Geochemistry of sillimanite-magnetite-kaolinite of metasomatic rocks of the island of Great Tyuters (gulf of Finland, Russia)
- Authors: Shcherbakova T.F.1, Terekhov E.N.1
-
Affiliations:
- Geological Institute of RAS
- Issue: Vol 64, No 6 (2019)
- Pages: 605-617
- Section: Articles
- URL: https://journals.eco-vector.com/0016-7525/article/view/14347
- DOI: https://doi.org/10.31857/S0016-7525646605-617
- ID: 14347
Cite item
Full Text
Abstract
Among the secondary quartzites of the island of the Great Tyuters there are extended linear zones with a capacity of up to 3 meters, clearly visible in detailed satellite images. They are composed of sillimanite-magnetite-kaolinite metasomatites discovered for the first time. The formation of metasomatites is associated with fragmentation of quartzites and the subsequent introduction of fluids of a substance saturated with various components. Metasomatites are enriched with Al2O3 (16–23 wt.%), in contrast to 2–5 wt. per cent of this oxide is present in their substrate – quartzite. In metasomatic rocks dominated by iron oxide, quartzite – ferrous. The rocks do not contain any alkaline and alkaline-earth elements. They are enriched with Zr (146–199 g/t) and a number of other elements, including impurities and rare earth, among which prevail Ce (34 g/t) and La (17 g/t). REE of both breeds is characterized by a small and close degree of fractionation ((La/Yb)n=6.55 and 6.17). Metasomatites on a set of minerals do not differ from quartzites, but differ in their quantitative ratios and composition. Of particular interest is the magnetite of metasomatites. It contains many quartz inclusions with kaolinite edges. Quartz inclusions, in turn, contain inclusions of titanium magnetite crystals. In the formation of metasomatites, there were several stages of the metasomatic process with a changing composition of fluids and different acidity-alkalinity of the mineral formation medium. The development of metasomatites in linear zones, the disintegration of their substrate, the high content of kaolinite – all this gives them a similarity with weathering cows. However, the same set of minerals in metasomatite and its substrate, the complete absence of sulfides and sulfur, the presence of magnetite with double mineral inclusions – such features distinguish these rocks from the classical weathering crust.
Full Text
ВВЕДЕНИЕ
Вторичные кварциты и ассоциирующие с ними железо-глиноземистые породы являются хорошим примером метасоматических преобразований под влиянием флюидно-гидротермальных процессов (Наковник, 1964). Однако следует отметить, что в последние десятилетия мало работ посвящено подобным комплексам: отчасти это связано с тем, что большинство классических проявлений вторичных кварцитов находится в Республике Казахстан, и остаются нерешенными некоторые принципиальные проблемы – в частности, нет понимания условий формирования высокоглиноземистых пород, таких как корундиты.
В полевой сезон 2015 г. один из авторов настоящего исследования – Е.Н. Терехов – принимал участие в изучении природы малоизученных Внешних островов Финского залива в составе экспедиции Российского географического общества. На одном из Внешних островов – острове Большой Тютерс – им впервые для данного региона были обнаружены вторичные кварциты, которые слагают бо`льшую часть этого острова. В кварцитах присутствуют протяженные линейные зоны, в которых они интенсивно деформированы. Породы в пределах этих зон существенно отличаются от вмещающих их кварцитов по структурно-текстурным особенностям и бурой окраске. Что представляют собой породы в линейных зонах, каков их состав и как они образовались. Вот вопросы, на которые мы хотели бы ответить в настоящем исследовании. Важно и то, что район является труднодоступным, и породы описываются впервые.
КРАТКАЯ ГЕОЛОГИЯ РАЙОНА
Остров Большой Тютерс расположен в центральной части Финского залива на расстоянии 25 км к югу от более известного о. Гогланд (рис. 1а). Остров Большой Тютерс с проявлением вторичных кварцитов приурочен к широтной зоне линеамента Полканова – краевой части Балтийского щита. Вместе с о. Гогланд этот район может рассматриваться и как зона аккомодации, то есть как участок прерывания рифтовой системы рифейского возраста, которая, по мнению некоторых исследователей, приурочена к осевой части Финского залива (рис. 1а) (Валеев, 1978).
Рис. 1. Структурная схема Финского залива (а) и детальная геологическая карта о. Большой Тютерс (б). В (а): 1 – рифейские отложения: а – достоверные, б – предполагаемые; 2 – свекофеннский комплекс, сланцы, мигматиты, амфиболиты (1,95–1,85 млрд лет) – фундамент для рифейских образований: а – на суше, б – в акватории Финского залива; 3 – граниты рапакиви Выборгского массива (1,65 млрд лет): а – на суше, б – в акватории Финского залива; 4 – дайковые комплексы в обрамлении Выборгского массива (кварцевые порфиры); 5 – подошва палеозойских отложений Русской плиты; 6 – подошва вендских отложений; 7 – краевые ограничения линеаментной зоны Полканова; 8 – разломы и структурные элементы, дешифрируемые на космических снимках (а – достоверные, б – предполагаемые). В (б): 1 – четвертичные отложения; 2 – вторичные кварциты (по свекофеннским сланцам); 3 – крупнозернистые рапакивиподобные граниты (а– массив, б – дайки); 4 – дайки липарит-гранитов; 5 – структурные элементы дешифрируемые на космических снимках, в том числе и зоны железисто-глиноземистых метасоматитов (на площади вторичных кварцитов); 6 – точки наблюдений и их номера.
На о. Большой Тютерс бо`льшая часть коренных пород представлена крупнозернистыми кварцитами однородного, массивного сложения (рис. 1б). Окраска их изменяется от серой до буроватой, нередко с постепенными переходами. Кварциты не образуют пластов, в них не наблюдается осадочной полосчатости, складчатые структуры отсутствуют. Изредка в них отмечается реликтовая полосчатость, типичная для мигматитов свекофеннского комплекса (рис. 2а). По ряду характерных признаков эти породы отнесены нами к вторичным кварцитам (Терехов и др., 2017). Кварциты занимают всю обнаженную часть острова и развиты как на берегу, так и в его водораздельной части. В них не отмечается вертикальной и горизонтальной зональности. Видимая мощность кварцитов составляет не менее 20–30 м, если считать, что они представляют собой чехол. Кварциты секутся вертикальными и наклонными кварцевыми жилами мощностью 10–40 см (рис. 2б). По содержанию главных химических компонентов кварцевые жилы аналогичны вмещающим их кварцитам, что характерно для залежей вторичных кварцитов (Наковник, 1964).
Рис. 2. Фотографии обнажений горных пород с о. Б. Тютерс: (а) – вторичные кварциты с теневыми реликтами мигматизированных гнейсов свекофенс-кого возраста; (б) – наклонные кварцевые жилы среди вторичных кварцитов; (в) – зона железо-глиноземистых метасоматитов; (г) – дайка флюидальных гранит-порфиров, секущих вторичные кварциты.
