Iron and sulfur isotope factors for pyrite from experimental gamma-resonant studies and heat capacity
- Authors: Polyakov V.B.1, Osadchii E.G.1, Voronin M.V.1, Osadchii V.O.1, Sipavina L.V.1, Chareev D.A.1,2,3, Tyurin A.V.4, Gurevich V.M.4,5, Gavrichev K.S.4
-
Affiliations:
- D.S. Korzhinckii Institute of Experimental Mineralogy, Russian Academy of Sciences
- Ural Federal University named after B.N. Eltsin
- Kazan Federal University
- Kurnakov institute of general and inorganic chemistry, RAS
- Vernadsky institute of geochemistry and analytical chemistry, RAS
- Issue: Vol 64, No 4 (2019)
- Pages: 372-386
- Section: Articles
- URL: https://journals.eco-vector.com/0016-7525/article/view/12605
- DOI: https://doi.org/10.31857/S0016-7525644372-386
- ID: 12605
Cite item
Full Text
Abstract
Pyrite Moessbauer spectra (FeS2) is measured in the temperature range from 90 to 295 K. The temperature dependence of the isomer shift is described by the Debye model with Moessbauer temperature θM=551.4 K. Using these results, we calculated the kinetic energy of thermal vibrations of the iron sublattice of pyrite and the iron β-factor for pyrite:
103lnβ57Fe/54Fe=(1.2665±0.0391)x–(0.4584±0.0283) × 10-2x2+(0.2581±0.0239) × 10-4x3; x=106/T 2 (K-2) The Moessbauer-derived iron β-factor for pyrite agrees well with results of ab initio calculations, 57Fe nuclear inelastic γ-resonant scattering synchrotron experiments and direct isotope exchange experiments between pyrite and Fe2+ dissolved in water.
Heat capacity of pyrite is measured at temperatures from 79 to 300 K. Its temperature dependence are described using the Thirring expansion. Based on this expansion, the kinetic energy of thermal vibrations of total crystalline lattice of pyrite is calculated. The kinetic energy of the thermal vibrations of the sulfur sublattice in pyrite is found by subtracting the iron sublattice kinetic energy from the total kinetic energy of pyrite crystalline lattice. Temperature dependence of 34S/32S β-factor for pyrite calculated from the kinetic energy of the sulfur sublattice is following:
103lnβ34Fe/32Fe=(1.7532±0.0623) x–(1.0470±0.0752) × 10-2 x2+(1.0424±0.1126) × 10-4 x3; x=106/T 2 (K-2)
This 34S/32S β-factor values exhibit a good agreement with of ab initio calculations and isotope-exchange experimental results in the pyrite-sphalerite-galenite system.
Full Text
ВВЕДЕНИЕ
За последние два десятилетия в связи с внедрением многоколлекторных масс-спектрометров с возбуждением индуктивно-связанной плазмой (MК-ИСП-МС) широкое распространение приобрели изотопные геохимические исследования с использованием так называемых нетрадиционных изотопов Fe, Cu, Zn, Hg, Mo, V и др. Среди нетрадиционных изотопов, пожалуй, наиболее популярными стали изотопы железа, что обусловлено не только высокой природной распространенностью этого элемента, но и его вовлеченностью в широкий круг геохимических процессов – от низкотемпературных биогеохимических превращений вблизи земной поверхности до процессов дифференциации, проходящих при сверхвысоких давлениях и температурах. Масс-спектрометрические измерения изотопного состава железа входят в «джентельменский набор» стабильных изотопов, используемый в комплексных геохимических исследованиях. Накоплен громадный массив данных по изотопному составу природных объектов разной природы. Однако использование этой информации и ее корректная интерпретация невозможны без знания соответствующих равновесных коэффициентов фракционирования стабильных изотопов железа.
В настоящее время не существует метода оценки равновесных коэффициентов разделения изотопов, который мог бы считаться абсолютным. Каждый из методов оценки коэффициентов изотопного разделения – теоретический расчет, контролируемый изотопный обмен в лабораторных условиях (лабораторный метод), сравнение природных изотопных составов с минеральными геотермометрами (эмпирический метод) – имеет свои преимущества и недостатки (Chacko et al., 2001): только согласие в оценках изотопных коэффициентов разделения, полученных разными методами, свидетельствует об их надежности. Для изотопов железа оказывается также возможным оценивать равновесные изотопные факторы (β-факторы) методами упругого (Мессбауэровская спектроскопия) и неупругого γ-резонансного рассеяния (Polyakov, 1997, 2009; Поляков, Минеев, 1999; Polyakov, Mineev, 2000; Polyakov et al., 2007; Polyakov, Soultanov, 2011; Dauphas et al., 2012; 2014; 2017; Shahar et al., 2016; 2017).
Изотопные эффекты железа в сульфидах привлекают внимание исследователей как в связи с проблемами гидротермального рудообразования, так и в связи с современными проявлениями гидротермальной активности на океаническом дне (Johnson et al., 2008; Beard, Johnson, 2004; Rouxel et al., 2004; 2008; 2016; Schuessler et al., 2007; Syverson, 2013; 2015; 2017; Staubwasser et al., 2006; Poitrasson et al., 2006; Markl et al., 2006; Anbar, Rouxel, 2007; Butler et al., 2005; Fernandez, Borrok, 2009; Guilbaud et al., 2011; Borrok et al., 2009). Наряду с изотопным составом серы изотопный состав железа в сульфидах несет в себе информацию о механизмах и условиях формирования рудных месторождений и их источниках. Пирит (FeS2) является распространенным сульфидным минералом, играющим большую роль в процессах рудообразования и традиционно рассматривающийся в изотопных геохимических исследованиях. Равновесные изотопные коэффициенты фракционирования серы между пиритом и другими серосодержащими соединениями исследовались еще с 60-х годов прошлого столетия (Kajiwara et al., 1969; Kajiwara, Krouse, 1971; Smith et al., 1977; Ohmoto, Rye 1979; Seal II,2006). Исследования в этой области не потеряли актуальность и сейчас, причем последние теоретические оценки β-факторов серы для пирита, выполненные из первых принципов (Blanchard et al., 2009; 2012; Liu et al., 2015; 2016), показали определенное отклонение от результатов, полученных ранее. Попытки оценки β-факторов железа для пирита имеют значительно более короткую историю. Первые такие оценки были сделаны (Поляков, Минеев, 1999; Polyakov, Mineev, 2000) по данным мессбауэровской спектроскопии (Nishihara, Ogawa, 1979). Эти результаты были оспорены (Blanchardet al., 2009) на основе расчетов из первых принципов. В ходе последующей дискуссии (Blanchard et al., 2012; Polyakov, Soultanov, 2011; 2012) было установлено, что экспериментальные данные в статье (Nishihara, Ogava, 1979) не соответствуют рассчитанной ими температуре Мессбауэра (θM), которая непосредственно используется для расчета β-факторов железа для пирита (Поляков, Минеев, 1999; Polyakov, Mineev, 2000). Был сделан вывод, что для решения вопроса о β-факторах железа для пирита необходимо проведение дополнительных экспериментальных исследований по упругому (мессбауэровская спектроскопия) и неупругому γ-резонансному рассеянию на ядрах 57Fe.
