The influence of creep deformations on the subsequent plastic flow in a material of rotating cylinde
- Authors: Firsov S.V.1
-
Affiliations:
- Institute of machinery and metallurgy of Khabarovsk Federal Research Center of Far Eastern Branch of Russian Academy of Sciences
- Issue: Vol 27, No 1 (2023)
- Pages: 102-118
- Section: Mechanics of Solids
- URL: https://journals.eco-vector.com/1991-8615/article/view/110975
- DOI: https://doi.org/10.14498/vsgtu1955
- ID: 110975
Cite item
Full Text
Abstract
The influence of creep deformations on the process of plastic flow in a material is studied by using the example of the rotational motion of a cylinder with an inner cavity (a pipe) that has a rigid coating on its outer boundary to prevent radial expansion. The problem is solved within the frameworks of the theory of infinitesimal deformations. The theory of plastic flow with the associated condition of maximum octahedral stresses of von Mises, generalized to the case of viscoplastic flow, is used to describe the plastic properties of the material. The Norton's power law is used to describe the viscous properties. In the plastic flow region, the irreversible deformation rates are composed of plastic deformation rates and creep deformation rates. The dependencies required to determine the rotational speed at which plastic deformation initiates in the cylinder material are derived from the elastic deformation solution. A system of integro-differential equations is compiled to find the displacements and stresses in the cylinder material for the specified rotational speeds and accumulated irreversible deformations. Numerical calculations show that the presence of creep deformations leads to a later initiation of plastic flow, a reduction in plastic deformation rates, and a decrease in the plastic flow influence area.
Full Text
Введение
На продвигающихся границах областей пластического течения в теории упругопластичности отмечается одномоментная смена в механизмах необратимых деформаций: в активном процессе — с вязкого (ползучесть) на пластический (течение); при разгрузке — наоборот. При этом вязким механизмом до начала пластического течения и при разгрузке, как правило, пренебрегают. Задача с одномоментным переходом при учете и деформаций ползучести, и деформаций пластического течения рассмотрена, по-видимому, впервые в [1]. В рамках теории больших деформаций [2] данная задача рассматривается позднее в [3–5]. В [6] отмечается, что подобная проблема возникает и в классической теории упруговязкопластичности при малых деформациях. Такое замечание делается на основе решения задачи о вращении цилиндра, изготовленного из упругопластического материала и вращающегося вокруг своей оси. Деформации ползучести и последующего вязкопластического течения возникают в материале цилиндра за счет объемных центробежных сил инерции вращения.
Прочностные расчеты материалов вращающихся дисков и валов важны для ряда технических приложений [7] механики деформирования. Соответствующие краевые задачи для упругопластических и упруговязкопластических цилиндров и дисков рассматривались неоднократно [8–14]. Теоретически постановка таких задач обуславливает возможность получения точных решений [10, 12, 14–16]. Данная возможность определяется использованием кусочно =линейных пластических потенциалов, то есть классических условий пластического течения максимальных касательных напряжений (условий Треска–Сен-Венана) [10–14] или максимальных приведенных напряжений (условий Ишлинского–Ивлева) [15, 16]. Ситуация в этом вопросе такая же, как и в теории температурных напряжений в упругопластических телах [17–19].
1. Общие соотношения модели
Будем считать, что материал деформируемого тела обладает упругими, вязкими и пластическими свойствами, где под вязкими свойствами понимается накопление деформаций ползучести. При расчетах будем ограничиваться только малыми деформациями. Тогда полные деформации $\boldsymbol{d}$ можно представить суммой их обратимых (упругих) $\boldsymbol{e}$ и необратимых $\boldsymbol{p}$ составляющих:
\[ \begin{equation*}
\boldsymbol{d} = \boldsymbol{e} + \boldsymbol{p} = \frac12 (\nabla\boldsymbol{u} + \nabla^{\top}\boldsymbol{u} ),
\end{equation*} \]
где $\boldsymbol{u}$ — вектор перемещений. Положим, что напряжения $\boldsymbol{\sigma}$ зависят только от обратимых деформаций $\boldsymbol{e}$. Для задания такой зависимости воспользуемся законом Гука
\[ \begin{equation}
\boldsymbol{\sigma} = \lambda \operatorname{tr}(\boldsymbol{e})\boldsymbol{I} + 2\mu\boldsymbol{e}.