В кварцитах выделяются наложенные линейные зоны трещиноватости (рис. 2в), в центральных частях которых и развиты исследуемые породы. Они сложены более мелкозернистыми по сравнению с кварцитами разностями и имеют бурую окраску. В них отмечается разгнейсование, параллельное контактам зон. Мощность этих зон составляет первые метры, но прослеживаются они на сотни метров. В СЗ части острова эти зоны имеют СЗ или СВ простирание, а в южной – субширотное. Зоны трещиноватости хорошо дешифрируются на космических снимках. В центральной части острова расположен небольшой массив рапакивиподобных гранитов. Граниты слагают и секущие дайки в СЗ части острова. Сходными по составу и возрасту (1600±50 млн лет) гранитами сложены субширотные дайки в центральной части западного берега, но здесь они имеют флюидальную текстуру и содержат ксенолиты вторичных кварцитов (рис. 2г) (Терехов и др., 2017).
МЕТОДИКА ИССЛЕДОВАНИЙ
Петрогенные элементы и элементы-примеси определялись в химико-аналитической лаборатории ГИН РАН на рентгеновском спектрометре S4 PIONEER фирмы Bruker AXS (ФРГ). При этом деление двух- и трехвалентного железа осуществлялось дополнительным исследованием по определению Fe++ титрометрическим бихроматным методом. Изучение минералов проводилось на сканирующем электронном микроскопе CAMSCAN MV-2300, а анализ состава минералов – на микрозондовой приставке INCA-2000 фирмы OXFORD INSTRUMENTS. Абсолютная ошибка измерения элемента ΔС<0.2 √ С%, где С – концентрация анализируемого элемента. Предел обнаружения элемента составляет 0.05–0.1 мас.%. Исследования проводились в Лаборатории физических методов изучения минералов ГИН РАН. Аналитики – Н. В. Горькова, В. В. Михеев.
ПЕТРОГРАФИЯ
Кварциты
Кварциты являются субстратом для образования силлиманит-магнетит-каолинитовых пород. В обнажениях кварциты представляют собой массивные породы светло-серого цвета. Под микроскопом они имеют следующий состав: кварц – 80–90%, рудный минерал – от 2–3 до 10–12%, силлиманит – до 2–3%, мусковит – 2–3%, серицит и каолинит – менее 1%. Акцессорный минерал – циркон. Кварц наблюдается в виде изометричных крупных (до 5×3 мм) зерен, создающих гранобластовую структуру породы. Для зерен кварца характерно присутствие пересекающихся микротрещин. Силлиманит (фибролит) представлен тонкими длинными лейстовидными пластинками и волосовидными кристаллами. Последние обычно изогнуты и образуют пучки бурого цвета. Рудный минерал по содержанию наиболее распространен после кварца. Выделяется несколько его морфологических типов, среди которых преобладают мелкие (менее 0.1–0.2 мм) изометричные зерна и гексагональные кристаллики титаномагнетита. Нередко они включены в кварц. В небольшом количестве отмечаются неправильные выделения гематита. Мусковит образует тонкие пластинки, иногда изогнутые, повторяющие ограничения кварцевых зерен, поскольку они растут вдоль их границ, наиболее проницаемых для растворов. Обычен для кварцитов каолинит, который отлагается в микротещинах по границам кварцевых зерен и замещает силлианит.
Таким образом, для кварцитов характерны следующие особенности:
а) достаточно крупная зернистость; б) широкое развитие микротрещиноватости в кварцевых зернах; в) присутствие глиноземистых минералов – силлиманита, мусковита и каолинита; г) достаточно большое и неравномерно распределенное количество мелких зерен титаномагнетита, обычно включенных в кварц. Часто наблюдаемое (но не повсеместное) развитие микротрещин в зернах кварца позволяет предположить, что их появление наиболее вероятно связано с тектоническим воздействием на породу.
Изученные кварциты мы рассматриваем как вторичные кварциты. Образование их связываем с кислотным выщелачиванием подстилающих биотитовых плагиогнейсов под действием углекислых растворов при температуре 375°С (Терехов и др., 2017).
Метасоматиты
Рассматриваемые метасоматиты присутствуют среди кварцитов в виде линейных зон длиной до нескольких сотен метров с резкими ровными границами. Ширина зон – от нескольких десятков сантиметров до 3 метров (рис. 2в). В пределах линейных зон кварциты испытали хрупкие деформации. При этом в ряде шлифов наблюдаются относительно широкие субпараллельные слабо изогнутые трещины, ориентировка которых, вероятно, связана с тектоническим воздействием. Появление таких трещин, по-видимому, свидетельствует о начальных стадиях образования метасоматита (рис. 3а).
Метасоматиты сложены таким же набором минералов, что и кварциты. Они состоят из силлиманита, рудных минералов, кварца, каолинита, мусковита, серицита. Но минералы метасоматитов существенно отличаются от минералов кварцитов количеством, соотношениями и составом. В шлифах метасоматиты имеют вид либо сплошной минеральной массы бурого цвета вследствие того, что минералы плотно прилегают друг к другу и окрашены тонкодисперсным гематитом, либо строение их неравномерно полосчатое. Метасоматиты имеют гнейсовидный облик, так как удлиненные минералы ориентированы в одном направлении. Поскольку метасоматиты развиваются по кварцитам, то нередко в них сохраняется то или иное количество кварца (реликтовый кварц), варьирующее от 30–40 до 10–7% и местами почти до полного его замещения. В разных шлифах кварц наблюдается либо в виде тонких (0.2–0.4 мм) выклинивающихся полосок, ориентированных согласно общему разгнейсованию, что обуславливает полосчатое строение метасоматита (рис. 3б), либо он имеет вид небольших пятнистых скоплений, которые без какой-либо закономерности распределены между остальными минералами (рис. 3в, г). Реликтовые зерна кварца в метасоматитах, унаследованные от кварцитов, разбиты множеством пересекающихся трещин, в результате они превращены в агрегаты микрообломков (рис. 3г, д). Помимо реликтового кварца в метасоматитах присутствует еще одна генерация (новообразованная), представляющая собой перекристаллизованный реликтовый кварц. Она будет описана ниже.
Рис.3. Микрофотографии, иллюстрирующие развитие метасоматитов по вторичным кварцитам: (а, б, г, д) – фотографии шлифов, сделанные под микроскопом, все – без анализатора: (а) – кварцит крупнозернистый с субпараллельными трещинами с каолинитом – начало образования метасоматита; (б) – метасоматит разгнейсованный с участками мелкораздробленного реликтоваго кварца в виде полос. В поле зрения – пластинки силлиманита, изометричные агрегаты каолинита; (в) – фото на микрозонде, участок метасоматита существенно каолинитового состава, в котором различаются пластинки силлиманита и в нижней части фотографии – микрообломки реликтового кварца; (г) – микрообломки кварца обволакиваются рудным веществом, местами сгруппированным в скелетные зерна рудного минерала с заключенными в них обломками кварца; (д) – сформированное крупное зерно магнетита в метасоматите в окружении мелкодробленого кварца и с мелкими включениями кварцевых обломков, часть из которых перекристаллизована и имеет вид кристаллов.
Главные минералы, слагающие метасоматиты, – силлиманит, каолинит, а также рудный и реликтовый кварц. Рудный минерал составляет до 15–20%. Определить точное соотношение силлиманита и каолинита не представляется возможным вследствие частичного замещения силлиманита каолинитом и одинакового (наложенное окрашивание тонкодисперсным гематитом) цвета этих минералов. Но местами отчетливо различимы удлиненные тонкие пластинки силлиманита, скопления зерен каолинита (рис. 3б, в). Вследствие вышесказанного, а также из-за меняющегося от шлифа к шлифу соотношения минералов метасоматитов, можно привести только примерный их средний состав: силлиманит – 5–25%, каолинит – 10–60%, рудный минерал – 10–30%, кварц – 30–5%, гематит – дисперсный. По многочисленным замерам на микрозонде (60–70 в пределах каждой пластинки) каолинит преобладает над силлиманитом и является одним из основных минералов метасоматита.
