Morphogenesis and Pathogenesis of Traumatic Infarction of Long Bone (experimental 13 studay)
- Authors: Grigorovskiy V.V.1
-
Affiliations:
- Ukrainian Institute of Traumatology and Orthopaedics
- Issue: Vol 5, No 3 (1998)
- Pages: 13-19
- Section: Articles
- Submitted: 07.03.2022
- Accepted: 07.03.2022
- Published: 15.09.1998
- URL: https://journals.eco-vector.com/0869-8678/article/view/104547
- DOI: https://doi.org/10.17816/vto104547
- ID: 104547
Cite item
Full Text
Abstract
Morphogenesis and pathogenesis of traumatic infarction of long bone was studied in experiment (45 rats and 8 dogs). Tibial osteotomy with section of great branches of the main nutritive arteria were performed. Morphogenic indices of pathologic changes were studied in terms from 3 hours to 60 days and physiologic indices of intraosseous hemodynamics were studied in terms from 10 min to 8 hours During the first hours after osteotomy extensive loci of blood supply occulusion of bone marrow and diaphysial cortex were detected in free fragment ends. Then those loci were transformed into diaphysial infarction. Occulusion loci increased up to the end of the first day after osteotomy, then they started to decrease. Infarctions in distal fragment were reliably more extensive than the infarctions in proximal fragment. Physiologic indices testified severe blood supply aggravation in free distal fragment end.
Full Text
По сравнению с такими аспектами посттравматической регенерации длинной кости, как морфологическая динамика формирования регенератов, их сращения и перестройки, вопрос о состоянии кровоснабжения отломков в ранние сроки после перелома и в клинике, и в эксперименте исследован недостаточно.
При травме кости наиболее важным фактором нарушения кровоснабжения является непосредственное повреждение сосудов, питающих кость. Как известно, при любом переломе происходит разрыв сосудов разного калибра в кости и костном мозге, что приводит к образованию гематомы вокруг отломков. Существуют, однако, значительные количественно-топографические различия в состоянии кровоснабжения отломков длинной кости после травмы, сопровождающейся и не сопровождающейся нарушением целости крупных внутрикостных ветвей диафизарных питающих сосудов [8]. Так, если кровоснабжение диафизарных отделов отломков по главной питающей артерии сохраняется, как это бывает при закрытых переломах без смещения, то очаг ишемии тканей обычно связан с местом непосредственной травмы; в случаях же, когда внутрикостные ветви диафизарных питающих сосудов пересечены, пережаты и/или тромбированы (это может происходить при открытом либо закрытом переломе со значительным смещением отломков), внутрикостное кровообращение оказывается нарушенным в значительно большей степени и очаги ишемического некроза тканей отломков могут быть весьма протяженными [5, 8].
Поскольку состояние кровоснабжения тканей отломков при диафизарном переломе в клинике определить весьма трудно, эти вопросы в основном изучались в эксперименте с применением различных физиологических и ангиоморфологических методов. Наиболее известны исследования в данном направлении Gothman [15, 16], Rhinelander и соавт. [18, 19], Wang Yun Chao и соавт. [20], К.С. Соловьевой [12], И.С. Амосова и соавт. [1], Г.А. Оноприенко [9, 10]. Все авторы в сроки наблюдения до 2 нед, а иногда и дольше ангиоморфологически регистрировали в концах отломков довольно обширные очаги выключения (незаполнения инъекционным красителем) микроцирку ляторного русла, что подтверждают и наши исследования последнего времени [2, 4]. В упомянутых работах не ставилась цель комплексного изучения состояния кровоснабжения отломков длинной кости в ранние сроки после травмы. Вместе с тем такое исследование позволило бы установить количественные и временные зависимости поражения и раскрыть неизвестные еще стороны патогенеза острых нарушений кровоснабжения тканей отломков.
Нами предпринята попытка на основании экспериментальных гистологических, ангиоморфологических, морфометрических и физиологических данных о состоянии кровоснабжения отломков длинных костей после остеотомии рассмотреть морфогенез и патогенез ранних стадий посттравматического периода.
Материал и методы. Проведены две группы экспериментов.