Оценка β-факторов железа и серы для пирита явилась основной целью данного исследования. В данной работе представлены результаты по температурному сдвигу в спектрах Мессбауэра, и по этим данным проведена оценка температуры Мессбауэра и β-факторов железа для пирита. Обсуждение полученных результатов проведено путем сравнения с предыдущими оценками на основе мессбауэровской спектроскопии, расчетами из первых принципов (Blanchard et al., 2009) и синхротронными экспериментами по неупругому γ-резонансному рассеянию (Polyakov et al., 2013). Для оценки β-факторов серы для пирита мы провели дополнительные измерения теплоёмкости пирита в интервале температур от азотных до комнатных. По этим данным и результатам экспериментов по упругому и неупругому рассеянию мы рассчитали β-факторы серы по методу, предложенному ранее (Поляков, Минеев, 2000; Polyakov, Mineev, 2000; Поляков и др., 2001; Polyakov et al., 2005; Horita, Polyakov, 2015), и сравнили их с оценками на основе расчетов из первых принципов (Blanchard et al., 2009; 2012; Liu et al., 2015; 2016) и экспериментов по изотопному обмену (Smith et al., 1977).
ТЕОРЕТИЧЕСКИЙ АНАЛИЗ
Расчет β-факторов железа по данным мессбауэровской спектроскопии
Теоретическим обоснованием подхода, который применен в этой статье, является выражение β-фактора в терминах кинетической энергии и разности масс изотопов, справедливое в первом порядке термодинамической теории возмущений (Поляков, Харлашина, 1989; Поляков, 1991; Polyakov, 1997; Polyakov, Mineev, 2000):
, (1)
где β – β-фактор; K – кинетическая энергия ядра, подвергающегося изотопному замещению, m и m* – масса ядер основного и замещающего изотопа, ∆m = m* – m; R – универсальная газовая постоянная; T – абсолютная температура; z – кратность изотопного замещения; для пирита – FeS2, z = 1 для железа и z = 2 для серы. Кинетическая энергия колебаний ядер 57Fe (или другого «мессбауровского» изотопа) может быть измерена методами γ-резонансной спектроскопии. В случае упругого γ-резонансного рассеяния (мессбауровская спектроскопия) кинетическая энергия связана с экспериментально измеримой величиной – изменением отклонения «центра тяжести» мессбауэровского спектра от нулевой скорости (изомерного сдвига) с температурой. Этот температурный сдвиг определяется эффектом Доплера второго порядка (Pound, Rebka, 1960; Josephson, 1960):
(2)
в котором S – температурный сдвиг, с – скорость света, здесь и ниже индекс у массы ядра и кинетической энергии указывают, к какому изотопу относятся эти величины.
Подстановка (2) в (1) дает следующее выражение для β-фактора в случае фракционирования изотопов 57Fe и 54Fe (Polyakov, 1997; Поляков, Минеев, 1999):
. (3)
Температурную зависимость изомерного сдвига обычно описывают в рамках модели Дебая (Шпинель, 1969; De Grave, Van Alboom, 1991):
, (4)
где δ(T ) – изомерный сдвиг при температуре T; δ0 – изомерный сдвиг при нулевой температуре; θM – температура Мессбауэра. В этой модели температурный сдвиг зависит только от температуры Мессбауэра. Таким образом, для расчета β-фактора железа достаточно найти по экспериментальным данным температуру Мессбауэра θM, вычислить температурный сдвиг S(T ) по формуле (4) и подсчитать β-фактор по уравнению (3).
β-фактор можно также выразить в виде полинома по четным степеням обратной температуры, если воспользоваться разложением Тирринга для кинетической энергии или температурного сдвига (Housley, Hess, 1966; Polyakov et al., 2005):
, (5)
в котором В2i – числа Бернулли (B2=1/6, B4=1/30, B6=1/42, B8=1/30, B10=5/66,…), а характеристические температуры θ2iFe в рамках модели Дебая выражаются через температуру Мессбауэра:
, (6)
Окончательно для β-фактора железа получим:
. (7)
Разложение Тирринга (7) справедливо при температурах 2πT > θM. В разложении (7) для β-факторов железа обычно учитывают не более трех первых членов, что позволяет достигать необходимой точности для температур от комнатных и выше и представлять данные в общеупотребительной полиномиальной форме (Polyakov, Mineev, 2000; Chacko et al., 2001; Dauphaus et al., 2012).
Расчет β-факторов серы для пирита по данным мессбауэровской спектроскопии и теплоёмкости
Использование данных по теплоёмкости для минерала, состоящего из атомов двух эдементов, один из которых имеет «мессбауэровский» изотоп, в сочетании с данными по мессбауэровской спектроскопии позволяет рассчитывать β-факторы обоих элементов. Пирит (FeS2) удовлетворяет этому условию, поскольку железо имеет “мессбауэровский” изотоп 57Fe. Метод определения β-фактора серы для пирита из данных по теплоёмкости и мессбауэровской спектроскопии также основан на применении уравнения (1), которое в этом случае принимает вид (Поляков, Минеев, 2000; Polyakov, Mineev, 2000):
, (8)
где множитель 2 в знаменателе в правой части учитывает наличие двух атомов серы в химической формуле пирита.
Как следует из уравнения (8), для расчета β-фактора серы необходимо знание кинетической энергии тепловых колебаний изотопа 32S. Для образцов, изотопный состав серы которых отвечает природному, кинетическая энергия колебаний изотопа 32S связана с кинетической энергией колебаний подрешетки серы с природным составом соотношением:
. (9а)
Аналогичное соотношение справедливо и для железа:
. (9б)
В приближении идеальности смеси изотопов, в котором справедливо уравнение (1) (Поляков, 1993), коэффициенты λ зависят от масс изотопов и их распространенности. Вывод уравнений (9) и коэффициентов λ приведен в приложении.
Кинетическую энергию подрешетки серы в пирите KS можно рассчитать как разность между кинетическими энергиями всей решетки и подрешетки железа. Кинетическую энергию колебаний всей решетки пирита можно найти по теплоёмкости при постоянном объеме CV (Поляков, Минеев, 2000; Polyakov et al., 2005), а кинетическую энергию колебаний 57Fe – по уравнению (2). Поскольку теплоёмкость измеряется для образцов с природной смесью изотопов, то с учетом соотношений (9) уравнение (8) принимает вид:
. (10)
Метод оценки кинетической энергии тепловых колебаний пирита по его теплоёмкости CV основан на разложении Тирринга (Maradudin et al., 1971; Naumov, 1994;):
, (11)
где n – число атомов в формульной единице (3 в случае пирита), Θ2i – характеристические температуры для разложения теплоёмкости. Поскольку в гармоническом приближении CV = 2(∂Ktotal/∂T), то соответствующее разложение для кинетической энергии тепловых колебаний можно записать в полной аналогии с (5):
. (12)
Характеристические Θ2i температуры отличаются от температур в разложении (5). Θ2i можно выразить через моменты фононной плотности состояний (Maradudin et al., 1971):
, (13)
где ν – частота фононов, g(ν) – плотность фононных состояний (фононный спектр); h и kB – постоянные Планка и Больцмана соответственно, а интегрирование в (13) проводится по всему фононному спектру от нулевой частоты до максимальной νmax, а g(ν) нормирована на единицу:
. Разложение Тирринга (11) и (12) справедливо при температурах, удовлетворяющих соотношению 2πT > hνmax/kB.1
Подстановка уравнений (12) и (5) в выражение (10) для β-фактора серы с учетом соотношения (6) дает:
, (14)
где характеристические температуры определяются соотношением:
. (15)
Как и для β-факторов железа сохранение первых трех членов в (14) обеспечивает необходимую точность оценки β-факторов серы для пирита во всем интервале температур с точки зрения геохимических приложений. Как следует из уравнений (14) и (15), расчет θM по температурному сдвигу в мессбауэровских спектрах и характеристических температур Θ2i по данным теплоёмкости позволяет рассчитать β-фактор серы для пирита.