МИНЕРАЛЫ МЕТАСОМАТИТОВ И ИХ ГЕОХИМИЧЕСКАЯ ХАРАКТЕРИСТИКА
Состав минералов на микрозонде определен в пробах 2/1 и 8/1 для кварцитов и в пробах 8/2 и 26/1 для метасоматитов.
Силлиманит. Если в кварцитах преобладающей формой выделения силлиманита являются тонкие кристаллы фибролита, то в метасоматитах наблюдаются более крупные призмы длиной до 0.8–1.2 мм и редко – до 2 мм, которые местами образуют субпараллельные скопления, ориентированные по разгнейсованию породы (рис. 3б). Отмечается замещение силлиманита каолинитом, нередко до образования псевдоморфоз, иногда содержащих реликты силлиманита. В составе силлиманита, определенного во многих кристаллах в разных частях метасоматита, не обнаружено каких-либо примесей, хотя он может содержать примеси титана, железа, магния и кальция (Дир и др., 1965). Силлиманит состоит только из глинозема (56–62 мас.%) и кремнезема (38–44 мас.%). В одной пластинке состав силлиманита определен в нескольких точках по ее длине. Он оказался одинаковым с содержанием глинозема 62 мас.% (табл. 1).
Рудные минералы. Магнетит. В метасоматитах по сравнению с кварцитами количество рудных минералов увеличивается до 15–20%. Помимо мелких зерен титаномагнетита, унаследованных от кварцитов, появляется генерация крупных, вновь образованных зерен размером от 1.2×0.8 до 5×2,5 мм. Форма их несколько удлиненная, ограничения неровные, отдельные – с отростками и ответвлениями (рис. 3д). Состав крупных зерен отвечает магнетиту. Все зерна магнетита содержат множество мелких включений кварца с каолинитовыми каемками (рис. 4а, б). Характерно, что каждое включение кварца в свою очередь содержит небольшие зерна титаномагнетита. В зернах магнетита отмечаются также многочисленные микротрещины. В составе крупных зерен магнетита не обнаружено никаких примесей, хотя известно, что двухвалентное железо в нем может замещаться магнием, а трехвалентное – ванадием, тем более что в метасоматитах довольно высокое содержание ванадия, в 2–11 раз превышающее его количество в кварцитах (табл. 2).
Таблица 1. Химический состав силлиманита из метасоматитов, мас.%
Окислы | 1 | 3 | 5 | 6 | 8 | 9а | 33 | 34а | 36 | 44 |
SiO2 | 38.76 | 39.87 | 37.49 | 37.93 | 42.37 | 44.97 | 41.04 | 42.75 | 43.34 | 38.09 |
Al2O3 | 61.24 | 60.13 | 62.51 | 62.07 | 57.63 | 55.03 | 58.96 | 57.25 | 56.66 | 61.91 |
Примечания. Номера составов соответствуют точкам микрозондных анализов на рис. 3 и 4: 1, 3, 5, 6 – состав силлиманита, определенный микрозондом по длине (1.4 мм) пластинки одного кристалла через равные интервалы; 8, 9а, 33, 34а, 36 – составы отдельных кристаллов силлиманита; 44 – реликтовое зерно силлиманита в заместившем его каолините (состав каолинита 45, см. табл. 3). Составы приведены к 100%.
Таблица 2. Химический состав рудных минералов из метасоматитов и кварцитов, мас.%
Компонент | Метасоматиты | ||||||||||
3а | 6 | 8а | 11 | 22 | 25 | 25а | 26 | 27 | 29 | 30 | |
FeO | 87.38 | 86.85 | 100 | 84.33 | 82.90 | 88.06 | 87.88 | 80.52 | 86.75 | 93.39 | 93.98 |
TiO2 | 12.62 | 13.15 | 15.67 | 17.10 | 11.94 | 6.20 | 19.48 | 13.25 | – | – | |
SiO2 | – | – | – | – | – | – | 0.36 | – | – | 4.42 | 3.46 |
Al2O3 | – | – | – | – | – | – | 5.56 | – | – | 2.19 | 2.51 |
Компо- нент | Метасоматиты | Кварциты | |||||||||
32 | 33а | 37 | 38 | 42 | 51 | 47 | 48 | 54а | 57 | ||
FeO | 84.45 | 85.59 | 85.12 | 100 | 100 | 82.75 | 78.56 | 85.94 | 75.87 | 75.89 | |
TiO2 | 15.55 | 14.41 | 14.88 | – | – | 17.75 | 21.44 | 14.06 | 14.31 | – | |
SiO2 | – | – | – | – | – | – | – | – | – | 8.19 | |
Al2O3 | – | – | – | – | – | – | – | – | 9.82 | 15.91 | |
Примечания. В точках 3а, 6, 26, 27, 32, 47, 48, 54а – мелкие зерна титаномагнетита среди метасоматита; 29, 30 – мелкие зерна магнетита; 8а, 38, 42 – крупные зерна магнетита с включениями кварца: 11, 22, 25, 25а, 33а, 37, 51 – включения кристалликов титаномагнетита в зернах кварца, в свою очередь включенных в крупные зерна магнетита; 57 – лимонит (?) из микротрещины в каолините. Здесь и в табл. 3 прочерк означает отсутствие элемента.
Рис. 4. Микрофотографии метасоматитов (сделаны на микрозонде): (а) – фрагмент крупного зерна магнетита (белое поле), показанного на рис. 3д, с включениями кварца, содержащими мелкие кристаллики титаномагнетита. Зерна кварца имеют каолинитовые каемки и связаны между собой микротрещинами, также выполненными каолинитом; (б) – деталь рис. 4а, на которой кварцевые включения сохранили форму обломков, но приобрели полигональные очертания, в них видны гексагональные кристаллики титаномагнетита, в магнетите – пучки трещин; (в) – фрагмент метасоматита, обогащенного каолинитом с отходящей от него в магнетит системой трещин с каолинитом. В нижней части – пластинка мусковита. На фото, сделанных под микроскопом, кварц имеет белый цвет, магнетит – черный, а на микрозонде – кварц – серый, каолинит – темно-серый, а рудные минералы – белого цвета.
Титаномагнетит является вторым рудным минералом метасоматитов. Зерна его всегда мелкие. Они либо распределены по породе, либо находятся внутри кварцевых включений. В составе большинства зерен титаномагнетита содержится 13–15 мас.% TiO2, а в отдельных из них – до 19–21 мас.%. В ряде кристаллов титаномагнетита присутствуют примеси кремния и алюминия (табл. 2). Как видно из табл. 2, состав титаномагнетита из метасоматита, распределенного по породе и включенного в кварцевые кристаллы, одинаков, и он также одинаков с составом титаномагнетита из кварцитов (табл. 2). Таким образом, можно предполагать, что титаномагнетит метасоматитов унаследован от кварцитов.
