The new Massadou diamondiferous kimberlite field in Guinea
- Authors: Afanasiev V.P.1, Nikolenko E.I.1, Glushkova N.V.1,2, Zolnikov I.D.1,2
-
Affiliations:
- Institute of Geology and Mineralogy, Siberian Branch of the Russian Academy of Sciences
- Novosibirsk State University
- Issue: Vol 61, No 4 (2019)
- Pages: 92-100
- Section: Articles
- URL: https://journals.eco-vector.com/0016-7770/article/view/15635
- DOI: https://doi.org/10.31857/S0016-777061492-100
- ID: 15635
Cite item
Full Text
Abstract
A new kimberlite field, called Massadou, has been discovered in southeastern Guinea near Macenta city. The field consists of numerous ~1 m thick kimberlite dikes with low diamond contents; altogether 16 dikes have been found so far. Mineralization occurs along a 600 m wide zone distinct in satellite images, which is oriented in the same way as the K4 kimberlite reported by Huggerty. The Massadou kimberlite is covered by a thick laterite weathering profile. Main kimberlite indicator minerals found in the area are pyrope, chromite, and ilmenite. The latter occurs as zoned grains with a high-Fe core (hemoilmenite) surrounded by a parallel-columnar aggregate in the rim. The aggregate has a composition of ordinary kimberlitic Mg ilmenite and results from interaction of hemoilmenite with the kimberlite melt. The kimberlite age is estimated as 140—145 Ma by analogy with the surrounding fields. The dikes independent products of kimberlite magmatism in the Guinea-Liberia shield rather than being roots of pipes as interpreted by Skinner (2004). Therefore, the erosion cutout is moderate, and there are no reasons to expect the presence of large and rich diamond placers.
Full Text
ВВЕДЕНИЕ
Новое кимберлитовое поле на территории Гвинеи, названное нами Массаду, найдено в 2000–2007 гг. в юго-восточной части страны в 20 км к югу от города Мацента в районе деревни Массаду на концессионной площади компании SOREM (фиг. 1). C начала 1990-х годов местное население на этой территории добывало алмазы из аллювиальных россыпей. В 1997 г. компания SOREM также начала отработку аллювиальной россыпи по реке Товабо, а в 2000 г. при отработке россыпи на дне реки была найдена первая кимберлитовая дайка (Некос, 2003). В 2005 г. в течение трех с половиной месяцев нами проводились региональные поисковые работы с использованием шлихового опробования для определения контуров кимберлитового поля и его внутренней структуры. В ходе этих работ было найдено пять новых кимберлитовых тел в форме даек. В течение трех месяцев 2006 г. при детальных поисках обнаружены еще три кимберлитовые дайки, из которых одна локализована и подготовлена для вскрытия под мощным слоем латерита. Найденные дайки пересечены траншеями в 2–3 местах, но не прослежены на всем протяжении. Они перекрыты аллювием или латеритом мощностью 2–5 м; слой латерита над кимберлитом может быть значительно больше. Всего сейчас на территории поля Массаду нами найдено 16 кимберлитовых даек, локализованных в пределах рудоконтролирующей зоны шириной 600 метров в долинах рек Товабо и Бобико, которые контролируются той же тектонической зоной. Результаты наших исследований изложены ниже.
МЕТОДИКА РАБОТ
Основным методом поисков был минералогический метод – опробование русловых и склоновых отложений с помощью стандартного деревянного лотка. В ходе поисковых работ нами разработана специальная методика опробования по латеритам, которая позволяла получать несколько десятков продуктивных проб за световой день. Основным минералом в шлиховом материале оказался белый кварц из гранито-гнейсов, на фоне которого хорошо видны красный пироп и черный ильменит. Это позволяло в вечернее время быстро просматривать шлихи, получая представление об опробованной площади, что обеспечивало высокую производительность и информативность этих работ. Индикаторные минералы кимберлитов извлекались вручную и позднее исследовались в лаборатории обычными методами – при помощи микрорентгеноспектрального анализа и сканирующей электронной микроскопии.
