Релаксация остаточных напряжений в поверхностно упрочненном вращающемся цилиндре в условиях ползучести
- Авторы: Радченко В.П.1, Либерман А.Е.1, Блохин О.Л.2
-
Учреждения:
- Самарский государственный технический университет
- Зения АИ
- Выпуск: Том 26, № 1 (2022)
- Страницы: 119-139
- Раздел: Механика деформируемого твердого тела
- URL: https://journals.eco-vector.com/1991-8615/article/view/105164
- DOI: https://doi.org/10.14498/vsgtu1884
- ID: 105164
Цитировать
Полный текст
Аннотация
Разработана методика расчета релаксации остаточных напряжений в консольно закрепленном вращающемся цилиндре после процедуры поверхностно-пластического деформирования в условиях ползучести, учитывающая влияние ступенчатого изменения параметров температурно-силового нагружения (разгрузки). Задача моделирует напряженно-деформированное состояние поверхностно упрочненного цилиндра (стержня), торцевое сечение которого жестко закреплено на диске, вращающегося с постоянной угловой скоростью.
Методика включает метод реконструкции полей остаточных напряжений и пластических деформаций и метод расчета релаксации остаточных напряжений в процессе ползучести вращающегося цилиндрического стержня. Поскольку вызванные вращением растягивающие напряжения по длине стержня не изменяются во времени, в каждом поперечном сечении решается задача о релаксации остаточных напряжений для растягиваемого стержня при постоянном напряжении.
Выполнено детальное численное исследование влияния количества оборотов на скорость релаксации остаточных напряжений для упрочненного дробью цилиндрического образца радиусом 3.76 мм из сплава ЭИ698 при температуре 700 ºC.
Анализ результатов расчетов позволил установить нетривиальный эффект, заключающийся в том, что релаксация остаточных напряжений в сечениях, находящихся под действием осевых растягивающих напряжений вследствие вращения, происходит менее интенсивно, чем в «хвостовом» сечении, где осевая нагрузка от вращения равна нулю. Полученные в работе результаты могут быть полезными при оценке эффективности поверхностно-пластического упрочнения деталей в условиях высокотемпературной ползучести.
Полный текст
Введение. Технологии поверхностного пластического деформирования (ППД) деталей ответственных конструкций, эксплуатирующихся в условиях температурно-силовых воздействий, являются одним из резервов повышения их ресурса вследствие создания в приповерхностном слое поля сжимающих остаточных напряжений (ОН), препятствующих развитию различного рода микродефектов в материале. Положительное влияние ОН отмечается для ряда характеристик надежности: повышается предел выносливости при много- и малоцикловом нагружении и микротвердость, улучшаются трибологические характеристики и другие показатели [1–10]. Поскольку теоретическая (расчетная) оценка этих показателей связана с наличием информации о законах распределения ОН по глубине упрочненного слоя, одной из первых задач является решение проблемы реконструкции (формирования) напряженно-деформированного состояния ОН после упрочнения. Подавляющее большинство публикаций в этом направлении посвящено экспериментальным методам определения ОН и их использованию в дальнейших расчетах в поле внешних термомеханических нагрузок. Однако эти методы позволяют определить одну или две компоненты тензора ОН и не позволяют установить компоненты тензора пластических деформаций [3, 4, 10–12]. Существенное продвижение в области теоретических методов реконструкции ОН связано с возросшими возможностями математического моделирования технологических процессов на основе современного программного обеспечения в многочисленных коммерческих пакетах, базирующихся на методе конечных элементов (МКЭ). В этом направлении получен ряд впечатляющих результатов. В частности, в [13] за счет варьирования технологических параметров обработки поверхности дробью (длительность обработки, скорость и направление микрошариков и др.) на основе МКЭ с помощью 3D-моделирования удалось получить поля ОН и исследовать влияние технологических параметров на их формирование. Аналогичные подходы реализованы и в работах [14–20].
Кроме самостоятельной ценности решение проблемы реконструкции ОН имеет важное значение для постановки краевых задач ползучести поверхностно упрочненных элементов конструкций с начальным напряженно-деформированным состоянием и развития методов их решения. Величина и характер распределения ОН в процессе их релаксации являются ключевой информацией для расчета остаточного ресурса по параметрическим критериям отказа при эксплуатации упрочненных элементов конструкций по техническому состоянию.
Анализ публикаций в этом направлении свидетельствует, что тематика, связанная с релаксацией ОН в условиях ползучести, находится в стадии становления. Так, в [21] применительно к сплошным поверхностно упрочненным цилиндрическим образцам разработан прямой метод решения краевой задачи релаксации остаточных напряжений, на основании обобщения которого решен ряд задач для полых и сплошных упрочненных цилиндрических деталей в условиях сложного нагружения внешними квазистатическими нагрузками [22–25].
В настоящей работе ставится задача разработки метода решения релаксации ОН в поверхностно упрочненном сплошном цилиндрическом образце при вращении в условиях ползучести. Первая попытка решения такой задачи предпринята в [26], однако для построения методики расчета использовался приближенный метод [27], согласно которому полагалось, что поскольку толщина поверхностного упрочненного слоя мала по сравнению с радиусом цилиндрического образца, этот слой не оказывает существенного влияния на жесткость и деформируемость самого цилиндра. Поэтому тонкий упрочненный слой можно представить «наклеенным» на цилиндр и деформирующимся с ним в режиме «жесткого» нагружения под действием осевой растягивающей силы. Однако оценить погрешность этого метода теоретически не представляется возможным. В настоящей работе решение построено на основании точного (но численного) метода решения соответствующей краевой задачи.
