The design of the electromagnetic aluminum mold of periodic action
- Authors: Bazarov A.A.1, Navasardyan A.A.1, Bondareva N.V.1
-
Affiliations:
- Samara State Technical University
- Issue: Vol 29, No 2 (2021)
- Pages: 100-116
- Section: Electrical Engineering
- URL: https://journals.eco-vector.com/1991-8542/article/view/79130
- DOI: https://doi.org/10.14498/tech.2021.2.7
- ID: 79130
Cite item
Full Text
Abstract
This publication discusses a set of issues on computer modeling of electromagnetic and thermal processes in an induction crystallizer of an aluminum melt, in which forces are created between the melt and the inductor coil, compressing the column of liquid material and preventing direct contact of the melt with the crucible walls. In known induction systems using electromagnetic pressure on molten metal, for crystallization, the parameters of the inductor are selected so that, with sufficient force, the temperature does not rise due to internal sources of heat release with sufficient water cooling of the surface. In the proposed work, heat removal mainly occurs through contact with a water-cooled support surface.
The aim of the work is to determine the process parameters at which the required electromagnetic force is formed on the melt wall, taking into account the change in the current density at the interface between the solid and liquid phases of aluminum.
When determining the parameters of induction crystallizers, the temperature dependences of the thermophysical properties were used. Variants of the inductor realization are investigated, which makes it possible to cover the entire volume of the melt, inside which significant changes in the electrical conductivity of aluminum and the power of internal heat sources are observed. Obtaining a cylindrical shape of the ingot, in contrast to the known electromagnetic crystallizers, is achieved by determining the design of the inductor, which provides a decrease in the repulsive electromagnetic force acting on the side surface of the melt in height. The results of the study showed the possibility of using the crystallizer at various ratios of the height and diameter of the melt column, and the intensity of cooling. The efficiency of the process for aluminum increases with an increase in the radius of the melt column, which also leads to a decrease in shape distortion in the region of the upper end.
Full Text
Конструкция электромагнитного кристаллизатора алюминия периодического действия*
Введение
В современной цветной металлургической промышленности широко применяются системы кристаллизации расплавов при одновременном воздействии электромагнитного поля и быстрого охлаждения потоками воды [1–6]. Взаимодействие токов индуктора и расплава обеспечивает отталкивание расплава от стенок футеровки. Интенсивное водяное охлаждение приводит к формированию твердого слоя сначала в поверхностном слое, а затем и в более глубоких областях. Необходимым условием успешного протекания процесса является большой коэффициент теплопроводности материала расплава, чтобы было возможным завершить переход в твердое состояние за минимальное время. Дополнительно сплав должен обладать достаточной пластичностью для предотвращения появления критических термонапряжений, способных привести к внутренним дефектам в слитке.
В работе [1] была показана технология литья алюминия в сжимающем электромагнитном поле. Данный способ позволяет получать цилиндрические слитки с контролируемым диаметром и ровной поверхностью без дополнительного загрязнения расплава. Последующее широкое распространение электромагнитных кристаллизаторов в промышленности нашло отражение в трудах, посвященных как самой технологии, так и моделированию процессов. Среди последних работ, посвященных проблемам моделирования, можно отметить [7, 8]. Кроме тепловых процессов в них рассмотрены вопросы гидродинамики при течении расплава.
Электромагнитное поле индуктора создает отталкивающие силы, действующие на расплав. Движение металла вниз относительно индуктора сопровождается быстрым охлаждением поверхностного слоя и кристаллизацией. На выходе из индуктора твердая корка уже способна удержать внутреннюю незатвердевшую часть. Продолжение охлаждения слитка и после выхода из индуктора позволяет завершить кристаллизацию. Параметры процесса подобраны таким образом, что радиус слитка не изменяется. Индуктор может иметь минимальную длину и содержать один виток.
Применение технологии кристаллизации в электромагнитном поле без охлаждающей жидкости возможно, но процесс охлаждения становится более длительным. В этом случае приемлемым является способ при периодической работе кристаллизатора. При заливке в тигель расплава и обжатии его магнитным полем возникает сложность в формировании изменяющегося по высоте сжимающего усилия, позволяющего получить слиток заданного диаметра по всей высоте. Основная причина проблемы заключается в наличии краевых эффектов, обусловленных конструктивными параметрами индуктора и свойствами металла.