ЭКСПЕРИМЕНТАЛЬНАЯ ЧАСТЬ И РЕЗУЛЬТАТЫ ИЗМЕРЕНИЙ
Синтез пирита
Для проведения исследований нами был синтезирован пирит. Исходными материалами для синтеза пирита послужили (1) кристаллическая сера производства фирмы “Johnson Matthey” (Великобритания), содержание основного компонента 99.9995%; (2) железо, обогащенное изотопом 57Fe, содержание изотопа 57Fe 95%. Синтез пирита проводили в два этапа: на первом синтезировали троилит (FeS), на втором – пирит путем взаимодействия троилита и серы (Osadchii, Chareev, 2006).
Троилит синтезировали из железа и серы при небольшом избытке последней (приблизительно 3–5 мг на 1 г образца). Смесь железа и серы помещали в вакуумированную капсулу из кварцевого стекла, которую затем запаивали и нагревали, медленно поднимая температуру от 473 до 673 K в течение 240 часов. Пирит был синтезирован путем взаимодействия троилита и серы при температуре от 673 до 773 K в течение 240 часов. Аналогично вышеописанному случаю с троилитом реакцию проводили при небольшом избытке серы относительно ее стехиометрического количества. Далее пирит перетирали в агатовой ступке и вновь отжигали при аналогичной температуре с избытком серы. После охлаждения капсулы в печи небольшое количество сконденсировавшейся серы на холодном конце капсулы механически удаляли. Тестирование показало отсутствие магнитных фаз в исследуемом продукте, а микроскопические исследования в отраженном свете и рентгенофазовый анализ свидетельствовали, что синтезированное вещество является пиритом.
Мессбауэровские исследования
Мессбауэровский эксперимент проводился в геометрии поглощения с помощью мессбауэровского спектрометра MS1104em (разработка НИИ физики ЮФУ, Ростов-на-Дону), работающего в режиме постоянных ускорений с треугольной формой изменения доплеровской скорости движения источника относительно поглотителя. Калибровка мессбауэровского спектрометра осуществлялась при комнатной температуре (22°С) с помощью стандартного поглотителя α-Fe. Мессбауэровские спектры пирита измеряли в интервале температур от 90 до 295 K. Точность поддержания температуры ±0.15 К. Для ускорения проведения измерений использовали пирит, обогащенный изотопом 57Fe до 7% от общего содержания железа. Время проведения измерений при данной температуре составляло 4 часа. Обработку спектров проводили c помощью программных комплексов UnivemMS (Брюгеман и др., 1993) и MSTools (Русаков, 2000). Полученные спектры представлены на рис. 1, а зависимости изомерного сдвига и квадрупольного расщепления от температуры – в табл. 1.
Рис. 1. Зависимость спектров Мессбауэра для пирита от температуры.Сдвиг экспериментальных спектров влево с ростом температуры обусловлен доплеровским сдвигом второго порядка.
Таблица 1. Зависимость изомерного сдвига и квадрупольного расщепления в мессбауэровских спектрах пирита от температуры
T (K) | Изомерный сдвиг | Квадрупольное расщепление | ||
δ (мм/с) | σ (мм/с) | Q (мм/с) | σ (мм/с) | |
90 | 0.40410 | 0.00065 | 0.31713 | 0.00058 |
110 | 0.39955 | 0.00067 | 0.31663 | 0.00060 |
130 | 0.39227 | 0.00065 | 0.31583 | 0.00058 |
150 | 0.38551 | 0.00066 | 0.31652 | 0.00058 |
170 | 0.37875 | 0.00033 | 0.31433 | 0.00029 |
190 | 0.36995 | 0.00066 | 0.31440 | 0.00118 |
210 | 0.36004 | 0.00070 | 0.31359 | 0.00062 |
230 | 0.34861 | 0.00066 | 0.31308 | 0.00059 |
250 | 0.33691 | 0.00031 | 0.31322 | 0.00028 |
270 | 0.32604 | 0.00064 | 0.31203 | 0.00057 |
Калориметрические измерения
Для измерения низкотемпературной теплоёмкости использовали адиабатический вакуумный калориметр БКТ-3, сконструированный и изготовленный в АОЗТ “Термис” (г. Менделеево Московской области, Россия). Конструкция и принцип работы калориметра описаны ранее (Малышев и др., 1985; Varushchenko et al., 1997). Измерения теплоёмкости на установке проводились автоматически и контролировались компьютерно-измерительной системой, состоящей из компьютера и блока аналогового регулирования и сбора данных. Калориметрическая ампула представляла собой тонкостенный титановый цилиндрический сосуд (внутренний объем 1 см3, масса ~1.6 г), завинчивающийся бронзовой крышкой с индиевым уплотнением для герметизации. Температуру измеряли железо-родиевым термометром сопротивления (R ≈ 100 Ом). Абсолютная погрешность измерений температуры 5 × 10-3 K, чувствительность термометрической схемы 1 × 10-3 K. Надежность измерительной процедуры проверяли путем измерения теплоёмкости меди квалификации “ос.ч.”, стандартных синтетического корунда и бензойной кислоты марки К-2, приготовленных в метрологических учреждениях Госстандарта России. По результатам калибровки и поверки калориметра, погрешность измерений теплоёмкости веществ в интервале температур от 75 до 300 К составляла 0.2%. Масса образца пирита (FeS2) равнялась 1.5572 г; молекулярная масса – 119.975 г/ моль. Измерения пирита проводили в интервале 79 ÷ 300 K при атмосферном давлении; результаты измерений даны в табл. 2
Таблица 2. Результаты измерения теплоемкости при постоянном давлении, CP
T (K) | CP(ДжК−1моль−1) | T (K) | CP(ДжК−1моль−1) |
Серия 1 | 200.22 | 49.73 | |
90.98 | 15.99 | 203.86 | 50.46 |
93.59 | 17.12 | 207.89 | 51.19 |
95.63 | 17.88 | 211.90 | 51.95 |
97.68 | 18.69 | 215.91 | 52.68 |
99.73 | 19.47 | 219.91 | 53.48 |
102.39 | 20.38 | 223.87 | 54.10 |
105.65 | 21.64 | 227.84 | 54.75 |
108.90 | 22.90 | 231.79 | 55.38 |
112.16 | 24.16 | 235.78 | 56.00 |
115.43 | 25.37 | 239.76 | 56.60 |
118.70 | 26.61 | 243.70 | 57.17 |
121.97 | 27.82 | 247.64 | 57.82 |
125.24 | 29.00 | 251.40 | 58.30 |
128.52 | 30.16 | 255.30 | 58.80 |
131.79 | 31.30 | 259.18 | 59.26 |
135.07 | 32.42 | 263.05 | 59.70 |
138.34 | 33.54 | 266.91 | 60.15 |
141.61 | 34.63 | 270.75 | 60.56 |
144.88 | 35.70 | 274.57 | 60.98 |
148.16 | 36.74 | 278.37 | 61.39 |
151.43 | 37.76 | 282.16 | 61.77 |
154.70 | 38.76 | 285.92 | 62.15 |
157.97 | 39.71 | 289.67 | 62.52 |
161.23 | 40.66 | 293.40 | 62.87 |
164.50 | 41.54 | 297.10 | 63.23 |
167.77 | 42.44 | 300.79 | 63.52 |
171.03 | 43.30 | Серия 2 | |
174.29 | 44.12 | 78.90 | 11.50 |
177.55 | 44.91 | 81.63 | 12.44 |
180.80 | 45.64 | 83.74 | 13.11 |
184.06 | 46.36 | 85.84 | 13.82 |
187.31 | 47.15 | 87.92 | 14.78 |
190.51 | 48.48 | 90.00 | 15.52 |
193.75 | 49.12 | 92.06 | 16.27 |
196.99 | 49.73 | ||
ОБРАБОТКА РЕЗУЛЬТАТОВ И ИХ ОБСУЖДЕНИЕ
β-факторы железа для пирита
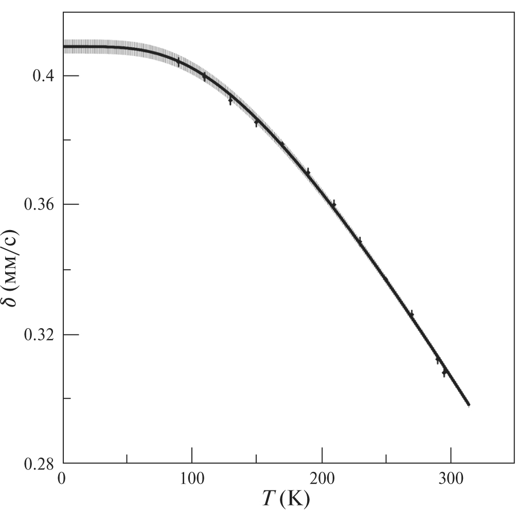