Постановка задачи. Рассматривается поверхностно упрочненный сплошной вращающийся цилиндр в условиях ползучести. Целью работы является разработка метода расчета релаксации наведенных остаточных напряжений после процедуры поверхностного пластического деформирования вследствие ползучести материала цилиндра в поле массовых сил. Рассматриваемый цилиндрический стержень длиной и радиуса консольно закреплен в сечении и вращается вокруг оси с угловой скоростью ω, при этом используемая цилиндрическая система координат (r, θ, z) с центром в точке жестко связана с вращающимся упрочненным цилиндром (рис. 1). В данной постановке задача моделирует напряженно-деформированное состояние поверхностно упрочненного цилиндра (стержня), торцевое сечение которого жестко закреплено на диске радиуса , вращающегося относительно оси с постоянной угловой скоростью ω. При вращении возникает неоднородное осевое напряженное состояние за счет переменной продольной нагрузки (рис. 1), под действием которой развиваются деформации ползучести в каждом сечении образца и происходит релаксация остаточных напряжений в тонком при поверхностном упрочненном слое. При построении расчетной модели вводится гипотеза плоских сечений.
Рис. 1. Растяжение сплошного цилиндра от действия центробежной силы N при вращении с угловой скоростью ω
[Figure 1. Stretching of a solid cylinder from the action of centrifugal force N during rotation with angular velocity ω]
Схема решения поставленной задачи состоит из реализации следующих этапов:
1) реконструкция полей остаточных напряжений и пластических деформаций после процедуры упрочнения при нормальной («комнатной») температуре ;
2) перерасчет полей остаточных напряжений при приложении температурно-силовых стационарных нагрузок от вращения и изменении температуры со значения (модуль Юнга материала до температуры «эксплуатации» (, модуль Юнга при этой температуре );
3) расчет релаксации остаточных напряжений в упрочненном цилиндрическом образце вследствие ползучести при температуре .
2. Напряженно-деформированное состояние вращающегося цилиндра. Предварительно найдем закон изменения осевого напряжения во вращающемся неупрочненном цилиндре. Согласно [28] центробежная сила, действующая на элемент объема (рис. 1), имеет вид
где ω — угловая скорость; — плотность материала; — удельный вес; — ускорение свободного падения; — площадь поперечного сечения.
При определении центробежной силы элемент цилиндра рассматривается как точечная масса, сосредоточенная в центре тяжести сечения. Тогда из (1) имеем
откуда для напряжения получаем
Так как площадь сечения рассматриваемого кругового цилиндра постоянна по длине, из (2) находим
Далее, приняв во внимание, что — длина цилиндра, и сделав необходимые преобразования, получим окончательную формулу распределения растягивающих напряжений во вращающемся круглом цилиндре постоянного сечения при :
(3)
3. Методика реконструкции напряженно-деформированного состояния после поверхностного упрочнения. Основы этой методики заложены в работе [27] для изотропного поверхностно пластического упрочнения поверхности образца (обработка дробью, пневмо- и гидродробеструйное упрочнение и др.), а в дальнейших работах [22–25] выполнено ее обобщение на другие виды упрочнения (обкатка роликом, алмазное выглаживание и др.), приводящие к анизотропному характеру распределения остаточных пластических деформаций в направлениях осей θ и z цилиндрической системы координат. Обозначим через , , радиальное, окружное и осевое остаточные напряжения, а через , , — соответствующие компоненты тензора остаточных пластических деформаций после процедуры упрочнения. Недиагональными компонентами тензоров остаточных напряжений и пластических деформаций будем пренебрегать в силу их малости по сравнению с диагональными компонентами.
В предположении, что в области сжатия поверхностного слоя вторичные пластические деформации отсутствуют, с использованием экспериментально определенной компоненты в работах [22–25, 27] для остальных компонент тензоров остаточных напряжений и пластических деформаций получены следующие зависимости:
где — модуль Юнга при температуре упрочнения; — коэффициент Пуассона; α —феноменологический параметр анизотропии упрочнения. В случае пневмодробеструйной обработки микрошариками α=1 и эпюры напряжений , практически совпадают [27].
Схема расчета полей остаточных напряжений и пластических деформаций в сплошном цилиндре после процедуры упрочнения его поверхности (в момент времени ) имеет вид [22–25, 27]
(числа над стрелками означают номера формул, по которым вычисляется соответствующая величина). Из схемы (9) следует, что в конечном итоге компоненты , , , , определяются через при .
Таким образом, феноменологическая модель (9) основана на имеющихся экспериментальных данных о распределении компоненты . Однако экспериментально ее можно определить только в тонком упрочненном слое (области сжатия), поэтому эти данные необходимо экстраполировать на всю область . Для этого можно использовать аппроксимацию вида
где , , — параметры аппроксимации, методика идентификации которых хорошо известна [22–25, 27].
