Механизмы сенситизации клеток гастроинтестинальных стромальных опухолей к ингибиторам ДНК-топоизомеразы II типа
- Авторы: Дунаев П.Д.1, Галембикова А.Р.1, Бойчук С.В.1
- 
							Учреждения: 
							- Казанский государственный медицинский университет
 
- Выпуск: Том 100, № 2 (2019)
- Страницы: 245-251
- Раздел: Экспериментальная медицина
- Статья получена: 29.03.2019
- Статья опубликована: 29.03.2019
- URL: https://kazanmedjournal.ru/kazanmedj/article/view/11534
- DOI: https://doi.org/10.17816/KMJ2019-245
- ID: 11534
Цитировать
Полный текст
Аннотация
Цель. Оценить способность ингибиторов рецепторных тирозинкиназ модулировать чувствительность клеток гастроинтестинальных стромальных опухолей к ингибиторам ДНК-топоизомеразы II типа.
Методы. В исследовании были использованы следующие ингибиторы рецепторных тирозинкиназ - иматиниб, кризотиниб, кабозантиниб и сунитиниб. Способность вышеуказанных препаратов вызывать сенситизацию клеток гастроинтестинальных стромальных опухолей к действию ингибитора ДНК-топоизомеразы II типа (доксорубицина) оценивали с помощью колориметрического MTS-теста. Уровень экспрессии белков, служащих маркёрами апоптоза, повреждений ДНК и их репарации оценивали методом иммуноблоттинга с использованием соответствующих моноклональных антител. Оценку пролиферативного потенциала клеток проводили в режиме реального времени с использованием прибора iCELLigence (ACEA Biosciences Inc., США).
Результаты. Показано, что вышеуказанные ингибиторы рецепторных тирозинкиназ обладают способностью вызывать сенситизацию клеток гастроинтестинальных стромальных опухолей к действию ингибиторов ДНК-топоизомеразы II типа. Это приводит к замедлению скорости пролиферации опухолевых клеток и усилению их гибели по механизму апоптоза. Важно, что данный эффект был обнаружен в отношении иматиниб-резистентных клеток гастроинтестинальных стромальных опухолей. Один из возможных молекулярных механизмов сенситизации этих клеток к действию ингибиторов ДНК-топоизомеразы II типа - способность таргетных препаратов нарушать процессы репарации повреждений ДНК, в частности по механизму гомологичной рекомбинации. Об этом свидетельствует значимое снижение уровня экспрессии рекомбиназы Rad51 под действием ингибиторов рецепторных тирозинкиназ на фоне повреждения ДНК, вызываемого ингибиторами ДНК-топоизомеразы II типа.
Вывод. Ингибиторы рецепторных тирозинкиназ обладают способностью вызывать сенситизацию иматиниб-резистентных клеток гастроинтестинальных стромальных опухолей к ингибиторам ДНК-топоизомеразы II типа за счёт угнетения процесса гомологичной рекомбинации ДНК.
Полный текст
Гастроинтестинальные стромальные опухоли (ГИСО) представляют собой наиболее распространённые мезенхимальные опухоли желудочно-кишечного тракта, развивающиеся из интерстициальных клеток Кахаля, обладающих пейсмейкерной активностью и задающих ритм сокращений (перистальтики) полых органов желудочно-кишечного тракта [1]. Типичная локализация ГИСО — желудок (60–70%), тонкая кишка (25–35%), толстая и прямая кишка (5%). В редких случаях опухоль может быть расположена в пищеводе, брыжейке, сальнике, забрюшинном пространстве.
Основные патогенетические механизмы ГИСО — активирующие мутации с-KIT или PDFRA (мутации взаимоисключающие), приводящие к гиперактивации вышеуказанных тирозинкиназных рецепторов, что в свою очередь обусловливает высокую пролиферативную активность трансформированных клеток и их устойчивость к программированной клеточной гибели (апоптозу) [2–4]. Вышеуказанные мутации выявляются в подавляющем числе (до 85–90%) случаев ГИСО, поэтому данное заболевание в настоящее время является одним из ярких примеров успешного использования таргетных препаратов в практической онкологии.
