The effects of reactive and proactive motor decision-making strategies on the hand kinematics features in post-stroke patients
- Authors: Tumyalis A.V.1,2, Ivanov T.B.2,3, Ivanova G.E.3, Ivanova E.A.1, Kirichenko A.A.1, Ossadtchi A.E.1,2
-
Affiliations:
- Laboratory of Medical Neurointerfaces and Artificial Intelligence of Federal State Budgetary Institution “Federal center of brain research and neurotechnologies”
- Center for Bioelectrical Interfaces of Higher School of Economics
- Federal Scientific and Clinical Center of Medical Rehabilitation and Balneology
- Issue: Vol 15, No 1 (2024)
- Pages: 43-53
- Section: Original Study Articles
- Submitted: 05.12.2023
- Accepted: 16.01.2024
- Published: 17.04.2024
- URL: https://clinpractice.ru/clinpractice/article/view/624222
- DOI: https://doi.org/10.17816/clinpract624222
- ID: 624222
Cite item
Full Text
Abstract
BACKGROUND: Motor disorders of the upper limbs often develop after stroke. The use of traditional methods to restore the motor functions of the upper limbs has limited effectiveness thus making the search and development of new rehabilitation approaches important. We propose to use a proactive selection of a purposeful movement as such an approach.
AIM: to investigate the influence of different strategies of the upper limb movement regulation on the motor decision making and hand kinematics parameters in stroke patients.
METHODS: Ten patients with stroke participated in the study during their hospital stay. They were divided into 2 groups and performed the task of selecting a movement target and performing arm movements for 10 sessions of 10 minutes each. The sessions were performed on separate days. When performing the task, patients selected one of the targets, either the near target or the distant one. The groups differed in the type of presentation of the distant target; the near target was stationary. The stimuli were presented on a touch screen arranged horizontally. A patient sat in front of the screen and placed the hand with a foam ball fixed in it on the starting area. The patient’s forearm was supported by means of a pendant. The patient selected a target to reach in each attempt and then performed the movement by swiping the ball on the touch screen. The frequency of the target selection to perform the movement, the range of the selected target, the latencies of the movement onset, the hand speed and acceleration, and the accuracy in reaching the target were assessed.
RESULTS: The results indicate that amidst the overall effects represented by a reduced movement on-set time [F (9.72)=8.59; p <0.001], a greater movement speed in reaching the distant target [F (9.72)=2.79; p=0.007], a lower selection rate [F (9.72)=2.78; p=0.008] and a reduced mean distance of the selected distant target [F (9.72)=2.19; p=0.033], the differences in the distant target presentation between the groups have an impact on the hand movement dynamics in patients. Presenting a target at a random distance results in a greater selected target distance [F (1.8)=17.04; p=0.003], and an increased hand speed [F (9.72)=3.03; p=0.004] compared to the adaptive presentation. There is also a greater decrease in the movement onset time [F (9.72)=2.71; p=0.009] in the group of patients with the adaptive presentation of the distant target compared to the group with the random presentation.
CONCLUSION: The differences in the target presentation strategy are reflected in the motor decision making and hand movement dynamics of stroke patients. A randomized range of target presentation results in a higher amplitude arm movement closer to the activation threshold of the stretch reflex. The results of the study may be useful for selecting the rehabilitation strategies for stroke patients.
Keywords
Full Text
ОБОСНОВАНИЕ
После инсульта часто развивается стойкий моторный дефицит верхних конечностей [1]. У пациентов происходит снижение пиковой скорости, плавности целенаправленного движения, отмечается большее время выполнения и вовлечение туловища в процесс движения [2]. Эти отклонения во многом определяют качество жизни пациента [3].
Нарушения функций верхних конечностей имеют комплексную природу [4]. Они проявляются мышечной слабостью, спастичностью, нарушением чувствительности и координации, развитием выученного пареза вследствие повреждения структуры и нарушения межнейрональных связей в коре головного мозга. Выученный парез — это синдром, при котором пациент не использует конечность или же не вовлекает её в движение в той степени, которую позволяет объективная оценка двигательной функции [4]. Спастичность — другой симптом двигательных нарушений верхних конечностей у пациентов после инсульта — рассматривается как следствие повышения порога активации рефлекса растяжения мышц [5–7]. После инсульта верхний порог активации рефлекса растяжения снижается и становится ниже биомеханических возможностей движения руки, определяя ограничения её использования [8]. Наблюдается также дискоординация движения в суставах руки с нарушением плавности и точности выполняемого движения [9, 10].
Таким образом, инсульт вызывает перестройку процессов регуляции движений и проявляется нарушением силовых и кинетических параметров движения. Восстановление функций руки после инсульта является одной из важнейших целей неврологической реабилитации. Вместе с тем использование традиционных методов восстановления моторных функций верхних конечностей обладает ограниченной эффективностью [11, 12] и оставляет актуальным вопрос о поиске и разработке новых реабилитационных подходов. В качестве такого подхода мы предлагаем использовать проактивный выбор целенаправленного движения, который обладает рядом преимуществ по сравнению с традиционным тренингом, используемым в реабилитации.
Здоровые испытуемые в условиях фокуса внимания на цели выполняют движения с большей силой и точностью по сравнению с условием фокуса внимания на движение [13, 14]. Целенаправленное движение в качестве модели для реабилитационной практики после инсульта может быть основано на этом явлении и иметь дополнительные преимущества в реабилитационных программах. В различных реабилитационных программах задача движения часто определяется терапевтом-инструктором либо прибором, с которым пациент работает, однако в ходе тренинга у пациента может снижаться мотивация выполнения движения. Одним из способов воздействия на мотивацию может стать наличие выбора движения в структуре каждой попытки. В этом случае пациент активно вовлечён в выполнение задания и реагирует более эмоционально на успех и неудачу. Выполнение движения во многих реабилитационных процедурах является реактивным и нацелено на увеличение мышечной активации и диапазона движения. Вовлечение процессов подготовки выполнения движения, связанное с нисходящим влиянием со стороны высших отделов головного мозга, может иметь дополнительный положительный эффект в реабилитации моторных функций верхних конечностей у пациентов после инсульта.