Компьютерное моделирование процесса с учетом изменения теплофизических свойств в широком диапазоне температур позволяет с достаточной точностью предсказать поведение процесса кристаллизации металлов в сжимающем электромагнитном поле.
Моделирование процессов охлаждения с учетом теплообмена с внешней средой и выделения теплоты плавления показало возможность контроля перемещения границы «жидкость – твердое тело» [5–8]. Определение электродинамических усилий при кристаллизации рассмотрено во многих работах, посвященных электромагнитным кристаллизаторам. Общий подход к задачам электродинамики при индукционном нагреве показан в работе [9].
Формулировка задачи
Для реализации управляемого процесса кристаллизации расплава алюминия необходим учет нескольких факторов [6, 7]. Формирование кристаллов нужной величины и предотвращение недопустимых термонапряжений требуют определенной скорости охлаждения и поддержания величины тепловых потоков. Создание магнитного поля, обеспечивающего электромагнитную силу [8, 9], необходимую для удержания расплава на расстоянии от футеровки, требует решения задачи проектирования индуктора.
Поддержание общего характера процесса кристаллизации направлено на формирование распределения электромагнитной силы на боковой поверхности расплава по высоте. При этом требуется преобладание охлаждающего теплового потока над мощностью тепловыделения.
Для получения цилиндрической формы столба расплава необходимо снижение силы по линейному закону с увеличением высоты. Решение данной задачи требует применения математического моделирования нелинейных связанных электромагнитных и тепловых процессов, протекающих в условиях изменения агрегатного состояния [6–8, 11, 12].
Математическая модель в общем случае представляется системой нелинейных дифференциальных уравнений в частных производных. В рассматриваемой задаче необходимо учитывать целый ряд нелинейных процессов при переходе металла из жидкого состояния в твердое:
- происходит теплообмен между расплавом, футеровкой, системой охлаждения и окружающей средой, т. е. одновременно протекают процессы кондуктивного, конвективного, радиационного теплообмена;
- в процессе охлаждения расплава теплофизические и электрофизические свойства нагреваемого изделия изменяют свои значения с падением температуры, что приводит к изменению распределения мощности и силы по высоте расплава.
В качестве исходной конструкции кристаллизатора принята цилиндрическая форма. В нижней часть корпуса располагается тонкая подложка из алюминиевого сплава, чтобы на начальном этапе кристаллизации не было контакта с футеровкой. Под металлическим основанием располагается теплообменник в виде медной трубки с проточной водой, поэтому охлаждающий поток препятствует расплавлению подложки.
Для решения тепловой задачи с учетом реальных режимов теплообмена с окружающей средой в качестве исходной модели принято нелинейное уравнение теплопроводности вида [13]
(1)
с начальными условиями
(2)
и граничными условиями
; (3)
; (4)
; (5)
. (6)
Здесь – удельная теплоемкость;
– плотность;
– теплопроводность;
L – удельная теплота плавления;
b – подвижная граница раздела твердой и жидкой фаз металла;
Q – плотность внутренних источников тепла;
– коэффициенты конвективного теплообмена на поверхностях загрузки, футеровки, основания под расплавом;
– степень черноты загрузки и футеровки;
– температура внутренней стенки футеровки;
– температура окружающей среды.
Решение тепловой задачи выполняется методом конечных элементов. Данный метод позволяет с высокой точностью учитывать все нелинейности задачи путем изменения всех свойств на каждом шаге по времени, а также задавать сложные геометрические формы нагреваемого изделия. Для учета изменения агрегатного состояния используется коррекция удельной теплоемкости с помощью функции Хевисайда, позволяющей увеличить значение в заданном диапазоне температуры, чтобы отразить повышение теплосодержания.
Коэффициенты конвективного теплообмена и степень черноты участвующих в теплообмене сред имеют разные значения для разных участков. Кроме того, при расчете теплообмена между поверхностями учитывается взаимное отражение лучистых потоков.
Определение распределения температуры в нагреваемом изделии сводится к решению уравнения теплопроводности с функцией распределения внутренних источников тепла, которая находится в результате решения электромагнитной задачи.
Электромагнитная задача формулируется в виде уравнений Максвелла, описывающих связь между основными электромагнитными величинами, такими как напряженность магнитного поля и индукция. Для перехода к численному решению исходная система преобразуется в терминах векторного магнитного потенциала к виду
, (7)
где – круговая частота;
– магнитная проницаемость материалов, определяется как произведение относительной проницаемости на проницаемость вакуума .