4. Расчет напряженно-деформированного состояния при мгновенном приложении температурно-силового нагружения. Рассматривается следующая температурно-силовая схема нагружения образца. Сначала образец мгновенно прогревается с температуры упрочнения (модуль Юнга ) до температуры «эксплуатации» (модуль Юнга ).
Затем цилиндр начинает вращаться вокруг оси с угловой скоростью ω. Предполагается, что при температурно-силовом нагружении не возникают вторичные пластические деформации, т. е. происходит упругая догрузка упрочненного образца. Поскольку не зависит от температуры, соотношение (5) для температуры можно записать в виде
Соотношение (11) по форме будет аналогично (5), если все эпюры остаточных напряжений после процедуры упрочнения умножить на коэффициент . Таким образом, получаем распределения остаточных напряжений при температуре . Учет напряженного состояния (3), вызванного вращением, позволяет найти начальные напряжения и деформации в упрочненном цилиндре в начальный момент времени :
Здесь и далее через , , , обозначаются зависимости для компонент тензоров напряжений и полных деформаций;
5. Методика расчета кинетики напряжений во вращающемся поверхностно упрочненном цилиндре в условиях ползучести. Решить поставленную задачу аналитически невозможно в силу нелинейности любого закона ползучести для металлических материалов, а получение компонент тензоров напряжений (, ) и пластических деформаций (, , ) из (4)–(8) возможно только численными методами. С учетом неоднородности напряженного состояния по координате при вращении выполняется дискретизация цилиндра по этой координате: с постоянным шагом . В дальнейшем упрочненный образец рассматривается как составной стержень из элементарных цилиндрических стержней с образующей , при этом в пределах каждого из них напряженное состояние по координате , ) можно считать однородным, а осевое растягивающее напряжение , определяемое по (3), — постоянным.
В связи с этим расчет релаксации остаточных напряжений в каждом сечении вращающегося упрочненного цилиндра можно выполнить автономно. Для этой цели можно использовать разработанную ранее методику [21, 22] для расчета кинетики напряженно-деформированного состояния в поверхностно упрочненном цилиндре в условиях ползучести при постоянной растягиваемой нагрузке (постоянном напряжении , определяемого из соотношения (3)).
Постановка краевой задачи включает следующие соотношения для k-го элементарного стержня ():
• уравнения равновесия
где , , — радиальная, окружная и осевая компоненты тензора напряжений в цилиндрическом образце в сечении ;
• уравнение совместности деформаций
где , — радиальная и окружная компоненты тензора полных деформаций;
• гипотеза плоских сечений:
• краевые условия:
Используя закон Гука, соотношение (15) и зависимость для полной деформации
где и — компоненты упругой деформации и деформации ползучести, находим зависимость для осевой компоненты тензора деформаций:
при этом для компонент деформаций ползучести имеем начальные условия , .
В работе [21] (и последующих работах [22–25]) на основе уравнений (6), (12)–(18) получено дифференциальное уравнение для компоненты в виде
с граничными условиями (16), где
решение которого записывается следующим образом:
Далее из (12) с учетом (19) находим окружную компоненту напряжений:
Для определения из (18) необходимо знать . Подставляя (18) в уравнение равновесия (13), получаем уравнение относительно величины , выражая которую, находим
а далее с использованием (20) определяем по формуле (18).
Расчет осуществляется на заданном временном интервале , где — финишное значение. Далее при осуществляется температурная разгрузка образца с температуры эксплуатации до температуры (предполагается, что этот процесс осуществляется мгновенно). В этом случае полученные к моменту времени зависимости для остаточных напряжений умножаются на коэффициент . Затем производится силовая разгрузка образца, т. е. полагается . Здесь в каждом сечении образца происходит ступенчатое изменение осевой компоненты тензора напряжений на величину, определяемую соотношением (3). Компоненты и реагируют лишь на ступенчатое изменение температурного режима с до . В итоге получаем поля остаточных напряжений при температуре после ползучести за время .
6. Выбор феноменологической модели ползучести. Для реализации методики расчета релаксации остаточных напряжений в условиях ползучести требуется использование какой-либо теории ползучести. В данной работе используется реологическая модель, предложенная для описания первой и второй стадий ползучести в работе [29] и обобщенная на третью стадию ползучести [30], основные соотношения которой при сложном напряженном состоянии имеют следующий вид:
(26)
Здесь , , — полная, упругая деформация и деформация ползучести соответственно; , , — вязкоупругая, вязкопластическая и вязкая составляющие деформации ползучести; , — соответственно компоненты истинного и номинального тензоров напряжений; , — упругие константы материала; , — соответственно интенсивности тензоров истинных и номинальных напряжений; , , , , , , — константы модели, при помощи которых описываются первая и вторая стадии ползучести материала и ее обратимая после разгрузки часть; , — коэффициенты Пуассона для обратимой и необратимой компонент деформаций ползучести; — активные вязкопластические деформации, наблюдаемые при отсутствии пуассоновского сужения материала; аппроксимируется соотношением вида , где , — константы модели, описывающие разупрочнение материала вследствие деформации ползучести; по повторяющемуся индексу выполняется суммирование.