Регуляция движений в зависимости от организации контекста делится на два типа — реактивный и проактивный [15, 16]. Реактивная регуляция происходит при внезапном предъявлении стимулов. В соответствии со стадийной моделью [17], сенсорный анализ стимула, принятие решения и выполнение реакции являются независимыми и последовательными процессами. На стадии принятия решения происходит выбор программы движения из ряда альтернатив. Этот процесс состоит в построении внутренней модели движения, его симуляции [18] с определением его стоимости для субъекта [19]. Так, если возможности выполнения движения ниже требуемых для его выполнения, то движение отвергается или выполняется с заметными нарушениями. Напротив, если требования для выполнения движения находятся ниже порога активации рефлекса растяжения мышцы, то выполнение движения не отличается от движения здоровых испытуемых [20].
Второй тип регуляции — проактивная регуляция — происходит в ситуации наличия предварительной информации о параметрах (силе, сложности, скорости, направлении, точности) движения. В результате здоровый испытуемый или пациент может заранее, ещё до предъявления стимула, запрограммировать эти параметры. Проактивный контроль может быть реализован в виде блокового дизайна тренировки, в котором предъявляются стимулы одной категории, и здоровый испытуемый или пациент имеет более высокую готовность выполнения определённых движений в течение всего блока. Проактивный контроль движения происходит также в ситуации предъявления предварительной подсказки о категории стимула или требуемых параметрах движения, вслед за этим предъявляется стимул и выполняется движение. В целом, в ситуации проактивного контроля активация моторной области коры происходит раньше [21], и регуляция выполнения осуществляется более эффективно по параметрам точности и скорости [22].
На основе вышесказанного мы предполагаем, что тренировка с вовлечением проактивного принятия моторных решений пациентом будет более эффективной по сравнению с реактивным, определяемым после предъявления стимулов. Подтверждение этой гипотезы позволит добиться лучших результатов реабилитации, а следовательно, улучшения качества жизни пациентов и уменьшения затрат системы здравоохранения.
Цель исследования — изучить влияние различных стратегий регуляции движений верхних конечностей на принятие моторного решения и параметры кинематики руки у пациентов с инсультом.
МЕТОДЫ
Дизайн исследования
Экспериментальное выборочное контролируемое рандомизированное одноцентровое клиническое исследование. Группа пациентов после инсульта отбиралась на основе клинической оценки функционального нарушения моторных функций руки. Пациенты распределялись по подгруппам на основе типа предъявления одной из целей для выполнения движения рукой. В подгруппе с адаптивным алгоритмом предъявления дистанция до цели изменялась в зависимости от успешности и скорости движения руки в предыдущей попытке. В подгруппе со случайным предъявлением цели дистанция до неё была непредсказуемой.
Критерии соответствия
Критерии включения: мужчины и женщины в возрасте от 18 до 80 лет; наличие эпизода супратенториального инсульта, подтверждённого методами нейровизуализации; время после инсульта — более 1 месяца; общий балл по шкале MoCA >20; способность понимать экспериментальные инструкции; информированное согласие пациента на участие в исследовании и согласие на сбор и обработку персональных данных.
Критерии исключения: резкое обострение неврологических или соматических расстройств; наличие симптомов депрессии (>11 баллов по шкале депрессии Бека); парез руки ниже 35 и выше 60 баллов по шкале Фугл-Мейера.
Условия проведения
Исследование проведено в ФГБУ «Федеральный центр мозга и нейротехнологий» ФМБА России (Москва).
Продолжительность исследования
Исследование проводилось с мая 2023 по ноябрь 2023 года.
Описание медицинского вмешательства
В исследовании приняли участие 10 пациентов после инсульта.
Аппаратура. Для предъявления стимулов и регистрации движений руки пациента использовался сенсорный жидкокристаллический экран Iiyama ProLite TE6503MIS-B1AG (Iiyama, Япония) с разрешением 4K UHD (3840×2160; 8,3 мегапикселя), размером 148×84 см и частотой 60 Гц. Экран располагался горизонтально на электромеханической кушетке. Высота расположения экрана подбиралась индивидуально путём регуляции высоты кушетки. Экран через HDMI и USB кабели был связан с ноутбуком. На ноутбуке запускалось предъявление стимулов, и производилась регистрация координат и времени касания экрана.
К потолку на высоте 3,5 м была прикреплена подвесная система «Экзарта Мини» для поддержки руки пациента во время выполнения тренировок. Длина троса регулировалась индивидуально, чтобы предплечье пациента располагалось параллельно экрану на высоте 5–10 см от него.
Стимулы. Стимулы предъявлялись на светлом сером фоне. Для тренировки правой руки в левом нижнем углу экрана предъявлялся круг радиусом 12 см с надписью «СТАРТ». Цвет круга — серый, цвет текста — белый. Выше на экране и дальше от пациента предъявлялись две целевые области в форме кругов серого цвета и радиусом 12 см. Первый круг располагался на расстоянии 34,5 см от центра стартовой области под углом 60,5°. Второй круг располагался дальше справа на вариабельном расстоянии. Минимальное расстояние между целевыми областями составляло 12 см, максимальное расстояние — 65 см по оси ОХ. Для тренинга левой руки расположение областей было отражено зеркально по горизонтали. Положение первой целевой области не изменялось между попытками. Предъявление второй целевой области изменялось между попытками и появлялось в одном из мест по траектории разгибания руки.
Процедура. До и после тренинга оценку функции руки пациента проводили по шкалам Фугл-Мейера и ARAT (Action Research Arm Test), оценку мышечной силы — по MRC (Medical Research Council), модифицированной шкале Эшворта (Modified Ashworth Scale) и монреальской когнитивной шкале MоCA (Montreal Cognitive Assessment).