В качестве граничных условий для однозначности задачи принимаются наиболее общие условия – равенство нулю векторного потенциала на границе расчетной области:
, (8)
где – удаленная граница расчетной области.
На базе основного дифференциального уравнения и граничных условий осуществляется переход к конечно-элементной формулировке и строится система алгебраических уравнений. В результате ее решения определяются значения магнитного потенциала для каждого элемента, по которым производится расчет токов и других переменных. В индукционной системе кристаллизации алюминия не предусматривается применение ферромагнитных материалов, поэтому для всех сред магнитная проницаемость равна единице.
Объемная плотность внутренних источников тепла, создаваемых в проводящей неподвижной среде, определяется в соответствии с выражением
. (9)
Здесь в скобках показано произведение плотности тока на его комплексно сопряженную величину.
Со стороны катушки индуктора на нити тока, протекающего в расплаве, действуют силы Лоренца, определяемые векторным произведением плотности тока и индукции
. (10)
Такой способ определения удобен для расчета электромагнитных сил в проводящих областях.
Задание теплофизических характеристик материалов
При реализации предлагаемой технологии необходимо учитывать особенности изменения теплофизических свойств материала в большом диапазоне температур. На примере алюминия можно наблюдать изменения свойств. Электрические свойства алюминия сильно изменяются при переходе из твердого состояния в расплавленное, удельное сопротивление возрастает приблизительно в десять раз. При кристаллизации за счет увеличения электропроводности уменьшается глубина проникновения и одновременно усиливаются краевые эффекты. Снижение тепловыделения при неизменном токе является положительным фактором, но значительное возрастание плотности тока и сил на краю усложняет задачу управления формой слитка.
Для разрешения этой проблемы необходим поиск параметров индукционной системы, футеровки и системы охлаждения, что позволяет одновременно минимизировать энергозатраты [10, 14–16].
При использовании численного метода решения задач для повышения точности расчетов удобно пользоваться аппроксимирующими выражениями для физических параметров. Коэффициенты теплопроводности и теплоемкости для алюминиевого сплава представлены функциями
; (11)
. (12)
Плотность алюминия принята постоянной и равна 2700 .
В выражении для коэффициента теплоемкости включена компонента, позволяющая учесть изменение теплосодержания при плавлении и кристаллизации [13]. Температура плавления алюминия равна 660 , и в качестве интервала температур, где происходит кристаллизация, можно взять величину . Дальнейшее уменьшение диапазона нежелательно из-за вычислительных проблем, вызванных плохой сходимостью при ограниченном числе элементов модели. Значение в выражении получено при делении теплоты плавления алюминия, равной 393 кДж/кг, на интервал температуры 30 градусов, принятый для проведения процесса плавления. Приведенное значение позволяет выполнить вычисления с приемлемыми затратами времени.
Для теплоизоляции, в качестве которой используется корунд, коэффициенты теплопроводности и теплоемкости представлены выражениями
; (13)
. (14)
Электропроводность алюминия при расплавлении снижается приблизительно в 10 раз. Для задания электропроводности используется ступенчатая функция, задающая скачкообразное изменение при переходе через температуру плавления:
. (15)
Расчеты электромагнитных и тепловых процессов
Расчеты электромагнитных и тепловых процессов при кристаллизации алюминия выполнялись для разных видов модели. Электротепловая модель эффективна при расчете процессов нагрева и охлаждения без учета изменения агрегатного состояния. Для моделирования процессов кристаллизации из-за существенных нелинейностей, создающих очень серьезные вычислительные проблемы, приходится переходить к тепловой модели с формированием области тепловыделения с заранее заданными характеристиками.