Кварц. В метасоматитах отмечается две генерации кварца. Одна – кварц реликтовый, сохранившийся при замещении кварцитов. Он представлен агрегатами микрообломков. Кварц второй генерации – это мелкие зерна, включенные в магнетит. Кварцевые включения имеют две характерные особенности: содержат в себе включения титаномагнетита и окружены тонкими каолинитовыми каемками (рис. 4а, б). В кварце не обнаружено каких-либо примесей.
Каолинит метасоматитов в отличие от кварцитов является преобладающим минералом. Он представлен несколькими морфологическими разновидностями. Чаще присутствует в виде зернистых агрегатов изометричной или удлиненной формы. Цвет его в таких агрегатах серый и иногда почти черный (рис. 3б, г). Нередко каолинит замещает силлиманит: наблюдаются тонкие лейстовидные пластинки, образующие субпараллельные скопления. Это псевдоморфозы каолинита по силлиманиту. На микрозонде в таком агрегате сделано 8 замеров состава каолинита через равные промежутки по микроразрезу, перпендикулярному удлинению пластинок. Установлено, что в агрегате имеет место закономерное чередование каолинита одинакового состава и кварца (табл. 3). Каолинит заполняет микротрещины, особенно развитые в магнетите, а также обволакивает кварцевые включения. Это, вероятно, наиболее поздние проявления каолинита. Каолинит обогащен глиноземом (43–44 мас.%). В составе этого минерала из метасоматитов по сравнению с кварцитами количество глинозема на 3–5 мас.% более высокое. В каолините обеих пород отмечаются примеси калия, натрия и железа. Каолинит метасоматитов в отличие от кварцитов в 3–4 раза богаче каждым из этих элементов. Железо, вероятно, изоморфно замещает алюминий, а калий и натрий присутствуют как адсорбированные (обменные) катионы или в качестве механической примеси (Дир и др., 1966). Наиболее высокой примесь железа оказалась в каолините из псевдоморфозы по силлиманиту (8 мас.%) и в трещине мусковита (7 мас.%). Характерно, что примеси в каолините из разных участков породы распределены неравномерно, что, вероятно, свидетельствует об относительной длительности формирования метасоматитов.
Таблица 3. Химический состав каолинита из кварцитов и метасоматитов, мас.%
Компо- нент | Кварциты | |||||||||
41 | 45 | 49 | 51 | 59 | 61 | 63 | 68 | 70 | 72 | |
SiO2 | 58.32 | 58.34 | 57.26 | 60.50 | 58.63 | 57.49 | 60.12 | 57.60 | 58.49 | 56.21 |
Al2O3 | 41.68 | 41.16 | 38.45 | 39.50 | 41.37 | 40.87 | 38.03 | 40.50 | 39.64 | 42.27 |
K2O | – | 0.46 | 3.47 | – | – | 1.64 | 1.85 | – | 0.11 | – |
Na2O | – | – | 0.81 | – | – | – | – | – | – | – |
FeO | – | – | – | – | – | – | – | 1.89 | 1.76 | 1.52 |
Компо- нент | Метасоматиты | |||||||||
7 | 9 | 17 | 18 | 21а | 23 | 34 | 35 | 58 | 62 | |
SiO2 | 52.50 | 57.12 | 56.10 | 53.17 | 55.21 | 52.40 | 55.76 | 56.26 | 53.63. | 54.09 |
Al2O3 | 39.22 | 42.87 | 43.90 | 40.09 | 44.09 | 41.43 | 44.24 | 43.74 | 38.99 | 37.72 |
K2O | – | – | – | – | 0.70 | 0.89 | – | – | 1.63 | 5.30 |
Na2O | – | – | – | – | – | 5.28 | – | – | 5.76 | 2.89 |
FeO | 8.28 | – | – | 6.75 | – | – | – | – | – | – |
Примечания. Точки 41, 45, 49, 51, 72 – каолинит по границам кварцевых зерен; 59, 61, 63 – замеры по микроразрезу, секущему псевдоморфозу каолинита по силлиманиту; 68 – состав каолинита кверху и книзу – 70 от микроразреза; 7, 21а – псевдоморфозы по силлиманиту; 17, 18, 23 – из трещин в мусковите и кварце; 9, 34 – каемки вокруг кварца, включенного в магнетит; 35 – из трещин в крупных зернах магнетита; 58, 62 – из агрегатов каолинита в метасоматите.
Таким образом, каолинит появляется уже в субстрате метасоматитов – кварцитах, отлагаясь по границам кварцевых зерен и в рассекающих зерна трещинах, а также – замещая силлиманит. Наибольшее его количество отмечается в метасоматитах. На заключительных стадиях становления метасоматита каолинит наиболее богат глиноземом и примесями, среди которых преобладает железо (табл. 3).
Мусковит в метасоматитах наблюдается в виде единичных, но относительно крупных (около 2×1 мм) пластинок. Отдельные из них содержат небольшие зерна магнетита, что свидетельствует о позднем образовании мусковита. В составе мусковита много железа (5%), и это вдвое больше, чем в мусковите кварцитов (табл. 4). По трещинам в мусковите также отлагается каолинит.
Акцессорные минералы метасоматитов представлены цирконом и монацитом. В одном из зерен монацита определен состав (мас.%): P2O5 – 36.67, СаО – 1.68, Аg2O – 2.93, La2O3 – 16.50, Ce2O3 – 30.54, Nd2O3 – 11.68. Как видно из приведенных цифр, монацит из метасоматита имеет довольно высокие примеси серебра и неодимия.
Таблица 4. Химический состав мусковита из кварцита и метасоматита, мас.%
Окислы | 43 | 43а | 46 | 41 |
SiO2 | 52.72 | 52.31 | 54.13 | 52.90 |
Al2O3 | 31.37 | 31.52 | 37.32 | 30.84 |
FeO | 3.07 | 2.90 | 2.26 | 5.02 |
MgO | 1.25 | 0.70 | – | – |
K2O | 11.59 | 11.63 | 6.29 | 11.25 |
Na2O | – | 0.94 | – | – |
Примечания. В точке 41 – мусковит из метасоматита, в остальных точках – из кварцита.
Как образовались двойные минеральные включения в магнетите?
В крупных зернах магнетита наблюдается множество включений кварца, почти в каждом из которых в свою очередь содержатся очень мелкие кристаллы титаномагнетита. При этом все включения кварца в магнетите «одеты в рубашки» као-линита (рис. 4а, б). Как образовались подобные взаимоотношения минералов? Ответ находим при наблюдениях в шлифах. Кварцит – крупнозернистая порода с размером зерен до 5×3 мм. Тектоническое воздействие, вызвавшее появление в кварцитах линейных зон трещиноватости, привело к раздроблению кварцитов в этих зонах. В шлифах метасоматитов видно, что реликтовые зерна кварца, унаследованные от кварцитов, превращены в агрегаты микрообломков размером от менее 0.1 мм до 0.1–0.5 мм. Промежутки между микрообломками заполнены рудным веществом, появление которого связано с поступлением растворов, обогащенных железом. Отмечается сегрегация рудного вещества в более крупные образования неправильной, скелетной формы (рис. 3г, д). Пропитывание породы растворами способствует кристаллизации, так что имеет место постепенное разрастание рудного вещества. И в шлифах можно видеть как скелетные формы рудного минерала – магнетита, так и крупные его зерна, в которых сохраняются микрообломки кварца (рис. 3г, д; 4а, б). На рисунках 4а и 4б видно, что бо`льшая часть микрообломков перекристаллизована и приобрела полигональные ограничения, а ряд из них имеет вид гексагональных кристаллов. Вместе с тем часть кварцевых включений сохраняет неправильную, несколько удлиненную или угловатую форму обломков, хотя и приобрела полигональные очертания. В левой нижней части рис. 4а видны неперекристаллизованные кварцевые микрообломки. Включения титаномагнетита в кварцевых включениях мелки, различимые только при большом увеличении. Обычно они представлены изометричными полигонально ограненными кристалликами, хотя наблюдаются и таблитчатые или неправильные зерна. Обращает внимание незакономерное расположение их в кварцевых зернах – по краю его или в центре. В ряде зерен кварца включено два и даже три кристаллика титаномагнетита. Подобные кристаллы титаномагнетита отмечаются в зернах кварца кварцитов, и, наиболее вероятно, они являются унаследованными от кварцитов. Возможно, эти зерна титаномагнетита служили затравкой при перекристаллизации кварцевых микрообломков.