Занятия проводились в период госпитализации пациентов в стационар и состояли из 10 сессий. Максимальный период между сессиями — 2 дня, минимальный — каждый день; длительность сессии — 10 минут. В каждой сессии после 5-й и 9-й минуты в период между попытками предъявлялся звук колокольчика, сигнализирующий об оставшемся времени до конца сессии.
Пациенту закреплялся пенопластовый шар диаметром 12 см в кисть паретичной руки с помощью двух лент с липучкой. Использование шара вызвано тем, что пациенты с парезом кисти имели трудности в касании экрана в одной точке, что необходимо для регистрации движений руки. Далее пациент садился перед экраном на устойчивом стуле и располагал кисть руки с закреплённым шаром на стартовую область. Предплечье пациента поддерживалось посредством подвесной системы с целью облегчения движения руки. Как только регистрировалось касание, в стартовой области на экране появлялись два целевых круга. Пациент в каждой попытке производил выбор цели для достижения и затем выполнял движение, проводя шаром по сенсорному экрану. Через 0,3 секунды после регистрации входа в одну из целевых областей стимулы исчезали с экрана, и пациент возвращал руку на стартовую позицию. После выполнения движения появлялось количество заработанных баллов в данной попытке и обновлялось суммарное количество баллов.
Исходы исследования
Основной исход исследования. Основным показателем для оценки эффективности тренировки было расстояние до выбираемой дальней цели для выполнения движения руки. Этот параметр является комплексным и связан с субъективной оценкой возможности выполнения движения, мотивацией выполнения задания, скоростью и точностью движения руки, усталостью в процессе тренировки.
Дополнительные исходы исследования. Дополнительными показателями были доля выбора дальней цели для выполнения движения, время начала движения, скорость и пространственная точность движения руки.
Анализ в подгруппах. Пациенты были разделены на две равные по численности подгруппы со случайной и адаптивной дальностью предъявления цели. В группе со случайной дальностью положение второй дальней целевой области предъявлялось на случайном расстоянии по прямоугольному распределению. В группе с адаптивной дальностью цели положение дальней целевой области определялось успешностью и скоростью движения руки при достижении целевой области в предыдущей попытке. При выборе близкой цели или превышении времени достижения дальней цели расположение дальней цели увеличивалось на 5 см и время для выполнения движения увеличивалось на 50 мс. Успешное достижение дальней цели приводило к увеличению расстояния до неё в следующей попытке пропорционально времени её достижения и снижению времени на выполнение движения на 50 мс.
Таким образом, предъявление дальней цели в группах различалось только наличием или отсутствием адаптивного алгоритма. При его наличии пациент может легко его идентифицировать и использовать в процессе тренировки. Адаптивный алгоритм позволяет пациенту предсказывать и планировать выполнение движения заранее и тем самым повышать активность структур головного мозга, связанных с регуляцией движений. В перспективе это может привести к повышению эффективности реабилитации моторных функций, поскольку механизмы центральной регуляции движения задействованы более активно.
Использование стратегии проактивного выбора цели движения при нарушениях функций мозга (инсульт) повышает активацию коры и подкорковых структур (базальных ганглиев), что должно приводить к увеличению эффективности тренинга реабилитации моторных функций.
Методы регистрации исходов
Регистрировалось положение руки по пространственным координатам OX и OY в каждом временном отсчёте. Рассчитывалась дистанция движения руки, затем выполнялось сглаживание данных с помощью сплайна и интерполяции с частотой 100 Гц. Траектории движения не включались в анализ, если они соответствовали одному из следующих критериев: отсутствие выхода из стартовой области в течение 5 секунд; отрыв руки от экрана в процессе выполнения движения; начало движения меньше 0,1 или больше 5 секунд; отсутствие пика ускорения, т.е. движение по всей своей траектории тормозилось или ускорялось; наличие технических артефактов.
Далее в каждой зачётной попытке по данным сплайна определяли следующие показатели: максимальную скорость движения; максимальное ускорение; время начала движения; точность движения как минимальное расстояние от центра целевой области до точки траектории движения. По показателям каждой сессии рассчитывались следующие показатели: доля выбора дальней цели относительно суммарного количества движений; среднее расстояние до дальней цели при её выборе.
Этическая экспертиза
Исследование одобрено локальным этическим комитетом ФГБУ ФЦМН ФМБА России 25 апреля 2022 года, протокол № 11/25-04-22.
Статистический анализ
Статистический расчёт проводился с использованием мультивариационного дисперсионного анализа с повторными измерениями. В качестве фактора межиндивидуальных различий выступала подгруппа пациентов со случайным и адаптивным предъявлением дальней цели. В качестве фактора повторных измерений выступали сессии с 10 уровнями и фактор цели — ближний и дальний. Величину эффекта оценивали с помощью ηp2. Попарные различия между группами проводили с использованием критерия U Манна–Уитни, различия по повторным измерениям — с помощью критерия Т Вилкоксона. Уровень значимости был меньше 0,05. Статистический анализ проводился в пакете JASP 0.17.1 (Нидерланды).
РЕЗУЛЬТАТЫ
Объекты (участники) исследования
Средний возраст пациентов составил 51,1± 3,5 года, после инсульта прошло 6,6±2,2 месяца. Оценки по клиническим шкалам приведены в табл. 1.