Целью расчета индуктора является доказательство возможности формирования необходимого давления на столб жидкого алюминия, но при этом выделяющееся тепло не должно превосходить величину отводимого теплового потока через охлаждаемую поверхность основания. Для обеспечения силы, прилагаемой к стенке расплава, достаточной для создания зазора, электромагнитное давление на расплавленный кремний должно превышать гидростатическое давление столба жидкого металла
. (16)
Цилиндрический индуктор с конической загрузкой
Использование цилиндрического вертикально расположенного индуктора для обжатия магнитным полем расплава алюминия позволяет обеспечить воздушный зазор между стенкой футеровки и расплавленным металлом. Возникает проблема переменного гидростатического давления по высоте столба расплава. В самом простом случае можно обеспечить постоянство электромагнитного давления на боковую стенку металла при подборе заглубления загрузки, за исключением областей краевых эффектов. Давление металла снижается с максимального значения в нижней части до нуля в верхней части. Разница двух давлений (гидростатического и электромагнитного) приводит к образованию конической формы расплава, а затем и слитка.
Исходными данными для расчета послужили следующие значения для двух вариантов цилиндрической загрузки и индуктора (табл. 1).
Таблица 1. Исходные данные
Индуктор | ||
, м | 0,22 | 0,35 |
, м | 0,2 | 0,2 |
Цилиндрическая загрузка | ||
, м | 0,15 | 0,3 |
, м | 0,15 | 0,3 |
V, м3 | 0,0106 | 0,085 |
, м2 | 0,07065 | 0,283 |
, м2 | 0,143 | 0,57 |
m, кг | 28,6 | 229 |
, Па | 3970 | 7930 |
, Н | 567 | 4520 |
Здесь – радиус индуктора;
– высота индуктора;
– высота загрузки;
– радиус загрузки;
V – объем цилиндра;
m – масса загрузки;
– площадь основания цилиндра (загрузки);
– площадь боковой поверхности цилиндра (загрузки);
– гидростатическое давление в основании загрузки;
– максимальное значение силы на боковую поверхность.
Исходя из того, что при цилиндрической форме индуктора с удалением от нижнего основания загрузки гидростатическое давление снижается, форма загрузки (расплава) приобретет вид усеченного конуса. Предполагая линейное изменение силы по высоте, примем форму загрузки в виде правильного усеченного конуса с целью определения распределения объемной плотности силы отталкивания () и интегрального значения силы, действующей на боковую поверхность. Для модели системы «цилиндрический индуктор – коническая загрузка» с радиусом нижнего основания 0,3 м и высотой 0,3 м с помощью программы Comsol проведены расчеты сил. Для удобства загрузка разбита на десять слоев толщиной 3 см. Полученные значения электромагнитных сил отталкивания вдоль вертикальной линии боковой поверхности конической загрузки представлены в табл. 2.
Таблица 2. Силы отталкивания и объемная плотность сил по слоям загрузки
№ слоя | 1 | 2 | 3 | 4 | 5 | 6 | 7 | 8 | 9 | 10 |
, Н | 292 | 290 | 228 | 169 | 122 | 85 | 59 | 42 | 32 | 23 |
, , Н/м3 | 3 | 3,1 | 2,5 | 1,8 | 1,3 | 0,8 | 0,6 | 0,4 | 0,3 | 0,25 |
Суммарная сила отталкивания равна 1342 Н.
Формирование конической формы слитка нежелательно, поэтому определены значения гидростатического давления в основании слоев и рассчитаны необходимые средние силы для каждого слоя. Значения приведены в табл. 3.
Таблица 3. Значения гидростатического давления и отталкивающей силы в слоях расплава
, кг | 230 | 207 | 184 | 161 | 138 | 115 | 92 | 69 | 46 | 23 |
, Па | 7930 | 7310 | 6500 | 5690 | 4880 | 4060 | 3250 | 2440 | 1625 | 813 |
, Н | 452 | 416 | 370 | 324 | 278 | 231 | 185 | 139 | 92 | 46 |
Суммарное требуемое значение силы отталкивания равно 2533 Н, что почти в два раза меньше, чем максимальное значение, полученное ранее (4520 Н).
Для определения более реальных геометрических размеров исходного объема расплава в результате взаимодействия двух сил (электромагнитной силы отталкивания и силы тяжести) проведены расчеты электромагнитных полей и сил в системе «металл – индуктор». Для нескольких вариантов конического тела при одинаковом объеме определено распределение объемной плотности радиальной составляющей силы на боковой поверхности загрузки.
В предположении, что форма остается конической для всех вариантов, производилось увеличение высоты загрузки в виде усеченного конуса с одновременным уменьшением радиуса верхнего основания. Результаты расчетов сведены в табл. 4, где представлены геометрические размеры, а также мощность тепловыделения и радиальная составляющая электромагнитной силы, действующей на боковую поверхность.