Поскольку вязкопластическая деформация рассчитывается в главных осях, отсутствует суммирование по индексу в формулах (26).
В работе [30] приведен критерий рассеянного (объемного) разрушения энергетического вида для определения времени разрушения материала :
где величина в общем случае имеет аппроксимацию вида , где и — постоянные параметры модели. Отметим, что все параметры реологической модели могут быть найдены при наличии одоосных экспериментальных кривых ползучести вплоть до разрушения по методике работы [30]. В этой же работе приведены реологические параметры для некоторых материалов.
7. Результаты расчетов и их анализ. В модельных расчетах использовался цилиндрический поверхностно упрочненный образец радиуса мм из сплава ЭИ698 (ХН73МБТЮ) после процедуры дробеструйной обработки (в соотношениях (6) величина ) при нормальной («комнатной») температуре (модуль Юнга материала при этой температуре МПа), помещенный затем в поле массовых сил от вращения при (модуль Юнга МПа). Численные значения геометрических параметров (см. рис. 1) следующие: мм, мм.[1] Значение коэффициента Пуассона полагалось независимым от температуры. Расчеты для оценки кинетики остаточных напряжений во вращающемся образце в условиях ползучести выполнялись в пяти сечениях по длине мм при значениях (сечение 1), мм (сечение 2), мм (сечение 3), мм (сечение 4) и мм (сечение 5) при пяти величинах угловой скорости (об/мин). В каждом сечении рассчитывалась величина осевого напряжения от вращения по формуле (3) (в расчетах для сплава ЭИ698 использовалось значение г/см), которое остается постоянным во времени при фиксированной величине координаты , и при этих значениях осуществлялся расчет релаксации остаточных напряжений по приведенной выше методике. В качестве примера на рис. 2 приведены графики осевых напряжений по длине образца в зависимости от угловой скорости в соответствии с формулой (3).
Рис. 2. Распределения осевой нагрузки δ(z) по длине цилиндрического образца от угловой скорости ω: 1 — ω = 1500 об/мин; 2 — ω = 1750 об/мин; 3 — ω = 2000 об/мин; 4 — ω = 2250 об/мин; 5 — ω = 2500 об/мин
[Figure 2. Distributions of the axial load δ(z) along the length of the cylindrical sample on the angular velocity: ω: 1 — ω = 1500 rev/min; 2 — ω = 1750 rev/min; 3 — ω = 2000 rev/min; 4 — ω = 2250 rev/min; 5 — ω = 2500 rev/min]
В силу неоднородности полей остаточных напряжений не только по координате , но и по координате , осуществляется дискретизация по переменной () с шагом , . Реализация рассмотренной схемы решения в условиях ползучести осуществляется численно шагами по времени. Для этого проводится дискретизация по переменной (, ; ) и расчет компонент деформации ползучести на основании реологической модели (21)–(28) выполняется методом Эйлера численного интегрирования дифференциальных уравнений.
Экспериментальные данные для диаграммы одноосной ползучести сплава ЭИ698 при температуре 700 приведены в работе [30]. На основании этих данных в этой же работе вычислены все параметры реологической модели (21)–(28), численные значения которых приведены в таблице.
Значения параметров модели (21)–(28) для описания деформации ползучести сплава ЭИ698 (ХН73МБТЮ) при температуре 700 °С [30] [Values of model parameters (21)–(28) for describing the creep deformation of the EI698 (KhN73MBTYu) alloy at a temperature of 700 °С [30]]
, MPa | k | λk, h-1 | αk, ×10-4 | bk, ×10-4 | c, ×10-5 | n2 | m1 | α1, MPa-1-m1 | m3 | αA, MPa-1-mA | mA |
490.5 | 1 | 0.2 | 2.96 | 4.44 | 2.51 | 2.9 | 10.96 | 9.56 · 103 | 2.03 | 12.2 | 0 |
На первом этапе выполняется реконструкция полей остаточных напряжений после упрочнения образца из сплава ЭИ698 дробеструйной обработкой поверхности. Как указано выше (см. п. 3), исходной информацией является экспериментальная информация о распределении величины
( — глубина упрочненного слоя), которая приведена в монографии [27] для образца такого же радиуса мм и представлена на рис. 3 точками. На основе этих экспериментальных данных найдены параметры аппроксимации (10): МПа; МПа; . На основе аналитической зависимости для по схеме (9) с использованием зависимостей (4)–(8) получены законы распределения для , , и , . На рис. 3 сплошными линиями представлены расчетные значения для всех компонент тензора остаточных напряжений. Как следует из представленных экспериментальных данных, зависимости для и близки, а величина в области сжатия материала на 3–4 порядка (по модулю) меньше значений для и .
