Eeg-analysis of the effect of combined use of carbamazepin and mexidolum on the epileptiform brain activity
- Authors: Badalyan О.L.1,2, Nerobkova L.N.1,2, Voronina Т.А.1,2, Avakyan G.N.1,2
-
Affiliations:
- Russian State Medical University
- Research Institute of Pharmacology, Russian Academy of Medical Sciences
- Issue: Vol XXIX, No 1-2 (1997)
- Pages: 22-26
- Section: Articles
- Submitted: 09.09.2021
- Accepted: 09.09.2021
- Published: 15.03.1997
- URL: https://journals.eco-vector.com/1027-4898/article/view/79866
- DOI: https://doi.org/10.17816/nb79866
- ID: 79866
Cite item
Full Text
Abstract
Experiments on rats with chronic epileptogenic fod in sensomotor region of cortex showed that effects of anticonvulsive agents depend on the progression phase of epileptic system. Effect of carbamasepinum in effective doses is mostly expressed during the phase of stable epileptic system with
determinant foci in limbico-hypothalamic structures. Lowering the doses of the drug brings about a decrease of anticonvulsive effect and activation of the secondary hippocampal focus. Combined use of carbamazepin and mexidolum with membra-notropic antioxidantal activity bbrings about an increase of anticonvulsive properties of carbamazepin and allows to decrease the therapeutic doses of the last.
Keywords
Full Text
В многочисленных исследованиях последних лет показана существенная роль структурно-функционального состояния мембран и свободно-радикальных процессов в патогенезе различных нервно-психических состояний — судорог, стресса, неврозов. Однако, к сожалению, до настоящего времени эти базисные представления практически не использовались как основа для применения мембраноактивных веществ в неврологической клинике. Среди известных антиоксидантов можно выделить производные 3-оксипиридина, которые являются ингибиторами свободно-радикальных реакций, изменяют структурно-функциональное состояние мембран. Представлялось интересным изучить возможности нового препарата мексидола из класса 3-оксипиридинов с антиоксидантами и мембранотропными свойствами для усиления противосудорожных свойств известных антиэпилептических средств.
Целью настоящего исследования является электрофизиологический анализ комбинированного применения мексидола и карбамазепина в различные сроки созревания хронического эпилептогенного очага.
Эксперименты проводились на белых беспородных крысах-самцах массой тела от 180 до 220 г с хронически вживленными электродами. Эпилептогенный очаг создавался аппликацией порошка металлического кобальта на поверхность сенсомоторной коры левого полушария (координаты АД — 1,5 мм, 1 — 1,5 мм). Биоэлектрическую активность сенсомоторной области коры (ипси- и контралатеральное полушария по отношению к очагу), дорзального гиппокампа и латерального гипоталамуса регистрировали ежедневно начиная со 2-го дня после аппликации кобальта. Подсчитывали число и длительность разрядов в минуту, длительность одного разряда и анализировали латентное время возникновения отдельных пароксизмов в каждой исследуемой структуре [2].
Ранее было показано, что в развитии эпилептиформной активности (ЭпА) крыс с кобальтовым эпилептогенным очагом можно выделить стадии, различающиеся по электрофизиологическим и нейрохимическим характеристикам [1, 3]. Исходя из этого, изучение влияния веществ и их комбинаций на ЭпА проводили отдельно в начальной стадии развития эпилептической системы (ЭС) — через 24—48 часов после аппликации кобальта и в стадии генерализации ЭпА — через 24—48 часов после аппликации эпилептогена.
В начальном периоде развития ЭС в электрограммах всех исследуемых областей отмечается большое количество отдельных острых высокоамплитудных волн, пиков, а также синхронно возникающих пароксизмальных разрядов. Введение мексидола в дозе 50 мг/кг в этот период вызывает угнетение ЭпА, что выражается в снижении числа разрядов ЭпА и их амплитуды.
Статистическая обработка данных с учетом числа разрядов за минуту, длительности отдельных пароксизмов и общей длительности разрядов в минуту в каждой исследуемой структуре для всей группы животных показала, что в начальном периоде развития ЭС наибольшее угнетение ЭпА под влиянием мексидола происходит в отведениях зеркального очага (число разрядов уменьшается в 2,78 раза, а их длительность за минуту — в 5,68 раза), а наименьшее угнетение — в истинном очаге (число разрядов уменьшается в 1,74 раза, а их длительность за минуту — в 3,65 раза).
