 % (338 900 чел.). Наиболее выраженное снижение наблюдали в середине 90-х гг. (см. табл. 1). Так, в 1994 г. население уменьшилось на 10 351 чел., в 1995 г. – на 25 797 чел., в 1996 г. – на 10 430 чел., что связано с политическими, социальными и экономическими изменениями в стране в целом.
Таблица 1. Динамика численности населения и численности женщин ПК и г. Перми за 1990–2016 гг., тыс. чел.
Год | Численность населения ПК | Численность населения г. Перми | Численность женщин ПК | Численность женщин г. Перми |
1990 | 3028 | 2331 | 1605 | 575 |
1995 | 2964 | 2267 | 1574 | 562 |
2000 | 2879 | 2176 | 1538 | 553 |
2005 | 2752 | 2073 | 1492 | 545 |
2010 | 2649 | 1981 | 1435 | 545 |
2011 | 2634 | 1976 | 1427 | 554 |
2012 | 2632 | 1970 | 1426 | 560 |
2013 | 2635 | 1979 | 1425 | 566 |
2014 | 2636 | 1986 | 1425 | 570 |
2015 | 2637 | 1992 | 1425 | 641 |
2016 | 2634 | 1992 | 1423 | 586 |
Рост населения г. Перми начался с 2012 г., и к 2016 г. прирост составил 1,1 % (22 000 чел.). Отметим, что по городу произошел более ранний прирост населения по сравнению с краем, где положительная динамика прослеживалась только начиная с 2013 г. и составила 0,2 %.
Изучение гендерной структуры населения показало преобладание женского населения в ПК, причем доля женщин постепенно увеличивается и составляет в 1990 г. 53,0 %, в 1995 г. – 53,1 %, в 2016 г. – 54,1 %. По г. Перми также отмечается рост удельного веса женщин на 2,9 % за анализируемый период, при этом число женщин в ПК уменьшилось на 182 837 чел. (11,3 %). В г. Перми до 2009 г. отмечалось снижение численности женщин на 5 % (8543 чел.), а с 2010 г. до настоящего времени прослеживается динамика увеличения этой группы на 7,5 % (21 228 чел.).
Значительные изменения выявлены в возрастном составе женского населения. За анализируемый период в группе фертильного возраста, к которой по критериям ВОЗ относят женщин в возрасте от 15 до 49 лет, в ПК отмечается снижение на 87 342 чел. (13 %), тогда как в г. Перми прослеживается увеличение на 27 022 чел. (10,6 %). Важное значение имеет снижение численности девочек от 0 до 14 лет в ПК на 137 463 чел. (38,2 %), в г. Перми – на 51 717 чел. (40,2 %), так как именно эта группа формирует «репродуктивный потенциал». С 2008 г. наблюдается снижение количества девушек-подростков в возрасте от 15 до 19 лет в ПК на 36 135 чел. (41 %), в г. Перми на 14 797 чел. (42,8 %). Группа женщин позднего фертильного возраста (45–49 лет) ежегодно увеличивается, прирост в ПК составил 23 640 чел. (36 %), в г. Перми – 9593 чел. (40 %), что также определяет неблагоприятное репродуктивное будущее.
Отметим, что чем больше лиц молодого возраста, тем выше демографический потенциал общества. В современных условиях крайне сниженного воспроизводства населения вопросы медико-социального обеспечения по сохранению здоровья девушек-подростков становятся приоритетными и должны стать объектом профилактического воздействия с целью укрепления репродуктивного потенциала страны.
