Effect of aminazine and droperidol on hemodynamics during ketamine anesthesia in children

Cover Page


Cite item

Full Text

Abstract

The aim of our study was to investigate the effect of ketamine on peripheral hemodynamics in children with surgical pathology and to develop a way to reduce the effect of ketamine on peripheral blood flow by including aminazine and droperidol in premedication. We examined 120 children aged 7 to 12 years who were in the clinic for inguinal hernia (54), hydrocele testis (30), scar phimosis (26), and white line abdominal hernia (10).

Full Text

В последние годы широкое применение нашел новый неингаляционный анестетик — кетамин. Однако выраженное прессорное воздействие препарата на гемодинамику не позволяет в настоящее время четко определить показания и противопоказания к этому виду анестезии, особенно у детей [7]. Недостаточно изучено влияние кетамина на периферическое кровообращение [2, 9]. Неоднократно делались попытки уменьшить прессорную фазу действия анестетиков различными препаратами: седуксеном [1] ганглиоблокаторами [6], дроперидолом [5] и т. д. Тем не менее до настоящего времени не разработан эффективный способ противодействия гемодинамическим изменениям, вызванным кетамином.

Целью нашего исследования являлось изучение влияния кетамина на периферическую гемодинамику у детей с хирургической патологией и разработка способа уменьшения влияния кетамина на периферический кровоток путем включения в премедикацию аминазина и дроперидола.

Было обследовано 120 детей в возрасте от 7 до 12 лет, находившихся в клинике по поводу паховой грыжи (54), водянки яичка (30), рубцового фимоза (26), грыжи белой линии живота (10).

Все больные в зависимости от характера премедикации были подразделены на 3 группы: в 1-ю (контрольную) вошли 40 детей, у которых премедикация включала 0,1% раствор атропина (0,02 мг/кг), 2% раствор промедола (0,3 мг/кг) и 1% раствор димедрола (1 мг/кг). У детей 2-й группы (38 чел.) премедикацию проводили так же, как и в 1-й группе, но с добавлением дроперидола (0,3 мг/кг). В 3-й группе (42 ребенка) такая же премедикация, как и в 1-й группе, была дополнена 2,5% раствором аминазина (0,75 мг/кг). Премедикацию выполняли в день операции за 30 мин до наркоза внутримышечно. Кетамин вводили однократно в дозе 8 мг/кг внутримышечно на операционном столе.

Периферический кровоток изучали методом реовазографии указательного пальца левой руки на реоплетизмографе «РПГ-2-02». Общее периферическое сопротивление (ОНО) вычисляли по формуле Пуазеля после определения ударного объема сердца (УО) по методу Кубичека и минутного объема кровообращения (МОК). Указанные показатели определяли в исходном состоянии, до введения кетамина (после премедикации)— 1-й этап и в дальнейшем через каждые 5 мин от момента введения анестетика (2—8-й этапы).

 

 

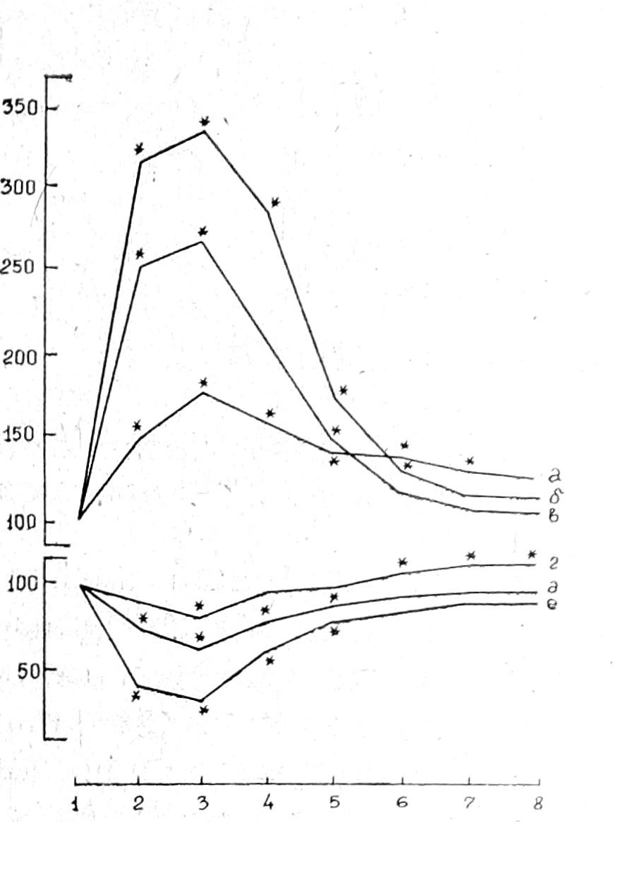
Рис. 1. Показатели периферического кровотока и центральной гемодинамики на этапах кетаминовой анестезии. По оси абсцисс: этапы исследования (1—8-й); по оси ординат: значения исследуемых параметров в %; а — ОПС, б — ДкИ, в — ДсИ, г —МОК, д — УО, е — РИ; звездочка — значение, достоверно отличающееся от исходной (Р<0,05).

 

Как видно на рис. 1, показатели реографии пальца при кетаминовой анестезии- изменялись следующим образом: реографический индекс (РИ), характеризующий величину и скорость систолического притока крови в исследуемую область, уменьшился на 65%. Дикротический индекс (ДкИ), отражающий тонус капилляров, возрос на 231%, а диастолический индекс (ДсИ), позволяющий судить о состоянии венозного кровотока,—на 169%. Максимальное изменение данных показателей отмечалось на 10-й минуте анестезии. На этом фоне происходило возрастание общего периферического сопротивления на 75%, снижение ударного объема сердца и минутного объема кровообращения — на 37% и 17% соответственно.