1. В экспериментах на 45 крысах-самках массой 200—230 г под гексеналовым наркозом в средней трети большеберцовой кости дисковой пилой выполняли поперечную остеотомию и затем специальным распатором циркулярно отсепаровывали надкостницу от кортикального слоя диафиза в свободных концах отломков на протяжении 3 мм от линии остеотомии. После гемостаза свободные концы отломков сопоставляли, но не фиксировали, мягкие ткани и кожу над местом остеотомии послойно ушивали. Использованная нами модель соответствовала открытому перелому длинной кости у человека со значительным смещением отломков, сопровождающемуся пересечением внутрикостных ветвей главной питающей артерии и отрывом надкостницы от кортикального слоя на концах отломков. Крыс выводили из опыта в сроки 3, 6, 12, 24 ч, 3, 7, 14, 30 и 60 сут введением гексенала, при сохранении функции сердца инъецировали сосуды конечностей тушь-желатиновой контрастной массой [10].
2. У 8 взрослых беспородных собак массой от 9 до 25 кг в остром опыте под гексеналовым наркозом измеряли в четырех точках большеберцовой кости (двух — в диафизе на расстоянии 2—2,5 см одна от другой и двух — в метафизах) физиологические показатели внутрикостной гемодинамики: стабилизированный уровень внутрикостного давления (ВКД) и временные отрезки гемодинамической функциональной пробы (ГФП) с искусственным повышением (ГФП-плюс) и понижением (ГФП-минус) давления в герметизированной системе измерения ВКД (эксперименты проводили совместно с В.А. Боером). Эти показатели позволяли получить интегральное представление о состоянии внутрикостной гемодинамики (ВКД), потенциальных возможностях путей оттока (ГФП-плюс) и путей притока (ГФП-минус) крови и жидкости в точках измерения [3, 4, 13, 14, 17].
Поперечную остеотомию большеберцовой кости выполняли пилой Джильи на границе средней и дистальной трети, между диафизарными точками измерения ВКД, при этом всегда пересекали костный мозг с крупными ветвями диафизарных питающих сосудов. Синхронную многоточечную регистрацию ВКД проводили непрерывно в течение 30 мин после остеотомии, а затем в конце каждого часа на протяжении 6 ч (2 собаки) или 8 ч (5 собак), у одной собаки продолжительность записи после остеотомии составила 1 ч. Показатели внутрикостной гемодинамики в разных точках регистрации для определенных сроков после остеотомии обрабатывали статистически. Перед выведением животных из опыта под гексеналовым наркозом инъецировали сосуды задних конечностей коллоидным раствором берлинской лазури [7].
Удаленные голени крыс и большеберцовые кости собак подвергали рентгенографии, фиксировали, декальцинировали, заливали в целлоидин и разрезали на микротоме в нескольких парасагиттальных плоскостях, т.е. вдоль длинной оси кости (крысы), либо разделяли на продольные и поперечные фрагменты с приготовлением соответствующих блоков, которые разрезали на микротоме в разных плоскостях (собаки). Срезы толщиной 10 мкм окрашивали гематоксилином и эозином, по Ван-Гизону, импрегнировали серебром-золотом по Гомори, а срезы толщиной 200 мкм (крысы) и 500—2000 мкм (собаки) просветляли метилсалицилатом по Шпальтегольцу [11].
После тщательного гистологического и ангиоморфологического исследования для морфометрии пораженных костей крыс был выделен и квантифицирован ряд показателей, которые в совокупности многосторонне характеризуют в количественном аспекте поражение большеберцовых костей, подвергнутых остеотомии:
1) длина очага ишемического повреждения и геморрагической инфильтрации костного мозга вдоль оси отломка, начиная от линии остеотомии (в миллиметрах); 2) ширина зоны реактивных изменений костного мозга, где наблюдались отек, обеднение клеточными элементами, пролиферация фибробластов и рост грануляционной ткани в направлениях, радиальных по отношению к границе поврежденной и жизнеспособной гемопоэтической ткани (в миллиметрах); 3) ширина зоны костного мозга, занимаемой эндостальным костным регенератом, в свободных концах отломков (в миллиметрах); 4) общая площадь, занимаемая костным компонентом периостального регенерата на периостальной поверхности компактной кости (в квадратных миллиметрах); 5) длина очага выключения (незаполнения инъекционной массой) микроциркуляторного русла костного мозга вдоль оси отломка, начиная от линии остеотомии (в миллиметрах); 6) длина очага выключения (незаполнения инъекционной массой) микроциркуляторного русла компактного вещества вдоль оси отломка, начиная от линии остеотомии (в миллиметрах).
Для определения морфометрических параметров использовали оптико-визуальные средства измерения, полученные параметры обрабатывали статистически, отдельно для проксимальных и дистальных отломков строили временные ряды средневзвешенных величин, которые сравнивали между собой по срокам наблюдения с использованием критерия Стьюдента [6].