Рис. 3. Расчетные компоненты тензора остаточных напряжений (сплошные линии) и экспериментальные данные (точки) для упрочненного образца из сплава ЭИ698 (ХН73МБТЮ) по глубине упрочненного слоя h = α–r
[Figure 3. Calculated components of the residual stress tensor (solid lines) and experimental data (dots) for a hardened sample from EI698 (KhN73MBTYu) alloy over the depth of the hardened layer (h = α–r)]
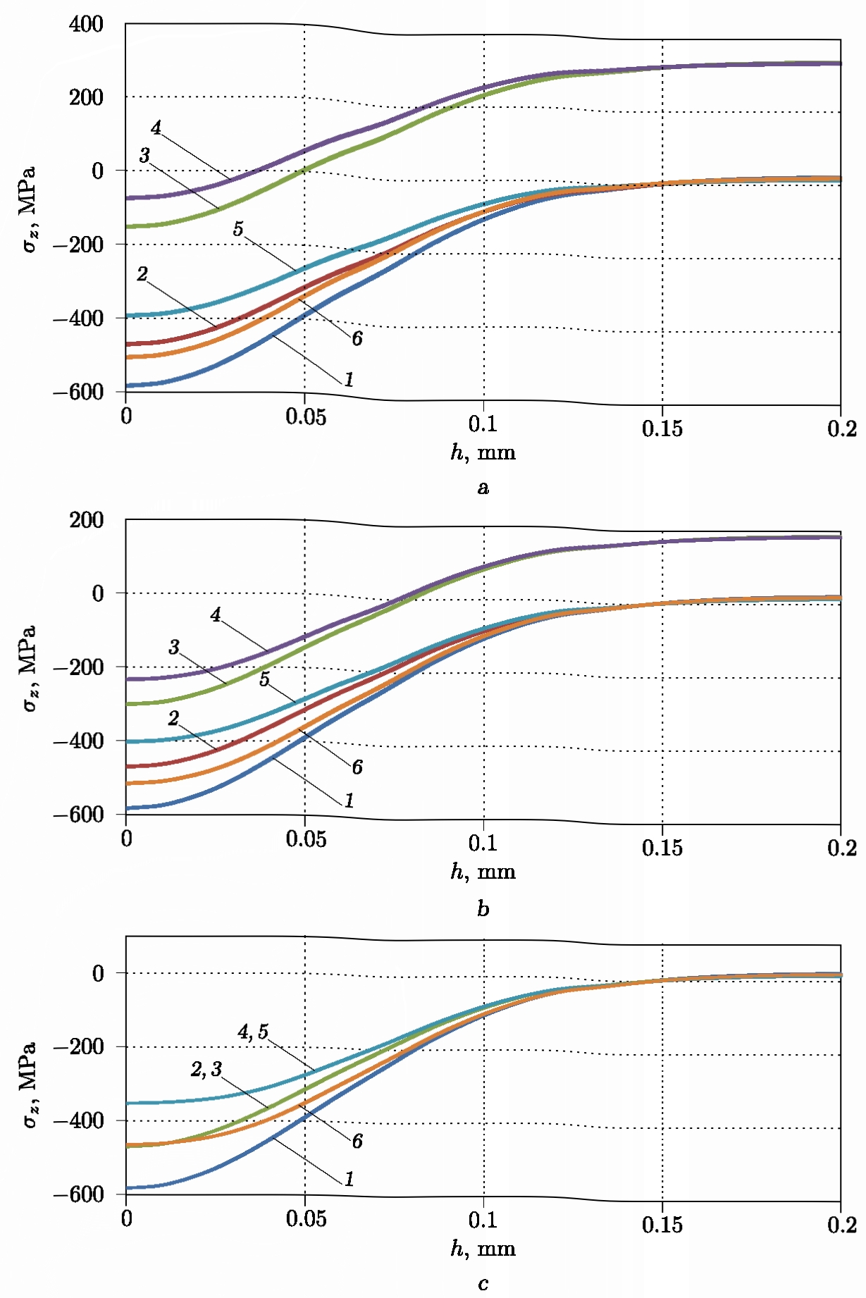
В качестве примера детально рассмотрим результаты расчетов релаксации остаточных напряжений в цилиндрическом образце при об/мин в сечениях, соответствующих («корневое» сечение), мм («центральное» сечение — сечение 3), мм («хвостовое» сечение). Осевые напряжения от вращения, рассчитанные по формуле (3), имеют следующие значения: МПа; МПа; . На рис. 4 приведены зависимости для остаточных напряжений в процессе ползучести упрочненного образца при температуре 700 °C в этих сечениях по глубине упрочнения в области сжатия материала на временной базе час, а на рис. 5 представлена аналогичная информация для осевой компоненты тензора остаточных напряжений .