Таблица 1 / Table 1
Средние значения (стандартная ошибка) по клиническим шкалам до и после тренинга в группах пациентов с различными видами предъявления дальней целевой области / Mean values (standard error) on clinical scales before and after training in groups of patients with different types of far target area presentation
Инструмент | Случайное расстояние (n=5) | Адаптивное расстояние (n=5) | ||
до | после | до | после | |
Шкала Фугл-Мейера | 44,8 (5,67) | 48,2 (4,91) | 44,6 (5,48) | 49,4 (5,89) |
ARAT | 33,8 (6,92) | 36,4 (9,43) | 32,0 (6,53) | 40,0 (7,59) |
Шкала пареза | 10,0 (0,84) | 10,8 (0,92) | 9,8 (0,37) | 10,0 (0,84) |
Шкала Эшворта | 4,8 (0,86) | 4,6 (0,81) | 3,6 (0,75) | 3,6 (0,81) |
Обнаружен эффект времени по шкалам Фугл-Мейера [F (1,8)=32,02; p <0,001] и ARAT [F (1,8)=7,36; p=0,027], свидетельствующий о том, что значения по шкалам были выше после тренировок по сравнению с условиями до тренировок.
До и после тренировок ни по одной шкале не обнаружено значимых различий между группами пациентов.
Основные результаты исследования
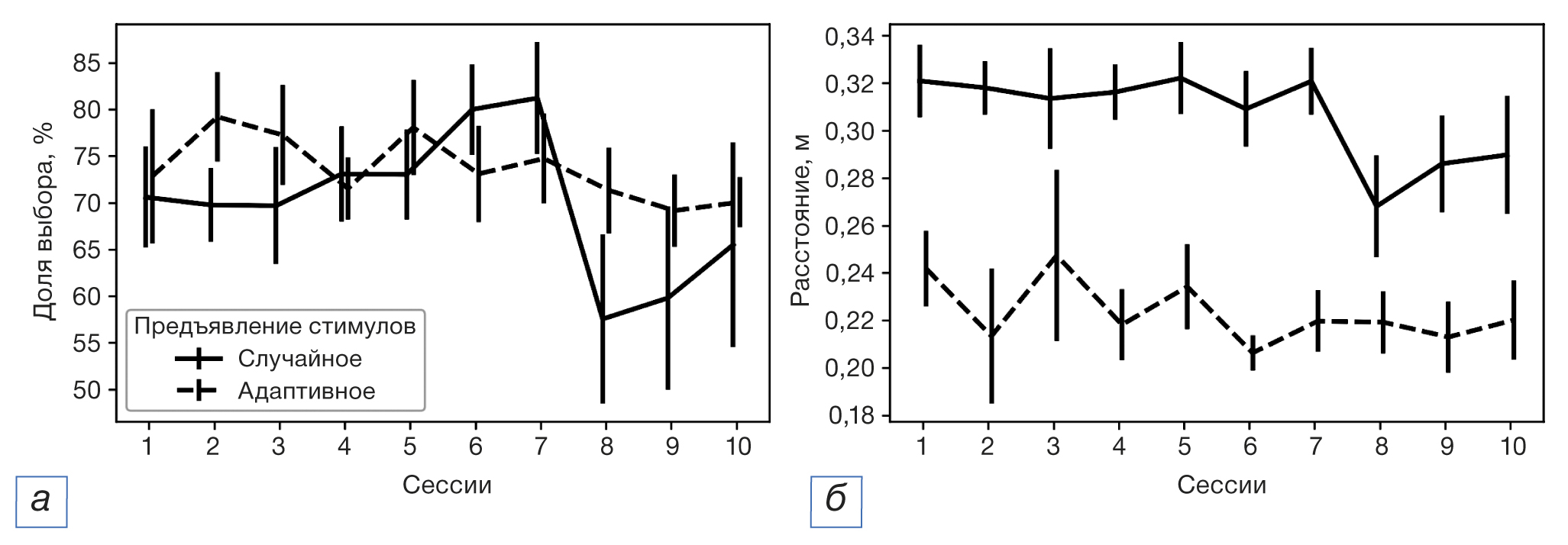
Процент выбора дальней цели рассчитывался по зачётным попыткам, включая ранние (время начала движения менее 0,1 секунды) и поздние (время начала движения более 5 секунд). Обнаружен значимый эффект сессии [F (9,72)=2,78; p=0,008; ηp2=0,258], заключавшийся в уменьшении общей доли выбора дальней цели после 7-й сессии с 78,0±3,8 до 64,4±5,3% (рис. 1, а). Снижение с различной долей выраженности было у 9 пациентов из 10. Среднее расстояние до дальней цели уменьшалось в течение занятий [F (9,72)=2,19; p=0,033; ηp2=0,215] (см. рис. 1, б).
Рис. 1. Динамика показателей доли выбора дальней цели (а) и среднее расстояние до выбранной дальней цели (б) в группах со случайным и адаптивным расстоянием предъявления стимулов.
Fig. 1. Dynamics of the distant target selection proportion (а) and the mean distance to the selected distant targets (б) in groups with the random and adaptive stimulus presentation distance.
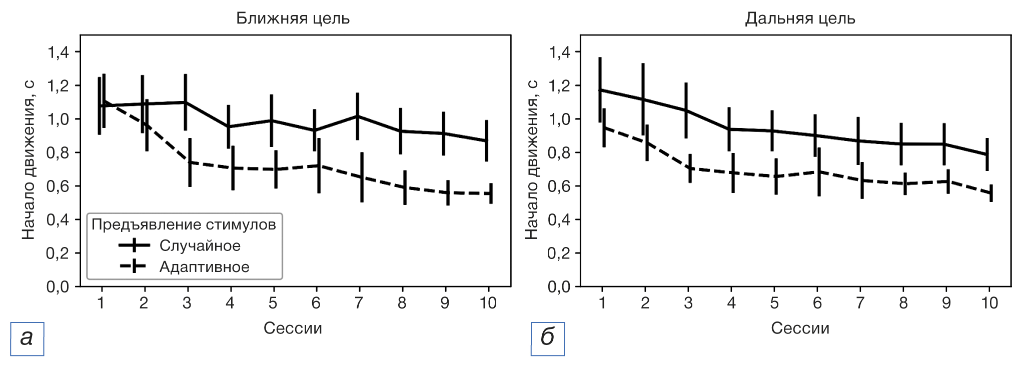
Для времени начала движения обнаружен значимый эффект сессии [F (9,72)=8,59; p <0,001; ηp2=0,518], который свидетельствует о снижении времени начала движения в течение тренировок (рис. 2).