Таблица 4. Расчетные значения электромагнитной силы и мощности тепловыделения в конической загрузке
№ | , м | , м | , м | V, м3 | , Н | , Вт |
1 | 0,15 | 0,15 | 0,15 | 0,0106 | 543 | 6179 |
2 | 0,17 | 0,15 | 0,13 | 0,0105 | 454 | 4993 |
3 | 0,2 | 0,15 | 0,11 | 0,0107 | 399 | 4306 |
4 | 0,25 | 0,15 | 0,08 | 0,0107 | 346 | 3741 |
5 | 0,3 | 0,15 | 0,055 | 0,0106 | 322 | 3516 |
Принятая в расчетах значительная разница между радиусами загрузки (расплава) и индуктора объясняется наличием теплоизоляции и воздушного промежутка, отделяющего расплавленный металл от стенок.
Плотность силы не дает возможности оценить давление на боковую стенку столба расплава. Более информативным является расчет интегрального значения силы, действующей на тонкий слой металла (диск).
Для принятых геометрических размеров основной загрузки, имеющей свойства расплавленного металла, и подложки из алюминия, имеющей толщину 0,025 м, выполнен ряд расчетов при неизменном токе индуктора. Для упрощения величина тока одновиткового индуктора для всех вариантов составляла 40 кА. Для обеспечения постоянства плотности тока по длине индуктора в электромагнитной модели была задана нулевая электропроводность материала проводника.
Нижний край катушки индуктора находится на одном уровне с основанием подложки. Это позволяет сместить область краевых эффектов индуктора и загрузки на подложку, чтобы в зоне расплавленного алюминия распределение силы по высоте имело линейный вид.
На рис. 1 показан индуктор с загрузкой и подложкой. Уменьшение радиуса верхнего основания конуса сопровождается увеличением высоты. На рисунке показаны варианты № 2 и № 5 согласно табл. 4.
Рис. 1. Индуктор с загрузкой (два варианта) и подложкой
Также были построены диаграммы распределения электромагнитной силы (рис. 2). Сила, приложенная к загрузке, имеет отрицательное значение, так как является отталкивающей. Диаграммы на рис. 2 показывают, как изменяется вид распределения в зависимости от соотношения высот загрузки и индуктора. Сильное влияние на нижний участок диаграммы оказывает близость с подложкой, имеющей низкую температуру и высокое значение электропроводности. По сравнению со значениями усилий, показанных на рисунке, в области подложки силы больше в несколько раз. Чтобы сохранить наблюдаемые различия между диаграммами, участок диаграмм с большими значениями не показан.
Рис. 2. Диаграммы радиальной составляющей плотности силы Лоренца вдоль линии боковой поверхности конусообразной загрузки при высоте загрузки: 1 – 0,15 м; 2 – 0,17 м; 3 – 0,2 м; 4 – 0,25 м; 5 – 0,3 м
Проведенные вычисления показывают, что по мере увеличения высоты расплава вид диаграммы становится ближе к наклонной прямой линии. Именно при такой форме диаграммы распределения электромагнитной силы возможен баланс двух сил. Неполное соответствие вида диаграммы 1 линии боковой поверхности конуса говорит о том, что баланс сил гидростатического давления и отталкивающих электромагнитных сил приведет к искажению формы.
В результате проведенных расчетов были найдены геометрические размеры усеченного конуса расплава внутри цилиндрического индуктора в процессе кристаллизации в условиях обжимающего электромагнитного поля. Несмотря на некоторые отклонения, форма расплава близка к конической. Такая форма слитка не очень удобна для дальнейшей работы. Поэтому проведены расчеты, направленные на поиск формы индуктора, при которой загрузка приобретет форму цилиндра.
Конический индуктор с цилиндрической загрузкой
В качестве исходной конструкции индуктора служит катушка высотой 0,15 м, что совпадает с высотой загрузки. При расчетах для разных вариантов производилось изменение формы индуктора от цилиндрической до конической с углами наклона направляющей до 25 градусов (рис. 3). Во всех вариантах высота индуктора принималась уменьшенной по сравнению с обычными индукторами, где требуется снижение краевых эффектов. Предыдущие расчеты показали сложность в управлении распределением боковой составляющей электромагнитной силы в загрузке.