В качестве первой линии терапии пациентов с ГИСО используют таргетный препарат иматиниб (иматиниба мезилат, гливек), являющийся ингибитором вышеназванных тирозинкиназных рецепторов. Воздействие препарата на клетки ГИСО существенно замедляет скорость их пролиферации и вызывает последующую гибель по механизму апоптоза. Тем не менее, несмотря на изначально высокую терапевтическую эффективность иматиниба, через определённый промежуток времени (1,5–2 года) после начала проведения таргетной терапии более чем у 50% пациентов с неоперабельными, метастатическими и рецидивирующими формами ГИСО развивается резистентность к иматинибу, обусловленная возникновением вторичных мутаций вышеописанных тирозинкиназных рецепторов, а также активацией других типов рецепторных и нерецепторных тирозин-
киназ [5–7].
После развития резистентности ГИСО к иматинибу данным пациентам назначают таргетные препараты второй и третьей линий — сунитиниб (сутент) и регорафениб (стиварга) соответственно. Тем не менее, их применение сопряжено с развитием ряда тяжёлых побочных эффектов и также сопровождается развитием резистентности [8–10]. Попытки использования ингибиторов тирозинкиназ нового поколения (нилотиниба, масатиниба, сорафениба, пазопаниба, довитиниба и др.) в терапии пациентов с иматиниб-резистентными ГИСО не внесли существенных изменений в характер течения заболевания и его прогноз [11].
Таким образом, несмотря на многообещающие результаты, достигнутые на начальном этапе проведения таргетной терапии больным с ГИСО, неуклонное развитие резистентности опухоли к данным препаратам и относительно высокая частота побочных эффектов от их применения становятся основными факторами неблагоприятного прогноза у пациентов с неоперабельными и метастатическими формами ГИСО.
В настоящее время точку зрения об эффективности химиотерапии в лечении больных с ГИСО подвергают активному пересмотру. Несмотря на тот факт, что в течение долгого времени существовало общепринятое мнение о химиорезистентности ГИСО, результаты исследований последних лет (в том числе и нашей научной группы) показали, что отдельные химиопрепараты могут быть эффективными в отношении ГИСО как in vitro, так и in vivo [12, 13]. Было также показано, что ингибиторы ДНК-топоизомеразы II типа (доксорубицин, этопозид), а также препараты, влияющие на динамическое состояние микротрубочек веретена деления (винбластин, паклитаксел), способны оказывать цитостатический и проапоптотический эффекты в отношении различных клеточных линий ГИСО [14, 15]. Было также обнаружено, что таргетный препарат иматиниб обладает способностью повышать чувствительность клеток ГИСО к действию ингибиторов ДНК-топоизомеразы II типа [16, 17].
В связи с вышеизложенным целью настоящего исследования было комплексное изучение способности препаратов, ингибирующих активность рецепторных и нерецепторных тирозинкиназ, вызывать сенситизацию клеток ГИСО к действию ингибиторов ДНК-топоизомеразы II типа. Объектом исследования стал иматиниб-резистентный субклон линии ГИСО T1-R, полученный в нашей лаборатории [18]. Способность вызывать сенситизацию клеток ГИСО к ингибиторам ДНК-топоизомеразы II типа оценивали в отношении следующих препаратов:
1) иматиниба, ингибитора Bcr-Abl тирозинкиназы, а также с-KIT, используемого в терапии пациентов с хроническим миелолейкозом и ГИСО;
2) кризотиниба, селективного ингибитора рецепторных тирозинкиназ, в том числе киназы анапластической лимфомы (АLK) и её онкогенных вариантов (то есть продуктов слияния ALK и отдельных её мутаций), а также ингибитора рецепторов фактора роста гепатоцитов (HGFR, с-MET, представителей семейства рецепторных тирозинкиназ); в настоящее время препарат разрешён к применению у пациентов с ALK-позитивным немелкоклеточным раком лёгкого;
3) сунитиниба, основной мишенью которого являются α- и β-рецепторы тромбоцитарного фактора роста (PDGFR), фактора роста эндотелия сосудов (VEGFR-1, VEGFR-2 и VEGFR-3), фактора стволовых клеток (KIT), Fms-подобной тирозинкиназы-3 (FLT-3), колониестимулирующего фактора (CSF-1R) и нейротрофического глиального фактора (RET); в настоящее время данный препарат используют для терапии пациентов с ГИСО после развившейся резистентности к иматинибу, при распространённом и/или метастатическом почечно-клеточном раке, а также неоперабельных или метастатических нейроэндокринных опухолях поджелудочной железы;
4) кабозантиниба, неселективного ингибитора достаточно большого количества киназ (МЕТ, VEGF, RET, KIT, Flt-1/3/4, Tie2 и AXL), используемого в настоящее время для терапии пациентов с метастатической или неоперабельной карциномой щитовидной железы, а также гепатоцеллюлярной и почечно-клеточной карциномы.