В поисковых работах нами использовалась также цифровая модель рельефа (ЦМР) открытого доступа SRTM (Shuttle radar topographic mission), построенная на основе радарной топографической съемки Земли из космоса. На изученной территории пространственное разрешение (размер пикселя) составляет 90 м, погрешность по абсолютной высоте не более 3 м. На основе ЦМР была построена теневая модель рельефа – изображение с эффектом светотеневой пластики, учитывающей заданную высоту и азимут солнца. На теневой модели рельефа с азимутом освещенности в 150° хорошо подчеркиваются линеаменты восток-северо-восточной ориентировки (70°–80°), которые маркированы ложбинами, выработанными по латеритам, уязвимым для эрозионных процессов. Дешифрирование рудоконтролирующих структур на мультиспектральных космических снимках среднего пространственного разрешения затруднительно из-за сплошного покрытия территории густой растительностью, поэтому они использовались меньше.
РЕЗУЛЬТАТЫ ИССЛЕДОВАНИЙ. МИНЕРАЛОГИЧЕСКИЕ ОСОБЕННОСТИ КИМБЕРЛИТОВ
Фиг. 1. Обзорная карта района работ.
Кимберлитовые дайки находятся близко друг от друга, но различаются по минералогии. Мощность большинства даек около 1 м, лишь дайка № 1 в месте вскрытия имеет мощность 4 м, а дайка Бобико-1 – около 7 м в месте обнаружения. Кимберлит всех даек в местах вскрытия сильно выветрелый на глубину 2–4 м (у некоторых, возможно, и на большую) и представляет собой глину с реликтовой структурой кимберлита и индикаторными минералами. Индикаторные минералы, особенно пироп, также имеют признаки химического выветривания (фиг. 2). Из-за сильной выветрелости детальное петрографическое исследование кимберлита не проведено, однако можно констатировать, что ксенолиты вмещающих пород практически отсутствуют, но имеются округлые ксенолиты пород нижней коры с гранатами. Мантийные ксенолиты не найдены. Содержание индикаторных минералов в большинстве кимберлитовых тел довольно высокое (сотни грамм на тонну), но, возможно, это связано с выветриванием кимберлита и уменьшением его объема при сохранении количества индикаторных минералов. Основными глубинными минералами являются пироп, пикроильменит, хромшпинелид и слюда, остальные минералы изменены химическим выветриванием.
Фиг. 2. Формы растворения пиропов в латеритной коре выветривания: а – кубоид – устойчивая форма растворения пиропов в латеритной коре выветривания; б – каналы травления.
Изучены минералы найденных в 2005 году кимберлитовых даек Зубурума, 8 марта, Выход, № 3, Бобико. Во всех кимберлитовых телах доминирует пикроильменит, а гранатов и шпинелидов значительно меньше.
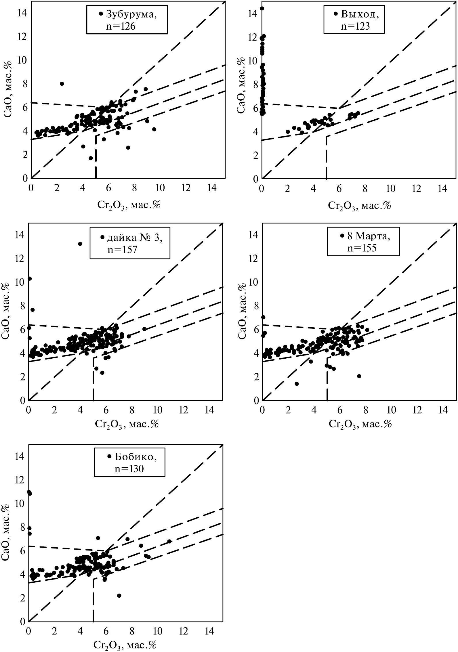
Пироп. Химический состав пиропа обычный для алмазоносных кимберлитов (фиг. 3), во всех дайках имеются гранаты алмазной ассоциации (по Соболев, 1971). Пироп в кимберлите представлен обломками зерен, часто с признаками химического выветривания. Цветовая гамма обычная, преобладают хромистые гранаты фиолетового цвета, только в дайке Выход основное количество гранатов составляют оранжевые пироп-альмандины из коровых пород.
