Informational and computational methods in sanitary toxicology
- Authors: Kovyazin V.G.1
 - 
							Affiliations: 
							
- Kazan Medical Institute
 
 - Issue: Vol 75, No 3 (1994)
 - Pages: 235-236
 - Section: Hygiene
 - Submitted: 08.12.2021
 - Accepted: 08.12.2021
 - Published: 15.03.1994
 - URL: https://kazanmedjournal.ru/kazanmedj/article/view/89942
 - DOI: https://doi.org/10.17816/kazmj89942
 - ID: 89942
 
Cite item
Full Text
Abstract
The use of the methods of biometry as statistical simulation of the «biological norm» state, estimate of the «dose (concentration) — time-—effect (response)» relatioship by mathematical experimental design methods, prediction of the danger class of organic substances according to structural fragments of the molecule, classification method using Baies’s training procedure is suggested.
Keywords
Full Text
Компьютерная технология является в настоящее время общепризнанным фактором интенсификации научных исследований в санитарной токсикологии и смежных научных дисциплинах.
По нашему мнению, наиболее перспективным, универсальным и представляющим междисциплинарный интерес является метод классификации и прогноза класса опасности органических веществ по структурным фрагментам молекулы, описание которого приводится в данной публикации. Для реализации метода была разработана специальная программа BYES/4 в двух вариантах: а) для ПЭВМ с очень низкими техническими возможностями — «Электроника ДЗ- 28» и б) версия для ПЭВМ типа IBM PC ХТ/АТ.
Наиболее сложной, трудоемкой и практически не формализуемой операцией при использовании этих программ является ручное кодирование химических структур. Альтернативным вариантом может стать автоматическое кодирование с помощью базы данных RTECS NIOSH или других БД, имеющих структурный код Висвессера [1].
Предложенный метод многомерной классификации универсален. В качестве предикторов могут быть использованы не только структурные коды, но и ранжированные данные токсикометрии, физико-химические свойства и др. Число прогнозируемых кластеров и вид прогнозируемого эффекта (вместо класса опасности: мутагенные, канцерогенные и др.) задается пользователем путем ввода в систему новой «обучающей» выборки данных.
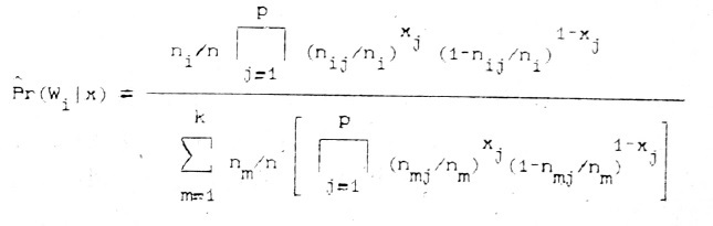
Процедура прогноза класса опасности заключается в вычислении апостериорной вероятности (Pr (Wi/x) одного из k (1, 2, ...і, ...к) классов в зависимости от наличия в структуре исследуемого вещества конкретного сочетания структурных фрагментов таблицы по формуле Вайеса, предполагающей аддитивный характер априорных вероятностей:
где n — число веществ в в «обучающей выборке»; ni — число веществ і класса опасности; —nij число веществ, имеющих в і классе j структурный фрагмент; р — общее число структурных фрагментов; к—число классов опасности; xj =1 при наличии в молекуле структурного фрагмента j, xj =0 (ноль) — при его отсутствии.
В качестве структурных фрагментов эмпирически были выбраны сочетания, устойчиво встречающиеся в «обучающей выборке» (см. табл.). Код не отражает повтор фрагментов, их положение (орто-, мета-, пара- и др.) и не может быть использован в качестве полноценного дескрипторного языка химических структур.
Структурные фрагменты, использованные для прогноза класса опасности (с сокращением; n - число веществ, в котором встречается структурный фрагмент)
Одним из вариантов применения программных средств BYES/4 может быть решение клинических диагностических задач, например дифференциальная диагностика, выделение новых нозологических форм в профпатологии или экопатологии и др. В качестве дескрипторов распознаваемого образа, точнее, стандарта болезни или изучаемого патологического состояния с доклиническим статусом в этом случае должны быть использованы клинические симптомы и данные лабораторных исследований, представленные в альтернативной форме, например: результаты анализа в пределах нормы ( + ) или за ее пределами (—).
About the authors
V. G. Kovyazin
Kazan Medical Institute
							Author for correspondence.
							Email: info@eco-vector.com
				                					                																			                								
Department of Occupational Hygiene and Occupational Diseases
Russian Federation, KazanReferences
Supplementary files
				
			
					
						
									