Рис. 4. Кинетика компоненты остаточных напряжений δθ(r,t) в условиях ползучести при ω = 2000 об/мин в сечениях z = 0 (a), z = 75 мм ( b) и z = 150 мм ( c). Маркеры: 1 — после процедуры упрочнения при T = 26 в момент времени t = 0 – 0; 2 — после температурно-силовой нагрузки при T = 700 в момент времени t = 0 + 0; 3 — после ползучести при температурно-силовой нагрузке при T = 700 в момент времени t = 300 – 0 ч; 4 — после температурно-силовой разгрузки при T = 26 в момент времени t = 300 + 0 ч
[Figure 4. Kinetics of the residual stress component δθ(r,t) (calculated values) under creep conditions at ω = 2000 rev/min in sections z = 0 ( a), z = 75 mm (b), and z = 150 mm (c). Labels: 1 — after the hardening procedure at T = 26 at time t = 0 – 0; 2 — after temperature-force load at T = 700 at time t = 0 + 0; 3 — after temperature-force load at T = 700 under creep conditions at time t = 300 – 0 h; 4 — after temperature-force unloading at T = 26 at time t = 300 + 0 h]
Рис. 5. Кинетика компоненты остаточных напряжений δθ(r,t) в условиях ползучести при ω = 2000 об/мин в сечениях z = 0 ( a), z = 75 мм ( b) и z = 150 мм ( c). Маркеры: 1 — расчетные значения после процедуры упрочнения при T = 26 в момент времени t = 0 – 0; 2 —после температурной нагрузки (T = 700) в момент времени t = 0 + 0; 3 — после силовой нагрузки при T = 700 в момент времени t = 0 + 0; 4 — после ползучести при температурно-силовой нагрузке при T = 700 в момент времени t = 300 – 0 ч; 5 — после силовой разгрузки при T = 700 в момент времени t = 300 + 0 ч; 6 — после температурной разгрузки (T = 26) в момент времени t = 300 + 0 ч
[Figure 5. Kinetics of the residual stress component δθ(r,t) (calculated values) under creep conditions at ω = 2000 rev/min in sections z = 0 (a), z = 75 mm (b), and z = 150 mm (c). Labels: 1 — after the hardening procedure at T = 26 at time t = 0 – 0; 2 — after thermal load (T = 700) at time t = 0 + 0; 3 — after force load at T = 700 at time t = 0 + 0; 4 — after temperature-force load at T = 700 under creep conditions at time t = 300 – 0 h; 5 — after force unloading at T = 700 at time t = 300 + 0 h; 6 — after thermal unloading (T = 26) at time t = 300 + 0 h]
Отметим, что во всех расчетах при использовании критерия разрушения (28) его левая часть всегда принимала значения меньшие единицы, т.е. разрушения материала не наблюдалось.
Анализ зависимостей на рис. 4 и 5 свидетельствует, что релаксация остаточных напряжений в сечениях, находящихся под действием осевых растягивающих напряжений вследствие вращения, происходит менее интенсивно, чем в «хвостовом» сечении при мм, где осевая нагрузка от вращения равна нулю. Это следует из сравнения финишных кривых с маркером 4 для с исходной эпюрой с маркером 1 (см. рис. 4, a и 4, c) и кривых для на рис. 5, a и 5, c (маркеры 1 и 6 соответственно). Другими словами, приложение растягивающих осевых напряжений приводит к замедлению процесса релаксации остаточных напряжений по сравнению с условиями чистой термоэкспозиции в сечении мм, где ползучесть происходит только под действием остаточных (собственных) напряжений.
Отметим, что аналогичный нетривиальный вывод получен и в работе [31], в которой показано, что при всестороннем растяжении поверхностно упрочненной пластины в условиях плоского напряженного состояния наблюдается замедление процесса релаксации остаточных напряжений при ползучести, в отличие от условий термоэкспозиции (чисто температурное нагружение) без внешних силовых нагрузок.
Второй важный вывод состоит в том, что за время ползучести в течение 300 часов остаточные напряжения (по модулю) уменьшились на 16–20% в сечениях по длине вращающегося образца, что следует из сравнения кривых с маркерами 1 и 4 на рис. 4 и с маркерами 1 и 6 на рис. 5. Аналогичные результаты получены и при других рассмотренных значениях числа оборотов. C точки зрения эффективности поверхностно пластического упрочнения деталей, эксплуатирующихся в условиях высокотемпературной ползучести (по крайней мере при температуре 700 °С и угловой скорости вращения 2000 об/мин), эти результаты носят позитивный характер.
Полученные результаты могут быть использованы в авиадвигателестроении для оценки эффективности поверхностно пластического упрочнения деталей авиационной техники, поскольку никелевый сплав ЭИ698 (ХН73МБТЮ) широко применяется для изготовления лопаток газовых турбин, термообработанных и обточенных штамповок дисков, дефлекторов, лабиринтов и других деталей с рабочей температурой до 750 °С, а также крепежных и других деталей, работающих при уровне температур порядка 800 °С.
Заключение. В работе разработана методика расчета релаксации остаточных напряжений в консольно закрепленном вращающемся поверхностно упрочненном цилиндрическом образце в условиях ползучести с начальным напряженно-деформированным состоянием после процедуры упрочнения, учитывающая влияние ступенчатого изменения параметров температурно-силового нагружения (разгрузки) и на распределение остаточных напряжений и их кинетику в процессе ползучести.
Выполнены модельные расчеты для оценки скорости релаксации остаточных напряжений в зависимости от количества оборотов для упрочненного дробью цилиндрического образца радиусом 3.76 мм из сплава ЭИ698 при температуре 700 °С. Анализ результатов расчетов позволил установить нетривиальный эффект, заключающийся в том, что релаксация остаточных напряжений в сечениях, находящихся под действием осевых растягивающих напряжений вследствие вращения, происходит менее интенсивно, чем в «хвостовом» сечении, где осевая нагрузка от вращения равна нулю. Полученные в работе результаты могут быть полезны при оценке эффективности поверхностно-пластического упрочнения деталей в условиях высокотемпературной ползучести.
Конкурирующие интересы. Заявляем, что в отношении авторства и публикации этой статьи конфликта интересов не имеем.