Результаты гистологического и ангиоморфологического исследования. При гистологическом исследовании костей крыс в сроки 3, 6, 12, 24 ч после остеотомии в костном мозге и компактном веществе свободных концов отломков регистрировались в разной степени выраженные признаки ишемического повреждения клеток кроветворного костного мозга и костной ткани с нечеткими границами очагов ишемии. Ангиоморфологически в свободных концах отломков выявлялись обширные очаги выключения микроциркуляторного русла, прилежащие к линии остеотомии (рис. 1), причем в расположенных в них отрезках центральных и регионарных вен обнаруживалось смешанное заполнение клеточными агрегатами, мелкими тромбами и инъекционной массой.
Рис. 1. Обширный очаг выключения микроциркуляторного русла костного мозга и кортикального слоя (указан стрелками) в проксимальном отделе большеберцовой кости крысы. Срок наблюдения 12 ч. Ув. 20.
Здесь и на рис. 2—4 просветление по Шпальтегольцу.
В сроки 3 и 7 сут в свободных концах отломков костей крыс гистологически определялись обширные очаги свежего ишемического некроза костного мозга и костной ткани, по периферии которых располагалась зона серозной экссудации и расплавления, в перифокальном костном мозге отломков отмечалась гиперемия микроциркуляторного русла с отеком стромы, уменьшением числа миелокариоцитов, появлением юных стромальных фибробластов. На 7-е сутки в зоне организации инфаркта выявлялись новообразованные сосуды капиллярного типа, врастающие в некротизированный костный мозг (рис. 2). При ангиоморфологическом исследовании в свободных концах отломков обнаруживались крупные очаги выключения микроциркуляторного русла, особенно протяженные в дистальных отломках (см. результаты морфометрии).
Рис. 2. Врастание капилляров в очаг некроза костного мозга (указан стрелками) в проксимальном отломке большеберцовой кости крысы. Срок наблюдения 7 сут. Ув. 25.
На 14-е сутки в костномозговых полостях отломков костей крыс выявлялись признаки продолжающейся организации очагов инфаркта костного мозга, иногда с полным замещением некроза (в проксимальных отломках); в дистальных отломках очаги инфаркта сохранялись, хотя размеры их уменьшались по сравнению с предыдущими сроками (рис. 3). Костные регенераты компактизировались, наблюдались признаки затухания репаративной реакции; межотломковые сращения имели характер фиброзно-хрящевых.
Рис. 3. Продолжающаяся реваскуляризация очагов некроза костного мозга (указаны стрелками) в отломках большеберцовой кости крысы. Срок наблюдения 14 сут. Ув. 15.
На 30-е и 60-е сутки очаги ишемического некроза костного мозга в свободных концах отломков в большинстве наблюдений отсутствовали, в компактном веществе встречались участки некроза, подвергающиеся очаговой перестройке, причем в передних отделах кортикального слоя дистального отломка некрозы имели наибольшую протяженность. Ангиоморфологически зоны организации, костные части регенератов, регенерировавший костный мозг в свободных концах отломков представлялись хорошо васкуляризованными, причем в компактизированных костных регенератах отмечалась некоторая редукция микроциркуляторного русла, аваскулярность наблюдалась в очагах остеонекроза, хрящевых компонентах регенератов, гиповаскулярность — в зрелой фиброзной ткани, образующей наружные слои капсулы патологического очага вокруг места остеотомии (рис. 4).
Рис. 4. Васкуляризация костно-хрящевого регенерата большеберцовой кости крысы; аваскулярный участок компактной кости дистального отломка (указан стрелкой). Срок наблюдения 30 сут. Ув. 15.
Результаты морфометрического исследования. Патологические изменения, регистрируемые в посттравматическом периоде, и соответствующие морфометрические показатели могут быть разделены на две группы (рис. 5).
Рис. 5. Динамика морфометрических показателей патологических изменений в проксимальных (а) и дистальных (б) отломках большеберцовых костей крыс после остеотомии.
По оси абсцисс — срок после остеотомии, по оси ординат — величина показателя; I — площадь периостального регенерата, II — ширина эндостального регенерата, III — ширина зоны реактивных изменений, IV — длина очага ишемии костного мозга, V, VI — длина очага выключения микроциркуляторного русла компактной кости (V) и костного мозга (VI).
