Сравнение и сопоставимость результатов пневмо- и рикошетной тонометрии с аппланационной тонометрией по Маклакову
- Авторы: Белов Д.Ф.1,2, Зумбулидзе Н.Г.3, Юсупова А.И.3, Касымов Ф.О.1,3
-
Учреждения:
- Городская многопрофильная больница № 2
- Санкт-Петербургский государственный университет
- Северо-Западный государственный медицинский университет им. И.И. Мечникова
- Выпуск: Том 16, № 1 (2023)
- Страницы: 39-46
- Раздел: Оригинальные исследования
- Статья получена: 10.03.2023
- Статья одобрена: 20.03.2023
- Статья опубликована: 09.04.2023
- URL: https://journals.eco-vector.com/ov/article/view/321245
- DOI: https://doi.org/10.17816/OV321245
- ID: 321245
Цитировать
Аннотация
Актуальность. Внедрение и использование различных методик тонометрии может приводить к неясности в оценке внутриглазного давления и влиять на выбор врачом-офтальмологом тактики лечения пациента с глаукомой.
Цель работы — сравнение данных пневмо- и рикошетной тонометрии с аппланационной тонометрией по Маклакову и разработка поправок для их сопоставимости.
Материалы и методы. В исследование вошли 75 пациентов (146 глаз). Всем участникам эксперимента проводилась аппланационная тонометрия по Маклакову (10 г) и пахиметрия (Topcon SP-3000P). 48 пациентам первой группы (94 глаза) выполнялась пневмотонометрия (TONOREF™ II Nidek), а 27 пациентам второй группы (52 глаза) — рикошетная тонометрия (iCare™ IC-100).
Результаты. Средняя разница уровня внутриглазного давления в первой группе пациентов составила –4,81 (p < 0,001), а во второй –0,98 мм рт. ст. (p = 0,399). Оба метода — пневмо- и рикошетная тонометрия — демонстрировали заниженные результаты при внутриглазном давлении менее 23,0 и 22,5 мм рт. ст. соответственно относительно аппланационной тонометрии и, наоборот, более высокие цифры — при превышении этих значений. Была получена значимая (p < 0,001) сильная (R2 = 0,86) связь аппланационной и рикошетной тонометрии, позволившая с помощью регрессионного анализа выработать формулу для перерасчёта результатов тонометрии iCare в тонометрию по Маклакову: PМаклаков = 0,40 · PiCare + 13,44.
Выводы. Пневмо- и рикошетная тонометрия демонстрируют адекватные результаты истинного внутриглазного давления при офтальмотонусе ниже 23,0 и 22,5 мм рт. ст. соответственно и завышают результаты при превышении этих значений. Выработанная формула позволяет преобразовывать результаты тонометрии iCare в значения аппланационного тонометра Маклакова.
Ключевые слова
Полный текст
АКТУАЛЬНОСТЬ
Внутриглазное давление (ВГД) — единственный модифицируемый фактор риска прогрессирования глаукомы, на который направлены основные методы лечения [1–3]. Первичная диагностика и оценка эффективности терапии глаукомы наряду с периметрией и исследованием состояния зрительного нерва, в первую очередь, основываются на офтальмотонометрических измерениях [4].
Наибольшее распространение в России и странах СНГ получила методика аппланационной тонометрии, предложенная А.Н. Маклаковым ещё в 1884 г. Из-за небольшой стоимости и высокой точности она на долгие годы стала золотым стандартом определения офтальмотонуса [1]. Однако немногим известен тот факт, что вначале своего внедрения в офтальмологическую практику она встретила яростное сопротивление и неприятие коллег автора. О том, как «…тяжелы бывают для ходьбы непроторённыя дорожки…», автор рассказывает в своей монографии 1892 г. Мы позволим себе привести несколько цитат из неё: «…в настоящее время я остановился (надо же было когда-нибудь остановиться) на цифре исследования 3670 глаз и, опираясь на эту довольно крупную цифру, могу дать соответственные выводы. Путь, которым я пришёл к этим выводам, не был лёгким и приятным. В среде тех, с кем я делился полученными результатам, я встречал только теоретическое сочувствие, чаще же равнодушие или, наконец, совершенно непонятное противодействие и недоброжелательство».