Рис. 2. Время начала движения для ближней (а) и дальней (б) цели в группах со случайным и адаптивным расстоянием предъявления стимулов.
Fig. 2. Movement onset times for the near (а) and distant (б) targets in groups with the random and adaptive stimulus presentation distance.
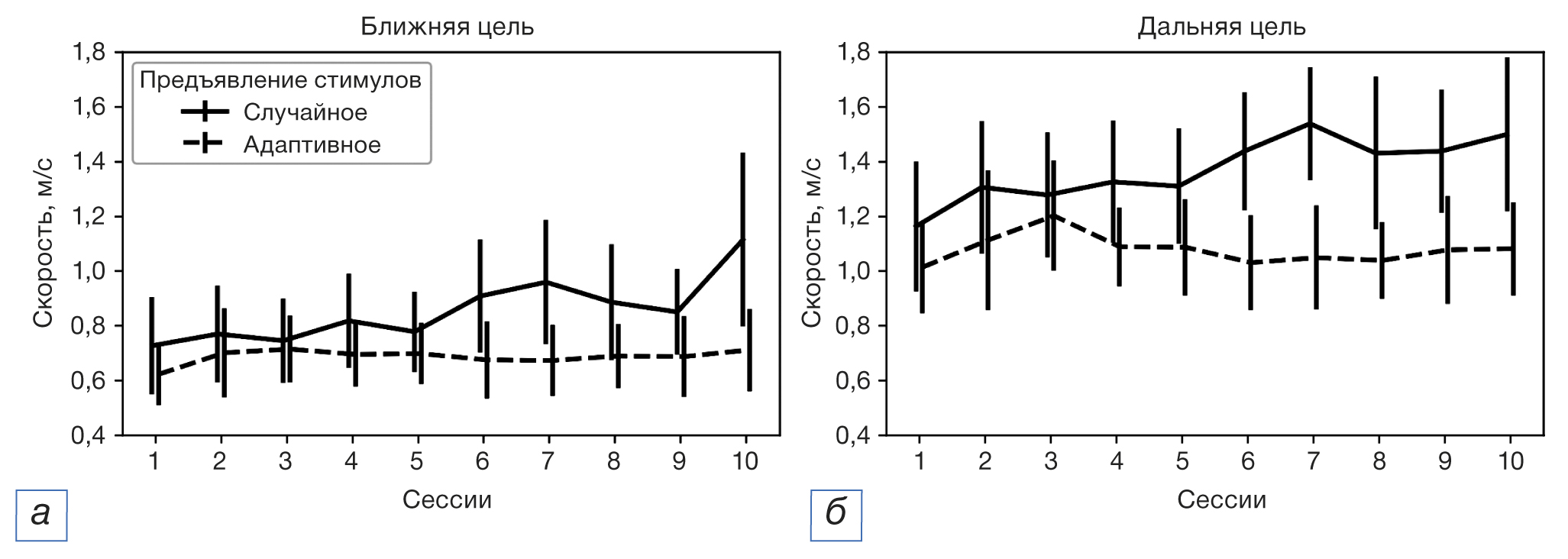
Максимальная скорость показала значимый эффект цели [F (1,72)=119,6; p <0,001; ηp2=0,937] и сессии [F (9,72)=2,79; p=0,007; ηp2=0,258]. Для дальней цели средняя мгновенная скорость была больше по сравнению с ближней целью — 1,225±0,13 против 0,771±0,13 м/с. Попарные сравнения показали, что значения скорости в 1, 2, 3 и 5-й сессиях были ниже по сравнению с 10-й сессией (p <0,05); рис. 3.
Рис. 3. Скорость для ближней (а) и дальней (б) цели в группах со случайным и адаптивным расстоянием предъявления стимулов.
Fig. 3. Hand velocity for the near (а) and distant (б) targets in groups with the random and adaptive stimulus presentation distance.
Точность оценивалась как минимальное расстояние траектории движения руки до центра целевой области. Ни один их эффектов не был значимым.
Дополнительные результаты исследования
Для процента выбора дальней цели эффекты подгруппы и взаимодействие подгруппы и сессии не достигли уровня значимости.
Для среднего расстояния до дальней цели обнаружен эффект подгруппы [F (1,8)=17,04; p=0,003; ηp2=0,681], который свидетельствует о большем среднем расстоянии дальней цели в подгруппе со случайной дальностью предъявления по сравнению с адаптивной — 0,3064±0,0056 против 0,2234±0,0058 м. Взаимодействие факторов подгруппы и цели не достигло уровня значимости.
По показателю времени начала движения общий эффект сессии зависит от подгруппы пациентов и выбора цели, что отражается во взаимодействии цели, сессии и подгруппы [F (9,72)=2,71; p=0,009; ηp2=0,253]. В течение занятий значимые различия между подгруппами достигаются в 10-й сессии [F (1,8)=5,57; p=0,046; ηp2=0,229]: в подгруппе со случайным изменением расстояния время начала движения руки больше по сравнению с адаптивной подгруппой — 0,827±0,075 против 0,555±0,038 секунд независимо от цели. Остальные эффекты и взаимодействия факторов незначимы.
Скорость движения руки показала взаимодействие факторов сессии и подгруппы [F (9,72)=3,03; p=0,004; ηp2=0,275]. В подгруппе с адаптивным предъявлением эффект сессии не достиг уровня значимости [F (9,36)=0,582; p=0,803; ηp2=0,127], в подгруппе со случайным предъявлением средняя мгновенная скорость увеличивается с течением тренинга [F (9,36)=5,23; p <0,001; ηp2=0,567]. Ускорение показало схожие со скоростью результаты.
Нежелательные явления
Нежелательные явления отсутствовали.
