Средства анализа процесса СВС на основе хронографического и топографического представления тепловизионных данных
- Авторы: Долматов А.В.1, Бересток Г.М.2
-
Учреждения:
- Югорский государственный университет
- Окружная клиническая больница
- Выпуск: Том 13, № 3 (2017)
- Страницы: 64-73
- Раздел: Статьи
- Статья опубликована: 15.09.2017
- URL: https://vestnikugrasu.org/byusu/article/view/7771
- DOI: https://doi.org/10.17816/byusu201713364-73
- ID: 7771
Цитировать
Полный текст
Аннотация
В работе представлены средства измерения параметров пространственной и временной когерентности температуры в микрообластях волны самораспространяющегося высокотемпературного синтеза (СВС) и выявления взаимосвязи между событиями возгорания отдельных очагов. Методика определения показателей структуры тепловой волны синтеза опирается на хронографическое и топографическое представление микротепловизионных данных в виде карт, которые визуализируют эргодичность процесса СВС и способствуют распознаванию на тепловизионных изображениях отдельных очагов горения. Эргодичность рассматриваемого явления использована в методике для определения времени индукции очагов горения, времени их роста, скорости роста очагов тангенциально к фронту волны СВС, размеров очагов в направлении нормали к фронту. Методика реализована в виде программного обеспечения, интегрированного в оригинальный микротепловизионный комплекс. Апробация методики представлена результатами экспериментальных исследований системы Ni+Al+NiAl с вариацией доли и дисперсности инертной добавки. Погрешность измерения нормаль- ной скорости фронта волны СВС с помощью предложенной методики составила 0.05 %.
Ключевые слова
Полный текст
Введение
Самораспространяющийся высокотемпературный синтез (СВС) материалов из порошковых смесей в режиме волнового горения представляет экзотермический процесс, в котором закономерности структуро- и фазообразования продукта тесно увязаны с тепломассопереносом в дискретной среде и химической кинетикой реакций [1–3]. В волне синтеза продукты разогреваются до температур 1200–4500 К, что позволяет исследовать данное явление средствами оптических измерений [4, 5]. Скоростная тепловизионная съемка процесса СВС через оптический микроскоп (микротепловизионная съемка) показывает, что волна горения состоит из отдельных очагов, которые вспыхивают через квазирегулярный интервал времени и имеют характерные размеры, зависящие от параметров шихты и условий теплоотвода в окружающую среду [6–8]. Большинство современных средств наблюдения феномена СВС позволяют контролировать только два параметра тепловой волны реакции – скорость ее распространения и температуру [9–13]. Это удовлетворяет потребностям фундаментальных математических моделей явления [14], но недостаточно для его детального анализа и выявления закономерностей в тепловой структуре волны горения.
Настоящая работа была нацелена на создание средств измерения параметров пространственной и временной когерентности температуры в микрообластях процесса и выявление взаимосвязи между событиями их возгорания.
Оборудование и методика эксперимента
Экспериментальные исследования процесса распространения волны СВС осуществлялись на оригинальном микротепловизионном комплексе (рис. 1), который включал систему автоматического позиционирования образца и систему скоростной микротепловизионной съемки. Измерительный канал комплекса построен на базе микроскопа МБС-10 и цифровой камеры ВидеоСпринт [15]. Пространственное разрешение микротепловизионного комплекса можно фиксировать на уровнях 5.9, 11.8, 17.7 мкм, а временное регулировать в диапазоне от 10 мкс до 500 мс с шагом 2 мкс. Перед фотоматрицей камеры размерностью 1280х1024 элемента размещен полосовой светофильтр SL-725-40 (центральная длина волны 725 нм, полоса пропускания 40 нм), который позволяет использовать метод яркостной пирометрии для измерения температурного поля на поверхности исследуемого образца.