Алексей Николаевич эмоционально описывает своё отношение к субъективному методу измерения давления по Bowmen (до сих пор используемому в определённых условиях и обстоятельствах). А поскольку в тот исторический период это был практически основной способ определения ВГД, становится понятным отношение Алексея Николаевича к такому жёсткому неприятию предложенного им объективного метода: «…современная медицина в своём стремлении отрешиться от всего неопределённого и гадательного обязала современного врача пользоваться широкою рукою всем, что могут дать прикладные естественные науки для установления точных методов исследования. Определение температуры на ощупь заменено термометрическими исследованиями. Исследование органов дыхания и кровообращения основано на акустических приёмах, пульсовая волна записывается; заносится на бумагу поле зрения; внутренность глаза исследуется глазным зеркалом; придуманы различные эндоскопы; острота зрения введена в определённую норму; сила зрения приведена к числовым выражениям, доступным проверке и понятным для специалистов всего земного шара. Словом, все методы исследования сдвинулись вперед, только вопрос об измерении твёрдости глазного яблока остался на своей первоначальной степени. Как прежде, так и теперь, глаза продолжают ощупывать, получаемые тактильные ощущения запоминают и обозначают условным обозначением T (Tensio). <…> Я понимаю, что один грамм веса, один градус тепла, один Ом, один Вольт, 1 остроты зрения и т. п. одинаковы на всех точках земного шара, но чтобы Т n + 1 были везде одинаковы не только в руках разных исследователей, но даже в руках одного и того же лица — в этом я имею право a priori сильно усомниться. <…> Несмотря, однако, на очевидную несостоятельность, этот метод до сих пор встречает яростных защитников в лице весьма серьёзных научных деятелей, которые убеждённо доказывают превосходство своих пальцев над всеми другими меряющими снарядами. Я убеждён, что такие убеждённые люди были бы в состоянии делать свои покупки без весов, прикидывая на руку, если бы только не встречали противодействия со стороны продавцов. <…> Может ли быть сомнение, что если боуменовская формула ещё держится до сих пор, то только потому, что взамен ея не было дано ещё ничего лучшего» [5]. И уже явно совсем наболевшее: «В Вестнике офтальмологии проф. Ходин признал, что тонометр, устроенный по принципу, предлагаемому мною, едва ли будет сколько-нибудь достигать цели. Этот смертный приговор моему ещё не успевшему народиться тонометру дан на основании теоретических же соображений». Наконец, в заключение как напутствие грядущим поколениям: «…моя статья может пробудить интерес к дальнейшим наблюдениям за tensio bulbi; она может заставить подумать о возможных путях тонометрических исследований… предмет нов, и недоверие к нему так ещё велико, что нужно ещё много настойчивого труда, чтобы на него обращено было должное внимание». Мы теперь знаем, что то, о чём так мечтал профессор А.Н. Маклаков — «…имею надежду, что предложенный мною принцип, когда-нибудь будет признан даже теми, которые к нему отнеслись незаслуженно строго и, не взявши труда применить его к делу, пророчили ему полную неприменимость, может быть, когда-нибудь благодарные потомки смогут по достоинству оценить мой труд…» — исполнилось в полном объёме и его способ оставался ведущим больше 120 лет и актуален до сих пор. Во всяком случае, он и сейчас единственный, который имеет документальное подтверждение в виде «отпечатков» в наших историях болезни и в картах пациентов, используется для разрешения профессиональных споров, когда есть сомнения в достоверности наших измерений с помощью других, гораздо более современных методик. Однако, естественно, наука движется вперед и в последние десятилетия активно внедряются новые способы определения ВГД, занимающие меньшее количество времени, не требующие анестезии и использования красителя для получения отпечатков роговицы, в том числе, бесконтактная пневмотонометрия и рикошетная тонометрия (iCare) [6, 7].
