Estimation of heat fluxes at the ocean-atmosphere interface in the south-western part of the Baltic Sea (2003—2016)
- Authors: Dubravin V.F.1, Kapustina M.V.1, Stont Z.I.1
-
Affiliations:
- P.P. Shirshov Institute of Oceanology RAS
- Issue: Vol 151, No 4 (2019)
- Pages: 15-26
- Section: Articles
- URL: https://journals.eco-vector.com/0869-6071/article/view/15553
- DOI: https://doi.org/10.31857/S0869-6071151415-26
- ID: 15553
Cite item
Full Text
Abstract
Based hydrometeorological data of the MARNET monitoring network, with the sampling interval of 1-hour, from 2003—2016, provided by the German Oceanographic Data Centre (BSH / DOD (M41)), the contributions of the irregular daily variability, the regular daily variability, the synoptic variability, the irregular intra-annual variability, the regular seasonal variability and the interannual component in the total temporal variability of the sensible and latent heat fluxes were estimated. The intra-annual and inter-annual variability of the specific contribution of the daily component of the sensible and latent heat fluxes are computed. It is shown that the structure of time variations of the fluxes in the southern part of the Baltic Sea depends on both, the station location and the nature of the flux itself.
Full Text
Введение. В формировании различных типов климата Земли бо́льшая роль принадлежит круговоротам тепла QH и влаги (скрытого тепла) QE. Известно [5], что турбулентные потоки суммарного тепла Q складываются из потоков явного тепла QH и скрытого тепла QE
Q = QH + QE. (1)
Прямые измерения потоков QH и QE в океане редки и трудновыполнимы. Одним из косвенных методов является аэродинамический [4]. В нем турбулентные потоки тепла и влаги (Вт/м2) выражаются через средние значения характеристик на стандартном уровне измерений (как правило, учитываются высота уровня наблюдателя — 10 м и поверхность моря) и рассчитываются по формулам:
QH = CpρCT(Tw – Ta)W; (2)
QE = Lρ0.622/P0CE(E0w – ea)W,
где Cp — удельная теплоемкость воздуха при постоянном давлении (1.009 кДж/кг°K); ρ — плотность воздуха (кг/м3); Tw — температура воды на поверхности (°C); Ta — температура воздуха (°C); W — скорость приводного ветра (м/с); L — удельная (скрытая) теплота парообразования — 2256 кДж/кг (при Tw = 100 °C); P0 — атмосферное давление на уровне моря (гПа); ea — упругость водяного пара (гПа); E0w — максимальная упругость водяного пара (гПа) при температуре воды Tw (°C).
В формулы (2) входят коэффициенты обмена теплом (CT) и влагой (CE), определение которых и является задачей параметризации потоков на границе океан—атмосфера [5]. Известно [5—7, 10, 11], что коэффициенты CT и CE зависят от скорости ветра W, перепадов температуры ΔT = Tw – Ta, влажности Δe = E0w – ea и высоты z, на которой выполнялись измерения. Многообразие подходов к параметризации процессов обмена привело к весьма широкому диапазону значений коэффициентов обмена, предлагаемых разными авторами. Обобщения, позволяющие сопоставлять различные методы расчета, можно найти в [5, 10, 11]. Как правило, значения коэффициентов обмена теплом и влагой лежат в пределах (1.0 ÷ 2.0)·10–3, причем в одних источниках CT < CE : CT = (0.8 ÷ 1.4) · 10–3 и CE = (1.0 ÷ 1.7) · 10–3 [5], в других, наоборот, CT > CE [10], в третьих — величина коэффициентов обмена теплом и влагой одинакова [7]. В. В. Ефимов и соавторы [6] предлагают CT = CE = 1.3 · 10–3. Однако, следует помнить, что использование средних значений коэффициентов обмена без учета различий в гидрометеорологических условиях приводит к погрешностям в расчетах потоков тепла и влаги на ±27 % [4]; кроме того, зависимость CT и CE от гидротермодинамических условий должна дополняться зависимостью от масштабов пространственно-временного усреднения ξH и ξE, возникающей из-за нелинейности в выражении (2) [5].