Рисунок 1 – Микротепловизионный измерительный комплекс (a) и экспериментальный образец с пятном прицельного осветителя (б) (1 – система трехмерного позиционирования; 2 – микроскоп МБС-10; 3 – цифровая камера ВидеоСпринт; 4 – прицельный осветитель; 5 – пятно прицельного осветителя на экспериментальном образце)
Сигнал элемента оптического датчика, работающего по принципу накопления заряда, можно записать в виде:
, (1)
где – чувствительность электрометрического усилителя цифровой камеры (в или ), – обозначение 1 электрона; – квантовая эффективность фотодатчика на длине волны полосового светофильтра; – геометрический фактор (доля излучения, переданная оптической системой от объекта наблюдения на фотоприемник); – спектральная степень черноты на длине волны ; – энергия одного кванта излучения на длине волны , , ; – время экспозиции цифровой камеры; – термодинамическая температура; – постоянная Планка; – скорость света в вакууме.
В процессе регистрации данных параметры оптоэлектронного тракта микротепловизионного комплекса фиксируются ( ; ; ; ; ). Поэтому сигнал фотоэлемента зависит только от температуры визируемого объекта:
, (2)
где , . В соответствии с определением яркостной температуры имеем формулу:
, (3)
где – яркостная температура тела. Неизвестное значение константы можно определить в процессе калибровки по температурному образцу. Для цифровых измерительных систем, имеющих дискретное конечное множество уровней сигнала, в ходе сравнения с эталоном получаются табличные данные в виде:
(4)
где – количество уровней регистрируемого сигнала.
Температурная калибровка микротепловизионного комплекса выполнена с помощью автоматизированного стенда на базе программируемого источника тока PSH-2035 и эталонной лампы ТРУ-1100-2350 с паспортизированной зависимостью яркостной температуры вольфрамовой ленты от силы электрического тока. Методика калибровки на стенде описана в работе [16]. В ходе калибровки выполнена коррекция геометрической неоднородности сигнала датчика, и при фиксированных параметрах оптоэлектронного преобразования для полного набора времен экспозиции и пространственных увеличений оптической подсистемы построена таблица соответствия уровней сигнала датчика значениям яркостной температуры. Кроме того, в стационарном режиме по совокупности кадров микросъемки эталонной области вольфрамовой ленты лампы оценена погрешность измерения температуры. В результате калибровки полный диапазон измеряемых комплексом температур составил от 1200 до 4500 К при погрешности от 1.6 до 0.1 % соответственно.
Оригинальная методика анализа данных микротепловизионной съемки основана на том, что у различных элементарных объемов шихты равны начальные условия воспламенения смеси, а физико-химические процессы в них развиваются одинаково. Тогда длительность нагрева вещества от условной температуры самовоспламенения до произвольного уровня (на участке роста температуры) одинакова для различных элементов поверхности образца. Таким образом, уровень температуры, измеряемый на участке разогрева, соответствует некой стадии развития воспламенения (рис. 2, а).
Рисунок 2 – Термограмма процесса СВС (а) и функция активации реакции (б) в точке (x, y) на визируемой поверхности образца
Примем за локальное событие момент времени, когда процесс воспламенения достигает некоторой стадии развития и температура элементарной площадки шихты становится равной заданному уровню (рис. 2, б). Совокупность подобных событий, найденная по данным микротепловизионной съемки (рис. 3) и представленная на пространственно-временной плоскости (рис. 4), визуализирует величину сдвига фронта реакции горения в различные моменты времени.
Рисунок 3 – Кадры микротепловизионной и событийной съемки процесса СВС
Такое хронографическое представление тепловизионной информации позволяет разделить во времени и пространстве области когерентного горения, определить скорость развития очагов вдоль фронта волны реакции:
(5)
где – перемещение волны синтеза вдоль оси за межкадровый период (рис. 4). По сечению хронографической карты можно измерить среднее время до воспламенения следующего очага , время роста площади очага горения , а также определить характерный размер очага в направлении нормали к фронту волны синтеза (рис. 5).