Состав пиропа является типичным для алмазоносных кимберлитов (фиг. 3). Основное количество точек на диаграмме СaO-Cr2O3 располагается в лерцолитовом поле, часть составов попадает в поле гранатов алмазной ассоциации, что свидетельствует об алмазоносности кимберлита. В дайке Выход только небольшая часть гранатов относится к глубинным парагенезисам, поэтому в поле алмазной ассоциации точки состава гранатов не попали из-за низкой представительности пробы; в большинстве своем гранаты в этой дайке являются коровыми и происходят из гранулитов.
Данные по составу гранатов являются главным минералогическим критерием алмазоносности найденных кимберлитовых тел.
Ильменит (пикроильменит) во всех дайках, за исключением дайки Выход, представлен зональными зернами (фиг. 4) (Николенко и др., 2010).
Центральная часть таких зерен имеет высокожелезистый состав (гемоильменит), периферия с параллельноволокнистым строением – типичный пикроильменит (фиг. 5). Практически все зерна магнитные благодаря повышенному содержанию Fe3+ в ядрах. Лишь в дайке Выход высокожелезистое ядро полностью замещено пикроильменитом, и, таким образом, зерна полностью представлены немагнитным пикроильменитом. Предположение о происхождении волокнистой оболочки в процессе выветривания в латеритных условиях не находит подтверждения из-за необходимости значительного привноса дополнительных компонентов, отсутствующих в окружающей среде; кроме того, типичные формы вывыветривания пикроильменита другие (Афанасьев и др., 2001, 2010). Исходя из этого, мы предположили, что оболочка появляется при взаимодействии железистой фазы с кимберлитовым расплавом в мантийных условиях, в результате чего образуется типичный пикроильменит. Нами проведена серия экспериментов по взаимодействию обогащенной железом фазы, выделенной из зональных зерен, с кимберлитовым материалом при высоких РТ-параметрах (Николенко и др., 2010), в результате которых получены совершенно аналогичные оболочки пикроильменитового состава. Таким образом, обнаружен один из вариантов (возможно, основной) образования пикроильменита в кимберлите по реакции:
высокожелезистая фаза → образование оболочки волокнистого строения пикроильменитового состава → полное замещение высокожелезистой фазы → перекристаллизация оболочки с образованием монокристаллов пикроильменита.
Фиг. 4. Расколотое зерно зонального пикроильменита: центральная часть железистая (гемоильменит), периферия – типичный пикроильменит.
В дайке Выход эта реакция прошла до конца, тогда как в остальных дайках она остановилась на втором этапе. Данная ситуация не единичная, она характерна и для кимберлитов Мало-Ботуобинского района Якутии, где до 30% зерен пикроильменита являются магнитными и имеют зональное строение (Николенко и др., 2010). При этом происхождение высокожелезистый фазы пока не известно, в глубинных ксенолитах она отсутствует.