Рис. 3. Индуктор с загрузкой и подложкой: – угол наклона направляющей конуса
Расчеты показали нецелесообразность использования индукторов большой длины, так как краевые эффекты усиливаются при превышении длины (высоты) загрузки. Расчеты для загрузки диаметром 0,3 м и индукторов высотой 0,2 м и 0,15 м представлены на рис. 4, 5.
Рис. 4. Распределение плотности радиальной составляющей силы Лоренца на линии боковой поверхности расплава для конического индуктора высотой 0,2 м с углом наклона стенки: 1 – 25 градусов; 2 – 20 градусов; 3 – 15 градусов; 4 – 10 градусов; 5 – 5 градусов
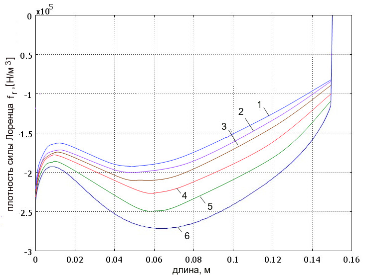
Рис. 5. Распределение плотности радиальной составляющей силы Лоренца на линии боковой поверхности расплава для конического индуктора высотой 0,15 м с углом наклона стенки: 1 – 30 градусов; 2 – 25 градусов; 3 – 20 градусов; 4 – 15 градусов; 5 – 10 градусов; 6 – 5 градусов
На приведенных на рис. 4, 5 диаграммах видно, что уменьшение силы в верхней части загрузки происходит недостаточно для того, чтобы обеспечить цилиндрическую форму загрузки. Избыточное давление электромагнитных сил приведет к сужению верхней части. Таким образом, рассматриваемая конструкция системы «индуктор – загрузка» не позволяет решить поставленную задачу. Одной из причин такого результата является относительно большое значение зазора между индуктором и загрузкой. Так как уменьшать его нежелательно, то для улучшения формы диаграмм произведено увеличение габаритов загрузки. Соотношение радиуса индуктора и воздушного зазора становится более значительным. В дальнейших расчетах приняты диаметр загрузки 0,6 м; высота загрузки 0,3 м; высота и угол наклона стенки катушки изменяются.
На рис. 6 приведены диаграммы распределения плотности электромагнитной силы на боковой поверхности цилиндрической загрузки. В отличие от диаграмм на рис. 4, 5 вид этих диаграмм гораздо ближе к наклонной прямой линии, как у направляющей конуса. Дальнейшее улучшение вида диаграмм затруднено. Использование переменного шага намотки катушки индуктора цилиндрической или конической формы также не позволяет получить требуемое распределение. Если чисто теоретически возможно спроектировать индуктор с требуемыми характеристиками, то практическая реализация становится неоправданно сложной.
Рис. 6. Распределение плотности радиальной составляющей силы Лоренца на линии боковой поверхности расплава высотой 0,3 м радиусом 0,3 м для конического индуктора длиной 0,2 м (1) и 0,25 м (2) с углом наклона стенки 25 градусов
Диаграммы распределения плотности электромагнитной силы для двух вариантов индуктора показывают возможность получения формы загрузки при кристаллизации, близкой к цилиндрической. Интегральные значения силы отталкивания составляют 2267 Н для диаграммы 1 и 2547 Н для диаграммы 2.
Основное внимание при моделировании процессов было уделено достижению требуемого распределения электромагнитных сил. Однако процесс кристаллизации возможен только при условии эффективного охлаждения. В данной задаче отвод тепла осуществляется в основном через основание загрузки, так как для алюминия характерен низкий коэффициент излучения. Предусмотрено принудительное охлаждение с помощью катушки из медной трубки, по которой циркулирует вода. Катушка плотно прилегает к основанию нижней части теплоизоляции. Несмотря на низкое значение коэффициента теплопроводности теплоизолирующего слоя, процесс охлаждения слитка протекает успешно при разных значениях коэффициента теплообмена между основанием и охладителем. Даже при значении коэффициента теплообмена, равном 100 Вт/(м2град), что обеспечивается при принудительном воздушном, а не жидкостном, охлаждении, процесс остывания не прекращается. Это возможно при условии относительно низких значений мощности тепловыделения в загрузке по сравнению с тепловыми потоками охлаждения в окружающую среду и к охладителю.