Рисунок 4 – Хронографическая карта очагов горения
Рисунок 5 – Определение параметров распространения волны СВС по сечению хронографической карты
Определение границ очагов горения по хронографической карте и наложение их на изображения микротепловизионной съемки позволяет спроецировать на пространственную плоскость максимальные размеры очагов, возникающих в разные моменты времени, и получить топографическую карту процесса СВС (рис. 6). По ней возможно определение характерного размера областей, где в процессе СВС наблюдалась температурная депрессия.
Методика измерения указанных выше параметров учитывает возможность движения фронта волны СВС в произвольном направлении. Обозначим единичным вектором направление сечения, в котором производится измерение положения фронта. Выберем направление вектора так, чтобы оно совпадало с направлением столбцов фотоматрицы – ось . Тогда пространственные характеристики тепловой структуры волны СВС в направлении нормали к фронту в раз меньше, чем в направлении .
Рисунок 6 – Топографическая карта процесса СВС
Хронографическая визуализация положения фронта реакции демонстрирует, что экспериментальные данные о положении фронта волны СВС очень хорошо моделируются плоскостью. По отношению к явлению СВС это означает, что равны оценки математического ожидания скорости фронта по разным моментам времени и по различным точкам пространства. Из данного факта следует, что процесс СВ-синтеза не только стационарный, но и эргодичный [17]. Причем угол между направлением оси и прямой, которая является пересечением модельной плоскости с плоскостью , равен углу между векторами и (рис. 7). Это позволяет скорректировать выполненные замеры (рис. 5, 6).
, , (6)
где – перемещение фронта за один межкадровый период в направлении (совпадает с направлением столбцов фотоматрицы – оси ), – расстояние, на которое переместился фронт за время формирования нового очага горения, – индексы межкадровых периодов формирования очага, – расстояние между очагами горения в направлении , , – соответствующие характеристики в направлении .
На основе хронографической визуализации разработан подход с измерением нормальной скорости распространения волны СВС, обладающий погрешностью на уровне 0.05 %.
Апробация измерительного комплекса
Методика хроно-топографического анализа (ХТА) микротепловизионных данных реализована в оригинальном программном обеспечении с использованием современных технологий обработки изображений и параллельных вычислений. Для ее апробации проведены экспериментальные исследования, в которых методом СВС в режиме волнового горения синтезировался NiAl. В качестве исходных компонентов выступали порошки никеля ПНК-УТ3 дисперсностью 15 мкм и алюминия ПА-4 дисперсностью 50 мкм.
Рисунок 7 – Визуализация эргодичности процесса СВС
Варьируемым компонентом шихты выступала инертная добавка порошка NiAl, три фракции которой были получены на предварительной стадии эксперимента (рис. 8).
Рисунок 8 – Гранулометрический состав фракций инертной добавки
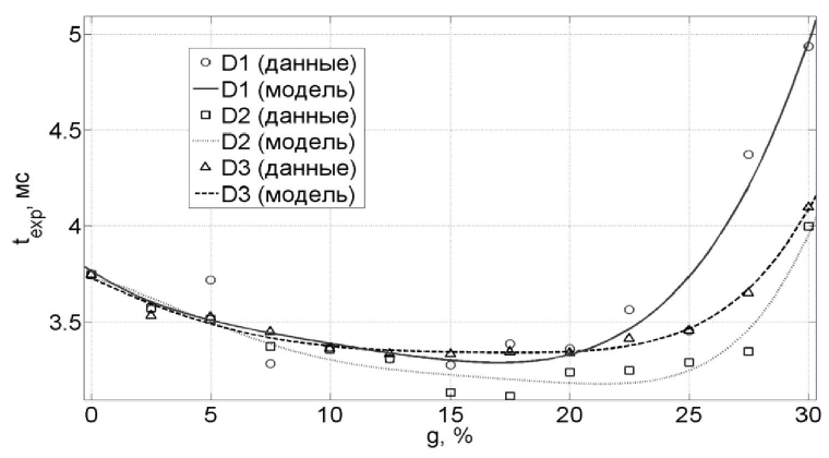
Массовая доля инертной добавки каждой фракции изменялась в пределах от 0 до 30 % с шагом 2,5 %. Кажущаяся плотность шихты составляла 2,6 г/см3, а начальная температура поддерживалась на уровне 25 оС. Регистрация процесса СВС осуществлялась с пространственным разрешением 5.9 мкм, а частота кадров составляла 500 Гц. В результате применения методики ХТА к данным микротепловизионной съемки построены зависимости, показанные на рис. 9–12.