Материалы и методы. В работе были использованы данные натурных наблюдений поверхностной температуры воды Tw, температуры воздуха Ta, относительной влажности f, атмосферного давления на уровне моря P0 и скорости ветра W на станциях Аркона (2003—2016 гг.), Дарсский порог (2004—2016 гг.) и Киль (2012—2014 гг.)1 (рис. 1) мониторинговой сети MARNET (соглашения 2518/2014-002 и 2518/2016-075).
Рис. 1. Карта станций мониторинговой сети MARNET.
Модель временного ряда в настоящей работе соответствует ранее использованной [2, 3]. При этом исходный ряд (ИР) складывается из короткопериодной (КП), состоящей из нерегулярной внутрисуточной изменчивости (ВСИ), регулярного суточного хода (СХ), синоптической изменчивости (СИ), и долгопериодной (ДП) изменчивости, включающей нерегулярную внутригодовую изменчивость (ВГИ), регулярный сезонный ход (СезХ) и межгодовую (МГИ) компоненты.
Исходные ряды обрабатывались с использованием дисперсионного, гармонического и корреляционного методов анализа [1].
Результаты. Средние за весь период наблюдений (2003—2016 гг.) величины потоков QH, QE и Q возрастают с запада на восток от Киля (2.8, 30.1 и 32.9 Вт/м2) до Дарсского порога (7.2, 36.9 и 44.1 Вт/м2) и до Арконы (13.1, 43.5 и 56.6 Вт/м2) соответственно. Такая тенденция согласуется с климатическими картами потоков тепла [2, рис. 21—23], рассчитанными для морских районов по данным гидрометеорологических элементов, осредненным за 1951—2000 гг. Однако сами величины потоков QH, QE и Q различны (10.4—13.1, 59.4—62.9 и 69.8—76.0 Вт/м2 соответственно). Различия в величинах потоков тепла, по всей вероятности, можно объяснить разными методиками: в настоящей работе величины потоков явного, скрытого и суммарного тепла получены осреднением ежечасных величин потоков QH, QE и Q (для которых принимались коэффициенты обмена CT = CE = 1.3 · 10–3). В [2] использована методика С. К. Гулева [5]; поскольку потоки тепла рассчитывались для морских районов по данным гидрометеорологических элементов, осредненным помесячно за 1951—2000 гг., то было необходимо в коэффициенты CT и CE ввести поправки ξH и ξE в зависимости от масштабов пространственно-временного усреднения.
Структура временных рядов. Расчеты потоков тепла позволяют в полной мере использовать предлагаемую модель временного ряда. Удельный вклад (относительная доля) дисперсии КП в общую дисперсию (исходного ряда) для QH, QE и Q составил 54—74 %. В то же время вклад ДП в общую дисперсию был соответственно 26—46 %, при этом доля КП или ДП зависит как от типа потока, так и местоположения станции наблюдения. Удельный вклад СХ потоков тепла в общую дисперсию минимален на ст. Аркона и Дарсский порог, а на ст. Киль минимальный удельный вклад для QE = 0.02 и Q = 0.06 % приходится на МГИ. Максимальные вклады в дисперсию исходного ряда для всех потоков вносит СИ. Удельные вклады СезХ, ВСИ и ВГИ — существенны для обоих потоков, вклад МГИ заметен для всех потоков, за исключением QE и Q на ст. Киль, где он минимален (табл. 1).
Таблица 1
Дисперсия (верхняя строка) и относительная доля в процентах (нижняя) короткопериодной (СХ, ВСИ и СИ составляющих) и долгопериодной (СезХ, ВГИ и МГИ) изменчивости потоков явного, скрытого и суммарного тепла (Вт/м2) за 2003—2016 гг.