ОБСУЖДЕНИЕ
Обнаружены эффекты тренинга, не зависящие от применяемой стратегии предъявления дальней цели.
Время начала выполнения движения отражает длительность процесса принятия моторного решения и инициацию выполнения моторной программы. В соответствии со стадийной моделью [17], принятие решения и выполнение реакции являются последовательными и независимыми этапами, связанными с активацией различных областей коры и структур мозга [23, 24], и происходят в период минимальной сенсорной и моторной неопределённости [25, 26]. С течением тренинга в настоящем исследовании время принятия решения уменьшается, что отражает снижение неопределённости задачи и оптимизацию когнитивных процессов принятия решения при формировании более предсказуемой модели экспериментальной ситуации.
Скорость и ускорение движения были выше для дальней цели по сравнению с ближней. В то же время латеральные движения паретичной руки имеют меньшую амплитуду, скорость и точность по сравнению со здоровыми испытуемыми. Вероятно, в настоящем исследовании у пациентов движения рукой до ближней цели происходило ниже порога активации рефлекса растяжения [5–7]. Напротив, увеличение скорости для дальней цели должно было вызывать раннюю активацию рефлекса растяжения и ограничивать амплитуду и скорость латеральных движений [2].
Таким образом, предлагаемые в настоящем исследовании тренировки выбора и выполнения целенаправленного движения рукой у пациентов с инсультом влияют на параметры принятия моторного решения и кинематики движения. Вместе с тем эти параметры также зависят от предсказуемости расстояния до дальней цели и, следовательно, подготовленности движения. Для анализа влияния этого фактора на эффективность тренировки пациенты были разделены на группы с адаптивным и случайным расстоянием до дальней цели.
Основным параметром оценки эффективности тренировки в группах пациентов выступает среднее расстояние до выбираемой дальней цели. В адаптивном условии дальняя цель выбиралась на более близком расстоянии по сравнению с условием случайного расстояния. Вероятно, условия тренировки в адаптивном условии подталкивают пациентов выбирать цель в пределах диапазона активации рефлекса растяжения [27] и при наличии большего когнитивного контроля выполнения движения. Статистический эффект сессии для этой группы не достиг уровня значимости, свидетельствуя о том, что расстояние остаётся стабильным. Предположительно, стабильно меньшее расстояние до дальней цели позволяет выполнять контроль движения более эффективно. Возможно также, что в группе с адаптивным расстоянием до цели мотивация выполнения задания у пациентов остаётся на высоком уровне в связи с ощущением контроля ситуации и субъектности в процессе выполнения тренировки.
С течением тренировки в группе со случайным расстоянием до дальней цели обнаружено снижение среднего расстояния после 7-й сессии. Снижение может быть вызвано усталостью пациентов и снижением мотивации выполнения задания ввиду отсутствия контроля последствий своих действий. Обратная связь в виде выигранных баллов после каждой попытки и суммарных баллов, по всей видимости, имеет ограниченную эффективность, однако для этого утверждения необходимы дополнительные исследования.
Анализ дополнительных конечных исходов позволяет уточнить понимание основного эффекта. Наличие нисходящего контроля в группе c адаптивным расстоянием по сравнению с группой со случайным расстоянием подтверждается меньшим временем принятия моторного решения по показателю начала выполнения движения. Наличие нисходящего контроля также может отражаться на доле выбора дальней цели и среднего расстояния до выбираемой дальней цели: в группе с адаптивным расстоянием эти параметры остаются стабильными в течение тренировки, а в группе со случайным расстоянием — снижаются, свидетельствуя в пользу снижения мотивационного компонента выполнения задания и развития усталости.
Спастичность связана с ранней активацией рефлекса растяжения и зависит от скорости движения руки [5]. В настоящем исследовании мы обнаружили, что в группе со случайным предъявлением расстояния до дальней цели скорость и ускорение увеличиваются в течение тренировки, в то время как в группе с адаптивной дальностью цели эти параметры остаются константными. Вероятно, пациенты в группе с адаптивным расстоянием остаются в диапазоне контроля выполнения движения руки, в котором не происходит активации рефлекса растяжения. В то же время пациенты в группе со случайной дальностью предъявления цели увеличивают как дальность, так и скорость движения, доходя до порога активации рефлекса растяжения, и это может определять снижение доли выбираемой дальности дальней цели в общей сумме попыток и расстояния дальней цели. Возможно, снижение доли выбора и большое расстояние до дальней цели вместе с увеличением скорости движения руки могут быть свидетельством выполнения движения по баллистической траектории со сниженным влиянием обратной связи для регуляции движения. В адаптивной группе, напротив, стабильность всех показателей и меньшая скорость движения могут свидетельствовать в пользу предположения о большей величине когнитивного контроля движения на основе обратной связи.
Таким образом, различия в стратегии предъявления дальней цели отражаются в особенностях принятия моторного решения и динамике движения руки пациентов с инсультом. На фоне общих эффектов тренинга эти различия могут определять стратегию реабилитационных мероприятий. Случайное расстояние предъявления дальней цели вызывает движение с преобладанием баллистической компоненты. По большей дальности и увеличению скорости эти движения близки к порогу спастичности. Поскольку эти движения менее подготовленные и обладают сниженным влиянием регуляции на основе обратной связи, то их выполнение в большей степени зависит от ограничений, связанных с периферическими компонентами спастичности. В группе пациентов с адаптивной дальностью цели нисходящие влияния на мотонейроны спинного мозга со стороны коры и подкорковых ядер головного мозга при подготовке движения и более оптимальные для пациентов условия выполнения движения могут оказать влияние на восстановление тормозных влияний на рефлекс растяжения и снижение величины моторных нарушений. Таким образом, пациенты в группе с адаптивным расстоянием до цели тренируют навык более активного и эффективного использования спастичной руки в ближнем радиусе действий. Контроль движения руки может отражаться на улучшении качества жизни пациента, облегчая выполнение бытовых действий.