1. «Ранние» изменения, вызванные острой травмой тканей кости, их микроциркуляторного русла и крупных внутрикостных ветвей главных питающих сосудов. Это очаги выключения микроциркуляторного русла костного мозга и кортикального слоя, выявляемые инъекционным методом, геморрагии, а также ишемическое повреждение клеток кроветворной и костной ткани. Выключение микроциркуляторного русла определялось уже в самый ранний срок (3 ч после остеотомии) и было довольно протяженным: в 1-е сутки — 2—6 мм (считая от линии остеотомии) в проксимальных отломках и 6—11 мм в дистальных (при длине большеберцовой кости крысы 33—35 мм). Средние величины длины очагов выключения микроциркуляторного русла и ишемического повреждения костного мозга в обоих отломках увеличивались к 24 ч после остеотомии, затем несколько уменьшались и в проксимальных отломках стабилизировались на 3—14-е сутки, после чего вновь резко уменьшались; в дистальных отломках после 24 ч эти показатели неуклонно понижались, причем в отдаленные сроки здесь сохранялись более протяженные некрозы кортикального слоя, чем в проксимальных отломках.
2. «Отсроченные» — реактивные и регенераторные изменения: пролиферация стромальных фибробластов костного мозга, ангиогенез, формирование эндостального и периостального регенератов с последующим их сращением. Морфометрически эти явления удается оценить лишь на 3-й сутки после остеотомии, хотя начало их относится к концу 1-х—2-м суткам наблюдения. Динамика показателей: протяженности зоны реактивных изменений, эндостального регенерата, площади периостального регенерата — в обоих отломках в принципе идентична, с небольшими количественными вариациями.
Статистическое сравнение средних морфометрических параметров патологических изменений в отломках по срокам обнаружило достоверно большую протяженность «ранних» ишемических изменений в дистальных отломках по сравнению с проксимальными. Процесс организации очагов инфаркта костного мозга и перестройки кортикальных остеонекрозов протекает в проксимальных отломках весьма активно, и на 14-е сутки некроз костного мозга в их свободных концах определяется не в каждом наблюдении данной серии, так как уже в этот срок очаг некроза частично либо полностью замещен фиброзно-костным эндостальным регенератом.
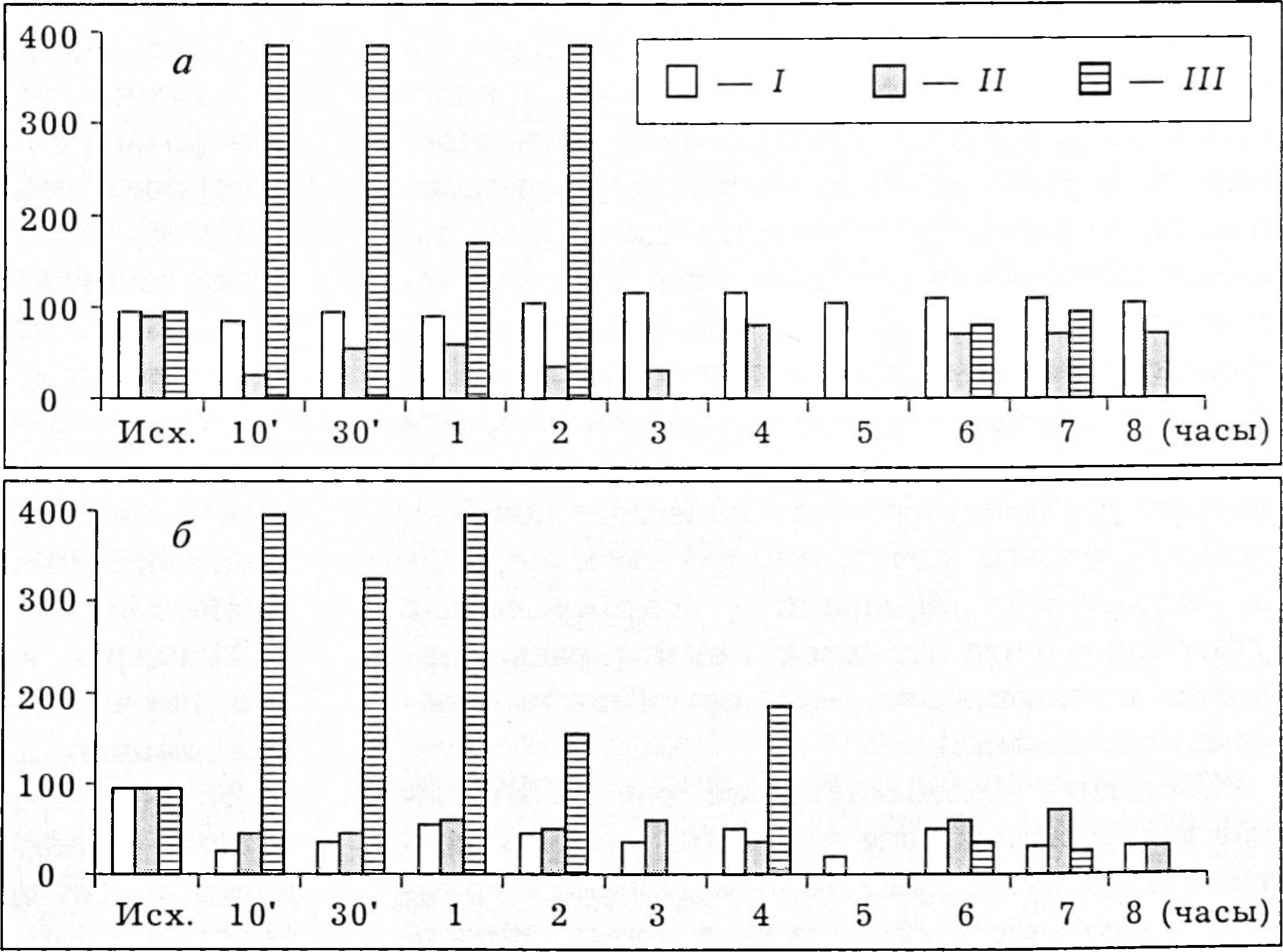
Результаты физиологического исследования. Сразу после остеотомии большеберцовых костей собак средний показатель ВКД в диафизарных отделах обоих отломков резко снижался. Однако в проксимальном отломке (рис. 6, а) уже через несколько минут ВКД начинало восстанавливаться, через 10 мин приближалось к среднему уровню перед остеотомией, а со 2-го часа незначительно превышало его. Средний показатель притока крови в диафизарной части проксимального отломка на протяжении 8 ч опыта был понижен, особенно значительно в период до 3 ч включительно, а показатель оттока — резко повышен в первые 2 ч (в сроки 10, 30 мин и 2 ч различия с исходным уровнем достоверны).