Расчет температуры Мессбауэра. Температуру Мессбауэра рассчитывали по зависимости изомерного сдвига от температуры в табл. 1 в соответствии с моделью Дебая (4). Алгоритм расчета заключался в переборе возможных температур Мессбауэра, расчете изомерного сдвига при нулевой температуре δ0, и выбора этих величин, отвечающих минимальной сумме квадратов невязок между экспериментальными и расчетными значениями в полном соответствии с методом наименьших квадратов (МНК). Для учета влияния погрешности измерений невязку рассчитывали как отношение разности между экспериментальным и расчетным, деленным на экспериментальную погрешность определения σ из столбца 3 в табл. 1. Перебор возможных значений θM проводили в два этапа: на первом – в интервале температур 300–700 K с шагом 1 K; втором – в интервале 540–580 K с шагом 0.1 K. Найденная температура Мессбауэра θM = 551.4 ± 8.5 K, а первые три коэффициента в разложении Тирринга (7) равны соответственно 427.1 ± 6.6 K; 446.1 ± 6.9 K; 459.1 ± 7.1 K (табл. 3). Изомерный сдвиг, соответствующий найденной температуре Мессбауэра, δ0 = 0.5564 ± 0.0014 мм/с. Сравнение экспериментальной температурной зависимости изомерного сдвига с рассчитанной по модели Дебая показана на рис. 2. Предыдущая оценка температуры Мессбауэра θM = 610 K по экспериментальным данным (Nishihara, Ogawa, 1979) оказалась неверной вследствие ошибки в расчетах. Правильный расчет по этим данным дает θM = 568 K (Blanchard et al., 2009). Погрешность этой оценки, по-видимому, достаточно велика вследствие сравнительно невысокой точности измерений только при двух температурах (Nishihara, Ogawa, 1979). Измерения изомерного сдвига при комнатной и более высоких температурах дали θM = 560 ± 18 K (Kancy et al., 1984). Расчет температуры Мессбауэра для пирита по всей совокупности данных (Nishihara, Ogawa, 1979; Kancy et al., 1984) привел к значению θM = 557 K (Blanchard et al., 2012; Polyakov, Soultanov, 2012). За исключением ошибочного расчета θM = 610 K (Nishihara, Ogawa, 1979), имеющиеся оценки температуры Мессбауэра для пирита согласуются друг с другом с учетом указанных погрешностей.
Рис. 2. Температурная зависимость «центра тяжести» спектров Мессбауэра для пирита δ.Заштрихованная область отвечает погрешности 1σ расчетных данных.
Таблица 3. Характеристические (моменты) температуры фононного спектра пирита
Номермомента | Решеткав целом | Подрешетка железа | Подрешетка серы | |||
2i | Θ(K) | δ*(K) | θFe(K) | δ*(K) | θS(K) | δ*(K) |
2 | 469.8 | 7.5 | 427.1 | 6.6 | 491.3 | 8.6 |
4 | 515.0 | 7.8 | 446.1 | 6.9 | 540.8 | 9.4 |
6 | 547.6 | 6.2 | 459.1 | 7.1 | 574.0 | 9.9 |
8 | 599.6 | 8.3 | ||||
10 | 641.8 | 16.7 | ||||
12 | 659.8 | 21.5 | ||||
14 | 730.4 | 17.4 | ||||
16 | 741.3 | 18.2 | ||||
* ‒ Пoгрешность соответствует интервалу 1δ.
Расчет β-факторов железа. Зная температуру Мессбауэра, можно рассчитать факторы железа для пирита по формулам (3) и (4). Другой способ, приводящий к тем же результатам, заключается в использовании уравнения (7). Подстановка в (7) температуры Мессбауэра θM = 551.4 ± 8.5 Kпозволяет представить β-фактор в общепринятой форме в виде полинома третьей степени по квадратам обратной температуры (Chacko et al., 2001):
103lnβ57Fe/54Fe = (1.2665±0.0391) x – (0.4584±0.0283)×10-2x2 + (0.2581±0.0239)×10-4x3, (16)
где x = 106/T 2 (K-2).
Результаты расчетов температурной зависимости β-фактора железа для пирита представлены на рис. 3. На этом же рисунке показаны оценки β-фактора железа для пирита, сделанные в предыдущих работах разными методами. Как видно из рис. 3, наблюдается хорошее согласие между β-факторами, измеренными в этой работе, рассчитанными из первых принципов, полученными в экспериментах по неупругому γ-резонансному рассеянию на ядрах 57Fe (Polyakov et al., 2013) и оцененными (Blanchard et al., 2012; Polyakov, Soultanov, 2012) по данным мессбауэровской спектроскопии (Nishihara, Ogawa, 1979; Kancy et al., 1984). Все эти оценки β -факторов железа для пирита согласуются друг с другом в пределах погрешности результатов данной работы. Полученные результаты можно верифицировать путем их сравнения с коэффициентом равновесного фракционирования изотопов железа между пиритом и ионами Fe2+ в водном растворе, найденном путем прямого изотопного обмена по методу Нортропа-Клейтона (Syverson et al., 2013). Такое сравнение проведено на рис. 4. Поскольку в экспериментах оценивали фракционирование между изотопами 56Fe и 54Fe, то необходимо знать β-фактор фракционирования 56Fe/54Fe. Из уравнения (1) следует:
(17)
что с учетом (17) дает для пирита:
103lnβ56Fe/54Fe= (0.8586±0.0265) x – (0.3108±0.0192) × 10-2x2 + (0.1750±0.0162) × 10-4x3, (18)
β-фактор железа для ионов Fe2+ в водном растворе рассчитан из первых принципов (Rustad et al., 2010) и может быть аппроксимирован уравнением (Polyakov, Soultanov, 2011):
103lnβ56Fe/54Fe = 0.6537 х, (19)
где по-прежнему x = 106/T 2. Уравнения (18) и (19) для фракционирования 56Fe/54Fe между пиритом и Fe2+ в водном растворе при 350°C дают Δпирит-Fe2+ = 1.13 ± 0.09‰, в то время как прямой изотопный обмен приводит к Δпирит- Fe2+ = 0.99 ± 0.29‰ (Syverson et al., 2013). Как видно из рис. 4, оценки β-факторов железа для пирита, рассчитанные из первых принципов (Blanchаrd et al., 2009) и в синхротронных экспериментах по неупругому γ-резонансному рассеянию на ядрах 57Fe (Polyakov et al., 2013), также согласуются с экспериментом по прямому изотопному обмену в пределах экспериментальной погрешности, причем наилучшее согласие достигается при использовании данных по неупругому γ-резонансному рассеянию на ядрах 57Fe. Другим примером сравнения с результатами экспериментов по прямому изотопному обмену является фракционирование между пиритом и гематитом. Экстраполяция данных по изотопному фракционированию между гематитом и ионами железа в водном растворе (Skulan et al., 2002; Welch et al., 2003) к 350 °C и их комбинирование с вышеупомянутыми экспериментами по фракционированию изотопов между пиритом и ионами Fe2+ в водном растворе (Syverson et al., 2013) позволяют оценить фракционирование 56Fe/54Fe между пиритом и гематитом (Blanchаrd et al., 2014): Δпирит-гематит = 0.29 ± 0.40 ‰. Наши результаты для пирита в сочетании с надежными β-факторами железа для гематита, полученные методами мессбауэровской спектроскопии и неупругого γ-резонансного рассеяния (Поляков и др., 2001; Polyakov et al., 2007), дают для фракционирования 56Fe/54Fe между пиритом и гематитом: Δпирит-гематит = 0.36 ± 0.12 ‰. Расчеты из первых принципов (Blanchаrd et al., 2009) приводят к несколько большей величине 56Fe/54Fe Δпирит-гематит = 0.44 ± 0.13 ‰, что вызвано занижением расчетных значений β-фактора железа для гематита по сравнению с мессбауэровскими измерениями. Синхротронные эксперименты по неупругому γ-резонансному рассеянию на ядрах 57Fe (Polyakov et al., 2007; Polyakov et al., 2013) приводят к 56Fe/54Fe Δпирит-гематит = 0.3 ± 0.09 ‰.