Хромшпинелиды. В кимберлитовых телах присутствует большое количество октаэдрических зерен хромшпинелидов размером 0.8 мм и крупнее, по морфологии аналогичных кимберлитовым хромитам. Однако их составы оказались очень необычными (фиг. 6). Как правило, кимберлитовые хромшпинелиды содержат переменное количество хрома и алюминия, которые связаны между собой обратной корреляцией и соответствуют диагональному тренду на диаграмме, представленной на фиг. 6. Изученные хромшпинелиды содержат переменное количество хрома при низкой концентрации алюминия и образуют непрерывный тренд вдоль оси, соответствующей количеству Cr2O3, от поля хромшпинелидов алмазной ассоциации по Н.В. Соболеву (Соболев, 1971) в сторону титаномагнетита. Непрерывность этого тренда указывает на генетическую однотипность данных шпинелидов, поэтому мы не уверены, что составы, попадающие в поле алмазной ассоциации (более 62 мас.% Cr2O3), действительно являются индикаторами алмазоносности. Полученный тренд изменения состава хромшпинелидов нехарактерен для глубинных парагенезисов в кимберлитах, однако он аналогичен таковому для микрокристаллов шпинелидов, которые кристаллизуются из самого кимберлита (но обычно такие шпинелиды очень мелкие, менее 0.1 мм). Можно предполагать, что изученные нами шпинелиды кристаллизовались из кимберлита на поздних стадиях, но из-за спокойной длительной кристаллизации выросли до больших размеров. Если это предположение справедливо, то можно утверждать, что хромшпинелидов, происходящих из глубинных пород, в изученных кимберлитах очень мало.
Фиг. 6. Составы хромитов из кимберлитовых даек поля Массаду.
По результатам определений химического состава индикаторных минералов можно сделать следующие выводы:
- Составы гранатов показывают, что кимберлиты являются алмазоносными.
- Все изученные дайки различаются по распределению точек составов гранатов, пикроильменита и шпинелидов, т. е. это разные кимберлитовые тела, а не одна-две дайки большой длины, которые подсечены в разных местах.
В большинстве даек присутствуют все три минерала, лишь в дайке № 2 не обнаружены пироп и хромиты, а присутствуют только пикроильменит и слюда.
Алмаз. Судя по алмазам из россыпей, типичными для кимберлитов района являются октаэдры с полицентрическим строением граней, около 5% – округлые додекаэдроиды, иногда алмазы типа борт (фиг. 7). Полностью отсутствуют алмазы кубического габитуса. Большинство алмазов бесцветные. Для кристаллов характерен сильный блеск. По визуальной оценке включений, преобладают алмазы ультраосновных парагенезисов с включениями хромитов, фиолетовых хромистых гранатов, оливинов, но встречаются и единичные кристаллы с включениями оранжевого граната эклогитового парагенезиса. В то же время, россыпи неоднородны по содержанию и морфологии алмазов, следовательно, и кимберлиты также различаются по этим параметрам. По разным участкам отработанной россыпи до 75% алмазов имеют ювелирное качество.
Фиг. 7. Алмазы из россыпи реки Товабо.
ГЕОЛОГИЧЕСКИЕ И СТРУКТУРНО-ТЕКТОНИЧЕСКИЕ ОСОБЕННОСТИ КИМБЕРЛИТОВОГО ПОЛЯ
В структурно-тектоническом отношении район работ располагается в пределах Гвинейско-Либерийского щита, являющегося фрагментом кратона Мен (Skinner et al., 2004) с архейским периодом стабилизации (архон, по Янсе, 1992), поэтому данная территория с точки зрения правила Клиффорда (Clifford, 1966) является весьма перспективной на коренную алмазоносность. Архейские породы представлены, главным образом, гранито-гнейсами.
В раннеюрское время в связи с общей тектономагматической активизацией Гондваны, завершившейся формированием базальтов Карру, в пределах щита произошли внедрения достаточно крупных (километры) массивов и даек диабазов, которые на изученной территории совпадают по простиранию с кимберлитовыми дайками и часто пространственно с ними сопряжены.
Фиг. 8. Фрагмент теневой модели рельефа с азимутом освещенности 150°, демонстрирующий структурно-тектоническую картину района.
Кимберлиты имеют ничтожную долю в общем объеме магматизма, но, будучи наиболее глубинными породами, зарождающимися на уровне верхней мантии, являются потенциально алмазоносными и важными в практическом отношении. Кимберлиты в пределах Гвинейско-Либерийского щита известны в Гвинее, Сьерра-Леоне, Либерии, Кот-де-Ивуар, Мали.