Table 1. Dispersion (upper line) and relative input in % (lower line) of short-time (regular daily course, irregular intra-day and synoptic components) and long-time (regular seasonal course, irregular intra-year and interannual) variations of sensible, latent and total heat fluxes (W/m2) for 2003—2016
Элемент (высота прибора, м) | Дисперсия | ||||||
общая | короткопериодная | долгопериодная | |||||
СХ | ВСИ | СИ | СезХ | ВГИ | МГИ | ||
Аркона (2003—2016) | |||||||
QH (10 м) | 1282.39 | 7.16 | 163.79 | 524.74 | 343.36 | 219.42 | 23.92 |
| 100 | 0.56 | 12.77 | 40.92 | 26.77 | 17.11 | 1.86 |
QE (10 м) | 2713.95 | 0.78 | 436.98 | 1394.50 | 483.11 | 352.41 | 46.18 |
| 100 | 0.03 | 16.10 | 51.38 | 17.80 | 12.99 | 1.70 |
Q (10 м) | 6591.68 | 9.58 | 904.62 | 3213.31 | 1350.48 | 1021.23 | 92.45 |
| 100 | 0.15 | 13.72 | 48.75 | 20.49 | 15.49 | 1.40 |
Дарсский порог (2004—2016) | |||||||
QH (9 м) | 1094.53 | 11.65 | 154.38 | 529.20 | 209.97 | 164.29 | 25.04 |
| 100 | 1.06 | 14.10 | 48.35 | 19.18 | 15.01 | 2.29 |
QE (9 м) | 2381.74 | 0.58 | 414.01 | 1321.82 | 318.19 | 227.05 | 100.09 |
| 100 | 0.02 | 17.38 | 55.50 | 13.36 | 9.53 | 4.20 |
Q (9 м) | 5659.14 | 15.93 | 854.52 | 3082.86 | 834.98 | 704.54 | 166.31 |
100 | 0.28 | 15.10 | 54.48 | 14.75 | 12.45 | 2.94 | |
Киль (2012—2014) | |||||||
QH (10 м) | 133.32 | 4.22 | 20.28 | 74.31 | 17.16 | 17.08 | 0.26 |
| 100 | 3.17 | 15.21 | 55.74 | 12.87 | 12.81 | 6.24 |
QE (10 м) | 915.00 | 1.53 | 193.27 | 457.42 | 209.39 | 53.20 | 0.18 |
| 100 | 0.17 | 21.12 | 49.99 | 22.88 | 5.81 | 0.02 |
Q (10 м) | 1488.31 | 1.79 | 264.35 | 803.67 | 297.77 | 119.9 | 0.88 |
| 100 | 0.12 | 17.76 | 54.00 | 20.01 | 8.05 | 0.06 |
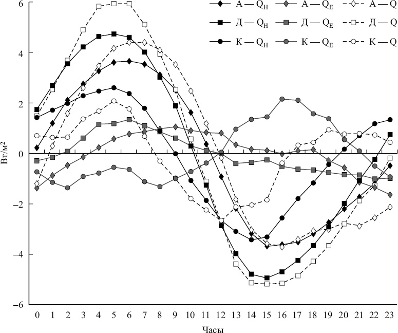
Регулярный суточный ход. Представление о характере суточной изменчивости QH, QE и Q в юго-западной части Балтики дают рис. 2 и табл. 2.
Рис. 2. Осредненные за 2003—2016 гг. аномалии регулярного суточного хода потоков явного QH, скрытого QE и суммарного Q тепла (Вт/м2) в юго-западной части Балтики. Условные обозначения: А — Аркона, Д — Дарсский порог, К — Киль.