Рис. 3. Сравнение β-факторов железа для пирита, полученных в работах различных авторов.Затенённая область на рисунке показывает интервал погрешности 2σ для температурной зависимости β-фактора, найденной в данной статье. Как следует из рисунка, β-факторы, полученные разными методами (из данных мессбауровской спектроскопии, из экспериментов по неупругому γ-резонансному рассеянию и расчетов из первых принципов), согласуются в пределах указанной погрешности, за исключением β-факторов, рассчитанных в статье (Polyakov, Mineev, 2000) по неправильному значению θM = 605 K (Nishihara, Ogawa, 1979).
Рис. 4. Фракционирование изотопов железа между пиритом и растворенными в воде ионами Fe2+.Изотопный сдвиг между пиритом и растворенными в воде ионами Fe2+ получен как разность логарифма β-фактора железа для пирита, определенного по данным мессбауэровской спектроскопии, неупругого γ-резонансного рассеяния или рассчитанного из первых принципов и логарифма β-фактора для ионов Fe2+ (Rustad et al., 2010). Экспериментальное значение изотопного сдвига получено методом Нортропа-Клейтона (Northrop, Clayton, 1966) в экспериментах по прямому изотопному обмену. Затененная область соответствует погрешности 2σ для фракционной кривой, полученной по результатам настоящей статьи и расчетов из первых принципов (Rustad et al., 2010).
В целом, β-факторы железа для пирита, полученные из мессбауэровских измерений, в экспериментах по неупругому γ-резонансному рассеянию на ядрах 57Fe и в расчетах из первых принципов хорошо согласуются между собой и с равновесными коэффициентами фракционирования изотопов железа, полученными в экспериментах по прямому изотопному обмену, включающих пирит.
34S/32S β-факторы для пирита
Разложение Тирринга для теплоёмкости пирита. В разложение Тирринга по квадратам обратных температур (11) входит теплоёмкость при постоянном объеме CV, а не теплоёмкость при постоянном давлении, Cp, которую получают в калориметрических измерениях. Обычно CV оценивают в приближении Грюнайзена:
CV = Cp(1 – αTγT), (20)
где αT – объемный коэффициент, а γ – параметр Грюнайзена, выражаемый соотношением: γ = αTCP κS ρ, в котором κS – адиабатическая сжимаемость, а ρ – молярная плотность. В соответствии с этим, учитывая уравнение (11), разложение Тирринга для теплоёмкости Cp может быть записано в виде:
. (21)
Для расчетов нами были использованы коэффициент теплового расширения и параметр Грюнайзена для пирита, экспериментально определенные в интересующем нас интервале температур (Press, 1949). Наряду с нашими данными по теплоёмкости пирита, для расчета характеристических температур были также использованы результаты наиболее надежных предыдущих измерений (Grønvold, Westrum, 1962; 1976). Характеристические температуры Θ2i были рассчитаны по МНК (табл. 2). Рис. 5 иллюстрирует результат использования ряда Тирринга (21). Мы использовали восемь членов в разложении Тирринга (21). Это позволило удовлетворительно описать температурный ход теплоёмкости выше 170 K. При температурах выше комнатной наблюдается заметное отклонение между аппроксимацией на основе ряда Тирринга, обусловленное ангармоничностью. При более высоких температурах теплоёмкость превосходит гармонический предел (правило Дюлонга-Пти) для пирита – 3Rn. Погрешность в оценке характеристических температур для членов ряда Тирринга выше четвертого довольно значительная. Но первые три члена, необходимые для оценки 34S/32S β-факторов серы при температурах выше комнатных, найдены с достаточно высокой точностью (табл. 3).
Рис. 5. Аппроксимация измерений теплоёмкости рядом Тирринга.
Расчет β-факторов серы для пирита. Найденные значения характеристических температур для подрешетки серы в пирите позволили получить полиномиальное выражение для температурной зависимости:
103lnβ34S/32S = (1.7532±0.0623) x –(1.0470±0.0752) × 10-2 x2 +(1.0424±0.1126) ×10-4 x3, (22)
где x=106/T 2.
На рис. 6а представлены оценки 34S/32S β-фактора для пирита, сделанные различными авторами. Как видно из рис. 6а, результаты настоящей работы хорошо согласуются с расчетами из первых принципов на основе функционала плотности (Liu et al., 2015; 2016), с другой стороны, наблюдается существенное расхождение с более ранними результатами (Blanchard et al., 2009), также выполненными в рамках подхода, основанного на использовании функционала электронной плотности. В более поздних работах (Liu et al., 2015; 2016) использовалось приближение, не требующее введения масштабирующего множителя (scaling factor) для согласия расчетных и наблюдаемых фундаментальных частот тепловых колебаний. Первые оценки 34S/32S β-фактора пирита на основе мессбауэровской спектроскопии и теплоёмкости также оказались неточными, т.к. использовали неправильное значение температуры Мессбауэра для пирита (Nishihara, Ogawa, 1979).
Рис. 6. Верификация полученных β-факторов серы для пирита.
(а) ‒ сравнение с расчётами из первых принципов. (б) ‒ фракционирование в системе пирит-сфалерит-галенит, сравнение с экспериментом по прямому обмену.
Сравнение фракционирования изотопов серы между пиритом и другими серосодержащими минералами требует знания их β-факторов. Наиболее полно исследовалась система пирит-сфалерит-галенит (Smith et al., 1977). На рис. 6б проведено сравнение экспериментального равновесного фракционирования изотопов серы, полученного прямым изотопным обменом (Smith et al., 1977), с фракционированием, рассчитанным на основе 34S/32S β-фактора для пирита, полученного в этой работе, и β-факторами для галенита и сфалерита (Li et al., 2006). Как видно из рис. 6б, наблюдается хорошее согласие между экспериментами по изотопному обмену (Smith et al., 1977), расчетными β-факторами для галенита и сфалерита и 34S/32S β-фактором пирита, полученным по данным мессбауэровской спектроскопии и теплоёмкости.