Внедрение новых методик может приводить (и, зачастую, приводит, вызывая разногласия) к определённой путанице в оценке глазного давления, так как при измерении ВГД по Маклакову врач получает данные о тонометрическом (Pt) [1], а при пневмо- и рикошетной тонометрии — об истинном ВГД (P0) [8, 9]. Кроме того, такие факторы, как ортостатическая разница офтальмотонуса [10] (ВГД лёжа в среднем на 4 мм рт. ст. выше, чем сидя [11]), толщина и вязко-эластические свойства роговицы [12], могут вносить дополнительные разночтения в толкование ВГД и влиять на выбор тактики лечения врача-офтальмолога, что требует выработки алгоритма сопоставимости результатов разных видов тонометрии.
Цель — сравнение данных пневмо- и рикошетной тонометрии с аппланационной тонометрией по Маклакову и выработка поправок для их сопоставимости.
МАТЕРИАЛЫ И МЕТОДЫ
Работа выполнена в виде проспективного когортного исследования на базе офтальмологического центра Санкт-Петербургского государственного бюджетного учреждения здравоохранения «Городская многопрофильная больница № 2».
В исследование вошли две группы пациентов. Первую составили 48 индивидов (94 глаза, средний возраст 72,23 ± 6,67 года). Вторую — 27 пациентов (52 глаза, средний возраст 62,72 ± 6,92 года). Всем пациентам проводили аппланационную тонометрию по Маклакову (грузик 10 г) и пахиметрию центральной зоны роговицы (Topcon SP-3000P, Япония). В первой группе выполняли пневмотонометрию на авторефкератотонометре Tonoref™ II Nidek (Япония), а во второй — рикошетную тонометрию аппаратом iCare™ IC-100 (Финляндия).
С целью получения достоверных результатов соблюдался следующий алгоритм диагностики — в первую очередь выполнялись исследования, не требующие эпибульбарной анестезии (пахиметрия, пневмо- и рикошетная тонометрии), затем (в течение 1–2 мин) пациентам измеряли ВГД по Маклакову.
Критерии включения в исследование: готовность пациента соблюдать протокол исследования.
Критерии исключения: ранее выполненные офтальмологические операции, заболевания роговицы различной этиологии, острые и обострение хронических воспалительных заболеваний глазной поверхности и придаточного аппарата, низкая острота зрения, препятствующая фиксации взора.
Стоит обратить внимание, что у пациентов с давлением выше 30 мм рт. ст. (по Маклакову) часто не удавалось оценить ВГД на авторефкератотонометре Tonoref II Nidek, что могло отразится на результатах исследования.
Статистическая обработка
По созданной базе данных пациентов производилась статистическая обработка в программе Jamovi (The jamovi project, 2021), Jamovi v. 2.2.5 (Computer Software). Данные представлены в виде среднего значения (M) и его стандартного отклонения (SD). Критерий Шапиро – Уилка использовали для определения нормальности распределения выборок. При сравнении нормально распределённых выборок применяли критерий Стьюдента. При анализе линейной регрессии использовали скорректированный коэффициент детерминации R2. При сравнении групп — непараметрический параметр Краскела – Уоллиса. Различия при p < 0,05 расценивались как статистически значимые. Стоит отметить неравномерность групп по числу наблюдений, что могло вносить погрешности в полученные результаты.
РЕЗУЛЬТАТЫ
В табл. 1 приведены средние значения ВГД в группах, а также распределение офтальмотонуса в зависимости от уровня истинного глазного давления.