Таблица 2
Гармонические постоянные регулярного суточного хода (средние и предельные значения), осредненные помесячно за 2003—2016 гг., потоков явного QH, скрытого QE и суммарного Q тепла (Вт/м2)
Table 2. Harmonic constants of the regular daily variations (averaged and extreme values), averaged monthly for the 2003—2016, of sensible QH, latent QE and total Q heat fluxes (W/m2)
Элемент (высота прибора, м) | Гармоники | AI/AII | A0 | |||||
I (суточная волна) | II (полусуточная волна) | |||||||
АмплитI | ФазаI | КвотаI | АмплитII | ФазаII | КвотаII | |||
Аркона (2003—2016) | ||||||||
QH (10 м) | 3.65 | 10.8 | 0.978 | 0.50 | –143.9 | 0.018 | 7.3 | 12.43 |
5.82 | 29.2 | 0.995 | 1.06 | 143.1 | 0.192 | 72.7 | 39.16 | |
1.60 | –35.2 | 0.778 | 0.07 | –170.0 | 0.000 | 2.0 | –10.91 | |
QE (10 м) | 1.04 | –59.7 | 0.848 | 0.37 | –87.6 | 0.111 | 2.8 | 42.90 |
2.84 | 131.8 | 0.932 | 1.20 | 30.8 | 0.475 | 13.7 | 75.35 | |
0.67 | –103.4 | 0.289 | 0.20 | –135.6 | 0.005 | 0.8 | 9.00 | |
Q (10 м) | 4.12 | –2.9 | 0.956 | 0.78 | –120.2 | 0.034 | 5.3 | 55.33 |
7.39 | 45.3 | 0.979 | 2.04 | 34.6 | 0.421 | 49.5 | 110.32 | |
1.90 | –48.9 | 0.489 | 0.15 | –151.6 | 0.000 | 1.1 | –1.92 | |
Дарсский порог (2004—2016) | ||||||||
QH (9 м) | 4.76 | 28.1 | 0.982 | 0.62 | –125.7 | 0.017 | 7.7 | 7.04 |
6.48 | 36.2 | 0.997 | 1.43 | 176.4 | 0.114 | 54.0 | 28.86 | |
2.82 | 10.6 | 0.838 | 0.10 | –148.6 | 0.000 | 2.7 | –11.15 | |
QE (9 м) | 0.96 | –11.3 | 0.863 | 0.35 | –64.1 | 0.116 | 2.7 | 36.47 |
2.37 | 82.9 | 0.824 | 1.65 | 172.1 | 0.640 | 3.0 | 64.89 | |
0.27 | –118.4 | 0.166 | 0.45 | –144.7 | 0.092 | 0.6 | 8.03 | |
Q (9 м) | 5.54 | 21.7 | 0.976 | 0.85 | –104.3 | 0.023 | 6.5 | 43.51 |
7.98 | 42.6 | 0.981 | 2.39 | 32.9 | 0.238 | 23.4 | 86.16 | |
3.67 | –6.0 | 0.686 | 0.34 | –158.2 | 0.002 | 1.7 | –3.12 | |
Киль (2012—2014) | ||||||||
QH (10 м) | 2.74 | 51.4 | 0.933 | 0.72 | –123.77 | 0.065 | 3.8 | 2.97 |
3.92 | 64.5 | 0.978 | 1.30 | –69.50 | 0.567 | 10.9 | 10.20 | |
1.05 | 36.6 | 0.394 | 0.32 | –157.23 | 0.008 | 0.8 | –4.05 | |
QE (10 м) | 1.43 | –156.3 | 0.810 | 0.64 | –44.34 | 0.165 | 2.2 | 30.32 |
7.35 | 175.6 | 0.915 | 1.96 | 27.53 | 0.598 | 12.9 | 55.09 | |
0.33 | –166.5 | 0.090 | 0.16 | –155.70 | 0.005 | 0.5 | 8.70 | |
Q (10 м) | 1.62 | 75.6 | 0.683 | 1.05 | –86.79 | 0.290 | 1.5 | 33.29 |
6.68 | 172.0 | 0.905 | 2.71 | 4.00 | 0.712 | 3.8 | 59.58 | |
0.69 | –175.8 | 0.046 | 0.87 | –156.28 | 0.061 | 0.3 | 5.92 | |
СХ изменяется в зависимости как от типа потока, так и от географического положения станции. Наиболее регулярной суточной изменчивостью, характеризуемой доминированием суточной изменчивости, отличаются QH, для среднемноголетнего суточного хода которых квота2 суточной гармоники qI = 0.93—0.98. Для QE квота первой гармоники снижается до qI = 0.81—0.86, а для Q убывает к западу от qI = 0.96—0.98 на ст. Аркона и Дарсский порог до qI = 0.68 в Киле, где квота полусуточной волны возрастает до qII = 0.29.