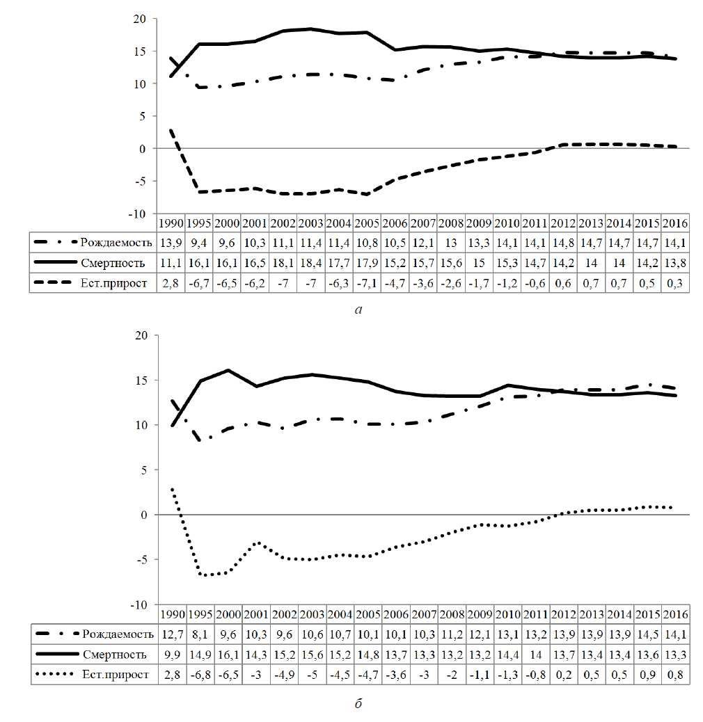
Одна из основных причин депопуляции населения – низкая рождаемость, не обеспечивающая даже простого замещения родительских поколений поколениями детей. Оценивая современный уровень рождаемости, важно проанализировать динамику, обратив особое внимание на период после 2006 г. Начиная с 2007 г., прежде всего в результате реализации новых мер помощи семьям с детьми (программа материнского капитала), показатели рождаемости росли в той или иной мере во всех регионах страны. В ПК наиболее низкий уровень рождаемости отмечен в 1995 г. – 9,3 на 1000 населения. В последующем наблюдалось постепенное повышение, и в 2016 г. показатель достиг уровня 14,1 (рис. 1, а). Максимальный прирост рождаемости наблюдали в 2010 г. (7330 чел.). Минимальный прирост зафиксирован в 1995 г. (–14 456 чел.). В среднем уровень рождаемости в ПК ежегодно сокращается на 1,2 % (492,5 чел.).
Рис. 1. Динамика показателей рождаемости, смертности и естественного прироста за 1990–2016 гг. на 1000 человек населения: а – по ПК; б – по г. Перми
Анализ рождаемости г. Перми показал обратную тенденцию. Так, с 1990 по 1995 г. отмечали снижение рождаемости на 37,3 % (см. рис. 1, б), а с 1996 г. наблюдается постепенное повышение показателя, который достиг в 2016 г. 14,1 на 1000 населения. За анализируемый период рождаемость увеличилась на 12 % (1654 чел.), базисный темп прироста составил 7,53 %, а в среднем рождаемость ежегодно увеличивалась на 1,1 %. Максимальный прирост рождаемости наблюдался в 2010 г. (2618 чел.). Минимальный прирост зафиксирован в 1995 г. (–5411 чел.). С каждым годом рождаемость в Перми в среднем увеличивается на 165,4 чел.
Таким образом, анализ уровня рождаемости показывает, что за последние 26 лет прослеживается положительная динамика. Данная ситуация свидетельствует о том, что семьи в большей степени готовы скорректировать свое репродуктивное поведение в сторону увеличения числа детей в связи с оказанием семьям социальной помощи, улучшением условий их жизнедеятельности.
Период конца XX в. – начала XXI в. российской истории знаменуется демографическим кризисом, резким увеличением заболеваемости и смертности населения. В 1991 г. этот феномен роста смертности и одновременного снижения рождаемости был назван демографами «русский крест». Естественная убыль населения в РФ сохранялась с 1991 по 2011 г., только потом наблюдался положительный тренд. В 2012 г. зафиксирован так называемый «второй русский крест», когда уровень рождаемости вырос на 7 %, уровень смертности понизился на 1,5 % [1].
В ПК уровень естественной убыли населения с 1990 до 2003 г. составил 150 % (см. рис. 1, а). Положительная динамика наблюдалась начиная с 2006 до 2016 г., когда этот показатель составил 0,3 на 1000 чел. населения. По г. Перми позитивный тренд естественного прироста населения прослеживался с 2007 г. (на 73 %), и к 2016 г. составил 0,8 на 1000 чел. населения (см. рис. 1, б).