Рисунок 9 – Семейство зависимостей нормальной скорости распространения волны СВС от массовой доли инертной добавки
Рисунок 10 – Семейство зависимостей времени индукции воспламенения от массовой доли инертной добавки
Рисунок 11 – Семейство зависимостей времени роста очага горения от массовой доли инертной добавки
Рисунок 12 – Семейство зависимостей нормального размера очага горения от массовой доли инертной добавки
Наилучшим образом методика ХТА проявила себя при разделении процесса СВС на ареалы существования отдельных очагов горения. Решение такой задачи только по пространственной или временной проекции процесса СВС является весьма сложным, с неочевидным результатом. Однако действие в пространственно-временном континууме позволяет методу ХТА дифференцировать волну горения на отдельные области и исследовать динамику пространственного распределения температуры этих очагов в их системе отсчета. Применение относительной системы координат дает возможность систематизировать анализ кинетики и динамики процесса СВС на тепловом микромасштабе.
Выводы
Дискретность процесса СВС ограничивает точность измерения скорости распространения волны реакции. Преодолеть данный барьер можно за счет использования статистических показателей и существенного увеличения объема анализируемой информации. Предложенный хроно-топографический подход позволяет визуализировать эргодичность процесса СВС. Проведение микротепловизионных исследований современными средствами измерения в рамках эргодичной модели до 100 раз сокращает доверительный интервал статистических оценок и делает их чувствительными к малым вариациям параметров шихты. В технологическом аспекте это открывает возможность контроля качества исходной смеси и прогнозирования фактических свойств продукта на стадии его синтеза. Так, предложенная методика определения нормальной скорости фронта волны СВС позволяет контролировать процесс с пространственным и временным разрешением до 1 мкм и до 10 мкс соответственно, а погрешность измерения достигает 0,05 %. При этом хронографическая и топографическая карты процесса СВС способствуют распознаванию отдельных элементов тепловой структуры волны СВС, их классификации и определению характеристик.
Об авторах
Алексей Викторович Долматов
Югорский государственный университет
Автор, ответственный за переписку.
Email: ADolmatov@bk.ru
Кандидат технических наук, доцент кафедры систем обработки информации, моделирования и управления Института (НОЦ) технических систем и информационных технологий
Россия, 628012, г. Ханты-Мансийск, ул. Чехова, 16Григорий Михайлович Бересток
Окружная клиническая больница
Email: gregory.berestok@gmail.com
Медицинский физик
Россия, г. Ханты-МансийскСписок литературы
- Концепция развития СВС как области научно-технического прогресса [Текст] / под ред. А. Г. Мержанова. – Черноголовка : Территория, 2003. – 368 с.
- Самораспространяющийся высокотемпературный синтез: теория и практика [Текст] / под ред. А. Е. Сычева. – Черноголовка : Территория. 2001. – 432 с.
- Самораспространяющийся высокотемпературный синтез: Материалы и технологии [Текст] / под ред. В. В. Евстигнеева. – Новосибирск : Наука, 2001. – 284 с.
- New procedure of high-rate brightness pyrometry for studying the SVS processes [Text] / D. A.Garkol, P. Y. Gulyaev , V. V. Evstigneev [et al.] // Физика горения и взрыва. – 1994. – Т. 30, № 1. – С. 72–77.