Таблица 1. Средние значения внутриглазного давления в группах и его распределение в зависимости от уровня истинного внутриглазного давления
Table 1. Mean intraocular pressure values in groups and it is distribution depending on the P0 level
Параметр | Группа 1 | Группа 2 | ||||||
Маклаков | Тонореф II | ∆ | p | Маклаков | iCare | ∆ | p | |
Среднее внутриглазное давление, мм рт. ст. | 19,68 ± 2,59 | 14,87 ± 3,85 | –4,81 | <0,001 | 21,65 ± 5,66 | 20,67 ± 13,18 | –0,98 | 0,399 |
P0, пневмотонометрия, мм рт. ст. | ||||||||
6,00–12,00 | 17,77 ± 1,66 | 10,45 ± 1,03 | –7,33 | <0,001 | 17,07 ± 1,62 | 9,67 ± 2,02 | –7,40 | <0,001 |
12,10–15,00 | 19,54 ± 2,64 | 13,51 ± 0,82 | –6,03 | 19,00 ± 1,73 | 14,00 ± 0,00 | –5,00 | ||
15,10–18,00 | 19,83 ± 1,63 | 16,10 ± 1,44 | –3,72 | 20,25 ± 2,60 | 16,42 ± 1,08 | –3,83 | ||
18,10–21,00 | 22,82 ± 2,44 | 20,25 ± 1,19 | –2,56 | 21,67 ± 1,97 | 19,17 ± 1,17 | –2,50 | ||
21,10–25,00 | 20,33 ± 3,51 | 22,80 ± 1,44 | 2,47 | 21,67 ± 2,52 | 23,00 ± 1,00 | 1,33 | ||
>25,00 | 25,00 | 29,00 | 4,00 | 29,42 ± 5,78 | 40,50 ± 12,41 | 11,08 |
Анализ полученных результатов позволил сделать вывод, что оба метода — пневмо- и рикошетная тонометрия — демонстрируют несколько заниженные результаты при уровне глазного давления менее 23,0 и 22,5 мм рт. ст. (для Tonoref и iCare соответственно) относительно аппланационной тонометрии (Маклаков) и, наоборот, завышают ВГД при превышении этих значений. Для оценки данной закономерности был проведён регрессионный анализ зависимости тонометрии по Маклакову от пневмо- (рис. 1) и рикошетной (iCare) тонометрии (рис. 2).
Рис. 1. Зависимость аппланационной (Маклаков) тонометрии от пневмотонометрии
Fig. 1. Dependence of Maklakov’s applanation tonometry from pneumotonometry
Рис. 2. Зависимость аппланационной (Маклаков) тонометрии от рикошетной тонометрии (iCare)
Fig. 2. Dependence of Maklakov’s applanation tonometry from rebound tonometry (iCare)
При анализе линейной регрессии установлено наличие значимой (p < 0,001) слабой (R2 = 0,37) связи между аппланационной (Маклаков) и пневмотонометрией (рис. 1).
Анализ линейной регрессии выявил наличие значимой (p < 0,001) сильной (R2 = 0,86) связи между аппланационной (Маклаков) и рикошетной (iCare) тонометрией (рис. 2).
На основании регрессионного анализа были выработаны поправки для пересчёта данных пневмотонометрии (P0) в аппланационную (Маклаков, Pt):
Ptаппл = 0,41 · P0пневм + 13,59, (1)
где Ptаппл — аппланационное тонометрическое ВГД, мм рт. ст.; P0пневм — истинное ВГД по данным пневмотонометрии, мм рт. ст.
А также рикошетной тонометрии (iCare) в аппланационную (Маклаков):
Ptаппл = 0,41 · P0пневм + 13,59, (2)
где Ptаппл — аппланационное ВГД, мм рт. ст.; P0пневм — истинное ВГД по данным рикошетной тонометрии (iCare), мм рт. ст.