Авторский вклад и ответственность. Все авторы принимали участие в разработке концепции статьи и в написании рукописи. Авторы несут полную ответственность за предоставление окончательной рукописи в печать. Окончательная версия рукописи была одобрена всеми авторами.
Финансирование. Работа выполнена при поддержке Российского научного фонда (РНФ 19–19–00062, Самарский государственный технический университет).
Competing interests. We declare that we have no competing interests.
Author’s Responsibilities. We take full responsibility for submit the final manuscript to print. We approved the final version of the manuscript.
Funding. This study was supported by the Russian Science Foundation (RSF 19–19–00062, Samara State Technical University).
[1] Значения и соответствуют длине лопатки мм и радиусу диска одной из ступеней газотурбинного двигателя.
Об авторах
Владимир Павлович Радченко
Самарский государственный технический университет
Автор, ответственный за переписку.
Email: radchenko.vp@samgtu.ru
ORCID iD: 0000-0003-4168-9660
SPIN-код: 1823-0796
Scopus Author ID: 7004402189
ResearcherId: J-5229-2013
http://www.mathnet.ru/person38375
доктор физико-математических наук, профессор; заведующий кафедрой; каф. прикладной математики и информатики
Россия, 443100, Самара, ул. Молодогвардейская, 244Александр Евгеньевич Либерман
Самарский государственный технический университет
Email: aliberman740@gmail.com
ORCID iD: 0000-0002-9185-2131
http://www.mathnet.ru/person181575
аспирант; каф. прикладной математики и информатики
Россия, 443100, Самара, ул. Молодогвардейская, 244Олег Леонидович Блохин
Зения АИ
Email: olb940611@mail.ru
ORCID iD: 0000-0002-0167-4758
http://www.mathnet.ru/person181576
инженер по машинному обучению
Республика Беларусь, 220100, Минск, ул. Кульман, 9Список литературы
- Биргер И. А. Остаточные напряжения. М.: Машгиз, 1963. 232 с.
- Гринченко И. Г. Упрочнение деталей из жаропрочных и титановых сплавов. М.: Машиностроение, 1971. 120 с.
- Сулима А. М., Шувалов В. А., Ягодкин Ю. Д. Поверхностный слой и эксплуатационные свойства деталей машин. М.: Машиностроение, 1988. 240 с.
- Ножницкий Ю. А., Фишгойт А. В., Ткаченко Р. И., Теплова С. В. Разработка и применение новых методов упрочнение деталей ГТД, основанных на пластическом деформировании поверхностных слоев // Вестник двигателестроения, 2006. № 2. С. 8–16.
- Dai K., Shaw L. Analysis of fatigue resistance improvements via surface severe plastic deformation // Intern. J. Fatigue, 2008. vol. 30, no. 8. pp. 1398–1408. https://doi.org/10.1016/j.ijfatigue.2007.10.010.
- James M. N., Hughes D. J., Chen Z., et al. Residual stresses and fatigue performance // Eng. Failure Anal., 2007. vol. 14, no. 2. pp. 384–395. https://doi.org/10.1016/j.engfailanal.2006.02.011.
- Majzoobi G. H., Azadikhah K., Nemati J. The effect of deep rolling and shot peening on fretting fatigue resistance of Aluminum-7075-T6 // Mater. Sci. Eng. A, 2009. vol. 516, no. 1–2. pp. 235–247. https://doi.org/10.1016/j.msea.2009.03.020.
- Soady K. A. Life assessment methodologies incorporating shot peening process effects: mechanistic consideration of residual stresses and strain hardening. 1. Effeact of shot peening on fatigue resistance // Mater. Sci. Technol., 2013. vol. 29, no. 6. pp. 673–651. https://doi.org/10.1179/1743284713Y.0000000222.
- Terres M. A., Laalai N., Sidhom H. Effect of nitriding and shot-peening on the fatigue behavior of 42CrMo4 steel: Experimental analysis and predictive approach // Mater. Design., 2012. vol. 35. pp. 741–748. https://doi.org/10.1016/j.matdes.2011.09.055.
- Павлов В. Ф., Кирпичев В. А., Вакулюк В. С. Прогнозирование сопротивления усталости поверхностно упрочненных деталей по остаточным напряжениям. Самара: Самар. науч. центр РАН, 2012. 125 с.
- Радченко В. П., Павлов В. Ф., Саушкин М. Н. Исследование влияния анизотропии поверхностного пластического упрочнения на распределение остаточных напряжений в полых и сплошных цилиндрических образцах // Вестн. Перм. нац. иссл. политехн. ун-та. Механика, 2015. № 1. С. 130–147. https://doi.org/10.15593/perm.mech/2015.1.09.
- Radchenko V. P., Saushkin M. N., Bochkova T. I. Mathematical modeling and experimental study of forming and relaxation of residual stresses in plane samples made of EP742 alloy after ultrasonic hardening under high-temperature creep conditions // PNRPU Mechanics Bulletin, 2018. no. 3–4. pp. 88–98. https://doi.org/10.15593/perm.mech/eng.2018.3.09.
- Chen H., Wang S., Lu S., et al. Simulation and experimental validation of residual stress and surface roughness of high manganese steel after shot peening // Procedia CIRP, 2018. vol. 71. pp. 227–231. https://doi.org/10.1016/j.procir.2018.05.066.