\end{equation} \tag{1} \]
Здесь $\lambda$ и $\mu$ — коэффициенты Ламе. Пластические деформации имеют место в материале в условиях принадлежности напряжений поверхности нагружений (текучести) в пространстве напряжений $f(\boldsymbol{\sigma}, \sigma_0) = 0$ ($\sigma_0$ — предел текучести). В условиях принятия принципа Мизеса [20] функция $f(\boldsymbol{\sigma}, \sigma_0)$ оказывается пластическим потенциалом со следованием ассоциированного с поверхностью нагружения закона пластического течения:
\[ \begin{equation} \label{eq:base:pl:flow}
\boldsymbol{\varepsilon}^p = \frac{d\boldsymbol{p}}{dt} = \phi\frac{\partial f}{\partial \boldsymbol{\sigma}}, \quad \phi > 0.
\end{equation} \tag{2} \]
В качестве условия пластического течения (поверхности нагружения) будем использовать следующее обобщение условия максимальных октаэдрических напряжений Мизеса [21, 22]:
\[ \begin{equation}
f(\boldsymbol{\sigma}, \sigma_0) = \sqrt{\frac32(\boldsymbol{\tau} - \eta\boldsymbol{\theta}){}\boldsymbol{\cdot}{\!\!}\boldsymbol{\cdot}{}(\boldsymbol{\tau} - \eta\boldsymbol{\theta})} - \sigma_0^2, \;\; \boldsymbol{\tau} = \boldsymbol{\sigma} - \frac13 \operatorname{tr}\boldsymbol{\sigma}, \;\;
\boldsymbol{\theta} = \boldsymbol{\varepsilon}^p - \frac13 \operatorname{tr}\boldsymbol{\varepsilon}^p,
\end{equation} \tag{3} \]
где $\eta$ — коэффициент вязкого сопротивления пластическому течению.
Деформации ползучести в материале накапливаются схожим образом [7]:
\[ \begin{equation}
\boldsymbol\varepsilon^v = \frac{d\Phi(\Sigma(\boldsymbol\sigma))}{d\boldsymbol\sigma} =
\frac{d\Phi}{d\Sigma}\frac{d\Sigma}{d\boldsymbol\sigma}.
\end{equation} \tag{4} \]
Для задания потенциала ползучести $\Phi$ воспользуемся степенным законом Нортона [23] с двумя параметрами $B$ и $n$:
\[ \begin{equation}
\frac{d\Phi}{d\Sigma} = B \Sigma^n.
\end{equation} \tag{5} \]
Значение $\Sigma$ в соотношения (4) и (5) вводится при переходе от одномерного случая к трехмерному [7] и является некой мерой трехмерного напряженного состояния. Далее в качестве этой меры будет использоваться октаэдрическая мера напряжений Мизеса
\[ \begin{equation*}
\Sigma^2 = \frac32\boldsymbol{\tau}{}\boldsymbol{\cdot}{\!\!}\boldsymbol{\cdot}{}\boldsymbol{\tau}.
\end{equation*} \]
2. Постановка задачи
Рассмотрим полый цилиндр, радиус внутренней полости которого $R_1$. Боковая поверхность данного цилиндра радиусом $R_2$ покрыта жестким слоем, предотвращающим его радиальное расширение. Введем цилиндрическую систему координат $(r, \varphi, z)$, ось $z$ которой проходит через ось симметрии цилиндра. Деформации в цилиндре происходят за счет центробежных сил, возникающих при его вращении вокруг оси симметрии с угловой скоростью $\omega(t)$. Угловым ускорением пренебрегаем. Положим торцы цилиндра зафиксированными, то есть материал цилиндра находится в плоском деформированном состоянии. В этом случае компоненты вектора перемещений и тензора деформаций запишутся в виде
\[ \begin{equation}
\begin{gathered}
u_r = u_r(r, t), \quad
u_\varphi = u_z = 0, \quad
d_{rr} = e_{rr} + p_{rr} = u_{r,r}, \\
d_{\varphi\varphi} = e_{\varphi\varphi} + p_{\varphi\varphi} = r^{-1}u_r, \quad
d_{zz} = e_{zz} + p_{zz} = 0.