Рис. 6. Динамика физиологических показателей внутрикостного кровообращения в проксимальных (а) и дистальных (б) отломках большеберцовых костей собак после остеотомии.
По оси абсцисс — срок после остеотомии (Исх. — исходный уровень), по оси ординат — величина показателя (в % от исходного уровня); I — показатель оттока, II — показатель притока, III — ВКД.
В дистальном отломке средние параметры внутрикостной гемодинамики обнаруживали более существенные сдвиги, чем в проксимальном (рис. 6, б). Наиболее значительное снижение ВКД отмечалось в диафизарном отделе: оно уменьшалось более чем в 2 раза и в сроки 10, 30 мин, 1, 2, 6, 7, 8 ч оставалось достоверно ниже, чем в диафизарном отделе проксимального отломка. Показатель притока в диафизе в некоторые сроки наблюдения был уменьшен в 2 с лишним раза по сравнению с исходным, при этом его индивидуальные значения у разных животных сильно варьировали. Отток в диафизе дистального отломка вначале резко нарастал (в сроки 10, 30 мин и 4 ч — достоверно), но через 6—7 ч замедлялся более чем вдвое по сравнению с исходным, что свидетельствовало о его ухудшении.
Средняя величина относительного уровня ВКД (соотношение показателей после остеотомии и до остеотомии) в диафизарном отделе дистального отломка в сроки 10, 30 мин, 1, 2, 5, 7, 8 ч была достоверно меньше, чем в диафизе проксимального отломка. Между величинами относительного уровня ВКД и притока крови в диафизарных отделах отломков установлена положительная корреляция средней силы (r = 0,623; p < 0,001).
Обсуждение результатов. Динамика сроков и топография выключения микроциркуляторного русла компактной кости и костного мозга в нашем исследовании в основном соответствуют данным тех авторов, которые моделировали у разных видов животных переломы со значительным смещением отломков и повреждением крупных внутрикостных ветвей главной питающей артерии. Оценка наблюдавшихся при этом патологических изменений различна. Пожалуй, лишь Wang Yun Chao и соавт. [20] указывают, что в концах отломков длительно сохраняются очаги ишемии. В других работах не была прослежена ранняя ангиоморфологическая динамика поражения отломков в сопоставлении с патогистологической картиной и физиологическими показателями внутрикостной гемодинамики [3, 4, 8, 10]. Наши исследования показали, что размеры очагов выключения микроциркуляторного русла и очагов ишемического повреждения в раннем посттравматическом периоде не остаются стабильными и поэтому нельзя утверждать, что имеются очаги «аваскулярности» в отломках в 1—2-е сутки после перелома (остеотомии).