К факторам, влияющим на уровень рождаемости, относятся социально-экономи ческие, психологические, а также медицинские. К числу социально-экономических факторов, влияющих на динамику деторождения, принято относить уровень урбанизации. Для ПК характерен высокий уровень урбанизации (75 %) и концентрация городского населения (более 60 %) в городах с численностью 100 тыс. чел. и более (города Пермь, Березники, Соликамск) [3]. Формирование системы городских поселений отличалось рядом региональных особенностей: базовым характером отраслей промышленного производства, стимулировавших развитие большинства населенных пунктов; преимущественным развитием малых городских поселений на основе добычи минерально-сырьевых ресурсов, заготовки леса и т.п.; гипертрофированным развитием производственных функций в ущерб социальной сфере. Замечено, что у городского населения рождаемость ниже, чем у сельских жителей, однако в последние годы эти показатели уравниваются. Относительный показатель рождаемости сельского населения в 2005 г. – 11,4; в 2012 г. – 17,4; в 2016 – 14,2, тогда как по г. Перми в 2005 г. – 10,8; в 2012 г. – 13,9; в 2014 г. – 13,9; в 2016 – 14,1.
Воздействие на рождаемость оказывает также семейное положение. Эти параметры находятся на стыке демографических и социально-экономических причин, так как брачные и репродуктивные отношения регулируются другими факторами социально-психологического, поведенческого, культурного характера. При анализе показателей браков и разводов в ПК за период с 1990 по 2005 г. отмечается снижение количества актов заключения брака, а с 2006 по 2013 г. ситуация изменилась в сторону увеличения числа заключенных браков на 26 %. Однако за последний год вновь наблюдается уменьшение количества браков на 24 % (цепной тип прироста). В отличие от ПК, в г. Перми за анализируемый период количество заключенных браков уменьшилось на 6,4 %, при этом количество разводов возросло на 2 % (табл. 2).
Таблица 2. Динамика браков и разводов по ПК за 1990–2016 гг.
Год | Число браков | Число разводов | На 1000 человек населения браков | На 1000 человек населения разводов | На 1000 браков приходится разводов |
1990 | 21 800 | 7977 | 7,9 | 2,6 | 335 |
1995 | 17 790 | 11 367 | 6 | 3,8 | 639 |
2000 | 14 044 | 9454 | 4,9 | 3,3 | 673 |
2003 | 17 603 | 13 577 | 6,3 | 4,8 | 771 |
2004 | 14 418 | 10 137 | 5,2 | 3,6 | 703 |
2005 | 17 713 | 9867 | 6,4 | 3,6 | 557 |
2006 | 18 839 | 11 035 | 6,9 | 4 | 586 |
2007 | 22 481 | 12 196 | 8,3 | 4,5 | 543 |
2008 | 20 599 | 12 295 | 7,6 | 4,5 | 597 |
2009 | 21 887 | 11 768 | 8,1 | 4,4 | 538 |
2010 | 23 193 | 10 657 | 8,8 | 4 | 459 |
2011 | 25 963 | 11 322 | 9,9 | 4,3 | 436 |
2012 | 23 083 | 11 450 | 8,8 | 4,3 | 496 |
2013 | 23 773 | 12 428 | 9 | 4,7 | 523 |
2014 | 23 139 | 12 569 | 8,8 | 4,8 | 543 |
2015 | 21 657 | 10 667 | 8,2 | 4 | 493 |
2016 | 17 566 | 10 952 | 6,7 | 4,2 | 623 |
Динамика миграционного прироста как г. Перми, так и ПК неоднородна (табл. 3, рис. 2). В 2010 г. отмечался высокий уровень миграции как городского населения, так и сельского. Уже в 2011 г. городское население увеличилось на 64 %. Впоследствии эта тенденция сохранилась. Миграционная убыль сельского населения продолжает уменьшаться, разница между 2010 и 2016 гг. составила 66 %. Интересный факт, что в 2013 г. уровень миграционного прироста в ПК составил всего 22 человека. Это объясняется тем, что в этот год практически сравнялись уровни миграционного прироста городского населения и убыли сельского. Население края меняет место жительства на другие регионы страны: Центральный, Уральский, Северо-Западный и Южный федеральные округа. В 2016 г. особое предпочтение жители края отдали городу Москве и Московской области (миграционный отток составил 559 человек), Свердловской области (403 человека), Краснодарскому краю (306 человек), Санкт-Петербургу и Ленинградской области (305 человек), а также Тюменской области (198 человек). В свою очередь, население Пермского края пополняется мигрантами из стран ближнего зарубежья, в первую очередь из Таджикистана, Узбекистана, Азербайджана и Кыргызстана.