Для среднемноголетнего СХ потока явного тепла максимум наступает между 05 и 06 ч. по Гринвичу, а минимум — между 14 и 15 ч.; размах суточных колебаний изменяется от 6.1 Вт/м2 в Киле до 9.7 Вт/м2 на ст. Дарсский порог. При этом преобладание суточной волны в СХ QH на всех станциях отмечается в течение всего года, за исключением ноября в Киле, когда суточная волна сменяется полусуточной. Наступление суточного максимума во внутригодовом ходе постепенно смещается от 06—08 ч. в январе—марте к 03—04 ч. в апреле—июле, а затем возвращается к 07—08 ч. в ноябре—декабре, а наступление минимума, наоборот, смещается от 14 ч. в январе—марте к 15—16 ч. в апреле—октябре, а затем возвращается к 13—14 ч. в ноябре. В этот период параметры (амплитуда, фаза, квота) суточной гармоники растут от января—марта к июню—сентябрю, а затем падают к ноябрю—декабрю.
Для среднемноголетнего СХ потока скрытого тепла QE на ст. Дарсский порог и Аркона максимум наступает между 06 и 09 ч. по Гринвичу, а минимум — между 22 и 23 ч.; в Киле, где сказывается влияние полусуточной волны, отмечается два максимума: в 16 ч. (основной) и в 05 ч. (вторичный), и два минимума: в 02 ч. (основной) и в 08 ч. (вторичный). Размах суточных колебаний меняется от 2.4 Вт/м2 на ст. Дарсский порог до 3.5 Вт/м2 в Киле. При этом преобладание суточной волны в СХ QE на ст. Аркона или Дарсский порог отмечается 9 месяцев в году, с максимальной квотой суточной волны в сентябре (Аркона) или в июне (Дарсский порог). Преобладание полусуточной волны на ст. Аркона не наблюдается, а на ст. Дарсский порог отмечается в марте и июле. В Киле суточная волна в СХ преобладает 5 месяцев (с июня по октябрь) с максимальным вкладом в июле, а полусуточная — в январе и апреле. Наступление суточного максимума на ст. Аркона и Дарсский порог в основном наблюдается в утренние (до полудня) часы, а минимума в вечерние (после полудня), а в Киле, наоборот, большую часть года максимум наступает после полудня, а минимум — до полудня.
Для среднемноголетнего СХ потока суммарного тепла Q на ст. Дарсский порог и Аркона максимум наступает в 06 ч. по Гринвичу, а минимум — между 15 и 16 ч. В Киле, где, как и для потока скрытого тепла, сказывается влияние полусуточной волны, отмечается два максимума в 05 ч. (основной) и в 19 ч. (вторичный) и два минимума в 12 ч. (основной) и в 01 ч. (вторичный). Размах суточных колебаний меняется от 4.8 Вт/м2 (Киль) до 11.1 Вт/м2 (Дарсский порог). При этом, преобладание суточной волны в СХ Q на ст. Аркона или Дарсский порог, как и для QH, отмечается весь год, с максимальной квотой суточной волны в июне для обеих станций и минимальной — в январе (Аркона) или в ноябре (Дарсский порог). В Киле суточная волна в СХ преобладает 7 месяцев (с февраля по май, июле—августе и октябре) с максимальным вкладом в апреле, а полусуточная — в июне и ноябре. Наступление суточных экстремумов в СХ суммарного тепла на ст. Аркона и Дарсский порог подобно СХ явного тепла — для максимума опускание от 06—08 ч. в январе—феврале до 03 ч. в мае—июне и подъем до 07—08 ч. в ноябре—декабре, для минимума, наоборот, сначала смещение от 14 ч. в январе—марте до 18—19 ч. в июне—июле, а затем смещение до 13—15 ч. в октябре—ноябре. В Киле СХ Q напоминает СХ QE: максимум в основном наступает до полудня, а минимум — после полудня.