ВЫВОДЫ
Мессбауэровские спектры пирита получены в интервале температур от 90 до 295 K. Температурный сдвиг «центра тяжести» спектра описан в рамках модели Дебая, найдена температура Мессбауэра θM = 551.4 ± 8.5 K и рассчитан β-фактор железа для пирита. Температурная зависимость β-фактора представлена в виде разложения Тирринга по четным степеням обратной температуры.
Сравнение с оценками β-фактора железа для пирита другими методами показало хорошее согласие с β-факторами, полученными в синхротронных экспериментах по неупругому γ-резонансному рассеянию на ядрах 57Fe (Polyakov et al., 2013) и c рассчитанными из первых принципов на основе функционала плотности (Blanchard et al., 2009). В то же время показано, что предыдущая оценка β-фактора железа для пирита методом мессбауэровской спектроскопии (Polyakov, Mineev, 2000) оказалась неверной, поскольку использовала ошибочное значение температуры Мессбауэра θM = 610 K(Nishihara, Ogawa, 1979).
Наблюдается хорошее согласие равновесного фракционирования изотопов в экспериментах по изотопному обмену между пиритом и ионами Fe2+, растворенными в воде (Syverson et al., 2013), и между пиритом и гематитом (Skulan et al., 2002; Welch et al., 2003) с соответствующими оценками, полученными на основе β-факторов железа, найденных методами Мессбауэровской спектроскопии для минералов (Polyakov, Mineev, 2000; Поляков и др., 2001; Polyakov et al., 2007), и расчетами из первых принципов для ионов Fe2+ (Rustad et al., 2010). Таким образом, для пирита существует согласие между значениями β-факторов железа, полученными разными методами, что свидетельствует о надежности найденных величин.
Теплоёмкость пирита измерена в интервале температур 79–300 K. Полученные результаты согласуются с предыдущими измерениями (Grønvold, Westrum, 1962; 1976). Температурная зависимость теплоёмкости при температурах выше 170 K представлена в виде разложения Тирринга. Найденные характеристические температуры позволяют рассчитать в гармоническом приближении кинетическую энергию колебаний решетки пирита при температурах, интересных с точки зрения геохимических приложений.
По данным мессбауэровской спектроскопии и теплоёмкости определены β-факторы серы для пирита. Полученные 34S/32S β-факторы хорошо согласуются с расчетами из первых принципов (Liu et al., 2015; 2016). В то же время аналогичные расчеты (Blanchard et al., 2009) приводят к более высоким значениям 34S/32S β-факторов для пирита. Как и в случае железа, предыдущая оценка 34S/32S β-факторов для пирита, аналогичная представленному в данной статье (Polyakov, Mineev, 2000), привела к недооценке величины 34S/32S β-фактора для пирита вследствие неверного значения температуры Мессбауэра (Nishihara, Ogawa, 1979). Найденные 34S/32S β-факторы для пирита в совокупности с раннее полученными 34S/32S β-факторами для других сульфидов хорошо согласуются с результатами экспериментального исследования равновесия изотопов серы в системе галенит-сфалерит-пирит методом прямого изотопного обмена (Smith et al., 1977).
Источник финансирования
Исследование поддержано грантом РФФИ № 16-05-01020 и Правительством Российской Федерации: Программа 211, соглашение№ 02.A03.21.0006, и Программа повышения конкурентоспособности Казанского федерального университета.
Примечание:
1 Характеристические температуры θ2i в (5) можно выразить аналогичным образом, но через моменты проекции фононной плотности состояний на колебания атомов железа (Housley, Hess, 1966; Polyakov et al., 2005; Dauphaus et al., 2012).
ПРИЛОЖЕНИЕ
Учет природного изотопного состава элементов. Расчет коэффициентов λ
Как было сказано выше (см. раздел «Теоретическое обоснование»), при расчете β-факторов серы из данных мессбауэровской спектроскопии и теплоёмкости необходимо учитывать то, что измерения теплоёмкости проходят на образцах, содержащих природную смесь изотопов, а с помощью мессбауэровской спектроскопии оценивается кинетическая энергия колебаний ядер 57Fe. Сначала рассмотрим случай Fe. Из уравнения (1) следует, что β-фактор при замещении изотопа 54Fe изотопом 57Fe выражается:
. (П1)
Подобным образом с очевидными подстановками выражается β-фактор при замещении изотопа 57Fe изотопом 54Fe:
. (П2)
Из равенства ln β54Fe/57Fe = – ln β57Fe/54Fe и уравнений (П1) и П(2) с очевидностью следует:
. (П3)
Ясно, что уравнение, аналогичное (П3), справедливо для любого изотопа железа. Тогда для кинетической энергии, учитывая ее аддитивность, можно записать: KFe – 1.5RT ) = a54Fe (K54Fe – 1.5RT ) + a56Fe (K56Fe – 1.5RT ) + a57Fe (K57Fe – 1.5RT ) + a58Fe (K58Fe – 1.5RT ) , (П4)в котором a c индексом, указывающим изотоп, обозначает распространенность соответствующего изотопа.
Уравнения (П3) и (П4) являются следствием идеальности смеси изотопов, которое справедливо в первом порядке термодинамической теории возмущений (Поляков, 1993). Отсюда с учетом (П3) непосредственно следует:
(П5)
Обозначая выражение в квадратных скобках через , найдем искомое соотношение (9б), в котором:
(П6)
Аналогично для случая железа для изотопов серы можно записать:
(П7)
Найденные значения коэффициентов λ использованы при расчете β-факторов серы по уравнениям (14) и (15).
About the authors
V. B. Polyakov
D.S. Korzhinckii Institute of Experimental Mineralogy, Russian Academy of Sciences
Author for correspondence.
Email: polyakov@iem.ac.ru
Russian Federation, 4, Academica Osypyana str., Chernogolovka, Moscow region, 142432
E. G. Osadchii
D.S. Korzhinckii Institute of Experimental Mineralogy, Russian Academy of Sciences
Email: euo@iem.ac.ru
Russian Federation, 4, Academica Osypyana str., Chernogolovka, Moscow region, 142432
M. V. Voronin
D.S. Korzhinckii Institute of Experimental Mineralogy, Russian Academy of Sciences
Email: euo@iem.ac.ru
Russian Federation, 4, Academica Osypyana str., Chernogolovka, Moscow region, 142432
V. O. Osadchii
D.S. Korzhinckii Institute of Experimental Mineralogy, Russian Academy of Sciences
Email: polyakov@iem.ac.ru
Russian Federation, 4, Academica Osypyana str., Chernogolovka, Moscow region, 142432
L. V. Sipavina
D.S. Korzhinckii Institute of Experimental Mineralogy, Russian Academy of Sciences
Email: polyakov@iem.ac.ru
Russian Federation, 4, Academica Osypyana str., Chernogolovka, Moscow region, 142432
D. A. Chareev
D.S. Korzhinckii Institute of Experimental Mineralogy, Russian Academy of Sciences; Ural Federal University named after B.N. Eltsin; Kazan Federal University
Email: polyakov@iem.ac.ru
Russian Federation, 4, Academica Osypyana str., Chernogolovka, Moscow region, 142432; 19, Mira street, Ekaterinburg, 620002; 18, Kremlyovskaya str., Kazan, 420008
A. V. Tyurin
Kurnakov institute of general and inorganic chemistry, RAS
Email: polyakov@iem.ac.ru
Russian Federation, 31, Leninskiy prospect, Moscow, 119991
V. M. Gurevich
Kurnakov institute of general and inorganic chemistry, RAS; Vernadsky institute of geochemistry and analytical chemistry, RAS
Email: polyakov@iem.ac.ru
Russian Federation, 31, Leninskiy prospect, Moscow, 119991; 19, Kosygina, Moscow, 119991
K. S. Gavrichev
Kurnakov institute of general and inorganic chemistry, RAS
Email: polyakov@iem.ac.ru
Russian Federation, 31, Leninskiy prospect, Moscow, 119991
References
- Брюгеман С.А., Арцыбашев Ю.А., Орлов С.В. (1993) Программа «UNIVEM», версия 4.50. МНПП «MosTek», НИИ физики при. РГУ. Ростов-на-Дону.