- Андреев, В. А. Исследование горения смесей гафния и бора методом оптической пирометрии [Текст] / В. А. Андреев, В. М. Мальцев, В. А. Селезнев // Физика горения и взрыва. – 1980. – № 4. – С. 18–23.
- Микроструктурные аспекты безгазового горения механически активированных смесей. I. Высокоскоростная микровидеосъемка состава Ni + Al [Текст] / А. С. Рогачев, Н. А. Кочетов, В. В. Курбаткина [и др.] // Физика горения и взрыва. – 2006. – Т. 42, № 4. – С. 61–70.
- Долматов, А. В. Оптические измерения и анализ тепловой микроструктуры волны СВС в системе Ni-Al [Текст] / А. В. Долматов, М. В. Пинчук, А. В. Сергейчев // Вестник Югорского государственного университета. – 2015. – № 2 (37). – С. 14–26.
- Оценка времени фазообразования в системе горения NiAl методом визуализации тепловых полей [Текст] / М. П. Бороненко, А. Е. Серегин, П. Ю. Гуляев [и др.] // Научная визуализация. – 2015. – Т. 7, № 5. – С. 102–108.
- Кочетов, Н. А. Зависимость скорости горения от размера образца в системе Ni + Al [Текст] / Н. А. Кочетов, Б. С. Сеплярский // Физика горения и взрыва. – 2014. – Т. 50, № 4. – С. 29–35.
- Андреев, В. А. Исследование горения смеси гафния и бора методом оптической пирометрии [Текст] / В. А. Андреев, В. М. Мальцев, В. А. Селезнев // Физика горения и взрыва. – 1980. – Т. 6, № 4. – С 18–23.
- Increasing accuracy of high temperature and speed processes micropyrometry [Text] / M. P. Boronenko, P. Yu. Gulyaev, A. E. Seregin [et al.] // IOP Conference Series: Materials Science and Engineering 21st International Conference for Students and Young Scientists. – 2015. – С. 012021.
- Зенин, А. А. Исследование структуры тепловой волны в СВС процессах (на примере синтеза боридов) [Текст] / А. А. Зенин, А. Г. Мержанов, Г. А. Нерсисян // Физика горения и взрыва. – 1981. – Т. 16, № 1. – С. 79–90.
- Бороненко, М. П. Диагностика тепловых полей фронта горения СВС в системе NiAl [Текст] / М. П. Бороненко, И. В. Милюкова, А. Е. Серегин // Science and Education in Australia, America and Eurasia: Fundamental and Applied Science Proceedings of the 1st International Academic Conference. – 2014. – С. 91–95.
- Рогачев, А. С. Горение для синтеза материалов: введение в структурную макрокинетику [Текст] / А. С. Рогачев, А. С. Мукасьян. – Москва : Физматлит, 2013. – 400 с.
- Виртуальная тепловизионная система с микросекундным периодом регистрации [Текст] / А. В. Долматов, А. О. Маковеев, К. А. Ермаков [и др.] // Ползуновский альманах. – 2012. – № 2. – С. 31–36.
- Комплекс автоматизированной калибровки тепловизионной системы на базе MATLAB [Текст] / А. В. Долматов, К. А. Ермаков, В. В. Лавриков [и др.] // Вестник Югорского государственного университета. – 2012. – № 2 (25). – С. 59–63.
- Дискретность и эргодичность процесса СВС в хронографическом представлении микротепловизионных данных [Текст] / А. В. Долматов, П. Ю. Гуляев, И. В. Милюкова [и др.] // Неизотермические явления и процессы: от теории теплового взрыва к структурной макрокинетике. К 85-летию со дня рождения академика А. Г. Мержанова : тезисы докладов. – Черноголовка, 2016. – С. 86–87.
Дополнительные файлы