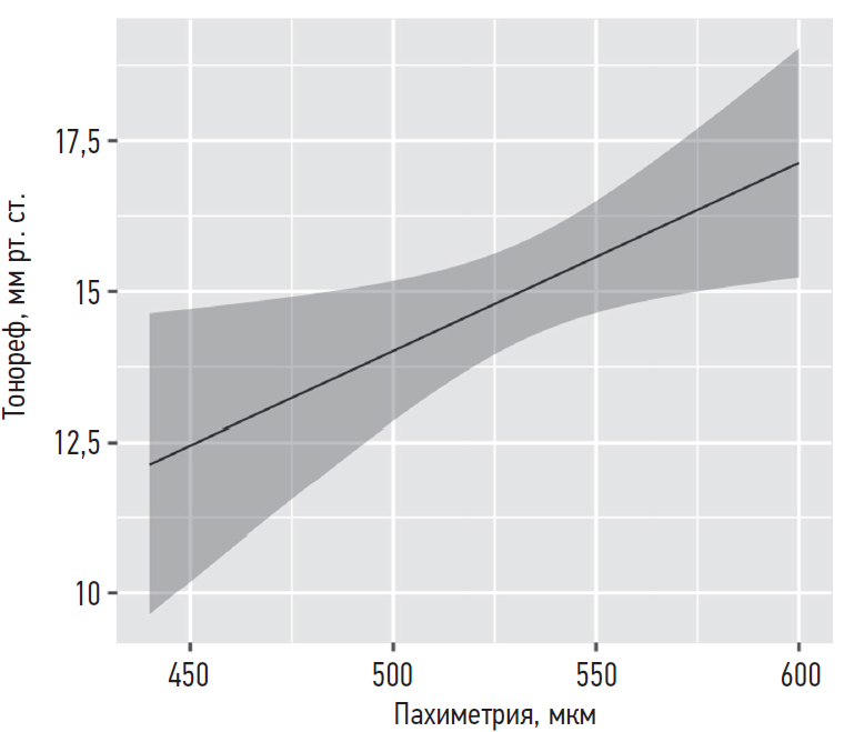
В табл. 2 приведены данные ВГД в группах в зависимости от пахиметрии. На рис. 3 и 4 представлена зависимость результатов пневмо- и рикошетной тонометрии от толщины центральной зоны роговицы.
Рис. 3. Зависимость пневмотонометрии от центральной толщины роговицы (R2 = 0,07; p = 0,017)
Fig. 3. Dependence of pneumotonometry values from central corneal thickness (R2 = 0.07; p = 0.017)
Рис. 4. Зависимость рикошетной тонометрии (iCare) от центральной толщины роговицы (R2 = 0,01; p = 0,420)
Fig. 4. Dependence of rebound tonometry (iCare) values from central corneal thickness (R2 = 0.01; p = 0.420)
Таблица 2. Зависимость внутриглазного давления от толщины центральной зоны роговицы в группах
Table 2. Intraocular pressure dependance from central corneal thickness in groups
Характеристика толщины роговицы | Группа 1 | Группа 2 | ||||||
Маклаков, мм рт. ст. | Тонореф II, мм рт. ст. | ∆ | p | Маклаков, мм рт. ст. | iCare, мм рт. ст. | ∆ | p | |
«Тонкие» и «ультратонкие» (менее 520 мкм) | 20,50 ± 3,25 | 14,10 ± 3,74 | –6,41 ± 2,68 | 0,013 | 23,13 ± 5,78 | 22,13 ± 11,22 | –1,00 ± 5,75 | 0,463 |
«Средние» (521–560 мкм) | 19,50 ± 2,02 | 15,30 ± 3,55 | –4,16 ± 3,25 | 20,12 ± 3,87 | 17,81 ± 9,55 | –2,31 ± 6,78 | ||
«Толстые» (более 561 мкм) | 20,00 ± 2,36 | 15,90 ± 4,66 | –4,11 ± 2,81 | 23,44 ± 8,65 | 26,33 ± 22,31 | 2,89 ± 13,95 |
ОБСУЖДЕНИЕ
При анализе полученных результатов выявлена похожая динамика сопоставимости результатов пневмо- (Tonoref) и рикошетной (iCare) тонометрии с аппланационной (Маклаков), которая выражалась в занижении их результатов при Pt (Маклаков) менее 23 и 22,5 мм рт. ст. (для методик соответственно) и, наоборот, их завышении при преодолении данных значений. В схожем исследовании было показано, что разница P0 (пневмотонометр Reichert 7CR) и Pt (Маклаков) при Pt менее 18–19 мм рт. ст. составляла 3,5–8,2 мм рт. ст., а при превышении Pt 22 мм рт. ст. появлялись значимые погрешности, ведущие к существенным искажениям результатов P0 в сторону их завышения. В целом, авторы рекомендуют использовать аппланационную тонометрию (Маклаков) при Pt, превышающем 22 мм рт. ст., вместо пневмотонометрии [13].