\end{gathered}
\end{equation} \tag{6} \]
Для удобства расчет будем производить в безразмерных переменных:
\[ \begin{equation*}
\xi = {r}/{R_2}, \quad
u = {u_r}/{R_2}, \quad
\tau = {t}/{t^*}, \quad
\tilde{\sigma}_{ij} = {\sigma_{ij}}/{\sigma_0}
\end{equation*} \]
с безразмерными параметрами:
\[ \begin{equation*}
\begin{gathered}
\xi_0 = {R_1}/{R_2} = 0.2, \quad
\alpha = {\lambda}/{\sigma_0} = 250, \quad
\beta = {\mu}/{\sigma_0} = 195, \\
\chi = B\sigma_0^n t^* = 0.01, \quad
n = 4, \quad
\zeta = {\eta}/({\sigma_0 t^*}) = 0.1.
\end{gathered}
\end{equation*} \]
Здесь $t^*$ — общая продолжительность процесса деформирования, $\tau \in [0{;} 1]$. Для краткости безразмерные переменные в дальнейшем пишем без знака тильды. Уравнение равновесия запишется в виде
\[ \begin{equation}
\sigma_{rr,\xi} + \xi^{-1}\left(\sigma_{rr} - \sigma_{\varphi\varphi}\right) = -\xi\psi^2,
\quad \psi^2 = R_2^2\frac{\rho\omega^2}{\sigma_0}.
\end{equation} \tag{7} \]
Граничные условия задачи имеют вид
\[ \begin{equation}
\sigma_{rr}(\xi_0, \tau) = 0, \quad u(1, \tau) = 0.
\end{equation} \tag{8} \]
3. Первоначальная упругость
Положим, что в начале деформирования напряжения малы и не возникает области пластического течения, а деформации ползучести незначительны и их можно отбросить. Иными словами, необратимые деформации $\boldsymbol p$ будут равны нулю. Тогда уравнение равновесия (7) с учетом закона Гука (1) и кинематических соотношений (6) приведется к виду
\[ \begin{equation*}
u_{, \xi\xi} + \xi^{-1}u_{, \xi} - \xi^{-2}u = -\frac{\xi\psi^2}{\alpha + 2\beta}.
\end{equation*} \]
Проинтегрировав данное дифференциальное уравнение, с учетом граничных условий (8) получим следующее решение задачи упругого деформирования [24]:
\[ \begin{equation}
\begin{aligned}
u &= -\frac{1 - \xi^2}{8\xi}\frac{(2\alpha + 3\beta)\xi_0^4 - \beta\xi^2 + (\alpha + \beta)\xi_0^2(1 + \xi^2)}{(\alpha + 2\beta)((\alpha + \beta)\xi_0^2 + \beta)}\psi^2, \\
\sigma_{rr} &= -\frac{\xi^2 - \xi_0^2}{4\xi^2}\frac{(2\alpha + 3\beta)(\beta(\xi_0^2 + \xi^2) + (\alpha + \beta)\xi_0^2\xi^2) - \beta(\alpha + \beta)}{(\alpha + 2\beta)((\alpha + \beta)\xi_0^2 + \beta)}\psi^2, \\
\sigma_{\varphi\varphi} &= - \frac{\xi_0^2(\alpha + \beta)\left(\beta - \xi^4(2\alpha + \beta)\right)}{4\xi^2(\alpha + 2\beta)\left(\xi_0^2(\alpha + \beta) + \beta\right)}\psi^2- \frac{\xi_0^4(2\alpha + 3\beta)\left(\xi^2(\alpha + \beta) - \beta\right)}{4\xi^2(\alpha + 2\beta)\left(\xi_0^2(\alpha + \beta) + \beta\right)}\psi^2 - \frac{\beta\xi^2\left((\alpha + \beta) - \xi^2(2\alpha + \beta)\right)}{4\xi^2(\alpha + 2\beta)\left(\xi_0^2(\alpha + \beta) + \beta\right)}\psi^2, \\
\sigma_{zz} &= \frac14\frac{\alpha}{\alpha + 2\beta}
\Bigl(\frac{(2\alpha + 3\beta)\xi_0^4 + \beta}{(\alpha + \beta)\xi_0^2 + \beta} - 2\xi^2\Bigr)\psi^2.
