Disabled people of the Republic of Tatarstan: life and problems
- Authors: Valeev R.N.1
-
Affiliations:
- Association of Social and Public Organizations of the Disabled of the Republic of Tatarstan
- Issue: Vol XXVI, No 3-4 (1994)
- Pages: 60-63
- Section: Experience exchange
- Submitted: 06.05.2022
- Accepted: 06.05.2022
- Published: 15.10.1994
- URL: https://journals.eco-vector.com/1027-4898/article/view/107178
- DOI: https://doi.org/10.17816/nb107178
- ID: 107178
Cite item
Full Text
Abstract
The problems of disabled people in Tatarstan and in Russia as a whole are the same. The situation remains the same when society does not hear about their needs, does not create elementary conditions for a normal human existence. Public places, transport, roads, entrances of houses are still inaccessible to them. There are no special lifts and descents in the transitions, there is not a single concert hall or theater where the presence of wheelchair users would be provided. Unfortunately, this indicates that Decree of the President of Russia “On measures to create an accessible living environment for the disabled” No. 1156 dated 02.10.92 has not yet become a guide to action for executive structures.
Keywords
Full Text
Проблемы инвалидов в Татарстане и в целом по России одинаковы. Прежней остается ситуация, когда общество не слышит об их нуждах, не создает элементарных условий для нормального человеческого существования. По-прежнему для них недоступны общественные места, транспорт, дороги, подъезды домов. Нет специальных подъем ников и спусков в переходах, нет ни одного концертного зала или театра, где было бы предусмотрено присутствие инвалидов на колясках. К сожалению, это свидетельствует о том, что Указ президента России «О ме рах по формированию доступной для инвалидов среды жизнедеятельности» № 1156 от 02.10.92 г. не стал пока руководством к действию для исполнительных структур.
Мы понимаем, что экономический кризис, спад производства, безудержный рост инфляции, всеобщая необязательность при выполнении законов сводят на нет многие положения этого указа. Возможно, постановление Правительства РФ № 927 от 12.08.94 г., принятое во исполнение вышеназванного указа, поможет его неукоснительному исполнению.
В нашей республике эти документы не остались незамеченными. В Татарстане наметился серьезный поворот всех властных структур в сторону понимания и решения проблем инвалидов. Так, Президиум Верховного Совета РТ в ноябре 1992 г. специально рассмотрел вопрос о трудоустройстве инвалидов. Было принято постановление и даны соответствующие рекомендации всем исполнительным структурам. Во исполнение этого документа Правительство РТ приняло в январе 1993 г. постановление «Об усилении мер по социальной защите инвалидов», на основании которого Ассоциация инвалидов РТ получила 320 млн рублей на строительство ряда объектов социально-бытового назначения. Однако рост инфляции в 1993 г. не позволил приступить к строительству некоторых запланированных объектов. Сегодня идет строительство лишь двух из них: 189-квартарного жилого дома для слепых и 60 квартарного специализированного жилого дома для инвалидов колясочников. Строительство второго из них в настоящее время ведет администрация Казани. Пожалуй, это первый в СНГ экспериментальный дом такого типа.
