Использование синтетических эквивалентов биполярных [С2] 2/2+ -синтонов для получения биологически активных ансамблей гетероциклов с кумариновыми звеньями
- Авторы: Коваленко С.Н.1, Черных В.П.1, Белоконь Я.В.1, Орленко И.В.1, Журавель И.А.1, Никитченко В.М.1, Силин А.В.1
-
Учреждения:
- Украинская фармацевтическая академия
- Выпуск: Том 76, № 3 (1995)
- Страницы: 189-193
- Раздел: Фармация
- Статья получена: 12.02.2022
- Статья одобрена: 12.02.2022
- Статья опубликована: 15.05.1995
- URL: https://kazanmedjournal.ru/kazanmedj/article/view/100584
- DOI: https://doi.org/10.17816/kazmj100584
- ID: 100584
Цитировать
Полный текст
Аннотация
Кумарины (2H-1-бензопиран-2-оны) привлекают повышенное внимание исследователей, занятых поиском новых биологически активных веществ, обладающих широким спектром физиологической и фармакологической активности. Среди соединений этого класса найдены перспективные субстанции, некоторые из них внедрены в медицинскую практику [3, 8]. Фармакологический потенциал производных кумарина далеко не исчерпан. В настоящей работе представлен обзор результатов исследований, проведенных в области конструирования и синтеза ансамблей гетероциклов, содержащих кумариновые звенья с целью поиска новых высокоэффективных биологически активных веществ.
Ключевые слова
Полный текст
Кумарины (2H-1-бензопиран-2-оны) привлекают повышенное внимание исследователей, занятых поиском новых биологически активных веществ, обладающих широким спектром физиологической и фармакологической активности. Среди соединений этого класса найдены перспективные субстанции, некоторые из них внедрены в медицинскую практику [3, 8]. Фармакологический потенциал производных кумарина далеко не исчерпан. В настоящей работе представлен обзор результатов исследований, проведенных в области конструирования и синтеза ансамблей гетероциклов, содержащих кумариновые звенья с целью поиска новых высокоэффективных биологически активных веществ.
Объединение двух или нескольких гетероциклических ядер в ансамбли циклов представляет собой интересный и перспективный прием, так как позволяет динамично изменять структуру соединений, вызывая как усиление характерных для отдельных гетероциклических звеньев видов биологической активности, так и появление новых. Однако в биологическом аспекте двух- и трехзвенные ансамбли циклов с кумариновыми звеньями изучены явно недостаточно, именно этим объясняется наш интерес к данному классу соединений. Так, для 3-(2-R-тиазолил-4) кумаринов (R = CH3, С6Н5) были изучены только антибактериальная и антигрибковая активности [13]. В последнее время опубликован ряд работ по синтезу и биологической активности аминотиазолил кумаринов, в которых для соединений данного класса была исследована только противомикробная активность [8, 9].
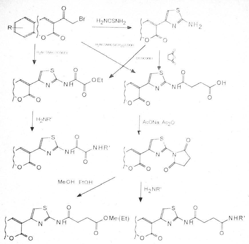
Проведенный нами анализ возможных путей химических превращений реагентов с использованием синтонного подхода показал, что в плане построения 3-гетерилкумаринов наиболее перспективны биполярные электрофильные -синтоны, которые в сочетании с биполярными нуклеофильными , , , -синтонами приводят к образованию тиазольного, тиадиазинового, индолизинового, азоиндолизинового и других гетероциклов в третьем положении кумарина. В качестве синтетических эквивалентов -синтона нами были выбраны 3- (α-бромацетил) кумарины, отличающиеся высокой реакционной способностью и простотой синтеза [11]. При взаимодействии 3- (α-бромацетил) кумаринов с тиоформамидом, тиоацетамидом, тиоцианацетамидом, ароматическими тиоамидами, тиомочевинами (-синтоны), образуются 2,4-замещенные тиазолы [2, 8, 9, 11, 13] (рис. 1, 2). В случае же взаимодействия с тиосемикарбазидом, который может проявлять себя как эквивалент или -синтонов в зависимости от условий протекания реакции получены 3-(2-гидразинотиазолил-4) кумарины и 3-(2-амино, 1, 3, 4-тиадиазинил-5) кумарины. При использовании 1-фенил- или 4-фенилтио-семикарбазидов наблюдалось однозначное направление протекания реакций с образованием или тиазольного, или тиадиазинового фрагментов [14] (рис. 1). При создании в ходе синтеза аминотиазольного цикла образуются производные, которые были успешно использованы для дальнейшей химической модификации путем введения остатков дикарбоновых кислот с образованием 4-(кумаринил-3) тиазолил-2-оксаминовых и 4-(кумаринил-2) тиазолил-2-сукцинаминовых кислот [1] (рис. 2).
Рис. 1. Схема образования 2,4-замещенных тиазолов
Рис. 2. Схема образования 4-(кумаринил-3) тиазолил-2-оксаминовых и 4-(кумаринил-3) тиазолил-2-сукцинаминовых кислот
Высокий синтетический потенциал 3-(α-бромацетил) кумаринов позволил нам расширить класс двухзвенных ансамблей циклов и получить на их основе 3-гетерилкумарины с ядрами оксазола, хиноксалина, фурана (рис. 3).
Рис. 3. Схема образования 3-гетарилкумаринов с ядрами оксазола, хиноксалина и фурана.