Тектоническую позицию кимберлитов Гвинейско-Либерийского щита определил Стивен Хагерти (Хагерти, 1992). По его мнению, внедрение кимберлитов связано с формированием гигантского рифта, расколовшего в мезозое Гондвану и обусловившего раскрытие Атлантики. Трансформные разломы, оперявшие зону рифта, имели субширотную ориентировку и являлись кимберлитоконтролирующими и кимберлитовмещающими; эту систему разломов С. Хагерти называет трендом К-4 (существует еще несколько трендов, характеризующих системы разломов другого направления и возраста). В пределах изученной территории тренд К-4 имеет восток-северо-восточную ориентировку (70°–80°). Это же направление имеют все найденные на сегодняшний день дайки поля Массаду.
Дайки являются, видимо, основной формой кимберлитовых тел поля Массаду, однако существование небольших кимберлитовых трубок здесь тоже возможно.
Основная рудоконтролирующая зона проходит по бассейнам рек Товабо и Бобико, направление которых совпадает с трендом К-4 (фиг. 8). В целом речная сеть в данном регионе контролируется тектоническими нарушениями. По результатам поисковых работ, ширина рудоконтролирующей зоны составляет около 600 м и полностью вписывается в долины рек Товабо и Бобико. Протяженность ее в пределах концессионной зоны около 10 км, но она выходит далеко за ее пределы.
ОБСУЖДЕНИЕ РЕЗУЛЬТАТОВ ИССЛЕДОВАНИЙ
Содержание алмазов в россыпях невысокое, около 0.03 кар/м3. Близкое содержание алмазов и в кимберлитах, судя по единственной крупнообъемной пробе (46 м3) из дайки № 1. Это связано, главным образом, с малой величиной эрозионного среза кимберлитов – 50–100 м, что подтверждается нашим анализом развития седиментогенеза на данной территории с момента внедрения кимберлитов.
От величины эрозионного среза кимберлитов зависит количество алмазов в россыпях, поэтому правильная оценка величины эрозионного среза очень важна для определения перспектив алмазоносности района.
Для территории Гвинеи имеются две очень разные оценки величины эрозионного среза.
Так, в работе (Skinner et al., 2004) указывается величина эрозионного среза для кимберлитов более 1 км. Такая оценка основана на том, что кимберлиты Гвинеи имеют в основном форму даек, которые, по мнению авторов данной работы, являются корневыми частями кимберлитовых трубок (гипабиссальная фация кимберлита). В пределах поля Массаду пока найдены только дайки кимберлита, поэтому, в соответствии с данными цитированной работы, можно было бы предполагать, что на изучаемой территории были кимберлитовые трубки, но сейчас они эродированы, и остались только корневые их части в форме даек.
В работе (Зубарев, 1983) дается совершенно другая величина эрозионного среза – 50–80 м. Этот автор предполагает, что дайковая форма кимберлитов является основной для Гвинеи, и не видит признаков глубокой эрозии.
Мы подошли к оценке величины эрозионного среза кимберлитов поля Массаду другим способом – путем расшифровки истории развития россыпей района на основе общей геологической истории и минералогических исследований.
В россыпях района присутствуют два типа кимберлитовых минералов. Первый тип представлен преимущественно окатанными зернами ильменита и слабо окатанными зернами пиропа. Второй тип представлен ильменитом и пиропом, но без признаков механического износа. На зернах этих минералов также имеются признаки химического выветривания в латеритных условиях.
Первый тип распространен довольно широко. Окатанные зерна этих минералов встречаются на расстоянии 3–4 км от осевой зоны кимберлитового поля – рек Товабо и Бобико. Максимум их концентрации находится в долинах данных рек, к северу и к югу от них концентрация минералов в россыпях быстро снижается.
Минералы второго типа встречены только в пределах кимберлитоконтролирующей зоны шириной около 600 м, охватывающей долины рек Товабо и Бобико, включая склоны этих долин. Именно эти минералы являются позитивным поисковым признаком, по которому найдены все кимберлитовые дайки.