Как попадал каолинит внутрь крупных зерен магнетита? В шлифах видно, что зерна магнетита разбиты системой субпараллельных микротрещин, расположенных под углом к разгнейсованию породы, а также оперяющими их микротрещинами или пучками трещин (рис. 4а, б, в). Как видно на фотографиях, трещины объединяют между собой все кварцевые включения и являются проводниками для растворов, обогащенных алюминием и кремнием, способствовавшим образованию каолинитовых каемок вокруг кварцевых включений. Сами трещины также выполнены каолинитом.
ГЕОХИМИЧЕСКАЯ ХАРАКТЕРИСТИКА ПОРОД
Петрогенные элементы
Главными петрогенными элементами метасоматитов являются кремний, алюминий и железо. Последнее присутствует и в закисной, и в преобладающей окисной форме. Количество кремнезема варьирует от 60 до 80 мас.%, величина глинозема – от 16 до 23 мас.% и на начальных стадиях образования метасоматита составляет 12 мас.% (табл. 5). В кварцитах, как видно из табл. 5, бо`льшая часть их состава, до 96 мас.%, приходится на кремнезем, глинозем содержится в количестве 1.4–5.2 мас.%, что существенно ниже (в 5–12 раз), чем в метасоматитах. Щелочные элементы – калий и натрий – составляют сотые доли % в кварцитах, в метасоматитах их количество тоже невелико, не достигает целых процентов, тем не менее в 2–5 раз более высокое. При этом содержание калия несколько преобладает над натрием. Обе породы резко обеднены магнием и кальцием. Количество титана незначительно в обеих породах, но в метасоматитах его больше. Обращает внимание соотношение закисного и окисного железа, а именно: в кварцитах окисное железо практически отсутствует (<1 мас.%), а в метасоматитах на его долю приходится 2.4–6.7 мас.%. Но кварциты отличаются от метасоматитов примерно вдвое большим количеством закисного железа. Приведенное соотношение компонентов в метасоматитах и их субстрате – кварцитах – объяснимо набором, количеством и составом слагающих их минералов. К примеру, обогащенность метасоматитов окисным железом, очевидно, вызвана большим содержанием в них магнетита.
Элементы-примеси
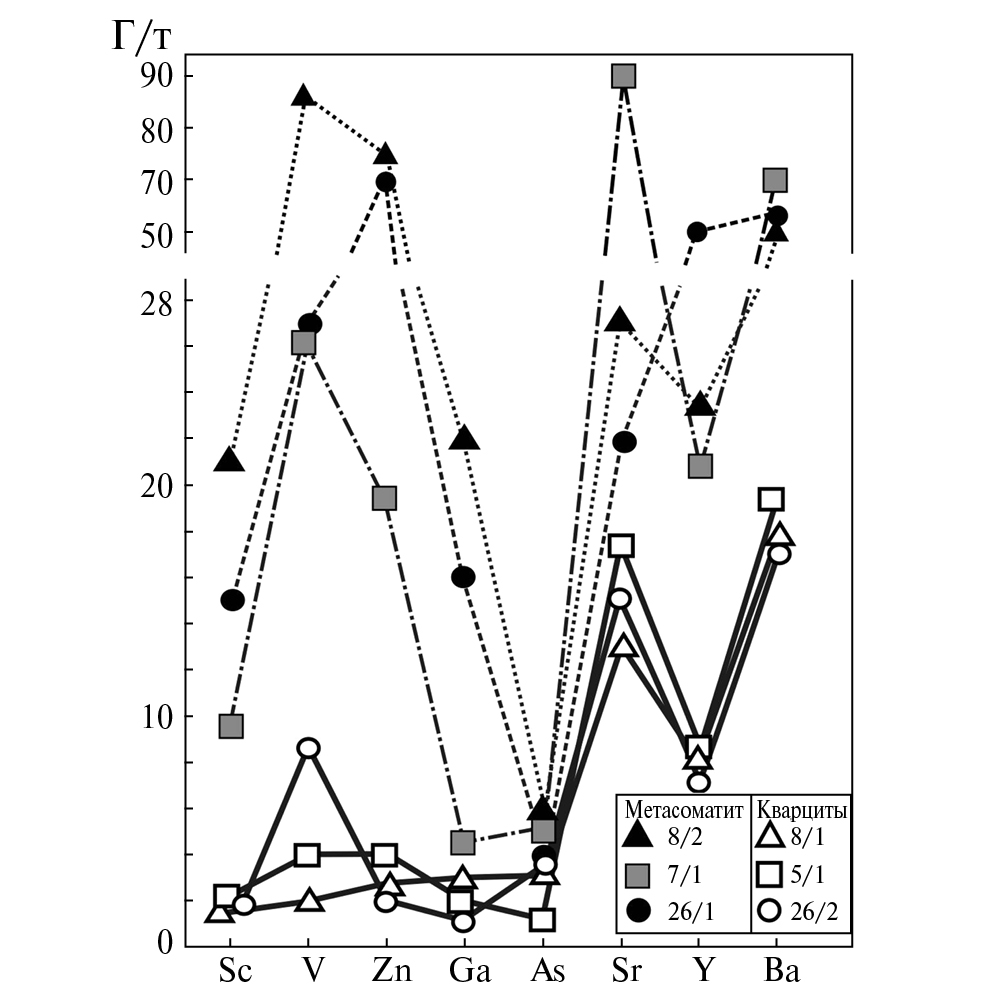
В изученных породах – кварцитах и метасоматитах – определено содержание большой группы элементов-примесей. При сравнении количества этих элементов в метасоматитах и кварцитах установлено, что метасоматиты значительно (в 3–10 раз) обогащены рядом элементов. Особенно высоким содержанием отличается Zr (146-199 г/т). В метасоматитах также больше V, Zn, Ba, Sr, Ga, As, Y. При этом отмечается несколько варьирующее содержание отдельных элементов в разных пробах метасоматитов. Для кварцитов, напротив, характерно довольно однородное распределение этих элементов (табл. 5; рис. 5).
Рис. 5. Соотношение элементов-примесей в кварцитах и метасоматитах.