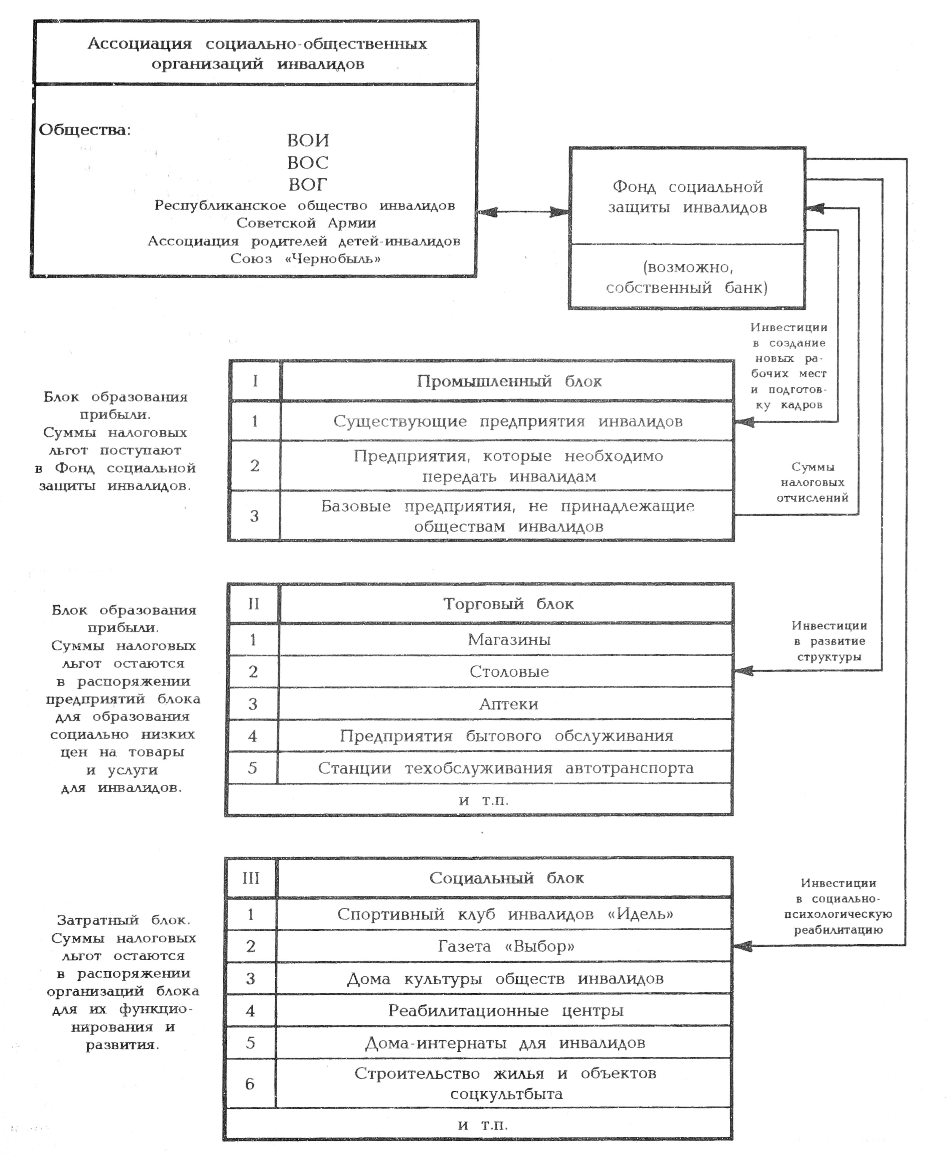
Большим событием в жизни инвалидов республики стало создание по инициативе нашего президента М.Ш. Шаймиева в декабре 1992 г. Ассоциации социально общественных организаций инвалидов Республики Татар стан, в которую вошли ВОИ, ВОС, ВОГ, Республиканское общество инвалидов Совет ской Армии, Ассоциация реабилитации детей инвалидов, Союз «Чернобыль» РТ, объединившие около 200 тыс. ивалидов. Эта структура взяла на себя координацию в решении некоторых общих проблем инвали дов, таких как организация новых рабочих мест, развитие самодеятельности, творческой активности, спорта, создание единого печатного органа, подготовка закона об инвалидах РТ, и в конечном счете — участие в формировании и реализации государственной программы поддержки инвалидов. Кроме того, создание на уровне республики специальной социально экономической ин фраструктуры для инвалидов со специализи рованными и неспециализированными, но работающими на нужды инвалидов предпри ятиями, сетью магазинов, столовых, аптек, предприятий бытового обслуживания, реабилитационными центрами. В ее основу положен принцип льготного налогообложения по всему налоговому полю предприятий, входя щих в инфраструктуру, за счет чего пред полагается снижение стоимости товаров и услуг для инвалидов.