Новым классом соединений являются продукты взаимодействия 3-(α-бромацетил) кумаринов с аминопиридинами и аминотиазолом (-синтоны) с образованием на первой стадии кватернизированных солей, которые в присутствии органических оснований легко циклизуются в соответствующие 3-(R-1-азоиндолизил-2) и 3-(имидазо [2, 1-b] тиазолил-6) кумарины [4] (рис. 3). Интерес к структурам такого рода вызван тем, что имидазо [1,2-а] пиридины обладают противоязвенным действием [10], имидазо [2, 1-b] тиазолы проявляют мутагенную [6], противоопухолевую [5] и иммунодепрессивную активности [12].
Исследование биологической активности синтезированных соединений для серии 3-тиазолилкумаринов на противовоспалительную, анальгетическую, жаропонижающую, диуретическую, цитопротекторную и радиопротекторную активности показали, что около 20% исследованных веществ проявляют виды активности на уровне препаратов сравнения или выше. По силе противовоспалительного и анальгетического действия R-замещенные 3-(2-аминотиазолил-4) кумарины (R = 7-NEt2; 6,8-диВr; 6-NO2) в эквивалентных дозах не уступают вольтарену и анальгину и при этом менее токсичны. Амиды 4-(кумаринил-3) тиазолил-2-сукцинаминовой кислоты (R=H, R'=C2H5 и СН3; R = 6,8-диВr, R'=H) обладают более высокой мембраностабилизирующей активностью, чем препарат сравнения. Наибольшую диуретическую активность показали 3-ацетилкумарины (R=7-NEt2; 6-н-гексил; 7-ОН; 6-ОСН3; 6-Вr; 6-NO2).
Нами изучена острая токсичность синтезированных соединений. Проанализировав группу наиболее эффективных соединений с точки зрения их соответствия требованиям, которые предъявляются к лекарственным субстанциям (доступность реагентов, максимально короткий путь синтеза, достаточный процент выхода, стойкость при хранении), мы выбрали одно вещество — метиловый эфир 4-(кумаринил-3)-тиазолил-2-сукцинаминовой кислоты. Это соединение проявляет такую же анальгетическую активность, как и анальгин (в дозе, меньшей в 2,5 раза), при меньшей токсичности. Кроме того, для субстанции характерны мембраностабилизирующее действие до 92,5% (преднизолон — 48% при 50% гибели клеток контроля) и гепатозащитный эффект (обеспечивает 100% выживаемость клеток при 100% гибели клеток контроля). На получение этой субстанции разработан лабораторный технологический регламент с применением как химических, так и механохимических методов синтеза [7].
Об авторах
С. Н. Коваленко
Украинская фармацевтическая академия
Автор, ответственный за переписку.
Email: info@eco-vector.com
Кафедра органической химии
Украина, ХарьковВ. П. Черных
Украинская фармацевтическая академия
Email: info@eco-vector.com
Кафедра органической химии
Украина, ХарьковЯ. В. Белоконь
Украинская фармацевтическая академия
Email: info@eco-vector.com
Кафедра органической химии
Украина, ХарьковИ. В. Орленко
Украинская фармацевтическая академия
Email: info@eco-vector.com
Кафедра органической химии
Украина, ХарьковИ. А. Журавель
Украинская фармацевтическая академия
Email: info@eco-vector.com
Кафедра органической химии
Украина, ХарьковВ. М. Никитченко
Украинская фармацевтическая академия
Email: info@eco-vector.com
Кафедра органической химии
Украина, ХарьковА. В. Силин
Украинская фармацевтическая академия
Email: info@eco-vector.com
Кафедра органической химии
Россия, ХарьковСписок литературы
- Журавель И. А., Коваленко С. Н. и др.// Сборник трудов Рязанского мед. ин-та.—Рязань, 1991.—С. 75—83
- Журавель И. А., Коваленко С. Н. и др.// Фармац. журнал.—1991.—№ 4.—С. 72—76
- Машковский М. Д. Лекарственные средства: В 2-х томах. Т. 2—10-е изд. стер.— М., 1986
- Ягодинец П. И., Скрипская О. В., Федориев Н. И., Чернюк И. Н.// Деп. Укр. НИИНТИ 22.08.90, № 1391-Ук90
- Andreani A., Rambalbi M., Andreani F., Bossa R.//Ear. J. Med. Chem.— 1988.— Vol. 23.—P. 385
- Andreani A., Rambalbi M., Locatelli A., Isetta A. M.//Eur. J. Med. Chem.— 1991.— Vol. 26,— P. 335
- Chuev V. P., Lyaghina L. A., Kovalenko S. V.//Sibirian J. Chem.—1991.— Vol. 5.— P. 158—159
- Ebeid M. Y., Amin K. M., Hussein M. M.// Egypt. J. Pharm.— Sei.— 1987.— Vol. 28.— P. 183—191
- El-Morsy S. S., Fadda A. A., El-Hossi- ni M. S.//J. Ind. Chem. Soc.— 1988.— VoL 65.—P. 699—701
- Kaminski J. J.//J. Med. Chem.— 1989.— Vol. 32.—P. 1686
- Koelsch C. F.//J. Am. Chem. Soc.— 1950,—Vol. 72—. P. 2993—2995
- Mase T., Hidek A., Kemichi T.//J. Med. Chem.— 1986,—Vol. 29.—P. 386
- Rao V. R., Rao T. V. P.//Ind. J. Chem.— 1986.—Vol. 25B.— P. 413—415
- Vserabhadraiah U., Rao V. R.//d, Ind. Chem. Soc.— 1990 —Vol. 67, № 1.—P. 81—82
Дополнительные файлы