Клетки ГИСО культивировали в стандартных условиях (37 °С, 5% СО2) в среде RPMI-1640 с добавлением L-глутамина, пенициллина и стрептомицина (все реагенты — ПанЭко, Россия), а также 15% эмбриональной телячьей сыворотки (HyClone, США). Клетки преинкубировали с одним из ингибиторов тирозинкиназ (иматиниб, кризотиниб, кабозантиниб, сунитиниб) в течение 12 ч. Далее к клеточным культурам добавляли ингибитор ДНК-топоизомеразы II типа доксорубицин.
Чувствительность опухолевых клеток к доксорубицину оценивали колориметрическим методом (MTS-тест) с помощью реагента CellTiter 96® AQueous MTS Reagent Powder (Promega, США) на планшетном анализаторе Multiscan FC (Thermo Scientific, США) при длине волны 492 нм. Уровень экспрессии белков, служащих маркёрами апоптоза, а также репарации повреждений ДНК, оценивали методом иммуноблоттинга с использованием соответствующих моноклональных антител. Оценку пролиферативного потенциала клеток проводили в режиме реального времени с использованием прибора iCELLigence (ACEA Biosciences Inc., США).
Полученные данные обрабатывали с помощью компьютерных программ Microsoft Excel 2007 и Biostatistica (S.A. Glantz, McGraw Hill, США). Использовали метод однофакторного дисперсионного анализа. Для оценки достоверности различий изучаемых выборок применяли t-критерий Стьюдента. При р <0,05 различия считали статистически значимыми.
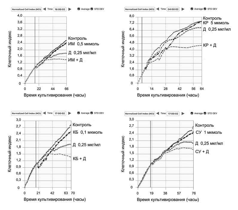
Результаты проведённых экспериментов свидетельствуют о том, что ингибиторы тирозинкиназ (кризотиниб, кабозантиниб, сунитиниб) обладали способностью снижать пролиферативную активность иматиниб-резистентных клеток ГИСО только при использовании в комбинации с ингибитором ДНК-топоизомеразы II типа доксорубицином (рис. 1).
Рис. 1. Ингибиторы рецепторных тирозинкиназ (иматиниб — ИМ, кризотиниб — КР, кабозатиниб — КБ, сунитиниб — СУ) снижают скорость пролиферации клеток гастроинтестинальных стромальных опухолей T1-R при их совместном культивировании с ингибитором ДНК-топоизомеразы II типа доксорубицином (Д)
Интересен, на наш взгляд, тот факт, что иматиниб был также эффективен в отношении иматиниб-резистентных клеточных линий, вызывая их сенситизацию к доксорубицину (см. рис. 1, А). Следовательно, данный эффект иматиниба не был следствием его способности ингибировать активность рецепторной тирозинкиназы с-KIT. Ожидаемо доксорубицин оказывал умеренный антипролиферативный эффект в отношении клеток ГИСО.