Существенным тормозом при решении проблем инвалидов является отсутствие достоверной информации об инвалидах, их социально-демографических характеристиках, категориях и группах инвалидности. Так, по данным Министерства соцобеспечения РТ, инвалидов в республике около 113 тыс., по данным обществ инвалидов — около 150 тыс., по другим — 200 тыс. Однако, даже с учетом максимальных данных, инвалиды (т.е. имеющие этот статус) составляют всего 5,5% населения республики, в то время как, по утверждению многих авторитетных международных организаций, на планете каждый десятый— инвалид. По этому поводу можно привести достаточно красноречивый пример. Так, во Франции при численности населения 58 млн человек в 1990 г. зафиксировано 5 млн 350 тыс. инвалидов. В то же время в России с населением в 160 млн человек, по официальным источникам, — чуть более 4 млн инвалидов! И это в государстве, пережившем две мировые войны, Афганистан, Чернобыль.
Социально-экономическая инфраструктура для инвалидов РТ
Примечания:
- Все предприятия и организации, входящие в инфраструктуру, кроме упомянутых в п. 2 «Промышленного блока», сохраняют свою существующую подчиненность, порядок снабжения, экономические связи и трудовые коллективы.
- Предприятия, упомянутые в пп. 1 — 4 «Торгового блока», — в количестве не менее одного в каждом районе республики, включая городские районы.
Первые шаги Ассоциации были направлены на формирование банка данных по инвалидам, на изучение их реального жизненного уровня, удовлетворенности основными условиями жизни. С этой целью при Ассоциации создан центр социологических исследований на базе Казанского университета под руководством доцента Г.В.Морозовой. За последний год сотрудниками центра проведено 3 исследования, по их результатам опубликован сборник.
Согласно полученным данным, опрошенные инвалиды выразили большую неудовлетворенность пенсионным обеспечением. Это объясняется тем, что в последние годы произошла резкая дифференциация доходов семей инвалидов в зависимости от категорий инвалидности. Особенно высокая неудовлетворенность — у инвалидов по общему заболеванию (трудовому увечью) и инвалидов с детства. Значительный разрыв в размерах пенсий воспринимается инвалидами как неоправданный и несправедливый, и подав ляющее большинство опрошенных считает проблему совершенствования пенсионного обеспечения первоочередной. Исследование показало, что среднедушевой доход на одного члена семьи инвалида в среднем в полтора раза ниже среднереспубликанского уровня. Исключение составляют лишь инвалиды войны. В категорию особенно неблагополучных в материальном отношении вошли семьи инвалидов, где есть дети. Именно среди них оказалось наибольшее число тех, кто приз нал, что денег не хватает даже на продукты питания и приходится экономить на еде. Такое положение этих семей настоятельно требует особой заботы со стороны государства, общественных организаций и частных лиц.
В ходе исследования более 60% опрошенных высказали большую неудовлетворен ность медицинским обслуживанием. Причем среди казанских инвалидов доля недовольных работой медиков в 1,6 раза больше, чем в других регионах республики. Надеемся, что новая программа правительства республики по лекарственному обеспечению населения, разрушив сложившиеся ранее стереотипы, в какой-то степени улучшит положение.
Много претензий опрошенные высказали по поводу работы магазинов, пунктов бытового и коммунального обслуживания. В то же время инвалидов волнуют не только бытовые проблемы: они хотят, чтобы чаще организовывались смотры конкурсы творчества и художественной самодеятельности, различные спортивные сборы и соревнования, видя в этих мероприятиях возможность самоутверждения, самовыражения, общения с друзьями.
Считаем большим своим завоеванием создание единого печатного органа — газеты «Выбор». Эту газету бесплатно получают пока 12 тыс. инвалидов. Планируем с ноября 1994 г., если сумеем изыскать средства, увеличить тираж до 50 тыс. Не могу не отметить несовершенство нашего законодательства и налоговой системы. Мы до сихся пор вынуждены подчиняться Закону СССР от 1990 г. «Об общественных объединениях», который, категорически запрещая занимать коммерческой деятельностью, обрекает общественные организации инвалидов на дотации. Аналогичная ситуация и с налогами. Так, выпуская газету для инвалидов, мы вынуждены платить налоги по полной схеме. В подобной ситуации оказались находящиеся под эгидой Ассоциации ТОО «РИН» и «Эдельвейс», которые специализируются на производстве протезов и инвалидных колясок.