 

 

Рис. 2. Реовазограммы пальца мальчика 9 лет на этапах кетаминовой анестезии. 1—4-й — этапы анестезии; а — объемная реограмма, б — дифференциальная реограмма.

 

Визуальный анализ реовазограмм на этапах анестезии кетамином показал (рис. 2) значительное снижение амплитуды систолической волны, сглаженность вершины, уменьшение крутизны нисходящей части кривой, появление дополнительной волны, сглаженность инцизуры, наличие выраженной венозной волны.

Таким образом, при анализе данных реовазографии пальца можно обнаружить значительное возрастание сосудистого тонуса, резкое сужение капиллярной сети, затруднение венозного оттока, что приводит К' падению систолического притока крови. Изменения в состоянии периферического кровообращения вызывают возрастание общего периферического сопротивления и уменьшение ударного объема сердца и минутного объема кровообращения.

 

Рис. 3. Динамика общего периферического сопротивления на этапах кетаминовой анестезии в зависимости от вида премедикации. По оси абсцисс: этапы исследования; по оси ординат: ОПС. 1-я, 2-я, 3-я—группы больных; звездочка — значение, достоверно отличающееся от исходной (Р<0,05).

 

Влияние дроперидола и аминазина на данные показатели в ходе кетаминовой анестезии представлены на рис. 3 и в таблице.

На фоне дроперидола общее периферическое сопротивление возрастало до 165%, то есть на 14% меньше, чем в контрольной группе. Ударный объем сердца и минутный объем кровообращения изменялись также значительно меньше, чем у больных 1-й группы.

В группе больных, в премедикацию которых был включен аминазин, рост общего периферического сопротивления был минимальным и составлял 25%, в 1-й же группе оно возросло на 74,9%. Период его высокого значения был существенно короче — уже на 10-й минуте анестезии этот показатель был выше исходного всего на 3,2%. Соответствующим образом менялись и ударный объем сердца, и минутный объем кровообращения: первый уменьшался на 14,3% (в контроле — на 37,5%), причем к 10-й минуте анестезии уже превышал исходную величину на 3,7%; второй показатель к этому же времени достоверно возрастал.

Поскольку сократительная способность миокарда в ходе кетаминовой анестезии не страдает, более того, миокард начинает работать в режиме гипердинамии [3, 4, 8], можно предположить, что прессорный эффект кетамина захватывает в первую очередь систему микроциркуляции. По-видимому, происходит стимуляция a- и ß-адренорецепторов, причем первых в большей степени. Возрастание периферического сопротивления настолько велико, что происходит снижение ударного объема сердца и минутного объема кровообращения, хотя миокард работает в режиме гипердинамии. Препараты, предотвращающие рост периферического сопротивления, вызванного 'кетамином (аминазин и в меньшей степени дроперидол), воздействуют на гипоталамическую область и ретикулярную фоомацию, вызывая их торможение, поэтому можно считать, что симпатомиметический эффект кетамина связан с возбуждением именно упомянутых отделов ствола мозга. Эта гипотеза объясняет, кроме того, многообразие клинических проявлений кетаминовой анестезии.

ВЫВОДЫ

  1. Возрастание периферического сопротивления при кетаминовой анестезии у детей приводит к снижению ударного объема сердца и минутного объема кровообращения.
  2. Включение в премедикацию центрального адренолитика — аминазина позволяет избежать снижения данных показателей за счет значительного уменьшения роста общего периферического сопротивления.
  3. Использование в премедикации дроперидола дает возможность получить эффект, аналогичный действию аминазина, но менее выраженный в связи с меньшим центральным и периферическим адренолитическим воздействием.
×

About the authors

P. V. Gorshenin

S.V. Kurashov Kazan Medical Institute

Author for correspondence.
Email: info@eco-vector.com
Russian Federation

V. F. Zhavoronkov

S.V. Kurashov Kazan Medical Institute

Email: info@eco-vector.com
Russian Federation

V. N. Krasilnikov

S.V. Kurashov Kazan Medical Institute

Email: info@eco-vector.com
Russian Federation

References

Supplementary files

Supplementary Files
Action
1. JATS XML
2. Fig. 1. Peripheral blood flow and central hemodynamic parameters at the stages of ketamine anesthesia. Abscissa axis: stages of the study (1-8th); ordinate axis: values of the studied parameters in %; a, HRV; b, DCI; c, DCI; d, MCI; e, RI; asterisk: value, significantly different from the baseline (P<0.05).

Download (362KB)
3. Figure 2. Rheovasograms of the finger of a 9-year-old boy at the stages of ketamine anesthesia: 1-4, stages of anesthesia; a, volumetric rheogram; b, differential rheogram.

Download (217KB)
4. Fig. 3. Dynamics of total peripheral resistance at the stages of ketamine anesthesia depending on the type of premedication. Abscissa axis: stages of the study; ordinates axis: TPR. 1st, 2nd, 3rd groups of patients; asterisks: values with a significant difference from the initial ones (P<0.05).

Download (154KB)

© 1986 Gorshenin P.V., Zhavoronkov V.F., Krasilnikov V.N.

Creative Commons License

This work is licensed
under a Creative Commons Attribution-NonCommercial-ShareAlike 4.0 International License.