Состояние кровоснабжения концов отломков при диафизарном переломе длинной кости определяется фактом повреждения крупных внутрикостных ветвей главных питающих сосудов, а также структурно-функциональными параметрами потенциальных коллатералей (в данном случае — метафизарных артерий и вен). Пересечение основных стволов питающих артерий как один из компонентов травмы кости — главный фактор практически обязательного появления очагов необратимого выключения кровоснабжения костного мозга и костной ткани в свободных концах отломков, которое в пределах критического периода потенциально обратимых ишемических расстройств микроциркуляции так полностью и не компенсируется из коллатералей; отсутствие же компенсации к концу 1-х суток приводит к обширным инфарктам в концах отломков.
Результаты настоящего исследования с применением морфометрических оценок патологических изменений в отломках позволяют выдвинуть положение об очагово-зональном характере ишемического поражения кости при переломе, что обусловлено пространственно-временными особенностями нарушения и восстановления кровоснабжения отломков. Формирование зоны отсроченной компенсации (рециркуляции) относится ко 2—3-м суткам после остеотомии, причем рециркуляция здесь, очевидно, сочетается с регенерацией костномозговых клеток (и/или репопуляцией их) в зоне потенциально обратимого выключения кровоснабжения. Центр очага ишемии костного мозга к концу 1-х суток после травмы образован необратимо поврежденными костномозговыми клетками. Что касается костной ткани, где невозможна ранняя регенерация и репопуляция клеток, то в ней также отмечается постепенное сокращение размеров зон выключения микроциркуляторного русла. Наблюдаемое с 3-х суток (и позднее) прогрессирующее уменьшение размеров очагов инфаркта в концах отломков, несомненно, связано с процессами организации и реваскуляризации.
Патогенез острого ишемического поражения (инфаркта) отломков длинной кости при переломе (остеотомии) диафиза со значительным смещением свободных концов отломков можно представить в виде последовательных этапов:
1) острое повреждение (разрыв, пересечение, пережатие) крупных внутрикостных ветвей главных питающих сосудов;
2) внезапное падение ВКД и уменьшение объема перфузии сосудов костного мозга и костной ткани, обусловленные нарушением артериального притока в концах отломков, приводят к резкому замедлению кровотока, гипоксии стенок микроциркуляторного русла, внутрисосудистой агрегации эритроцитов и незрелых миелокариоцитов, плазматизации, спаданию и ишемическому стазу в капиллярах и синусоидах. Объем сосудистого русла кости и костного мозга, в котором происходит ишемический стаз, нарастает по крайней мере до 24 ч после остеотомии (перелома);
3) на периферии очагов выключения внутрикостной микроциркуляции тем не менее сохраняется зона потенциально обратимых расстройств, где возможно постепенное восстановление кровотока на 2—3-й сутки после перелома из коллатералей (метафизарные сосуды);
4) реактивные изменения в перифокальном по отношению к очагу некроза костном мозге — гиперемия микроциркуляторного русла, экссудация с плазматическим пропитыванием, отек и расплавление ткани, а затем регенерация костного мозга и костной ткани ведут к рассасыванию, резорбции и замещению очагов травматического инфаркта отломков.
В клиническом плане проведенное исследование позволяет сделать следующие выводы:
— диафизарные переломы длинных костей со значительным смещением отломков (боковым, по длине) могут сопровождаться повреждением костного мозга и костномозговых ветвей питающих сосудов и возникновением в концах отломков обширных очагов травматического инфаркта;
— топография и размеры очагов травматического инфаркта кости зависят от уровня повреждения питающих сосудов, что следует учитывать при клинической оценке тяжести перелома и перспектив сращения: наличие обширных инфарктов кости является одной из главных причин замедленной консолидации, фиброзных сращений, формирования ложных суставов, а также способствует развитию травматического остеомиелита;
— для минимизации размеров очагов травматического инфаркта кости в раннем посттравматическом периоде целесообразно применять средства, улучшающие микроциркуляцию (вазодилататоры, дезагреганты, антикоагулянты).
About the authors
V. V. Grigorovskiy
Ukrainian Institute of Traumatology and Orthopaedics
Author for correspondence.
Email: info@eco-vector.com
Ukraine, Kiev
References
Supplementary files