Возраст кимберлитов поля Массаду пока не определен, так как мы еще не получили «свежего» кимберлита с глубины. Однако по аналогии с другими кимберлитовыми полями дайкового типа в Гвинее и соседних странах, и по сходству их структурно-тектонической позиции (тренд К-4 по Хагерти, 1992) можно предполагать, что их возраст 140–150 млн лет (Skinner et al., 2004), что соответствует середине юрского периода.
В юрское время Гондвана представляла собой низкую сушу. Территория кратона Ман, на которой располагается поле Массаду, представляла собой в это время пенеплен, сформированный еще в протерозое. Об этом свидетельствуют реликты протерозойских осадков в форме хорошо окатанных галек кварца, корунда. Протерозойские конгломераты известны на территории Гвинеи (конгломераты Лекоро в районе деревни Лекоро). В условиях низкой суши кимберлиты после своего формирования эродировались, но незначительно, их минералы переносились на небольшое расстояние вокруг даек кимберлитов.
В начале мелового периода континентальные условия и слабая эрозия кимберлитов сохранялись. Но в конце раннего мела море затопило значительную часть Африки, в том числе и данную территорию. Наступление моря имело на территории кратона Ман характер ингрессии, то есть затопления морской водой без сильной береговой абразии. Формировались мелководные моря, в которых минералы могли окатываться практически на месте, без значительного перемещения. Как показали наши исследования во многих регионах мира, в таких условиях ильменит может приобретать среднюю степень износа, а пироп окатывается слабо. Механический износ является главным признаком, указывающим на существование в истории россыпей морского периода, а относительно слабый износ – на ингрессию моря, в отличие от трансгрессии моря, когда ильменит был бы уничтожен полностью, а пироп был бы сильно окатанным.
Наступление моря имело кратковременный характер, и уже в позднемеловое время оно отступило. В условиях тропического климата начался период химического выветривания пород и минералов на земной поверхности, формировались латериты. Началась коррозия кимберлитовых минералов как в морских осадках, так и в кимберлитах. Кимберлиты в условиях суши также эродировались, но незначительно, так как рельеф был невысокий и слабо расчлененный, иначе латерит не мог бы формироваться.
Только в кайнозое территория Африки была существенно поднята: Южная Африка поднялась почти на километр, современная высота территории Гвинеи составляет 500–700 м. Именно сейчас начались активные эрозионные процессы, но за короткий срок кимберлиты не могли эродироваться значительно. «Свежие» кимберлитовые минералы, принесенные в россыпи за этот период, находятся только в пределах кимберлитоконтролирующей зоны, практически над кимберлитовыми телами. Далее на север и на юг от нее «свежие» минералы исчезают, и в россыпях остаются только окатанные зерна минералов из размытого к настоящему времени мелового морского коллектора.
Данный анализ показывает, что за все время существования кимберлитов Массаду они не могли эродироваться сильно. Нам представляется реальной величина среза 50–100 м, что согласуется с оценкой Б.М. Зубарева (Зубарев, 1983). Благодаря малой величине эрозии количество алмазов в россыпях мало: среднее содержание 0.03 карата на кубический метр аллювия. Активная эрозия происходит в настоящее время, кимберлит размывается реками и находится на их дне под тонким слоем аллювия, а также на склонах долин под латеритом.
Малая эрозия подтверждает, что основной формой кимберлита на данной территории является дайковая форма.
В связи с бедностью россыпей основные перспективы района связаны с поисками кимберлитовых тел с повышенным содержанием алмазов.
ЗАКЛЮЧЕНИЕ
- На территории Гвинеи открыто новое кимберлитовое поле Массаду, представленное дайками кимберлитов.
- Кимберлиты поля Массаду имеют необычные минералогические особенности, но в то же время наблюдаются типичные минералогические критерии алмазоносности – присутствуют гранаты алмазной ассоциации по (Соболев, 1971).