- Isa M. R., Sulaiman S. N., Zaroog O. S. Experimental and simulation method of introducing compressive residual stress in ASTM A516 grade 70 steel // Key Eng. Mater., 2019. vol. 803. pp. 27–31. https://doi.org/10.4028/www.scientific.net/KEM.803.27.
- Киселев И. А., Жуков Н. А., Васильев Б. Е., Селиванов А. Н. Учет остаточных напряжений при расчетах прочности элементов замковых соединений. Часть 1. Моделирование дробеструйной обработки // Известия высших учебных заведений. Машиностроение, 2018. № 11. С. 49–59. https://doi.org/10.18698/0536-1044-2018-11-49-59.
- Meguid S. A., Maicic L. A. Finite element odeling of shot peening residual stress relaxation in turbine disk assemblies // J. Eng. Mater. Technol., 2015. vol. 137, no. 3, 031003. https://doi.org/10.1115/1.4030066.
- Gallitelli D., Boyer V., Gelineau M., et al. Simulation of shot peening: From process parameters to residual tress fields in a structure // Comptes Rendus Mécanique, 2016. vol. 344, no. 4–5. pp. 355–374. https://doi.org/10.1016/j.crme.2016.02.006.
- Zimmerman M., Klemenz M., Schulze V. Literature review on shot peening simulation // Int. J. Comput. Mater. Sci. Surf. Eng., 2010. vol. 3, no. 4. pp. 289–310. https://doi.org/10.1504/ijcmsse.2010.036218.
- Purohil R., Verma C. S., Rana R. S., et al. Simulation of shot peening process // Materials Today: Proceedings, 2017. vol. 4, no. 2 A. pp. 1244–1251. https://doi.org/10.1016/j.matpr.2017.01.144.
- Jebahi M., Gakwaya A., Lévesque J., et al. Robust methodology to simulate real shot peening process using discrete-continuum coupling method // Int. J. Mech. Sci., 2016. vol. 107. pp. 21–33. https://doi.org/10.1016/j.ijmecsci.2016.01.005.
- Радченко В. П., Саушкин М. Н. Прямой метод решения краевой задачи релаксации остаточных напряжений в упрочненном изделии цилиндрической формы при ползучести // ПМТФ, 2009. Т. 50, № 6. С. 90–99.
- Радченко В. П., Кочеров Е. П., Саушкин М. Н., Смыслов В. А. Экспериментальное и теоретическое исследование влияния растягивающей нагрузки на релаксацию остаточных напряжений в упрочненном цилиндрическом образце в условиях ползучести // ПМТФ, 2015. Т. 56, № 2. С. 169–177. https://doi.org/10.15372/PMTF20150217.
- Деревянка Е. Е., Радченко В. П., Цветков В. В. Релаксация остаточных напряжений в поверхностно упрочненном цилиндре в условиях ползучести при жестких ограничениях на линейные и угловые деформации // Изв. РАН. МТТ, 2021. № 3. С. 118–127. https://doi.org/10.31857/S057232992103003X.
- Радченко В. П., Цветков В. В., Саушкин М. Н. Релаксация остаточных напряжений в упрочненном цилиндре в условиях ползучести при нагружении осевой силой, крутящим моментом и внутренним давлением // ПМТФ, 2020. Т. 61, № 4. С. 96–107. https://doi.org/10.15372/PMTF20200412.
- Радченко В. П., Саушкин М. Н., Цветков В. В. Влияние термоэкспозиции на релаксацию остаточных напряжений в упрочненном цилиндрическом образце в условиях ползучести // ПМТФ, 2016. Т. 57, № 3. С. 196–207. https://doi.org/10.15372/PMTF20160320.
- Просвиркина Е. А., Саушкин М. Н. Релаксация остаточных напряжений в поверхностно упрочненном слое сплошного вращающегося цилиндра в условиях ползучести / Труды Третьей Всероссийской научной конференции (29–31 мая 2006 г.). Часть 1: Математические модели механики, прочности и надежности элементов конструкций / Матем. моделирование и краев. задачи. Самара: СамГТУ, 2006. С. 192–199.
- Радченко В. П., Саушкин М. Н. Ползучесть и релаксация остаточных напряжений в упрочненных конструкциях. М.: Машиностроение-1, 2005. 226 с.
- Биргер И. А., Шорр Б. Ф., Иосилевич Г. Б. Расчет на прочность деталей машин. М.: Машиностроение, 1979. 702 с.
- Самарин Ю. П. Уравнения состояния материалов со сложными реологическими свойствами. Куйбышев: Куйб. гос. унив., 1979. 84 с.
- Радченко В. П., Еремин Ю. А. Реологическое деформирование и разрушение материалов и элементов конструкций. М.: Машиностроение-1, 2004. 265 с.
- Радченко В. П., Бербасова Т. И., Шишкин Д. М. Релаксация остаточных напряжений в поверхностно упрочненном призматическом образце в условиях ползучести при двухосном нагружении // ПМТФ, 2021. Т. 62, № 5. С. 184–194. https://doi.org/10.15372/PMTF20210518.
Дополнительные файлы