- Малышев В.М., Мильнер Г.А., Соркин Е.Л., Шибакин В.Ф. (1985) Автоматический низкотемпературный калориметр. П.Т.Э. 6, 195–197.
- Поляков В.Б., Минеев С.Д. (1999) Применение месс-бауэровской спектроскопии в изотопной геохимии. I. Равновесное фракционирование изотопов железа. Геохимия (8), 858–870.
- Поляков В.Б. (1991) Квантовостатистическое рассмотрение метода изотопических чисел связей. Журнал физической химии 65, 1317–1326.
- Поляков В.Б. (1993) Об идеальности смесей изотопов в твердых телах. Журнал физической химии 67, 470–473.
- Поляков В.Б., Минеев С.Д. (2000) Применение месс-бауэровской спектроскопии в изотопной геохимии: II. Равновесное фракционирование изотопов железа. Геохимия (9), 915–921.
- S.D. Mineev, M.S. Polyakov (1999) Mössbauer Spectroscopy as Applied to Isotopic Geochemistry: I. Equilibrium Fractionation of Iron Isotopes. Geochem. Int. 37(8) 765–776.
- Поляков В.Б., Минеев С.Д., Гуревич В.М., Храмов Д.А., Гавричев К.С, Горбунов В.Е., Голушина Л.Н. (2001) Использование мессбауэровской спектроскопии и калориметрии для определения равновесных изотопных констант. Гематит. Журнал физической химии 75(6), 1017–1021.
- Поляков В.Б., Харлашина Н.Н. (1989) Влияние давления на равновесное фракционирование изотопов. ДАН СССР 306, 390–395.
- Русаков В.С. (2000) Мессбауэровская спектроскопия локально неоднородных систем. Изд-во Ин-та ядерной физики НЯЦ, Алматы. 430 с.
- Шпинель В. С. (1969) Резонанс гамма-лучей в кристаллах. М.: Наука, 408 с.
- Blanchard M., Poitrasson F., Méheut M., Lazzeri M., Mauri F., Balan E. (2009) Iron isotope fractionation between pyrite (FeS2), hematite (Fe2O3) and siderite (FeCO3): A first-principles density functional theory study. Geochim. Cosmochim. Acta 73, 6565–6578.
- Blanchard M., Poitrasson F., Méheut M., Lazzeri M., Mauri F., Balan E. (2012) Comment on “New data on equilibrium iron isotope fractionation among sulfides: Constraints on mechanisms of sulfide formation in hydrothermal and igneous systems” by V.B. Polyakov and D.M. Soultanov. Geochim. Cosmochim. Acta 75, 356–359.
- Butler I. B., Archer C., Vance D., Oldroyd A., Rickard D. (2005) Fe isotope fractionation on FeS formation in ambient aqueous solution. Earth Planet. Sci. Lett. 236, 430–442.
- Chacko T., Cole D.R., Horita J. (2001) Equilibrium oxygen, hydrogen and carbon isotope fractionation factors applicable to geologic systems. In Stable Isotope Geochemistry (Eds. Valley J.W., Cole D.R.), Rev. Mineral. Geochem. 43, 1–81.
- Dauphas N., John S.G. Roskosz M. (2017) Iron isotope systematics. Rev. Mineral. Geochem. 82, 415–510.
- Dauphas N., Roskosz M., Alp E.E., Golden D.C., Sio C.K., Tissot F.L.H., Hu M.Y., Zhao J., Gao L., Morris R.V. (2012) A general moment NRIXS approach to the determination of equilibrium Fe isotopic fractionation factors: Application to goethite and jarosite. Geochim. Cosmochim. Acta 94, 254–275.
- Dauphas N., Roskosz M., Alp E.E., Neuville D.R., Hu M.Y. Sio C.K., Tissot F.L.H., Zhao J., Tissandier L., Médard E. (2014) Magma redox and structural controls on iron isotope variations in Earth’s mantle and crust. Earth Planet Sci. Lett. 398, 127–140.
- De Grave E., Van Alboom A. (1991) Evaluation of ferrous and ferric Mössbauer fractions. Phys. Chem. Minerals 18, 337–342.
- Fernandez A., Borrok D. (2009) Fractionation of Cu, Fe, and Zn isotopes during the oxidative weathering of sulfide-rich rocks. Chem. Geol. 264, 1–12.
- Grønvold F., Westrum E.F. Jr. (1962) Heat capacities and thermodynamic functions of iron disulfide (pyrite), iron diselenide, and nickel diselenide from 5 to 350°K. The estimation of standard entropies of transition metal chalcogenides. Inorg. Chem. 1, 36–48.
- Grønvold F., Westrum E.F. Jr. (1976) Heat capacities of iron disulfides. Thermodynamics of marcasite from 5 to 700 K, pyrite from 300 to 780 K, and the transformation of marcasite to pyrite. J. Chem. Thermodynamics 8, 1039–1048.
- Guilbaud R., Butler I.A., Ellam R.M. (2011) Abiotic pyrite formation produces a large Fe isotope fractionation. Science 332, 1548–1550.
- Horita J., Polyakov V.B. (2015) Carbon-bearing iron phases and the carbon isotope composition of the deep Earth. Earth. Proc. Natl. Acad. Sci. U.S.A. 112, 31–36.
- Housley R. M., Hess F. (1966) Analysis of Debye-Waller-factor and Mössbauer-thermal-shift measurements. I. General theory. Phys. Rev. 146, 517–526.
- Johnson C.M., Beard B.L., Roden E.E. (2008) The iron isotope fingerprints of redox and biogeochemical cycling in modern and ancient Earth. Annu. Rev. Earth Planet. Sci. 36, 457–493.
- Josephson, B.D. (1960) Temperature-dependent shift of g-rays emitted by a solid. Phys. Rev. Letters 4, 341–342.
- Kajiwara Y., Krouse H.R. (1971) Sulfur isotope partitioning in metallic sulfide system. Can. J. Earth Sci. 8, 1397–1408.
- Kajiwara Y., Krouse H.R., Sasaki A. (1969) Experimental study of sulfur isotope fractionation between coexistent sulfide minerals. Earth Planet. Sci. Lett. 7, 271–277.
- Kansy J., Panek T. J., Szuszkiewicz M. (1984) Mössbauer study of the lattice dynamics of pyrite. J. Phys. C: Solid State Phys. 17, 1585–1593
- Liu S., Li Y., Gong H., Chen C., Liu J., Shi Y. (2016) Firstprinciples calculations of sulphur isotope fractionation in MX2 minerals, with M = Fe Co, Ni and X2 = AsS, SbS. Chem. Geol. 441, 204–211.
- Liu S., Li Y., Liu J., Shi Y. (2015) First-principles study of sulfur isotope fractionation in pyrite-type disulfides. Am. Mineral. 100, 203–208.