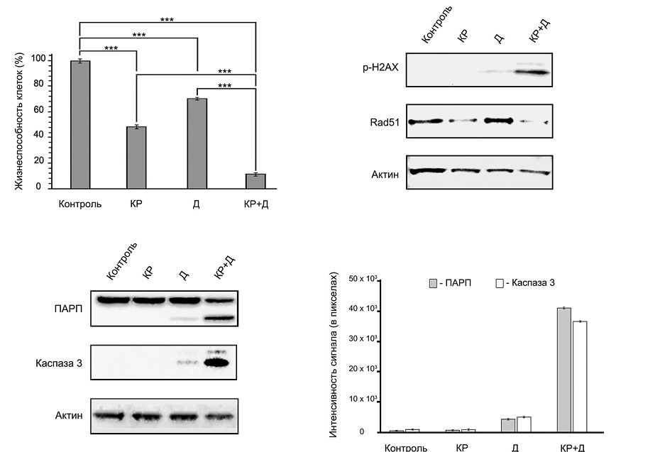
Результаты колориметрического MTS-теста (рис. 2, А) показали, что значимое снижение жизнеспособности опухолевых клеток ГИСО отмечалось только в присутствии комбинации ингибитора тирозинкиназ с доксорубицином. К примеру, количество жизнеспособных клеток ГИСО, культивированных в течение 72 ч в присутствии комбинации кризотиниба и доксорубицина, не превышало 20%. В то же время каждый из препаратов, использованных в отдельности, обладал значительно меньшей цитотоксичностью в отношении иматиниб-резистентных клеток ГИСО (см. рис. 2, А).
Рис. 2. Изучение способности доксорубицина (Д) и кризотиниба (КР) вызывать повреждения ДНК и индуцировать гибель по механизму апоптоза клеток гастроинтестинальных стромальных опухолей T1-R. (A) Жизнеспособность клеток, оцениваемая колориметрическим MTS-тестом; ***р <0,001. (Б, В) Экспрессия маркёров апоптоза — расщеплённых форм каспазы-3 и поли(АДФ)-рибоза-полимеразы (ПАРП); маркера двунитевых разрывов ДНК — рН2АХ; рекомбиназы Rad51, участвующей в процессах гомологичной рекомбинации. Актин отражает уровень белковой нагрузки в исследуемых образцах. (Г) Количественные показатели уровней экспрессии маркёров апоптоза в образцах, представленных на рис. 2B
Основной механизм гибели клеток ГИСО, культивированных в присутствии комбинации кризотиниба и доксорубицина, — апоптоз, о чём свидетельствовало повышение уровней экспрессии расщеплённых форм каспазы-3 и поли(АДФ)-рибоза-полимеразы (ПАРП), служащих, как известно, традиционными маркёрами программированной клеточной гибели (рис. 2, В, Г). Важно отметить, что комбинированное воздействие вышеуказанных препаратов на клетки ГИСО приводило к значительному увеличению уровня экспрессии гистона 2А, фосфорилированного по остаткам серина в положении 139, являющегося общепризнанным маркёром двунитевых разрывов ДНК (рис. 2, Б). В присутствии кризотиниба у клеток ГИСО снижался уровень экспрессии рекомбиназы Rad51 — белка, участвующего в репарации двунитевых разрывов ДНК по механизму гомологичной рекомбинации. Следовательно, апоптоз клеток ГИСО, индуцированный комбинацией кризотиниба и доксорубицина, возникал вследствие двунитевых разрывов ДНК (эффект доксорубицина), а также из-за нарушений механизмов репарации этих повреждений (эффект кризотиниба).
Аналогичные закономерности были выявлены в клетках ГИСО, культивированных с иматинибом, кабозатинибом и сунитинибом, подтверждая предположение о том, что ингибиторы рецепторных тирозинкиназ могут вызывать сенситизацию опухолевых клеток к ДНК-повреждающим соединениям (химиопрепаратам) по единому механизму, мало зависящему от типа ингибируемых рецепторных тирозинкиназ. Общность молекулярных механизмов действия данных ингибиторов рецепторных тирозинкиназ заключается в их способности нарушать в опухолевых клетках процессы репарации повреждений ДНК и вызывать тем самым сенситизацию клеток к действию ДНК-повреждающих агентов, в частности ингибиторов ДНК-топоизомеразы II типа.
Полученные нами факты коррелируют с результатами ряда зарубежных научных исследований. К примеру, результаты исследований, проведённых T. Tanaka и соавт., показали способность гефитиниба (ирессы), являющегося ингибитором рецепторов эпидермального фактора роста EGFR, ингибировать процессы репарации повреждений ДНК и приводить тем самым к радиосенситизации опухолевых клеток [19].