Средняя разница уровня ВГД в первой группе пациентов составила около –5 мм рт. ст., а во второй — –1 мм рт. ст. Данное различие объясняется малым количеством пациентов первой группы с повышенным офтальмотонусом (Pt, более 30 мм рт. ст.). Аппарат iCare не имел таких недостатков и был способен измерять средние значения глазного давления даже при выраженном его подъёме (более 29 мм рт. ст.). Однако при высоких цифрах офтальмотонуса разница между измерениями iCare и Маклакова существенно различались (вплоть до 11 мм рт. ст. при Pt выше 25 мм рт. ст.). Полученные нами данные не совпадают с результатами аналогичной работы [7], в которой была обнаружена разница между рикошетной тонометрией (iCare) и аппланационной (Маклаков) в 6,7 ± 2,7 мм рт. ст., что может быть объяснено использованием авторами абсолютных значений разницы ВГД. Тем не менее в этом исследовании также обращается внимание на то, что у пациентов с «высокой» нормой ВГД (23–26 мм рт. ст.) рикошетная тонометрия (iCare) демонстрирует бóльшую разницу с аппланационной (Маклаков), сопровождаемую увеличением стандартного отклонения, что свидетельствует о снижении точности метода (iCare) при наличии офтальмогипертензии. Авторы сделали вывод, что рикошетная тонометрия является некорректной при высоком уровне ВГД (23–26 мм рт. ст.) и должна быть заменена на другие точные способы оценки офтальмотонуса (Гольдман, Маклаков), но в то же время может быть рекомендована в качестве скринингового метода, а также при оценке ВГД у пациентов в раннем послеоперационном периоде после выполненной гипотензивной операции. В работе [4] было показано ещё большее отличие между аппланационной (Маклаков 10 г) и рикошетной (iCare) тонометрией, которое составило 9,7 ± 4,6 мм рт. ст., что объясняется ортостатической разницей офтальмотонуса при проведении тонометрии по Маклакову, а также особенностями калибровки аппарата iCare.
Проведённый регрессионный анализ зависимости аппланационной (Маклаков) от рикошетной тонометрии (iCare) выявил наличие значимой сильной взаимосвязи, что позволяет использовать уравнение линейной регрессии (2) для пересчёта данных iCare в привычное для многих офтальмологов тонометрическое ВГД по Маклакову. Аналогичным методом перерасчёта рикошетной тонометрии (iCare) в аппланационную (Мак лаков) пользовались авторы вышеупомянутой статьи [7]. В первой группе пациентов (сравнение пневмотонометрии и аппланационной) данная связь также была значимой, однако коэффициент детерминации описывал данное взаимоотношение, как слабое, что не позволяет с уверенностью использовать формулу (1) для пересчёта параметров пневмотонометрии в аппланационную.
Оценка влияния центральной толщины роговицы на тонометрические параметры (Тонореф и iCare) выявила слабую положительную связь, проявляющуюся увеличением ВГД при увеличении пахиметрии. Однако данное взаимоотношение было крайне слабым и не было значимым во второй группе. Многочисленные публикации по этой теме свидетельствуют о схожей закономерности увеличения офтальмотонуса при проведении пневмотонометрии [14], а также рикошетной (iCare) тонометрии [15].