Введение карбамазепина в дозе 20 мг/кг на ЭпА мозга крыс в начальном периоде развития эпилептогенного очага уменьшает как число эпилептических разрядов, так и их длительность. Наибольший эффект наблюдается в корковых очагах, тогда как в электрограммах латерального гипоталамуса и дорзального гиппокампа значения не достигают достоверных различий с уровнем контроля. Изменения показателей ЭпА в корковых очагах достоверно различаются через час после введения препарата и сохраняются в течение 4 часов.
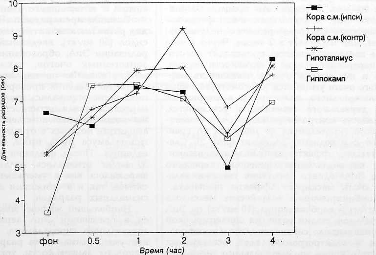
Под влиянием карбамазепина (10 мг/кг) на первой стадии развития ЭС эпилептиморфная активность меняется незначительно. При анализе изменений отдельных показателей было установлено, что снижение длительности разрядов наблюдается лишь через 3 часа после введения препарата и достигает достоверных различий лишь в кортикограммах ипсилатерального полушария (рис. 1). Число разрядов ЭпА в электрограммах сенсомотороной коры ипси- и контралатерального полушария и латерального гипоталамуса при этом увеличивается, но уменьшается длительность отдельных разрядов, то есть эффекты карбамазепина в дозе 10 мг/кг направлены в основном на уменьшение длительности разрядов, но не на число разрядов.
Рис. 1. Влияние карбамазепина (10 мг/кг) на длительность разрядов (1 с)
Анализ временных характеристик возникновения ЭпА показал, что на этой стадии разряды чаще всего начинаются в электрограммах латерального гипоталамуса и сенсомоторной коры, тогда как в гиппокампограммах разряды возникают реже. Под влиянием карбамазепина (10 мг/кг) через 30 минут происходят активация гиппокампального очага и подавление коркового очага в ипсилатеральном полушарии. Через 2 часа после введения вещества угнетается очаг ЭпА в латеральном гипоталамусе.
Наиболее устойчивым к воздействию карбамазепина (10 мг/кг) оказался зеркальный очаг: на рис. 2 видно, что процесс возникновения ЭпА в зеркальном очаге (сенсомоторная кора контралатерального полушария) постепенно нарастает к 2 часам. Через 4 часа после введения вещества происходит некоторое перераспределение в активности первичного и вторичного очагов. Активность первичного очага угнетается (сенсомоторная кора ипсилатерального полушария), а вторичный очаг дорзального гиппокампа усиливается. Активность контралатерального очага и латерального гипоталамуса не меняется по сравнению с исходными данными (рис. 2). Следовательно, эффекты карбамазепина направлены на подавление первичного коркового очага ЭпА, однако активация гиппокампального очага маскирует эффекты препарата.
Рис. 2. Ведущая структура в 1 стадии
Комбинированное воздействие мексидола (50 мг/кг) и карбамазепина (10 мг/кг) на ЭпА в начальной стадии развития эпилептической системы вызвало снижение длительности разрядов в электрограммах всех исследуемых областей, кроме ипсилатерального очага, через 3 часа после введения веществ. В гиппо- 24 кампограммах эффект наступал через 30 минут после его введения (рис. 3). На таком же сроке число разрядов в кортикограммах ипсилатерального полушария уменьшилось, но их длительность несколько увеличилась; через 3 часа после введения во всех исследуемых структурах число разрядов уменьшилось, а их длительность сократилась.
Таким образом, комбинированное применение карбамазепина и мексидола на первой стадии развития ЭС вызывает уменьшение как числа, так и длительности эпилептиформных разрядов, при этом эффект более выражен в электрограммах дорзального гиппокампа и латерального гипоталамуса.
Влияние препаратов на ЭпА во второй стадии развития эпилептической системы. Мексидол (50 мг/кг), введенный на стадии генерализации ЭпА, образования вторичных эпилептогенных очагов, также оказывал заметное влияние на пароксизмальную активность. До введения препарата во всех отведениях регистрировалась отчетливо выраженная пароксизмальная активность в виде синхронно возникающих комплексов острых волн, амплитуда которых в отведениях латерального гипоталамуса была ниже, чем в других от ведениях. После введения мексидола в дозе 50 мг/кг отмечалось подавление ЭпА что выражалось как в уменьшении числа пароксизмов, так и в снижении амплитуды пароксизмальных разрядов.