\end{aligned}
\end{equation} \tag{9} \]
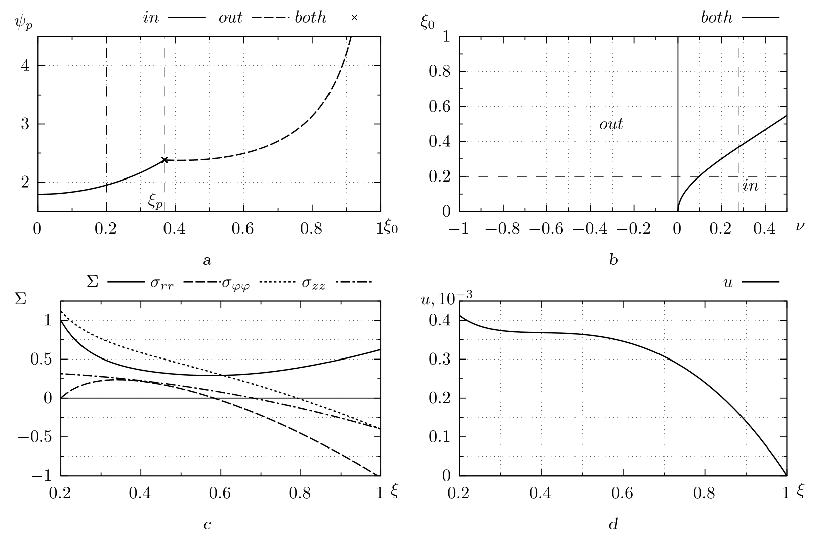
С ростом угловой скорости будут увеличиваться и напряжения, и в определенный момент времени они выйдут на поверхность нагружения (выполнится условие $\Sigma = 1$). Это приведет к появлению области вязкопластического течения наравне с областью упругого деформирования. Из приведенного условия и полученных напряжений (9) найдем соответствующее значение угловой скорости $\psi_p$. Полученная функция может иметь два локальных минимума при $\xi = \xi_0$ и $\xi = 1$. При некотором значении $\xi_0 = \xi_p$ значения параметра нагружения в этих двух точках совпадают, то есть пластическое течение начинается одновременно на внутренней и боковой поверхностях. При меньших значениях $\xi_0 < \xi_p$ пластическое течение впервые начинается на внутренней поверхности ($\xi = \xi_0$), при больших $\xi_0 > \xi_p$ — на боковой ($\xi = 1$):
\[ \begin{equation}
\begin{aligned}
\psi_p^2 &=
\begin{cases}
4\dfrac{(\alpha + 2\beta)((\alpha + \beta)\xi_0^2 + \beta)}{\beta(1 - \xi_0^2)^2\sqrt{3\alpha^2 + 6\alpha\beta + 4\beta^2}}, &\xi_0 < \xi_p, \\
\dfrac{(\alpha + 2\beta)(3\alpha + 8\beta + 4\sqrt{3\alpha^2 + 6\alpha\beta + 4\beta^2})}{4\beta\sqrt{3\alpha^2 + 6\alpha\beta + 4\beta^2}}, &\xi_0 = \xi_p, \\
2\dfrac{(\alpha + 2\beta)((\alpha + \beta)\xi_0^2 + \beta)}{\beta(1 - \xi_0^2)((2\alpha + 3\beta)\xi_0^2 + \beta)}, &\xi_0 > \xi_p,
\end{cases} \\
\xi_p^2 &= \frac{\sqrt{3\alpha^2 + 6\alpha\beta + 4\beta^2} - 2\beta}{\sqrt{3\alpha^2 + 6\alpha\beta + 4\beta^2} + 4\alpha + 6\beta}.