ВЫВОДЫ
Результаты пневмотонометрии (Tonoref) в среднем были ниже на 5 мм рт. ст., чем ВГД, полученное с помощью аппланационной тонометрии (Маклаков), а рикошетной (iCare) — меньше на 1 мм рт. ст. Оба метода (Тонореф и iCare) демонстрируют заниженные по сравнению с методом Маклакова цифры ВГД при Pt ниже 23 и 22,5 мм рт. ст. (для методик соответственно) и при превышении их, наоборот, завышают глазное давление. Выявленная закономерность на основании линейной регрессии позволила выработать формулу пересчёта для перевода результатов рикошетной тонометрии (iCare) в аппланационную (Маклаков).
ДОПОЛНИТЕЛЬНАЯ ИНФОРМАЦИЯ
Вклад авторов. Все авторы внесли существенный вклад в разработку концепции, проведение исследования и подготовку статьи, прочли и одобрили финальную версию перед публикацией. Вклад каждого автора: Д.Ф. Белов — концепция и дизайн исследования, написание текста, статистическая обработка данных, обзор литературы; Н.Г. Зумбулидзе — концепция и дизайн исследования, написание текста; А.И. Юсупова — написание текста, анализ полученных данных, обзор литературы; Ф.О. Касымов — написание текста, обзор литературы.
Конфликт интересов. Авторы декларируют отсутствие явных и потенциальных конфликтов интересов, связанных с публикацией настоящей статьи.
Источник финансирования. Авторы заявляют об отсутствии внешнего финансирования при проведении исследования.
Информированное согласие на публикацию. Авторы получили письменное согласие пациента на публикацию медицинских данных.
ADDITIONAL INFORMATION
Authors' contribution. Thereby, all authors made a substantial contribution to the conception of the study, acquisition, analysis, interpretation of data for the work, drafting and revising the article, final approval of the version to be published and agree to be accountable for all aspects of the study. Contribution of each author: D.F. Belov — research concept and design, text writing, statistical data processing, literature review; N.G. Zumbulidze — research concept and design, text writing; A.I. Yusupova — text writing, data analysis, literature review; F.O. Kasymov — text writing, literature review.
Competing interests. The authors declare that they have no competing interests.
Funding source. This study was not supported by any external sources of funding.
Consent for publication. Written consent was obtained from the patient for publication of relevant medical information and all of accompanying images within the manuscript.
Об авторах
Дмитрий Федорович Белов
Городская многопрофильная больница № 2; Санкт-Петербургский государственный университет
Автор, ответственный за переписку.
Email: belovd1990@gmail.com
ORCID iD: 0000-0003-0776-4065
SPIN-код: 2380-2273
канд. мед. наук, врач-офтальмолог
Россия, Санкт-Петербург; Санкт-ПетербургНаталия Гурамовна Зумбулидзе
Северо-Западный государственный медицинский университет им. И.И. Мечникова
Email: guramovna@gmail.com
ORCID iD: 0000-0002-7729-097X
SPIN-код: 4439-8855
канд. мед. наук, доцент кафедры офтальмологии
Россия, Санкт-ПетербургАмина Исаевна Юсупова
Северо-Западный государственный медицинский университет им. И.И. Мечникова
Email: aminausupova4821@gmail.com
ORCID iD: 0009-0004-5562-204X
SPIN-код: 7522-8060
врач-ординатор
Россия, Санкт-ПетербургФарход Олимджанович Касымов
Городская многопрофильная больница № 2; Северо-Западный государственный медицинский университет им. И.И. Мечникова
Email: farkkas@yahoo.com
ORCID iD: 0009-0004-4368-143X
SPIN-код: 7778-6309
канд. мед. наук, врач-офтальмолог
Россия, Санкт-Петербург; Санкт-ПетербургСписок литературы
- Бауэр С.М., Типясев А.С. О математической модели оценки внутриглазного давления по методу Маклакова // Вестник Санкт-Петербургского университета. Математика. Механика. Астрономия. 2008. № 4. C. 98–100.