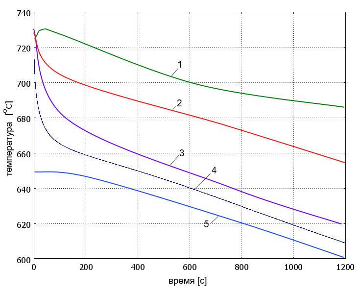
Моделирование тепловых процессов внутри слитка диаметром 0,6 м и высотой 0,3 м при охлаждении при коэффициенте теплообмена на нижней поверхности 1000 Вт/(м2град) для интервала времени 1200 секунд показало, что наиболее значительный тепловой поток направлен в сторону основания и составляет около 7,5 кВт. Потери с боковой поверхности за счет излучения и конвекции снижаются со значения 4 кВт до 3,5 кВт; потери с верхней поверхности уменьшаются с 1020 до 930 Вт. Нужно учесть, что охлаждение осуществляется в условиях постоянного тепловыделения в поверхностном слое. По мере снижения температуры и кристаллизации алюминия мощность тепловыделения уменьшается и скорость охлаждения увеличивается. В течение указанного интервала времени температура в различных точках слитков снижается на 60–130 градусов, что показано на рис. 7.
Рис. 7. Временные диаграммы температуры в слитке на расстоянии от основания: 1 – 0,1 м; 2 – 0,05 м; 3 – 0,02 м; 4 – 0,01 м; 5 – 0
Диаграммы температуры, представленные на рис. 7, относятся к точкам, расположенным на осевой линии загрузки. Такие особенности процесса, как тепловыделение в слое большой толщины и высокий коэффициент теплопроводности, приводят к тому, что перепад температуры по радиальной координате невелик по сравнению с перепадом по продольной координате.
Таким образом, проведенные исследования показали возможность применения периодического режима в электромагнитных кристаллизаторах для заготовок небольшой длины и значительного диаметра. Возможно получение цилиндрической формы слитка с небольшими отклонениями в верхней части. Этот вопрос требует дополнительной проработки, так как процессы усадки металла при кристаллизации сложно моделировать.
Заключение
На основании проведенных исследований процесса кристаллизации слитка из сплава алюминия подтверждена идея использования магнитного поля в качестве средства для изоляции расплава от футеровки с целью повышения чистоты продукции в условиях ограниченных объемов производства и нежелательного контакта с охлаждающей жидкостью. Применение численного метода моделирования позволило получить хорошие результаты расчета за счет корректной формулировки задачи, учета нелинейностей и применения эффективных аппроксимирующих зависимостей. Конструктивные параметры индуктора, найденные при анализе вариантов, позволяют обеспечить формирование заданной формы при кристаллизации слитка из алюминиевого сплава.
* Работа над статьей поддержана РФФИ (проект №19-06-00212).
About the authors
Alexander A. Bazarov
Samara State Technical University
Author for correspondence.
Email: vest_teh@samgtu.ru
Dr. Sci. (Techn.), Professor
Russian Federation, 244, Molodogvardeyskaya st., Samara, 443100Ashot A. Navasardyan
Samara State Technical University
Email: vest_teh@samgtu.ru
Postgraduate Student
Russian Federation, 244, Molodogvardeyskaya st., Samara, 443100Natalya V. Bondareva
Samara State Technical University
Email: vest_teh@samgtu.ru
Postgraduate Student
Russian Federation, 244, Molodogvardeyskaya st., Samara, 443100References
- Nepreryvnoye lit’ye v elektromagnitnyy kristallizator / Z.N. Getselev, G.A. Balakhontsev, F.I. Kvasov e dr. M.: Metalluggiya, 1983. 152 c.
- Pervukhin M.V., Sergeev N.V., Khatsayuk M.Yu. Elektromagnitnyy kristallizator dlya poluchiniya nepreryvno litykh slitkov s vysokimi skorostyami okhlazhdeniya // Izvestiya Rossiyskoy akademii nauk. Energetika. 2013. No. 3. Рр. 121–129.
- Avdulov A.A., Usynina G.P., Sergeev N.V., Gudkov I.S. Tekhnologiya lit’ya aluminievykh splavov v elektromagninyy kristallizator dlya proizvodstva dlinnomernykh zagotovok malogo diametra // Zhurnal Sibirskogo federal”nogo universiteta. Seriya; Knhimi”ya. 2017. Vol. 10. No. 1. Рр. 82–89.