- Maradudin A.A., Montroll E.W., Weiss G.H., lpatova J.P. (1971) Theory of Lattice Dynamics in the Harmonic Approximation. Academic, New York, 551 p.
- Markl G., Von Blanckenburg F., Wagner T. (2006) Iron isotope fractionation during hydrothermal ore deposition and alteration. Geochim. Cosmochim. Acta 70, 3011–3030.
- Naumov V.N. (1994) Electron heat capacity and moments of the phonon density of states for metals and superconductors. Phys. Rev. B 49, 13247–13250.
- Nishihara Y., Ogawa S. (1979) Mössbauer study 57Fe in pyrite-type dichalcogenides. J. Chem. Phys. 71, 3796–3801.
- Northrop D.A., Clayton R.N. (1966) Oxygen-isotope fractionations in systems containing dolomite. J. Geol. 74, 174–196.
- Ohmoto H., Rye R.O. (1979) Isotopes of sulfur and carbon. In: Geochemistry of hydrothermal ore deposits, 2nd edn. (ed. H. L. Barns). J. Wiley and Sons, p 509–567.
- Osadchii E.G., Chareev D.A. (2006) Thermodynamic studies of pyrrhotite–pyrite equilibria in the Ag–Fe–S system by solid-state galvanic cell technique at 518–723 K and total pressure of 1 atm. Geochim. Cosmochim. Acta 70, 5617–5633.
- Poitrasson F., Levasseur S., Teutsch N. (2005) Significance of iron isotope mineral fractionation in pallasites and iron meteorites for the core–mantle differentiation of terrestrial planets. Earth Planet. Sci. Lett. 234, 151–164.
- Polyakov V. B., Osadchii E.G, Chareev D.A., Chumakov A.I., Sergeev I.A. (2013) Fe β-factors for sulfides from NRIXS synchrotron experiments. Mineral. Mag. 77, 1985.
- Polyakov V.B. (1997) Equilibrium fractionation of the iron isotopes: Estimation from Mössbauer spectroscopy data. Geochim. Cosmochim. Acta 61, 4213–4217.
- Polyakov V.B. (2009) Equilibrium iron isotope fractionation at core-mantle boundary conditions. Science 323, 912–914.
- Polyakov V.B., Clayton R. N., Horita J., Mineev S.D. (2007) Equilibrium iron isotope fractionation factors of minerals: reevaluation from the data of nuclear inelastic resonant X-ray scattering and Mössbauer spectroscopy. Geochim. Cosmochim. Acta 71(15), 3833–3846.
- Polyakov V.B., Mineev S.D. (2000) The use of Mössbauer spectroscopy in stable isotope geochemistry. Geohim. Cosmochim. Acta 64(5), 849–865.
- Polyakov V.B., Mineev S.D., Clayton R.N., Hu G. (2005) Oxygen isotope equilibrium factors involving cassiterite (SnO2): I. Calculation of reduced partition function ratios from heat capacity and X-ray resonant studies. Geochim. Cosmochim. Acta 69, 1287–1300.
- Polyakov V.B., Soultanov D.M. (2011) New data on equilibrium iron isotope fractionation among sulfides: Constraints on mechanisms of sulfide formation in hydrothermal and igneous systems. Geochim. Cosmochim. Acta 75, 1957–1974.
- Polyakov V.B., Soultanov D.M. (2012) Response to the comment by M. Blanchard, F. Poitrasson, M. Meґheut, M. Lazzeri, F. Mauri, E. Balan on “New data on equilibrium iron isotope fractionation among sulfides: Constraints on mechanisms of sulfide formation in hydrothermal and igneous systems” published in Geochim. Cosmochim. Acta 75 (2011) 1957–1974. Geochim. Cosmochim. Acta 87, 360–366.
- Pound R.V., Rebka G.A., Jr. (1960) Variation with temperature of the energy of recoil-free gamma rays from solids. Phys. Rev. Letters 4, 274–275.
- Press D.C. (1949) Thermal expansion of fluorspar and iron pyrite. Proc. Indian Acad. Sci. (Math. Sci.) 30, 284–294.
- Rouxel O., Fouquet Y., Ludden J.N. (2004) Subsurface processes at the Lucky Strike hydrothermal field, Mid-Atlantic Ridge: evidence from sulfur, selenium, and iron isotopes. Geochim. Cosmochim. Acta 68, 2295–2311.
- Rouxel O., Shanks, III, W. C., Bach W., Edwards K. J. (2008) Integrated Fe- and S-isotope study of seafloor hydrothermal vents at East Pacific Rise 9–10 N. Chem. Geol. 252, 214–227.
- Rouxel O., Toner B.M., Manganini S.J., German C.R. (2016) Geochemistry and iron isotope systematics of hydrothermal plume fall-out at East Pacific Rise 9° 50′ N. Chem. Geol. 441, 212–234.
- Rustad J.R., Casey W. H., Yin Q.Z., Bylaska E.J., Felmy A.R., Bogatko S.A., Jackson V.E. and Dixon D.A. (2010) Isotopic fractionation of Mg2+(aq), Ca2+(aq), Fe2+(aq) with carbonate minerals. Geochim. Cosmochim. Acta 74, 6301–6323.
- Seal II R.R. (2006) Sulfur isotope geochemistry of sulfide minerals. Rev. Mineral. Geochem. 61, 633–677.
- Shahar A., Elardo S.M., Macris C.A. (2017) Equilibrium Fractionation of Non-traditional Stable Isotopes: an Experimental Perspective. Rev. Mineral. Geochem. 82, 65–83.
- Shahar A., Schauble E.A., Caracas R., Gleason A.E., Reagan M.M., Xiao Y., Shu J., Mao W. (2016) Pressure-dependent isotopic composition of iron alloys. Science 352, 580–582.
- Skulan J.L., Beard B.L., Johnson C.M. (2002) Kinetic and equilibrium Fe isotope fractionation between aqueous Fe(III) and hematite. Geochim. Cosmochim. Acta 66, 2995–3015.
- Smith J.W., Doolan S., McFarlane E.F. (1977) A sulfur isotope geothermometerfor the trisulfide system galena–sphalerite–pyrite. Chem. Geol., 19, 83–90.
- Syverson D. D., Borrok D.M., Seyfried W.E. (2013) Experimental determination of equilibrium Fe isotopic fractionation between pyrite and dissolved Fe under hydrothermal conditions. Geochim. Cosmochim. Acta 122, 170–183.
- Syverson D.D., Luhmann A.J., Tan C., Borrok D.M., Ding K., Seyfried W.E. (2017) Fe isotope fractionation between chalcopyrite and dissolved Fe during hydrothermal recrystallization: An experimental study at 350 °C and 500 bars. Geochim. Cosmochim. Acta 200, 87–109.
- Syverson D.D., Ono S., Shanks W.C., Seyfried W.E. (2015) Multiple sulfur isotope fractionation and mass transfer processes during pyrite precipitation and recrystallization: an experimental study at 300 and 350°C. Geochim. Cosmochim. Acta 165, 418–434.
- Varushchenko R.M., Druzhinina A.I., Sorkin E.L. (1997) Low-temperature heat capacity of 1-bromoperfluorooctane J. Chem. Thermodynamics 29, 623–637.
- Welch S. A., Beard B. L., Johnson C. M., Braterman, P. S. (2003) Kinetic and equilibrium Fe isotope fractionation between aqueous Fe(II) and Fe(III). Geochim. Cosmochim. Acta 67, 4231–4250.
Supplementary files