\end{aligned}
\end{equation} \tag{10} \]
Заметим, что при замене параметров Ламе на коэффициент Пуассона $\nu$ и модуль Юнга $E$:
\[ \begin{equation*}
\lambda = \frac{E\nu}{(1 - 2\nu)(1 + \nu)}, \quad
\mu = \frac{E}{2(1 + \nu)}
\end{equation*} \]
скорости в (10) будут зависеть только от $\nu$ и $\xi_0$:
\[ \begin{equation*}
\begin{aligned}
\psi_p^2 &=
\begin{cases}
4\dfrac{(1 - \nu)(\xi_0^2 + 1 - 2\nu)}{(1 - 2\nu)(1 - \xi_0^2)^2\sqrt{1 - \nu + \nu^2}}, &\xi_0 < \xi_p, \\
\dfrac{(1 - \nu)(4 - 5\nu + 4\sqrt{1 - \nu + \nu^2})}{2(1 - 2\nu)\sqrt{1 - \nu + \nu^2}}, &\xi_0 = \xi_p, \\
4\dfrac{(1 - \nu)(\xi_0^2 + 1 - 2\nu)}{(1 - 2\nu)(1 - \xi_0^2)((3 - 2\nu)\xi_0^2 + 1 - 2\nu)}, &\xi_0 > \xi_p,
\end{cases} \\
\xi_p^2 &= \frac{\sqrt{1 - \nu + \nu^2} - 1 + 2\nu}{\sqrt{1 - \nu + \nu^2} + 3 - 2\nu}.
\end{aligned}
\end{equation*} \]
Рис. 1. Деформирование упругого материала. Зависимость скорости вращения $\psi_p$, при которой начнется пластическое течение, от положения внутренней полости $\xi=\xi_0$ (a). Место начала пластического течения в зависимости от $\xi_p$ и $\nu$ (b): $in$ - на внутренней полости, $out$ - на боковой поверхности, $both$ - одновременно на внутренней полости и боковой поверхности. Распределение напряжений (c) и перемещений (d) в цилиндре в момент начала пластического течения
[Figure 1. Elastic material deformation. Variation of plastic flow onset angular velocity $\psi_p$ with position of the internal cavity $\xi = \xi_0$ (a). Location of beginning of plastic flow depending on $\xi_p$ and $\nu$ (b): $in$ — on the inner cavity, $out$ — on the lateral surface, $both $ — simultaneously on the inner cavity and side surface. Distribution of stresses (c) and displacements (d) in the cylinder at $\psi = \psi_p$]
На рис. 1 графически представлены зависимости скорости вращения, при которой начинается пластическое течение $\psi_p$, от положения внутренней полости $\xi_0$ при $\nu = 28/89$ (рис. 1, a), и места начала пластического течения как от $\xi_0$, так и от $\nu \in (-1; 0.5)$ (рис. 1, b), где под «$in$» подразумевается случай начала пластического течения на внутренней полости $\xi = \xi_0$, под «$out$» — на боковой поверхности $\xi = 1$, а под «$both$» — одновременное начало на двух поверхностях. На двух оставшихся графиках приведены распределения напряжений и перемещений в материале цилиндра при $\psi = \psi_p$ и
\[ \begin{equation*}
\xi_0 = {R_1}/{R_2} = 0.2, \quad
\alpha = {\lambda}/{\sigma_0} = 250, \quad
\beta = {\mu}/{\sigma_0} = 195.
\end{equation*} \]
Значение угловой скорости при таких параметрах $\psi_p \approx 1.95263$.
4. Пластическое (вязкопластическое) течение
При дальнейшем росте угловой скорости $\psi(\tau) > \psi_p$ в материале цилиндра развивается область вязкопластического течения. Для описания механизма накопления пластических деформаций в этой области воспользуемся теорией пластического течения (2) с обобщенным потенциалом Мизеса на случай вязкопластического течения (3), которые примут вид [25]
\[ \begin{equation}
\begin{aligned}
\frac{dp_{rr}}{d\tau} = \varepsilon_{rr}^p &= \frac{1}{3\zeta}\frac{\Sigma - 1}{\Sigma}\left(2\sigma_{rr} - \sigma_{\varphi\varphi} - \sigma_{zz}\right), \\
\frac{dp_{\varphi\varphi}}{d\tau} = \varepsilon_{\varphi\varphi}^p &= \frac{1}{3\zeta}\frac{\Sigma - 1}{\Sigma}\left(2\sigma_{\varphi\varphi} - \sigma_{rr} - \sigma_{zz}\right), \\
\frac{dp_{zz}}{d\tau} = \varepsilon_{zz}^p &= \frac{1}{3\zeta}\frac{\Sigma - 1}{\Sigma}\left(2\sigma_{zz} - \sigma_{rr} - \sigma_{\varphi\varphi}\right), \\
\Sigma &= \frac{1}{\sqrt{2}}\sqrt{\left(\sigma_{rr} - \sigma_{\varphi\varphi}\right)^2 + \left(\sigma_{\varphi\varphi} - \sigma_{zz}\right)^2 + \left(\sigma_{zz} - \sigma_{rr}\right)^2}.