Ограничения исследования
Исследование имеет ряд ограничений. Во-первых, это маленькая выборка пациентов, ограничивающая статистическую устойчивость и повышающая вероятность получения случайных значимых эффектов. Общий эффект реабилитационных мероприятий, проводимых с пациентами, вносит вклад в общие эффекты исследования. Но поскольку распределение по подгруппам происходило случайным образом, и подгруппы не различались на входе результатами оценки по ключевым шкалам, то межгрупповые эффекты не подвержены этому влиянию. Наконец, в процессе выполнения задания не фиксировалось туловище пациентов, поэтому движение руки может частично дополняться движением туловища.
ЗАКЛЮЧЕНИЕ
Результаты проведённого исследования свидетельствуют о том, что стратегия предъявления дальней цели в течение тренировки движения руки оказывает влияние на динамику принятия моторного решения и параметры кинематики руки у пациентов с инсультом. При случайном расстоянии до цели движения руки пациентов имеют больший вклад баллистических компонент движения и подвержены снижению мотивации или увеличению усталости в процессе тренировки. Адаптивное расстояние до цели связано с большей предсказуемостью положения цели и возможностью регуляции движения в процессе его выполнения. Следовательно, в реабилитационной практике тренировка моторного принятия решения и выполнения движения руки с адаптивным расстоянием до цели повысит у пациентов с инсультом контроль над выполнением движения, что может отразиться на качестве жизни пациентов.
Необходимы дальнейшие исследования с большей величиной выборки пациентов.
ДОПОЛНИТЕЛЬНАЯ ИНФОРМАЦИЯ
Источник финансирования. Исследование выполнено при финансовой поддержке ФМБА России, регистрационный номер НИОКР 122022100101-4.
Конфликт интересов. Авторы декларируют отсутствие явных и потенциальных конфликтов интересов, связанных с публикацией настоящей статьи.
Вклад авторов. Т.Б. Иванов — отбор пациентов и тестирование по клиническим шкалам; А.В. Тумялис, Т.Б. Иванов, Е.А. Иванова, А.А. Кириченко — проведение тренировок у пациентов; А.В. Тумялис — обработка результатов тренировок у пациентов и написание текста статьи; Т.Б. Иванов, А.Е. Осадчий, А.В. Тумялис — обсуждение результатов исследования; Г.Е. Иванова — научное редактирование. Авторы подтверждают соответствие своего авторства международным критериям ICMJE (все авторы внесли существенный вклад в разработку концепции, проведение исследования и подготовку статьи, прочли и одобрили финальную версию перед публикацией).
ADDITIONAL INFORMATION
Funding source. The study was financially supported by FMBA of Russia, registration number 122022100101-4.
Competing interests. The authors declare that they have no competing interests.
Authors’ contribution. T.B. Ivanov — patient selection and testing on clinical scales; A.V. Tumyalis, T.B. Ivanov, E.A. Ivanova, A.A. Kirichenko — patient training; A.V. Tumyalis — processing the results of patient training and writing the text of the article; T.B. Ivanov, A.E. Ossadtchi, A.V. Tumyalis — discussion of the study results; G.E. Ivanova — manuscript editing. The authors made a substantial contribution to the conception of the work, acquisition, analysis, interpretation of data for the work, drafting and revising the work, final approval of the version to be published and agree to be accountable for all aspects of the work.
About the authors
Alexey V. Tumyalis
Laboratory of Medical Neurointerfaces and Artificial Intelligence of Federal State Budgetary Institution “Federal center of brain research and neurotechnologies”; Center for Bioelectrical Interfaces of Higher School of Economics
Email: atumyalis@gmail.com
ORCID iD: 0000-0002-8868-6312
SPIN-code: 4266-1634
PhD, Cand. Sci. (Biol.), Associate Professor
Russian Federation, Moscow; MoscowTimur B. Ivanov
Center for Bioelectrical Interfaces of Higher School of Economics; Federal Scientific and Clinical Center of Medical Rehabilitation and Balneology
Author for correspondence.
Email: timuriva@yandex.ru
Russian Federation, Moscow; Moscow
Galina E. Ivanova
Federal Scientific and Clinical Center of Medical Rehabilitation and Balneology
Email: ivanova.ge@fccps.ru
ORCID iD: 0000-0003-3180-5525
SPIN-code: 4049-4581
MD, PhD, Professor
Russian Federation, MoscowEkaterina A. Ivanova
Laboratory of Medical Neurointerfaces and Artificial Intelligence of Federal State Budgetary Institution “Federal center of brain research and neurotechnologies”
Email: kattyandiva@gmail.com
Russian Federation, Moscow
Andrey A. Kirichenko
Laboratory of Medical Neurointerfaces and Artificial Intelligence of Federal State Budgetary Institution “Federal center of brain research and neurotechnologies”
Email: vDRONikv@gmail.com
Russian Federation, Moscow
Alex E. Ossadtchi
Laboratory of Medical Neurointerfaces and Artificial Intelligence of Federal State Budgetary Institution “Federal center of brain research and neurotechnologies”; Center for Bioelectrical Interfaces of Higher School of Economics
Email: ossadtchi@gmail.com
ORCID iD: 0000-0001-8827-9429
SPIN-code: 5631-4743
PhD, Dr. Sci. (Physiology and Mathematics), Professor
Russian Federation, Moscow; MoscowReferences
- Kuo CL, Hu GC. Post-stroke spasticity: A review of epidemiology, pathophysiology, and treatments. Int J Gerontol. 2018;12(4): 280–284. doi: 10.1016/j.ijge.2018.05.005