Таблица 3. Миграционный прирост в г. Перми и Пермском крае за 2010–2016 гг., чел.
Год | Пермский край | Пермь |
2010 | –12037 | –2878 |
2011 | –807 | 4732 |
2012 | 1910 | 8102 |
2013 | 22 | 6240 |
2014 | –1058 | 5025 |
2015 | –4014 | –1077 |
2016 | –3201 | –206 |
Рис. 2. Характеристика миграционного прироста в ПК за 2010–2016 гг. на 10 000 человек населения
Выводы
- Анализируемый период в Перми и ПК характеризуется увеличением рождаемости и снижением смертности. Однако естественный прирост населения остается незначительным.
- Изучение гендерной структуры населения показало преобладание женского населения, причем количество женщин фертильного возраста (15–49 лет) снизилось за анализируемый период на 13 % (87 342 чел.). Также наблюдалось снижение числа девочек 0–14 лет на 38,9 % и женщин молодого репродуктивного возраста (15–19 лет) на 40,2 %, что программирует в будущем снижение воспроизводства населения, ставит под сомнение возможность простой замены населения, тем более естественного прироста.
- При анализе социальных факторов, оказывающих влияние на рождаемость, выявлено снижение количества заключенных браков и повышение числа разводов в Перми и ПК. Данный фактор имеет значительное негативное влияние на отношение современной молодежи к институту семьи.
- Наблюдается высокая миграционная активность населения в виде убыли сельского населения и прироста городского, что является косвенным признаком снижения рождаемости, так как традиционно уровень рождаемости сельского населения выше.
Безусловно, основным гарантом воспроизводства населения является государственная поддержка. В настоящее время в ПК реализуется государственная целевая программа, направленная на повышение рождаемости «Концепция демографической политики Российской Федерации на период до 2025 года». Однако, как показал проведенный анализ, ситуация продолжает оставаться тревожной. Таким образом, требуется дальнейшее совершенствование мер, направленных на улучшение демографической ситуации.
Об авторах
Анна Александровна Олина
Пермский государственный медицинский университет им. академика Е.А. Вагнера
Автор, ответственный за переписку.
Email: gulnara-sadykova@mail.ru
доктор медицинских наук, профессор кафедры акушерства и гинекологии
Россия, 614000, г. Пермь, ул. Петропавловская, 26Гульнара Камильевна Садыкова
Пермский государственный медицинский университет им. академика Е.А. Вагнера
Email: gulnara-sadykova@mail.ru
кандидат медицинских наук, доцент кафедры акушерства и гинекологии
Россия, 614000, г. Пермь, ул. Петропавловская, 26Татьяна Александровна Метелева
Пермский государственный медицинский университет им. академика Е.А. Вагнера
Email: gulnara-sadykova@mail.ru
ассистент кафедры акушерства и гинекологии]
Россия, 614000, г. Пермь, ул. Петропавловская, 26Список литературы
- Демографический ежегодник России: стат. сб. М.: Росстат 2017; 263, available at: http:// www.gks.ru/free_doc/doc_2017/demo17.pdf
- Максаковский В.П. Демографический кризис в современном мире. География ПС 2014; 23: 13-14.
- Пермский край в цифрах: краткий стат. сб. Пермь: Росстат 2017; 180, available at: http://docplayer.ru/52942086-Permskiy-kray-v-cifrah-2017.html
- Халтурина Д.А., Коротаев А.В. Русский крест. Факторы, механизмы и пути преодоления демографического кризиса в России. М.: Либроком 2013; 128.
Дополнительные файлы