Таблица 5. Представительные анализы вторичных кварцитов и метасоматитов острова Большой Тютерс
Компонент | Кварциты | Метасоматиты | |||||||||
2/1 | 5/1 | 8/1 | 26/2 | 26/3 | 12/2 | 12/3 | 7/1 | 8/2 | 26/1 | 27/1 | |
SiO2 | 90.49 | 93.91 | 96.06 | 94.02 | 94.73 | 94.44 | 87.59 | 80.29 | 60.73 | 66.86 | 75.11 |
TiO2 | 0.27 | 0.07 | 0.04 | 0.19 | 0.09 | 0.1 | 0.19 | 0.28 | 0.67 | 0.80 | 0.49 |
Al2O3 | 5.24 | 3.05 | 1.41 | 2.18 | 2.70 | 2.57 | 8.24 | 12.57 | 23.51 | 20.48 | 16.05 |
FeO | 1.50 | 2.37 | 1.88 | 2.92 | 1.61 | 0.96 | 1.78 | 0.90 | 1.10 | 1.39 | 0.56 |
Fe2O3 | 1.03 | <0.01 | <0.01 | <0.01 | 0.04 | 0.72 | 0.29 | 2.43 | 6.77 | 5.12 | 3.06 |
MnO | 0.02 | 0.02 | 0.02 | 0.02 | 0.02 | 0.02 | 0.02 | 0.02 | 0.02 | 0.02 | 0.02 |
MgO | 0.08 | 0.08 | 0.08 | 0.06 | 0.05 | 0.22 | 0.12 | 0.10 | 0.11 | 0.23 | 0.11 |
CaO | 0.06 | 0.07 | 0.06 | 0.06 | 0.06 | 0.14 | 0.08 | 0.07 | 0.08 | 0.09 | 0.06 |
K2O | 0.07 | 0.10 | 0.03 | 0.19 | 0.27 | 0.28 | 0.07 | 0.20 | 0.35 | 0.27 | 0.50 |
Na2O | 0.02 | 0.02 | 0.00 | 0.12 | 0.11 | 0.14 | 0.08 | 0.11 | 0.36 | 0.33 | 0.16 |
Р2О5 | 0.03 | 0.02 | 0.02 | 0.02 | 0.02 | 0.03 | 0.03 | 0.04 | 0.02 | 0.03 | 0.03 |
Ппп | 1.01 | 0.20 | 0.28 | 0.12 | 0.12 | 0.3 | 1.55 | 2.89 | 6.16 | 4.22 | 3.81 |
Сумма | 99.83 | 99.90 | 99.89 | 99.90 | 99.82 | 99.89 | 99.85 | 99.90 | 99.89 | 99.85 | 99.95 |
S | <0.001 | <0.001 | <0.001 | <0.001 | <0.001 | <0.001 | <0.001 | <0.001 | <0.001 | <0.001 | <0.001 |
Sc | 5.7 | <2.0 | <2.0 | 1.7 | 2.1 | 1.8 | 4.3 | 10 | 21 | 15 | <2.0 |
V | 11 | 3.5 | 2.6 | 8.9 | <2.5 | 5.2 | 14.3 | 26 | 86 | 37 | 21 |
Cr | 55 | 78 | 69 | 95 | 53 | 20 | 15 | 52 | 98 | 65 | 44 |
Co | 3.4 | 3.2 | 4.0 | 3.5 | 2.8 | 0.98 | 1.8 | 3.9 | 6.4 | 15 | 4.0 |
Ni | 17 | 14 | 13 | 16 | 12 | 6.1 | 9.2 | 16 | 29 | 48 | 24 |
Cu | 19 | 22 | 18 | 20 | 16 | 14.4 | 4.7 | 14 | 23 | 11 | 13 |
Zn | 7.2 | 4.1 | 2.9 | 3.6 | 2.7 | - | - | 20 | 66 | - | - |
Ga | <2.0 | <2.0 | <2.0 | <2.0 | ,2.0 | 2.26 | 7.3 | 4.9 | 22 | 16 | 9.0 |
As | 2.4 | 1.2 | 2.6 | 4.4 | 4.2 | - | - | 5.2 | 5.2 | 4.0 | 3.4 |
Rb | 7.6 | 5.5 | 3.0 | 12 | 15 | 28 | 3.9 | 18 | 31 | 16 | 28 |
Ва | <20 | <20 | <20 | <20 | <20 | 14 | 9 | 27 | 49 | 34 | <20 |
Sr | 15 | 18 | 13 | 15 | 15 | 6.2 | 5.2 | 89 | 38 | 23 | 16 |
Y | 19 | 8.6 | 8.0 | 8.5 | 7.1 | 7.3 | 6.8 | 21 | 24 | 32 | 29 |
Zr | 117 | 50 | 38 | 55 | 34 | 30 | 68 | 87 | 178 | 199 | 146 |
Nb | 6.4 | 3.3 | 3.0 | 6.3 | 3.7 | 2.3 | 5.5 | 7.2 | 15 | 13 | 12 |
Mo | 3.6 | 3.7 | <2.0 | 5.0 | 5.2 | 1.76 | 0.64 | 3.8 | 2.6 | <2.0 | 2.1 |
Th | 7.8 | 3.3 | 1.2 | 4.8 | 2.0 | 2.73 | 6.87 | 8.8 | 16 | 16 | 16 |
U | <2.0 | <2.0 | <2.0 | <2.0 | <20 | 0.91 | 2.93 | <2.0 | 5.2 | 2.4 | 2.3 |
Pb | 3.9 | 86 | 3.2 | 4.6 | 4.6 | 2.8 | 4.0 | 5.5 | 6.9 | 8.7 | 6.2 |
Примечания. Окислы – в мас.%, элементы-примеси – в г/т. Прочерк – элемент не определялся.
Редкоземельные элементы (РЗЭ). В кварцитах (пр. 12/2) и метасоматитах (пр. 12/3) определен весь спектр редкоземельных элементов. Согласно полученным данным, содержание каждого элемента в метасоматитах в 2–2.5 раза более высокое, чем в кварцитах, и, соответственно, больше их суммарное количество. В литературе нередко отмечается положительная корреляция суммы РЗЭ, а также количества La, Yb, Hf, Tb с содержанием Zr в породе (Расс и др., 2012). Это подтверждается высоким содержанием и Zr (146-199 г/т), и суммы РЗЭ (84.6 г/т) в метасоматитах по сравнению с кварцитами (Zr=38-50 г/т, ∑РЗЭ=34.96 г/т). РЗЭ характеризуются достаточно умеренной дифференциацией в обеих породах ((La/ Yb) n=6.17, 6.55), существенно низкой для ТРЗЭ ((Tb/ Yb) n= 0.98, 1.10) и несколько более высокой для ЛРЗЭ ((La / Sm) n=4.05, 4.22). Eu-аномалия у обеих пород отрицательная, что связано с отсутствием в их составе плагиоклаза и чрезвычайно низким содержанием кальция (0.06–0.09 мас.%) (табл. 6; рис. 6). Отмечается одинаковый характер фракционирования РЗЭ и метасоматитов, и их субстрата – кварцитов.
ОБСУЖДЕНИЕ РЕЗУЛЬТАТОВ
Среди вторичных кварцитов о. Большой Тютерс присутствуют метасоматиты необычного силлиманит-магнетит-каолинитового состава. Обе породы имеют одинаковый набор минералов, которые различаются в них по количеству, соотношению между собой и по составу. Магнетит метасоматитов представлен крупными зернами, содержащими двойные минеральные включения. Породы подобного типа в литературе нами не найдены.