Ингибирование процессов репарации повреждений ДНК по механизму негомологичного связывания концов было также обнаружено в опухолевых клетках при воздействии на них цетуксимаба (эрбитукса), оно приводило к аналогичным последствиям, повышая чувствительность опухолевых клеток к ионизирующему излучению [20].
Результаты проведённых нами ранее исследований иллюстрируют способность ингибиторов FGF-сигнального пути (BGJ398) вызывать сенситизацию клеток ГИСО к действию химиопрепаратов [21].
Вышеизложенное свидетельствует о важной роли рецепторных тирозинкиназ в регуляции процессов репарации повреждений ДНК и открывает перспективы для их применения, обусловленные их способностью вызвать радио- и химиосенситизацию злокачественных новообразований, в том числе резистентных к используемым в настоящее время таргетным препаратам.
Вывод
Ингибиторы рецепторных тирозинкиназ с различным механизмом действия вызывают сенситизацию иматиниб-резистентных клеток гастроинтестинальных стромальных опухолей к химиопрепаратам (ингибиторам ДНК-топоизомеразы II типа) за счёт угнетения процессов репарации повреждений ДНК по механизму гомологичной рекомбинации.
Работа выполнена при поддержке Российского фонда фундаментальных исследований (грант №17-04-00158).
Авторы заявляют об отсутствии конфликта интересов по представленной статье.
Об авторах
Павел Дмитриевич Дунаев
Казанский государственный медицинский университет
							Автор, ответственный за переписку.
							Email: boichuksergei@mail.ru
				                					                																			                												                								 г. Казань, Россия 						
Айгуль Рафиковна Галембикова
Казанский государственный медицинский университет
														Email: boichuksergei@mail.ru
				                					                																			                												                								 г. Казань, Россия 						
Сергей Васильевич Бойчук
Казанский государственный медицинский университет
														Email: boichuksergei@mail.ru
				                					                																			                												                								 г. Казань, Россия 						
Список литературы
- Jakhetiya A., Garg P.K., Prakash G. et al. Targeted therapy of gastrointestinal stromal tumours. World J. Gastrointest. Surg. 2016; 8 (5): 345-352. doi: 10.4240/wjgs.v8.i5.345.
- Hirota S., Isozaki K., Moriyama Y. et al. Gain-of-function mutations of c-kit in human gastrointestinal stromal tumors. Science. 1998; 279: 577-580. DOI: 10.1126/ science.279.5350.577.
- Demetri G.D., Mehren von M., Blanke C.D. et al. Efficacy and safety of imatinib mesylate in advanced gastrointestinal stromal tumors. N. Engl. J. Med. 2002; 347: 472-480. doi: 10.1056/NEJMoa020461.
- Rubin B.P., Singer S., Tsao C. et al. KIT activation is a ubiquitous feature of gastrointestinal stromal tumors. Cancer Res. 2001; 61: 8118-8121. PMID: 11719439.
- Gramza A.W., Christopher L.C., Michael C.H. Resistance to tyrosine kinase inhibitors in gastrointestinal stromal tumors. Clin. Cancer Res. 2009; 15 (24): 7510-7518. doi: 10.1158/1078-0432.CCR-09-0190.
- De Silva C.M., Reid R. Gastrointestinal stromal tumors (GIST): с-kit mutations, CD117 expression, differential diagnosis and targeted cancer therapy with Imatinib. Pathol. Oncol. Res. 2003; 9 (1): 13-19. PMID: 12704441.
- Boichuk S., Galembikova A., Dunaev P. et al. A novel receptor tyrosine kinase switch promotes gastrointestinal stromal tumor drug resistance. Molecules. 2017; 22 (12): E2152. doi: 10.3390/molecules22122152.
- Rock E.P., Goodman V., Jiang J.X. et al. Food and Drug Administration drug approval summary: sunitinib malate for the treatment of gastrointestinal stromal tumor and advanced renal cell carcinoma. Oncologist. 2007; 12: 107-113. doi: 10.1634/theoncologist.12-1-107.