Как известно, вблизи поверхности моря максимумы температуры воды и воздуха в СХ наступают в послеполуденные часы, минимум приходится на время восхода солнца, а максимум скорости ветра отмечается в ночные часы [9], т. е. в противофазе. Сравнение среднемноголетнего СХ метеоэлементов [3, рис. 2] и потоков тепла (рис. 2) показало, в основном, высокую обратную зависимость между Ta или TW и всеми потоками, за исключением: невысокой отрицательной тесноты связи между TW и Q — Киль, слабой отрицательной между TW или Ta и QE — Аркона, очень высокой положительной между Ta или TW и QE — Киль (табл. 3). Корреляция между СХ f или W и потоков QH, QE и Q противофазна относительно Ta или TW, т. е. отмечается высокая положительная зависимость между f или W и потоками. За исключением: невысоких значений r между f и QE — Аркона и Дарсский порог и между W и QE — Аркона, высоких отрицательных значений корреляции между f и QE или W и QH — Киль, невысоких отрицательных величин r между W и Q — Киль. Таким образом, СХ потоков QE и Q на ст. Киль определяется бо́льшим влиянием суши — это проявляется через скорость ветра W, для которой на ст. Киль в [3] отмечалось заметное влияние суши.
Таблица 3
Корреляция между регулярным суточным ходом метеорологических элементов (TW, Ta, f и W) и потоков тепла (QH, QE и Q) в юго-западной части Балтики
Table 3. Correlation between the regular daily variations of meteorological parameters (TW, Ta, f и W) and heat fluxes (QH, QE и Q) in the southwestern part of the Baltic Sea
Элемент | Аркона (2003—2016) | Дарсский порог (2004—2016) | Киль (2012—2014) | ||||||
QH | QE | Q | QH | QE | Q | QH | QE | Q | |
TW | –0.98 | –0.16 | –0.90 | –0.96 | –0.85 | –0.98 | –0.84 | 0.91 | –0.47 |
Ta | –0.99 | –0.23 | –0.93 | –1.00 | –0.72 | –0.99 | –0.99 | 0.81 | –0.77 |
f | 0.95 | 0.44 | 0.84 | 0.98 | 0.59 | 0.95 | 0.99 | –0.80 | 0.80 |
W | 0.74 | 0.62 | 0.81 | 0.95 | 0.85 | 0.97 | –0.82 | 0.95 | –0.42 |
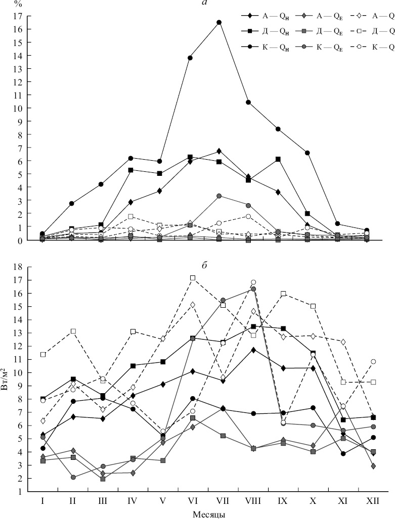
Внутригодовая изменчивость удельного вклада и размаха СХ. Представленный на рис. 3 сезонный ход суточной компоненты удельного вклада и размаха потоков также подтверждает зависимость СХ как от типа потока, так и географического положения станции. Внутригодовая изменчивость удельного вклада СХ для потоков тепла отличается подобием не только между станциями, но и между потоками. При этом для станций Киль и Аркона минимальный удельный вклад СХ потоков отмечается в холодное время года (с декабря по февраль) и составляет — 0.04—0.27 %; максимальный вклад — в июне—августе — 0.3—16.6 %. Для ст. Дарсский порог минимум приходится на август и ноябрь (0.03—0.14 %), а максимум — на апрель (0.2—1.7) (рис. 3, а). Соотношение между величинами максимума и минимума в сезонной изменчивости вклада СХ таково: для QH от 23 (Дарсский порог) до 81 крат (Аркона), для QE от 8 (Аркона) до 41 крат (Киль) и для Q от 10 (Киль) до 30 крат (Аркона).