Таблица 6. Содержание РЗЭ в кварците (12/2) и метасоматите (12/3), г/т
Элемент | Образец | |
12/2 | 12/3 | |
La | 7.3 | 17.3 |
Ce | 14.3 | 34.0 |
Pr | 1.7 | 4.5 |
Nd | 6.0 | 15.2 |
Sm | 1.21 | 2.99 |
Eu | 0.16 | 0.44 |
Gd | 1.18 | 2.77 |
Tb | 0.20 | 0.45 |
Dy | 1.19 | 2.67 |
Ho | 0.24 | 0.58 |
Er | 0.66 | 1.66 |
Tm | 0.10 | 0.25 |
Yb | 0.63 | 1.59 |
Lu | 0.09 | 0.24 |
Σ | 34.96 | 84.64 |
(La/Yb)n | 6.55 | 6.17 |
Широко известна приуроченность железо-глиноземистых метасоматитов к вторичным кварцитам, но глиноземистые минералы в них другие, чем в изученных метасоматитах. Они представлены корундом, алунитом, диаспором, диккитом, дюмортьеритом, андалузитом. Только единичные зерна андалузита встречены среди рассмотренных пород. Метасоматиты по существенному содержанию в них каолинита и глинозема (до 23 мас.%) похожи на высокоглиноземистые коры выветривания. Геологические тела кор выветривания могут быть как площадными, так и в виде линейных зон (Разу-мова, 1977). Линейными зонами представлены и рассматриваемые метасоматиты. Для кор выветривания, как известно, неотъемлемым процессом является дезинтеграция субстрата, т.е. исходных пород, по которым они развиваются. Образование метасоматитов также связано с появлением в кварцитах зон тектонических нарушений и последующим растрескиванием кварцитов в пределах этих зон. Метасоматиты, несмотря на сходство с корами выветривания, имеют ряд признаков, заметно отличающих их от этих пород. Приведем эти признаки. Коры выветривания и их субстрат сложены различающимися минералами. Минералы субстрата, испытавшие физическое и химическое (гидротация, окисление и др.) воздействие, разрушаются и заменяются новыми, которые почти всегда содержат воду, как гигроскопическую, так и конституционную (Рычагов, 2006). Вместе с тем метасоматиты и их субстрат – кварциты – имеют одинаковый набор минералов: кварц, силлиманит, мусковит, рудные минералы и каолинит. Появление силлиманита в кварцитах, возможно, связано с глиноземом, высвобождающимся при кислотном выщелачивании биотитовых плагиогнейсов, приведшим к образованию кварцитов (Терехов и др., 2017). В этой же статье приводятся данные о температуре (375°С), полученной при изучении флюидных включений из кварца кварцитов. При такой температуре, вероятно, кристаллизовался и кварц кварцитов, и силлиманит, который чаще наблюдается в виде фибролита. По данным других геологов (Мишин, Бердников, 2003), вторичные кварциты образуются в интервале температур 250–500°С и рН среды минералообразования = 1–2 (рис. 7). Как отмечается многими исследователями (Наковник, 1964; Зарайский, 1989, Мишин; Бердников, 2003), во вторичных кварцитах наиболее характерным минералом является андалузит наряду с диаспором, серицитом, гематитом, сульфидами. Отметим, что именно андалузит, а не его более высокотемпературная модификация силлиманит наблюдается во вторичных кварцитах. Вместе с тем в изученных вторичных кварцитах и в развивающихся по ним метасоматитах присутствует силлиманит.
Рис. 6. Распределение нормированных по хондриту содержаний редкоземельных элементов во вторичном кварците и метасоматите.
Рис. 7. Расположение пород разного типа на диаграмме Т°С – рН. 1 – грейзены, 2 – кварц-полевошпатовые метасоматиты, 3 – скарны, 4 – щелочные метасоматиты, 5 – вторичные кварциты, 6 – березиты, 7 – гумбеиты, 8 – пропилиты, 9 – аргиллиты (по Мишину, Бердникову, 2003).
Силлиманит – высокотемпературный минерал глинистых пород высоких ступеней метаморфизма. Экспериментально силлиманит был получен из каолинита в присутствии фтора при Т 900°С и Р 10 кбар (Coes, 1955). Но другими учеными еще раньше (Balconi, 1941; Michel-Levy, 1950) пучки тонких игл силлиманита были получены при Т 400–450°С и P водяного пара 50 бар. В эксперименте была использована смесь Al2O3 и SiO2 c добавлением буры и MgO. В природных условиях помимо высокотемпературного метаморфического силлиманита известны его находки в кварцевых жилах, пегматитах, метасоматитах, где температура образования этого минерала значительно ниже температуры, свойственной силлиманиту метаморфических пород. Предполагаем, что в изученных метасоматитах силлиманит, присутствующий в основном в форме фибролита, образовался при температуре около 400°С.
Еще одна особенность для кор выветривания в том, что в них всегда присутствуют сульфиды, а среди компонентов во флюидах – сера. Полученные нами определения серы и в метасоматитах, и в кварцитах составляют менее 0.001–0.001 мас.%. Среди рудных минералов и в кварцитах, и в метасоматитах не обнаружено ни одного зерна сульфидов, хотя на микрозонде сделано около 50 замеров состава рудных образований. Наиболее распространенным минералом метасоматитов после каолинита является магнетит, содержащий двойные минеральные включения.
Магнетит – широко распространенный минерал. Он встречается и как породообразующий, и как акцессорный в породах разного генезиса, и температура его образования в разных породах различная. К примеру, магнетит околорудных скарновых месторождений Урала кристаллизуется при Т 400–450°С, по данным изучения газово-жидких включений (Утенков, Ежов, 2010). Вероятно, при температуре около 400°С образовался и магнетит метасоматитов. Но для образования магнетита помимо температуры важна также кислотность-щелочность среды минералообразования (Маракушев, 1988).
Важной составляющей метасоматитов является каолинит. Если магнетит может входить в состав пород разного генезиса, то каолинит – типичный минерал осадочных пород. Он образуется при гидротермальных процессах и при выветривании полевых шпатов, слюд и других алюмосиликатов из пород обычно кислого и среднего состава (Рычагов, 2006). Но в субстрате рассматриваемых метасоматитов нет полевых шпатов, а содержание других алюмосиликатов очень незначительно. Вместе с тем каолинит является преобладающим минералом изученных метасоматитов. Он не только образует самостоятельные зерна и агрегаты, отлагается в трещинах, обволакивает кварцевые включения в магнетите, но и замещает силлиманит, мусковит. Обогащенность метасоматитов каолинитом свидетельствует о значительном привносе растворами глинозема. Работы по синтезу минералов показали, что низкие температура и давление и кислый состав флюидов наиболее благоприятны для образованиюя каолинита. Согласно экспериментальным исследованиям (Зарайский, 1989), при метасоматозе каолинит образуется при температуре 300°С и воздействии не только сильно кислых, но и умеренно кислых растворов. Для метасоматита характерно присутствие мелкодисперсного гематита, что следует из красновато-бурой окраски породы. Появление водных растворов, обогащенных железом, и смена кислотных условий на щелочные приводят к образованию рудных минералов, в том числе и гематита.