- Demetri G.D., Reichardt P., Kang Y.-K. et al. Efficacy and safety of regorafenib for advanced gastrointestinal stromal tumours after failure of imatinib and sunitinib (GRID): an international, multicentre, randomised, placebo-controlled, phase 3 trial. Lancet. 2013; 381: 295-302. doi: 10.1016/S0140-6736(12)61857-1.
- Boichuk S., Rausch J.L., Duensing A. New developments in management of gastrointestinal stromal tumors: regorafenib, the new player in the team. Gastrointestinal. Cancer: Targets and Therapy. 2014; 4: 1-10. doi: 10.2147/GICTT.S20679.
- Wozniak A., Gebreyohannes Y.K., Debiec-Rychter M. et al. New targets and therapies for gastrointestinal stromal tumors. Expert. Re.v Anticancer Ther. 2017; 17: 1117-1129. doi: 10.1080/14737140.2017.1400386.
- Boichuk S., Lee D.J., Mehalek K.R. et al. Unbiased compound screening identifies unexpected drug sensitivities and novel treatment options for gastrointestinal stromal tumors. Cancer Res. 2014; 74 (4): 1200-1213. doi: 10.1158/0008-5472.CAN-13-1955.
- Pessetto Z., Ma Y., Hirst J. et al. Drug repurposing identifies a synergistic combination therapy with imatinib mesylate for gastrointestinal stromal tumor. Mol. Cancer Ther. 2014; 13 (10): 2276-2287. doi: 10.1158/1535-7163.MCT-14-0043.
- Бойчук С.В., Рамазанов Б.Р., Галембикова А.Р. и др. Механизмы химиочувствительности клеточных линий гастроинтестинальных стромальных опухолей in vitro. Гены и клетки. 2014; 9 (4): 116-120.
- Галембикова А.Р., Дунаев П.Д., Бойчук С.В. Оценка чувствительности гастроинтестинальных стромальных опухолей (ГИСТ) к химиопрепаратам различных групп. Соврем. пробл. науки и образования. 2015; 6. http://www.science-education.ru/130-23728 (дата обращения: 4.07.2017).
- Бойчук С.В., Галембикова А.Р., Рамазанов Б.Р. и др. Иматиниб повышает чувствительность клеток гастроинтестинальных опухолей к ингибиторам топоизомераз II типа. Успехи молекулярн. онкол. 2015; (1): 76-81. doi: 10.17650/2313-805X.2015.2.1.076-081.
- Бойчук С.В., Галембикова А.Р., Мартынова Е.В. и др. Иматиниб ингибирует процессы гомологичной рекомбинации ДНК и вызывает сенситизацию клеток гастроинтестинальных стромальных опухолей к ингибиторам ДНК-топоизомеразы II типа. Цитология. 2016; (3): 178-188.
- Дунаев П.Д., Бойчук С.В., Галембикова А.Р. и др. Получение иматиниб-резистентного субклона клеток гастроинтестинальной стромальной опухоли и исследование его чувствительности к химиопрепаратам. Казанский мед. ж. 2017; 98 (6): 993-997. doi: 10.17750/KMJ2017-993.
- Tanaka T., Munshi A., Brooks C. et al. Gefitinib radiosensitizes non-small cell lung cancer cells by suppressing cellular DNA repair capacity. Clin. Cancer Res. 2008; 14: 1266-1273. doi: 10.1158/1078-0432.CCR-07-1606.
- Dittmann K., Mayer C., Rodemann H.P. Inhibition of radiation-induced EGFR nuclear import by C225 (Cetuximab) suppresses DNA-PK activity. Radiother. Oncol. 2005; 76: 157-161. doi: 10.1016/j.radonc.2005.06.022.
- Boichuk S., Dunaev P., Galembikova A. et al. Inhibition of fibroblast growth factor receptor-signaling sensitizes imatinib-resistant gastrointestinal stromal tumors to low doses of topoisomerase II inhibitors. Anticancer Drugs. 2018; 29 (6): 549-559. doi: 10.1097/CAD.0000000000000637.
Дополнительные файлы
 
				
			 
						 
					 
									
 
  
  
 