- Collins KC, Kennedy NC, Clark A, et al. Kinematic components of the reach-to-target movement after stroke for focused rehabilitation interventions: Systematic review and meta-analysis. Front Neurol. 2018;9:472. doi: 10.3389/fneur.2018.00472
- Ramos-Lima MJ, Brasileiro IC, Lima TL, et al. Quality of life after stroke: Impact of clinical and sociodemographic factors. Clinics (Sao Paulo). 2018;73:e418. doi: 10.6061/clinics/2017/e418
- Schweighofer N, Han CE, Wolf SL, et al. A functional threshold for long-term use of hand and arm function can be determined: Predictions from a computational model and supporting data from the Extremity Constraint-Induced Therapy Evaluation (EXCITE) Trial. Phys Ther. 2009;89(12):1327–1336. doi: 10.2522/ptj.20080402
- Li S, Francisco GE, Rymer WZ. A new definition of poststroke spasticity and the interference of spasticity with motor recovery from acute to chronic stages. Neurorehabil Neural Repair. 2021;35(7):601–610. doi: 10.1177/15459683211011214
- Mawase F, Cherry-Allen K, Xu J, et al. Pushing the rehabilitation boundaries: Hand motor impairment can be reduced in chronic stroke. Neurorehabil Neural Repair. 2020;34(8):733–745. doi: 10.1177/1545968320939563
- Levin MF, Piscitelli D. Motor control: A conceptual framework for rehabilitation. Motor Control. 2022;26(4):497–517. doi: 10.1123/mc.2022-0026
- Cirstea MC, Mitnitski AB, Feldman AG, Levin MF. Interjoint coordination dynamics during reaching in stroke. Exp Brain Res. 2003;151(3):289–300. doi: 10.1007/s00221-003-1438-0
- Lackritz H, Parmet Y, Frenkel-Toledo S, et al. Effect of post-stroke spasticity on voluntary movement of the upper limb. J Neuroeng Rehabil. 2021;18(1):81. doi: 10.1186/s12984-021-00876-6
- Pellegrino L, Coscia M, Giannoni P, et al. Stroke impairs the control of isometric forces and muscle activations in the ipsilesional arm. Sci Rep. 2021;11(1):18533. doi: 10.1038/s41598-021-96329-0
- Thibaut A, Chatelle C, Ziegler E, et al. Spasticity after stroke: Physiology, assessment and treatment. Brain Inj. 2013; 27(10):1093–1105. doi: 10.3109/02699052.2013.804202
- Hatem SM, Saussez G, Della Faille M, et al. Rehabilitation of motor function after stroke: A multiple systematic review focused on techniques to stimulate upper extremity recovery. Front Hum Neurosci. 2016;10:442. doi: 10.3389/fnhum.2016.00442
- Sherwood DE, Lohse KR, Healy AF. The effect of an external and internal focus of attention on dual-task performance. J Exp Psychol Hum Percept Perform. 2020;46(1):91–104. doi: 10.1037/xhp0000698
- Kuhn YA, Keller M, Egger S, et al. Effects of an external compared to an internal focus of attention on the excitability of fast and slow(er) motor pathways. Sci Rep. 2021;11(1):17910. doi: 10.1038/s41598-021-97168-9
- Hutchison KA, Bugg JM, Lim YB, et al. Congruency precues moderate item-specific proportion congruency effects. Atten Percept Psychophys. 2016;78(4):1087–1103. doi: 10.3758/s13414-016-1066-y
- Yu Q, Chau BK, Lam BY, et al. Neural processes of proactive and reactive controls modulated by motor-skill experiences. Front Hum Neurosci. 2019;13:404. doi: 10.3389/fnhum.2019.00404
- Sternberg S. Separate modifiability, mental modules, and the use of pure and composite measures to reveal them. Acta Psychol (Amst). 2001;106(1-2):147–246. doi: 10.1016/s0001-6918(00)00045-7
- Pierella C, Casadio M, Mussa-Ivaldi FA, Solla SA. The dynamics of motor learning through the formation of internal models. PLoS Comput Biol. 2019;15(12):e1007118. doi: 10.1371/journal.pcbi.1007118
- Inzlicht M, Shenhav A, Olivola CY. The effort paradox: Effort is both costly and valued. Trends Cogn Sci. 2018;22(4):337–349. doi: 10.1016/j.tics.2018.01.007
- Turpin NA, Feldman AG, Levin MF. Stretch-reflex threshold modulation during active elbow movements in post-stroke survivors with spasticity. Clin Neurophysiol. 2017;128(10): 1891–1897. doi: 10.1016/j.clinph.2017.07.411
- Tandonnet C, Davranche K, Meynier C, et al. How does temporal preparation speed up response implementation in choice tasks? Evidence for an early cortical activation. Psychophysiology. 2012;49(2):252–260. doi: 10.1111/j.1469-8986.2011.01301.x
- Shin YK, Proctor RW. Evidence for distinct steps in response preparation from a delayed response paradigm. Acta Psychol (Amst). 2018;191:42–51. doi: 10.1016/j.actpsy.2018.08.010
- Herz DM, Zavala BA, Bogacz R, Brown P. Neural correlates of decision thresholds in the human subthalamic nucleus. Curr Biol. 2016;26(7):916–920. doi: 10.1016/j.cub.2016.01.051
- Stine GM, Trautmann EM, Jeurissen D, Shadlen MN. A neural mechanism for terminating decisions. Neuron. 2023;111(16):2601–2613.e5. doi: 10.1016/j.neuron.2023.05.028
- Faisal AA, Wolpert DM. Near optimal combination of sensory and motor uncertainty in time during a naturalistic perception-action task. J Neurophysiol. 2009;101(4):1901–1912. doi: 10.1152/jn.90974.2008
- Sengupta S, Medendorp WP, Praamstra P, Selen LP. Uncertainty modulated exploration in the trade-off between sensing and acting. PLoS One. 2018;13(7):e0199544. doi: 10.1371/journal.pone.0199544
- Subramanian SK, Feldman AG, Levin MF. Spasticity may obscure motor learning ability after stroke. J Neurophysiol. 2018; 119(1):5–20. doi: 10.1152/jn.00362.2017
Supplementary files