- Ориентировка кимберлитовых даек поля Массаду соответствует тренду К-4 по (Хагерти, 1992), хорошо выраженному на теневых моделях рельефа.
- Кимберлиты слабоалмазоносны. Россыпи также слабоалмазоносны из-за малой величины эрозионного среза.
Хотя перспективы промышленного освоения района невелики, обнаружение кимберлитового поля Массаду пополняет наши знания о кимберлитах в целом и о кимберлитах Гвинейско-Либерийского щита в частности. Особый интерес вызывает ильменитовая минерализация кимберлитов, поскольку показывает необычный путь появления парамагнитного пикроильменита в кимберлитах других регионов.
ФИНАНСИРОВАНИЕ
Работа выполнена в рамках государственного задания, проект 0330-2016-0006; часть работы, связанная с обработкой цифровых моделей рельефа, выполнена в рамках государственного задания, проект № 0330-2016-0018.
About the authors
V. P. Afanasiev
Institute of Geology and Mineralogy, Siberian Branch of the Russian Academy of Sciences
Author for correspondence.
Email: avp-diamond@mail.ru
Russian Federation, 3, Koptyug prospect, Novosibirsk, 630090
E. I. Nikolenko
Institute of Geology and Mineralogy, Siberian Branch of the Russian Academy of Sciences
Email: avp-diamond@mail.ru
Russian Federation, 3, Koptyug prospect, Novosibirsk, 630090
N. V. Glushkova
Institute of Geology and Mineralogy, Siberian Branch of the Russian Academy of Sciences; Novosibirsk State University
Email: avp-diamond@mail.ru
Russian Federation, 3, Koptyug prospect, Novosibirsk, 630090; 1, Pirogova street, Novosibirsk, 630090
I. D. Zolnikov
Institute of Geology and Mineralogy, Siberian Branch of the Russian Academy of Sciences; Novosibirsk State University
Email: avp-diamond@mail.ru
Russian Federation, 3, Koptyug prospect, Novosibirsk, 630090; 1, Pirogova street, Novosibirsk, 630090
References
- Афанасьев В.П., Зинчук Н.Н., Похиленко Н.П. Морфология и морфогенез индикаторных минералов кимберлитов. Новосибирск: Манускрипт, 2001. 276 с.
- Афанасьев В.П., Зинчук Н.Н., Похиленко Н.П. Поисковая минералогия алмаза. Новосибирск: Гео, 2010. 650 с.
- Зубарев Б.М. Дайковый тип алмазных месторождений. М.: Недра, 1983. 183 с.
- Некос В.В. К находке коренного источника алмазов в пределах Массадинской алмазоносной площади (Республика Гвинея) // Щелочные комплексы Центральной Сибири. Красноярск: КНИИГГиМС, 2003. С. 125-131.
- Николенко Е.И., Афанасьев В.П., Похиленко Н.П. Особенности состава зональных ильменитов из кимберлитов поля Массаду (Гвинея) и трубки Дачная (Якутия) // ДАН. 2010. Т. 434. № 6. С. 1-5.
- Соболев Н.В. О минералогических критериях алмазоносности кимберлитов // Геология и геофизика. 1971. № 3. С. 70-80.
- Хагерти С.И. Алмазоносность западной Африки: структурное положение и продуктивность кимберлитов // Геология и геофизика. 1992. № 10. С. 44-60.
- Янсе А.Д. Новый подход к классификации кратонов // Геология и геофизика. 1992. № 10. С. 12-32.
- Clifford T.N. Tectono-metallogenic units and metallogenic provinces of Africa // Earth and Planet. Sci. Letters. 1966. Vol. 1. № 2. P. 298-401.
- Skinner E.M.W., Apter D.B., Morelli C., Smithson N.K. Kimberlites of the Man craton, West Africa // Lithos. 2004. Vol. 76. P. 233-259.
Supplementary files