Наибольший эффект мексидола проявлялся в отношении ЭпА зеркального очага и латерального гипоталамуса, где имело место как уменьшение числа разрядов, так и снижение их длительности, тогда как в отведениях истинного очага и дорзального гиппокампа сокращалась лишь длительность разрядов.
Рис. 3. Влияние мексидола и карбамазепина на длительность азрядов (1с)
Однократное применение карбамазепина в дозе 20 мг/кг на второй стадии развития ЭС при стойко сформированной генерализованной ЭпА вызывал достоверное уменьшение длительности эпилептических разрядов во всех исследуемых структурах. Эффект наступал через 30 минут после введения препарата и достигал максимальных значений через 3 часа. Таким образом, на второй стадии развития ЭС карбамазепин оказывает более выраженное действие на длительность эпилептических разрядов, чем в начальной стадии формирования ЭС дорзального гиппокампа и контралатеральной коры. Введение карбамазепина однократно в дозе 10 мг/кг на 5—6-й день
после аппликации кобальта, то есть во второй стадии развития ЭС, приводило к устойчивому снижению длительности разрядов в электрограммах латерального гипоталамуса и дорзального гиппокампа. Эффект наблюдался через 30 минут и сохранялся на протяжении 4 часов. В кортикограммах ипси- и контралатерального полушарий эффект препарата был выражен в меньшей степени (табл. 1). Число разрядов ЭпА под влиянием карбамазепина (10 мг/кг) незначительно уменьшалось в электрограммах всех исследуемых областей через 30 минут после введения препарата. Этот эффект был более выражен в кортикограммах, но сохранялся в течение часа, затем число разрядов начинало увеличиваться (табл. 1).
Таблица 1. Влияние карбамазепина (10 мг/кг) на ЭпА мозга крыс с хроническим эпилептогенным очагом в сенсомоторной области коры во второй стадии формирования очага (n=6)
Показатели | Условия опыта | Кора (зеркальный) | Кора (истинный) | Гипоталамус (латеральный) | Гиппокамп (дорзальный) |
Число разрядов, мин | фон | 13,75±2,1 | 12,61±3,6 | 13,34±3,8 | 12,49±1,17 |
30 мин | 11,03±1,53 | 11,67±1,82 | 12,88±0,72 | 11,62 ±0,62 | |
1 час | 12,03±1,48 | 11,91±3,02 | 11,69±1 | 11,36±0,53 | |
2 часа | 13,09±1,48 | 12,09±1,82 | 12,66±0,89 | 12,64±0,71 | |
3 часа | 13,71±0,48 | 12,88±1,2 | 12,55±0,12 | 12,74±0,38 | |
4 часа | 13,11±0,81 | 12,59±1,57 | 13,51±1,33 | 12,19±0,28 | |
Длительность разрядов, мин | фон | 5,7±0,7 | 6,36±0,01 | 6,26±0,07 | 7,45±0,02 |
30 мин | 3,52±0,01 | 3,26±0,01 | 3,35±0,03 | 3,54±0,04 | |
1 час | 2,97±0,02 | 3,33±0,02 | 3,56±0,03 | 3,26±0,03 | |
2 часа | 4,б±0,01 | 5,47±0,01 | 3,57±0,03 | 3,25±0,02 | |
3 часа | 3,28±0,01 | 3,55±0,01 | 3,95±0,02 | 3,4±0,01 | |
4 часа | 4,46±0,05 | 4,46±0,05 | 4,9±0,03 | 3,66±0,02 |
Длительность отдельных разрядов ЭпА под влиянием карбамазепина (10 мг/кг) уменьшалась через 30 минут после введения препарата во всех исследуемых структурах, однако этот эффект в кортикограммах был нестабилен, и через 2 часа длительность отдельных разрядов в кортикограммах ипсилатерального полушария увеличилась выше фоновых значений.
Итак, во второй стадии развития ЭС действие карбамазепина направлено в основном на ЭпА латерального гипоталамуса и дорзального гиппокампа, при этом эффект осуществляется главным образом за счет уменьшения числа разрядов ЭпА, длительность же отдельных разрядов варьирует на протяжении эксперимента.