- Антонова А.В., Николаенко В.П., Бржеский В.В., Вукс А.Я. Факторы, снижающие эффективность синустрабекулэктомии: по материалам Санкт-Петербургского городского офтальмологического центра // Офтальмологические ведомости. 2022. Т. 15, № 4. С. 35–44. doi: 10.17816/OV159363
- Егоров Е.А. Национальное руководство по глаукоме для практикующих врачей / под ред. Е.А. Егорова, В.П. Еричева. Москва: ГЭОТАР-Медиа, 2019. 384 с. doi: 10.33029/9704-5442-8-GLA-2020-1-384
- Дорофеев Д.А., Поздеева О.Г., Экгардт В.Ф., и др. Результаты тонометрии аппланационной по Маклакову и точечной контактной прибором Icare в сравнительном аспекте // Отражение. 2018. Т. 2, № 7. С. 27–32. doi: 10.25276/2686-6986-2018-2-27-32
- Маклаков А.Н. Офталмотонометрия // «Хирургическая летопись». 1892. № 6. С. 35.
- Kontiola A.I. A new induction-based impact method for measuring intraocular pressure // Acta Ophthalmol Scand. 2000. Vol. 78, No. 2. P. 142–145. doi: 10.1034/j.1600-0420.2000.078002142.x
- Волкова Н.В., Юрьева Т.Н., Швец Л.В., Михалевич И.М. Корреляции и поправочные коэффициенты при различных видах тонометрии. Сообщение 1 // Национальный журнал Глаукома. 2015. Т. 14, № 3. С. 11–18.
- Davies L.N., Bartlett H., Mallen E.A., Wolffsohn J.S. Clinical evaluation of rebound tonometer // Acta Ophthalmol Scand. 2006. Vol. 84, No. 2. P. 206–209. doi: 10.1111/j.1600-0420.2005.00610.x
- Hsu S.-Y., Sheu M.-M., Hsu A.-H., et al. Comparisons of intraocular pressure measurements: Goldmann applanation tonometry, noncontact tonometry, Tono-Pen tonometry, and dynamic contour tonometry // Eye (Lond). 2009. Vol. 23, No. 7. P. 1582–1588. doi: 10.1038/eye.2009.77
- Астахов Ю.С., Акопов Е.Л., Потемкин В.В. Аппланационная и динамическая контурная тонометрия: сравнительный анализ // Офтальмологические ведомости. 2008. Т. 1, № 1. С. 4–10.
- Tonnu P.A., Ho T., Newson T., et al. The influence of central corneal thickness and age on intraocular pressure measured by pneumotonometry, non-contact tonometry, the Tono-Pen XL, and Goldmann applanation tonometry // Br J Ophthalmol. 2005. Vol. 89, No. 7. P. 851–854. doi: 10.1136/bjo.2004.056622
- Mangouritsas G., Mourtzoukos S., Mantzounis A., Alexopulos L. Comparison of Goldmann and Pascal tonometry in relation to corneal hysteresis and central corneal thickness in nonglaucomatous eyes // Clin Ophthalmol. 2011. Vol. 5. P. 1071–1077. doi: 10.2147/OPTH.S23086
- Мачехин В.А., Львов В.А. К вопросу о сопоставимости результатов исследования истинного внутриглазного давления по данным пневмотонометра Reichert 7CR // Вестник ТГУ. 2015. Т. 20, № 4. С. 776–780.
- Аветисов С.Э., Бубнова И.А., Антонов А.А. Исследование влияния биомеханических свойств роговицы на показатели тонометрии // Бюллетень Сибирского отделения Российской академии медицинских наук. 2009. Т. 29, № 4. С. 30–33.
- Halkiadakis I., Stratos A., Stergiopoulos G., et al. Evaluation of the Icare-ONE rebound tonometer as a self-measuring intraocular pressure device in normal subjects // Graefes Arch Clin Exp Ophthalmol. 2012. Vol. 250, No. 8. P. 1207–1211. doi: 10.1007/s00417-011-1875-6
Дополнительные файлы