- Avdulov A.A., Sergeev N.V., Gudkov I.S., Timofeev V.N., Gorokhov Yu.V., Avdulova Yu.S. Razrabotka tekhnologii proizvodstva provoloki iz spetsial”nykh aluminievykh solavov na osnove sposoba lit”ya v elektromagnitnyy kristallizator I nepreryvnogo pressovaniya sposobom conform // Zhurnal Sibirskogo federal‘mnogo universiteta. Seriya: Tekhnika I tekhnologiyi. 2017. Vol. 10. No. 1. Рр. 85–94.
- Kolyadov Ye.V., Gerasimov V.V., Visik Ye.M., Mezhin Yu.A. Lit’ye metodom napravlennoy kristallizatsii s upravlyayemym gradientom temperatury na fronte kristallizatsii // Liteynoye proizvodstvo. 2016. No. 8. Рр. 24–26.
- Minakov A.V., Khatsayuk M.Yu., Pervukhin M.V. Chiskennoe modelirovanie dinamiki svobodnoy poverkhnosti I kristallizatsii rasplava v elektromagnitnom kristallizatore // Induktsionnyy nagrev. 2014. No. 1 (27). Рр. 37–42.
- Demidivich V.B., Khatsayuk M.Yu., Timofeev V.N., Maksimov A.A. Chislennoe modelirovanie bestigel’nogo plavleniya titanovogo splava v peremennom magnitnom pole // Metallulrgiya mashinostroeniya. 2017. No. 3. Рр. 2–5.
- Chakraborty S., Ganguly S., Talukdar P. Determination of optimal taper in continuous casting billet mould using thermo-mechanical models of mould and billet // Journal of Materials Processing Technology. Vol. 270. August 2019. Рр. 132–141.
- Yegiazaryan A.S., Zimin L.S. Elektridinamicheskiye protsessy pri induktsionnom nagreve // Vestnik Samarskogo gosudarstvennogo tekhnicheskogo universiteta. Seriya: Tekhnicheskiye nauki. 2016. No. 1. Рр. 156–159.
- Sarapulov F.N., Frizen V.E., Sokunov B.A., Urmanov Yu.R. Snizheniye energozatrat v metallurgicheskom proizvodstve za schet primeneniya MGD-tekhnologiy // Promyshlennaya energetika. Moscow: Nauchno-tekhnicheskaya firma “Energopress”, 2016. No. 12. Рр. 21–27.
- O matematicheskom modelirovanii s fazovymi perekhodami v metallurgii I liteynom proizvodstve / L.A. Sokolovskaya, V.A. Mamishev // Pritsessy lit’ya. 2009. No. 2. Рр. 24–29.
- Bazarov A.A., Navasardyan A.A. Modelirovanie elektromagnitnikh I teplovykh protsessov v induktsionnom kristallizatore kremniya // Vestnik Samarskogo gosudarstvennogo tekhnicheskogo universiteta. Seriya: Tekhnicheskiye nauki. 2019. No. 3 (55). Рр. 105–109.
- Lykov A.V. Teoriya teploprovodnosti. Moscow: Vysshya shkola, 1967. 599 р.
- Balakin Yu.A., Zavzlishin I.V., Shumskaya L.P. Razrabotka teoreticheskikh osnov innovatsionnykh tekhnologiy vneshnego vozdeystviya na kristallizatsiyu metallov // Kachestvo. Innovatsii. Obrazovaniye. 2016. No. 2 (129). Рр. 23–30.
- Kuvaldin A.B., Fedin M.A., Polyakov O.A. Issledovanie parametrov elektromagnitnogo polya v diskretnoy srede // Izvestiya Rossiyskoy akademii nauk. Seriya fizicheskaya. 2020. Vol. 84. No. 2. Рр. 161–163.
- Danilushkin A.I., Zhivotyagin D.A., Kibkalo S.S., Surkov D.V. Optimizatsiya elektritekhnicheskogo kompleksa dlya vysokoproizvoditel’nykh liniy induktsionnogo nagreva // Vestnik Samarskogo gosudarstvennogo tekhnicheskogo universiteta . Seriya: Tekhnicheskiye nauki. 2020. Vol. 28. No. 3 (67). Рр. 110–124.
Supplementary files