Комбинированное применение мексидола (50 мг/кг) и карбамазепина (10 мг/кг) вызывало выраженное снижение длительности эпилептиформной активности во всех исследуемых структурах, кроме дорзального гиппокампа уже через 30 минут после введения веществ. При этом в гиппокампограммах отмечалось сокращение длительности отдельных разрядов. Уменьшение числа разрядов было наиболее выраженным в кортикограммах ипси- и контралатерального полушарий. Через 3 часа после введения препаратов длительность отдельных разрядов в электрограммах латерального гипоталамуса и кортикограммах ипси- и контралатерального полушарий заметно уменьшалась (табл. 2), однако число разрядов в электрограммах контралатерального полушария коры увеличивалось. Таким образом, происходили "дробление" разрядов и асинхронность их возникновения. Через 3 часа в гиппокампограммах отмечалось снижение как длительности отдельных разрядов, так и числа разрядов. Через 4 часа длительность отдельных разрядов уменьшалась во всех исследуемых структурах.
Таблица 2. Влияние карбамазепина (10 мг/кг) и мексидола (50 мг/кг) на ЭпА мозга крыс с хроническим эпилептогенным очагом в сенсомоторной области коры во второй стадии формирования очага (п=6)
Показатели | Условия опыта | Кора (зеркальный) | Кора (истинный) | Гипоталамус (латеральный) | Гиппокамп (дорзальный) |
Число разрядов, мин | фон | 25,53±2,1 | 25,52±3,6 | 23,97±3,8 | 27,07±1,17 |
30 мин | 18,44±0,73 | 18,3±2,82 | 20,81±0,72 | 25,04±0,62 | |
1 час | 22,51±1,48 | 24,2±3,02 | 23,83±1 | 27,81±0,53 | |
2 часа | 23,78±1,48 | 27,89±1,82 | 24,05±0,89 | 23,54±0,71 | |
3 часа | 18,24±0,48 | 23,83±1,2 | 15,93±0,12 | 22,81±0,38 | |
4 часа | 22,22±0,81 | 24,63±1,57 | 18,32±0,81 | 26,87 ±0,28 | |
Длительность разрядов, мин | фон | 5,32±0,7 | 6,52±0,01 | 5,09±0,07 | 4,85±0,02 |
30 мин | 3,73±0,01 | 4,5±0,01 | 4,35±0,03 | 5,22±0,04 | |
1 час | 4,66±0,01 | 5±0,02 | 4,32±0,03 | 5,29±0,03 | |
2 часа | 5,84±0,01 | 5,95±0,01 | 4,71±0,03 | 6,22±0,02 | |
3 часа | 5,23±0,01 | 5,13±0,01 | 5,24±0,02 | 6,1±0,01 | |
4 часа | 4,85±0,05 | 6,19±0,05 | 5,62±0,03 | 5,5±0,02 |
Анализ ведущих структур показал, что наиболее устойчивой к воздействию данной комбинации является ЭпА в гиппокампограммах. До введения веществ эпилептиформные разряды раньше всего возникали в корковых очагах, через 30 минут после введения веществ эпиразряды в дорзальном гиппокампе стали появляться раньше, чем в других отведениях. Можно предположить, что во второй стадии развития ЭС вторичный очаг в дорзальном гиппокампе становится детерминантным, что и затрудняет фармакологическое на него воздействие.
About the authors
О. L. Badalyan
Russian State Medical University; Research Institute of Pharmacology, Russian Academy of Medical Sciences
Author for correspondence.
Email: info@eco-vector.com
Russian Federation, Moscow; Moscow
L. N. Nerobkova
Russian State Medical University; Research Institute of Pharmacology, Russian Academy of Medical Sciences
Email: info@eco-vector.com
Russian Federation, Moscow; Moscow
Т. А. Voronina
Russian State Medical University; Research Institute of Pharmacology, Russian Academy of Medical Sciences
Email: info@eco-vector.com
Russian Federation, Moscow; Moscow
G. N. Avakyan
Russian State Medical University; Research Institute of Pharmacology, Russian Academy of Medical Sciences
Email: info@eco-vector.com
Russian Federation, Moscow; Moscow
References
- Дюмаев К.М., Воронина Т.А., Смирнов Л.Д. Ангиоксиданты в профилактике и терапии патологий ЦНС.—М., 1995.
- НеробковаЛ.Н., Воронина ТА. // Бюлл. экспер. биол.— 1988.
- Поздеев В.К. Медиаторные процессы и эпилепсия.— 1983
Supplementary files