Таким образом, рассмотренные железо-глиноземистые метасоматиты возникли под воздействием флюидов, обогащенных глиноземом. К примеру, гигантские месторождения корундитов в Центральном Казахстане (Наковник, 1964) не могут быть результатом локального перераспределения глинозема. Наиболее вероятно, что образование корунда связано с поступлением глинозема из внешнего источника. Формирование вторичных кварцитов о. Большой Тютерс обусловлено кислотным выщелачиванием метаморфических пород, которые приурочены к аномальной тектонической структуре с повышенным давлением и проявлением кислого магматизма в зоне аккомодации рифтовой системы. Появление силлиманита в метасоматитах, ассоциирующих с кварцитами, возможно, связано с повышенным давлением в этой зоне.
ВЫВОДЫ
Железо-глиноземистые метасоматиты слагают протяженные линейные зоны во вторичных кварцитах. Образование метасоматитов связано с интенсивным раздроблением кварцитов и последующим привносом флюидами вещества, содержащего различные компоненты (кроме серы) и обогащенного железом и глиноземом. В результате появились глиноземистые и рудные минералы – силлиманит, магнетит, каолинит, которые являются главными минералами метасоматитов.
Метасоматиты по набору минералов не отличаются от их субстрата – кварцитов, но различаются количественными соотношениями и составом минералов. Рудный минерал кварцитов – преимущественно титаномагнетит, а в метасоматитах преобладает магнетит. Метасоматиты обогащены глиноземом – 16–23 мас.% против 3–5 мас.% этого окисла в кварцитах. В метасоматитах преобладает окисное железо, а в кварцитах – закисное.
Метасоматиты по сравнению с кварцитами содержат существенно больше ЛРЗЭ. Особенно в них много Се (34 г/т), La (17 г/т), Gd (3 г/т). РЗЭ обеих пород слабо и примерно одинаково фракционированы ((La/Yb)n=6.55 и 6.17). Из других элементов-примесей в метасоматитах отмечается высокое содержание Zr, V, Sc, Zn, Sr, Y, Ba, а в акцессорном монаците содержится до 12 мас.% Nd2O3 и около 3 мас.% Ag2 O.
Особый интерес в метасоматитах представляет магнетит – крупные зерна с двойными минеральными включениями. Включения представлены кристалликами кварца, часть из которых сохранила угловатую форму обломков. Каждое включение кварца в свою очередь содержит один (а иногда и два-три) кристаллика титаномагнетита.
Отмечается полистадийный характер образования силлиманит-магнетит-каолинитовых метасоматитов. Имеет место три этапа метасоматичесого процесса. 1. Формирование вторичных кварцитов, которое обусловлено кислотным выщелачиванием подстилающих плагиогнейсов. Состав кварцитов: кварц (около 90%), титаномагнетит, силлиманит, мусковит, каолинит. 2. В дальнейшем происходит замещение кварца кварцитов, связанное с привносом растворами железа и глинозема. Кристаллизуется большое количество зерен магнетита, увеличивается содержание силлиманита и каолинита. На этом этапе происходит изменение состава растворов и кислотности-щелочности по сравнению с этапом образования вторичных кварцитов. 3. Далее в метасоматитах интенсивно развивается каолинит. Он образует не только самостоятельные зерна и агрегаты, но проникает по трещинам внутрь зерен магнетита и обволакивает содержащиеся в нем кварцевые включения, отлагается по трещинам, замещает мусковит и силлиманит, то есть на этой стадии растворы обогащены глиноземом, а среда минералообразования имеет существенно кислый характер.
Таким образом, эти три стадии метасоматического процесса характеризуются и различающимся составом растворов, и различной кислотностью-щелочностью среды минералообразования. Развитие метасоматитов в линейных зонах, дезинтеграция их субстрата, большое содержание каолинита – все это придает породам сходство с корами выветривания. Но одинаковый набор минералов в метасоматите и его субстрате, полное отсутствие сульфидов и серы, присутствие магнетита с двойными минеральными включениями – такие особенности заметно отличают изученные метасоматиты от классических кор выветривания.
Благодарности
Авторы благодарят к.г-м.н. В.А. Утенкова (МГРИ-РГГРУ) за помощь в диагностике минералов и выражают глубокую признательность Российскому географическому обществу за организацию комплексной экспедиции на о. Б.Тютерс и Генеральному спонсору Публичному акционерному обществу «Федеральная сетевая компания Единой энергетической системы» за помощь в проведении экспедиционного сезона РГО 2015г.
Источник финансирования
Работа выполнена при поддержке гранта РФФИ 18 05 00485 и Проекта 0135-2018-0040 Программы Президиума РАН №19.
About the authors
T. F. Shcherbakova
Geological Institute of RAS
Author for correspondence.
Email: tomfed@ilran.ru
Russian Federation, Moscow, Pyzhevsky lane, 7
E. N. Terekhov
Geological Institute of RAS
Email: tereh@ilran.ru
Russian Federation, Moscow, Pyzhevsky lane, 7
References
- Валеев Р.Н. (1978) Авлакогены Восточно-Европейской платформы. М: Недра,152 с.
- Дир А.Д., Хауи Р.А., Зусман Дж. (1965) Породообразующие минералы. Т.1. М.: Мир, 371 с.
- Дир А.Д., Хауи Р.А., Зусман Дж. (1966) Породообразующие минералы. Т.3. М.: Мир, 316 с.
- Зарайский Г.П. (1989) Зональность и условия образования метасоматических пород. М.: Наука, 338 с.
- Маракушев А.А. (1988) Петрология. М.: Изд-во МГУ, 307 с.
- Мишин Л.Ф., Бердников Н.В. (2003) Вторичные кварциты и их рудоносность. Хабаровск: Изд-во ДВО РАН, 160 с.
- Наковник Н.И. (1964) Вторичные кварциты СССР и связанные с ними месторождения полезных ископаемых. М.: Недра, 338 с.
- Разумова В.Н. (1977) Древние коры выветривания и гидротермальный процесс. М.: Наука, 156 с.
- Расс И.Т., Козловский В.М., Корпечков Д.И., Ножевник В.М. (2012) Геохимия метабазитов Красной губы, Беломорский подвижный пояс. ДАН 442 (2), 233-238.
- Рычагов Г.И. (2006) Общая геоморфология. М.: Изд-ство МГУ, 260 с.
- Терехов Е.Н., Макеев Д.А., Панфилов И.П., Щербакова Т.Ф., Балуев А.С., Ермолаев Б.В. (2017) О природе вторичных кварцитов острова Большой Тютерс (Финский залив), Россия. Литосфера (6), 34-56.
- Утенков В. А., Ежов С.В. (2010) Зональные скарны Песчанского месторождения железа (Средний Урал). Геология и разведка (1), 27-33.
- Balconi N. (1941) Sintesi della sillimanite. Rend. Soc. Min. Ital. 1 (30), 9-284.
- Coes L.Jr. (1955) High pressure minerals. Journ. Am. Ceram. Soc. 38, 298.
- Michel-Levy M.C. (1950) Reproduction artificielle de la sillimanite. Compt. Rend. Acad.Sci. Paris 230, 2213.
Supplementary files