Рис. 3. Осредненная за 2003—2016 гг. внутригодовая изменчивость удельного вклада (%) (а) и размаха (Вт/м2) (б) суточной составляющей потоков явного QH, скрытого QE и суммарного Q тепла в юго-западной части Балтики. Условные обозначения: А — Аркона, Д — Дарсский порог, К — Киль.
Наибольшим подобием внутригодовой изменчивости размаха СХ между станциями отличаются потоки QH и QE. Максимальный размах в основном отмечается в июне—августе (7—17 Вт/м2), за исключением QE (Аркона), где максимум наступает в ноябре (8 Вт/м2); минимальный — между ноябрем и мартом (2—9 Вт/м2), за исключением Q (Киль), где минимум смещается на май (6 Вт/м2) (рис. 3, б). Соотношение между величинами максимума и минимума в сезонной изменчивости размаха СХ таково: для QH от 2.1 (Дарсский порог, Киль) до 3.0 крат (Аркона), для QE от 3.1 (Аркона) до 7.8 крат (Киль) и для Q от 1.9 (Дарсский порог) до 3.0 крат (Киль).
Межгодовая изменчивость суточной составляющей. Следует заметить, что для получения корректных выводов о межгодовой изменчивости СХ нужна длина временного ряда порядка 8—10 лет [2, 3]. Из рис. 4, где представлена межгодовая изменчивость удельного вклада СХ потоков тепла с нарастанием, следует, что стабилизация кривых дисперсии на ст. Аркона и Дарсский порог наступает к 2013 г., т. е. для потоков тепла в Арконе стабилизация наступает через 11 лет, а в районе Дарсский порог — через 10 лет.
Рис. 4. Осредненная за 2003—2016 гг. межгодовая изменчивость удельного вклада суточной составляющей потоков явного QH, скрытого QE и суммарного Q тепла (%) в юго-западной части Балтики.
Зависимость суточной составляющей потоков тепла в юго-западной части Балтики от местоположения станции и типа потоков тепла подтверждается результатами дисперсионного, гармонического и корреляционного анализа.
Выводы. Проведенный анализ структуры временных рядов потоков QH, QE и Q над акваторией исследования показал:
- Средние за весь период наблюдений (2003—2016 гг.) с дискретностью 1 ч величины потоков явного, скрытого и суммарного тепла возрастают с запада на восток от Киля до Арконы. Такая тенденция согласуется с климатическими картами потоков тепла [2].
- Структура временных рядов для потоков тепла зависит как от местоположения, так и от типа потока. Наибольший вклад в дисперсию исходного ряда для всех потоков вносит синоптическая изменчивость (41—56 %). Удельные вклады сезонного хода, внутрисуточной и внутригодовой компонент существенны для всех потоков; вклад межгодовой изменчивости заметен для всех потоков, за исключением QEи Qна ст. Киль, где он минимален. Наименьший вклад, в основном, приходится на суточный ход.
- Внутригодовая изменчивость удельного вклада и размаха суточного хода для потоков тепла подобна не только между станциями, но и между потоками. При этом для станций Киль и Аркона максимальные вклад и размах отмечаются в июне—августе, а минимальные — между ноябрем и мартом. Соотношения между величинами максимума и минимума в сезонной изменчивости вклада или размаха суточного хода для QHи Q увеличиваются в восточном направлении, для QE— в западном.
- Подтвержден вывод о затухании колебаний относительно среднего значения не только для основной составляющей, но и для всех остальных компонент потоков тепла. При этом и межгодовая изменчивость суточного хода в юго-западной части Балтики определяется как местоположением, так и типом потока.