. Большая работа ведется Ассоциацией по развитию творчества и художественной самодеятельности среди инвалидов. Прогресс в этом направлении наиболее ощутим. Впервые в апреле 1994 г. в республике прошел 1-й Республиканский фестиваль творчества инвалидов. Б отборочных конкурсах приняли участие около 700 инвалидов, 43 из них бытия удостоены звания лауреата этого фестиваля, а троим указом президента нашей республики присвоено звание «Заслуженный работник культуры Республики Татарстан». В настоящее время Ассоциация имеет прекрасный коллектив, состоящий из одаренных музыкантов и исполнителей, а также детский хореографический коллектив «Радость» школы-интерната № 6 глухих детей под руководством И.И. Ионовой. В ближайшие месяцы планируем организовать для них гастрольные поездки по республике, благо для этого есть пока все необходимое, в первую очередь — автобус, который нам подарил большой друг Ассоциации московский бизнесмен Р.Г.Ахунов (сын классика татарской литературы). Для приобретения первого в республике специализированного автобуса для перевозки инвалидов-колясочников он выделил нам в 1993 г. 25 млн рублей. Сейчас этот автобус можно увидеть на улицах нашего города: с начала театрального сезона будем возить инвалидов- колясочников в театры. Правда, вносить их туда придется на руках, но, думаю, мы все же добьемся установления специальных подъемников, которые бы не портили интерьера театров.
Большое внимание уделяем развитию спорта среди инвалидов, проводим соревнования по различным видам. Серьезную поддержку имеем от Госкомспорта нашей республики: недавно совместно с ним учредили спортивный клуб для инвалидов «Идель», благодаря которому в этом году в наших рядах появился инвалид Виктор Костряков из Нижнекамска, чемпион России по лыжным гонкам, чемпион мира, участник Параолимпийских игр 1994 г. В августе 1994 г. состоялся второй спортивный фестиваль инвалидов республики, в котором приняли участие 150 спортсменов, в том числе из 4 городов России: Ижевска, Перми, Екатерин бурга, Пскова (первый фестиваль был проведен в августе 1993 г.).
Одной из серьезнейших забот Ассоциа ции остается организация новых рабочих мест для инвалидов и поддержка уже существующих предприятий, которые пострадали в результате непродуманной конверсии предприятий оборонного комплекса. Именно труд позволяет инвалидам чувствовать себя полноценными гражданами общества. Они не хотят просить милостыню, они хотят работать и зарабатывать, но для этого им нужны специализированные рабочие места — как в то время, до середины 50 х гг., когда лишь в Казани в собственности инвалидов находи лось около десятка предприятий (сегодня 3), большое количество сапожно-обувных мастерских, был собственный банк, подъездные пути со складскими помещениями и даже собственный санаторий (ныне это санаторий «Крутушка»).
К сожалению, все это в прошлом, и приходится начинать заново. Но, благодаря помощи и поддержке правительства республики, Ассоциация существует и набирает силу, ей по плечу решение проблем, делегированных обществами инвалидов. Сегодня они во многом не решаются не потому, что не хватает средств, а потому, что делами инвалидов занимаются различные ведомства: Министерство социального обеспечения. Министерство здравоохранения, Министерство народного образования, Управление социальной защиты, Госкомспорт, Госкомтруд и т.д. В итоге некому определять приоритетность при распределении средств, выделяемых для инвалидов, неизбежно возникает дублирование, нет подлинной ответственности и контроля. Во многом эти проблемы были бы сняты, если бы продолжал действовать Координационный комитет по делам инвалидов при президенте РФ.
About the authors
R. N. Valeev
Association of Social and Public Organizations of the Disabled of the Republic of Tatarstan
Author for correspondence.
Email: info@eco-vector.com
Chairman
Russian Federation, КазаньReferences
Supplementary files