Авторы благодарят Немецкий Центр Океанографических Данных (BSH/DOD(M42)) за предоставление данных мониторинговой сети MARNET за 2002—2016 гг. (соглашение 2518/2014-002 и 2518/2016-075).
Работа выполнена в рамках госзадания ИО РАН (тема № 0149-2019-0013).
1 На ст. Киль метеодатчики расположены на высоте 31 м. Для приведения данных наблюдений за Ta и f к стандартной высоте 10 м использовалась линейная интерполяция, а для W — формула Хельмана [8].
2 Квота (q) — вклад в общую дисперсию суточного или сезонного хода [2].
About the authors
V. F. Dubravin
P.P. Shirshov Institute of Oceanology RAS
Author for correspondence.
Email: v_dubravin@mail.ru
Russian Federation, Moscow
M. V. Kapustina
P.P. Shirshov Institute of Oceanology RAS
Email: kapustina.mariya@ya.ru
Russian Federation, Moscow
Zh. I. Stont
P.P. Shirshov Institute of Oceanology RAS
Email: ocean_stont@mail.ru
Russian Federation, Moscow
References
- Brooks K., Kapuzers N. Primenenie statisticheskih metodov v meteorologii. Leningrad: Gidrometeoizdat Publ., 1963. 416 s.
- Dubravin V. F. Evolyucii gidrometeorologicheskih polej v Baltijskom more. Kaliningrad: Kapros Publ., 2014. 438 s.
- Dubravin V. F., Kapustina M. V., Stont Zh. I. Evolyucii (sezonnaya i mezhgodovaya izmenchivostʼ) sutochnogo hoda gidrometeorologicheskih polej YUzhnoj Baltiki // Vestnik BFU im. I. Kanta. Ser. est. nauki. № 3. Kaliningrad: Izd-vo BFU im. I. Kanta, 2018. S. 35-54.
- Kitajgorodskij S. A., Kuznecov O. A., Panin G. N. O koefficientah soprotivleniya, teploobmena i ispareniya nad morskoj poverhnostʼyu v atmosfere // Izv. AN SSSR. FAO. 1973. T. IX. No. 11. S. 1135-1141.
- Lappo S. S., Gulev S. K., Rozhdestvensky A. E. Krupnomasshtabnoe teplovoe vzaimodejstvie v sisteme okean-atmosfera i ehnergoaktivnye oblasti Mirovogo okeana. Leningrad: Gidrometeoizdat Publ., 1990
- O raschete koefficientov teplo- i vlagoobmena mezhdu okeanom i atmosferoj / Efimov V. V., Timofeev N. A., Sychev E. N., Kurzheevskij I. V. // Izv. AN SSSR. FAO. 1985. T. 21. No. 7. S. 664-667.
- Radikevich V. M. O raschete potokov tepla, vlagi i kolichestva dvizheniya // Okeanologiya. 1970. T. X, vyp. 5. S. 878-882.
- Rukovodstvo po meteorologicheskim priboram i metodam nablyudenij. 5 izd. / Sekretariat VMO. ZHeneva, SHvejcariya. 1983. No. 8; Obninsk: VNIIGMI-MCD, 1988.
- Hromov S. P. Meteorologiya i klimatologiya dlya geograficheskih fakulʼtetov. L.: Gidrometeoizdat, 1968. 491 s.
- Blanc T. V. Variation of Bulk-Derived Surface Flux, Stability, and Roughness Results Due to the of Different Transfer Coefficient Schemes // J. Phys. Oceanogr. 1985. Vol. 15. No. 6. P. 650-669.
- Fairall C. W., Bradley E. F., Hare J. E., Rachev A. G., Edson J. B. Bulk Parameterization of Air-Sea Fluxes: Updates and Verification for the COARE Algorithm // J. Climate. 2003. Vol. 16. P. 571-591.
Supplementary files