\end{aligned}
\end{equation} \tag{11} \]
В этом случае уравнение равновесия (7) сведется к виду
\[ \begin{equation}
u_{, \xi\xi} + \xi^{-1}u_{, \xi} - \xi^{-2}u = \xi^{-1}\frac{2\beta}{\alpha + 2\beta}\left(p_{rr} - p_{\varphi\varphi}\right)
+ p_{rr, \xi} + \frac{\alpha}{\alpha + 2\beta}\left(p_{\varphi\varphi, \xi} + p_{zz, \xi}\right) - \frac{\xi\psi^2}{\alpha + 2\beta}.
\end{equation} \tag{12} \]
Представив левую часть данного уравнения (12) в форме [26]
\[ \begin{equation*}
u_{, rr} + r^{-1}u_{, r} - r^{-2}u = \frac{d}{dr}\Bigl(\frac1r\frac{d}{dr}(ur)\Bigr),
\end{equation*} \]
проинтегрируем его и получим соотношение для нахождения компоненты вектора перемещений [27]:
\[ \begin{equation}
\begin{gathered}
u(\xi, \tau) = \frac12 C_1(\tau)\xi + C_2(\tau)\xi^{-1} + \frac{\beta}{\alpha + 2\beta}\xi I_1(\xi, t) + \xi^{-1}I_2(\xi, t) - \frac18\frac{\xi^3\psi^2}{\alpha + 2\beta}, \\
I_1(\xi, \tau) = \int_{\xi_0}^\xi x^{-1}\bigl(p_{rr}(x, \tau) - p_{\varphi\varphi}(x, \tau)\bigr)\,dx, \\
I_2(\xi, \tau) = \int_{\xi_0}^\xi x\Bigl(\frac{\alpha + \beta}{\alpha + 2\beta}(p_{rr}(x, \tau) + p_{\varphi\varphi}(x, \tau)) + \frac{\alpha}{\alpha + 2\beta}p_{zz}(x, \tau)\Bigr)\,dx.
\end{gathered}
\end{equation} \tag{13} \]
Ненулевые компоненты тензора напряжений примут следующий вид:
\[ \begin{equation}
\begin{aligned}
\sigma_{rr} &= (\alpha + \beta)C_1 - 2\beta C_2 \xi^{-2} + 2\beta\frac{\alpha + \beta}{\alpha + 2\beta}I_1 - 2\beta \xi^{-1} I_2 - \frac14\frac{2\alpha + 3\beta}{\alpha + 2\beta}\xi^2\psi^2, \\
\sigma_{\varphi\varphi} &= (\alpha + \beta)C_1 + 2\beta C_2 \xi^{-2} + 2\beta\frac{\alpha + \beta}{\alpha + 2\beta}I_1 + 2\beta \xi^{-1} I_2
- \frac{2\beta}{\alpha + 2\beta}\left(\alpha p_{zz} + 2(\alpha + \beta)p_{\varphi\varphi}\right) - \frac14\frac{2\alpha + \beta}{\alpha + 2\beta}\xi^2\psi^2, \\
\sigma_{zz} &= \alpha C_1 + 2\beta\Bigl(\frac{\alpha}{\alpha + 2\beta}I_1 - 2\frac{\alpha + \beta}{\alpha + 2\beta}p_{zz} - \frac{\alpha}{\alpha + 2\beta}p_{\varphi\varphi}\Bigr) - \frac12\frac{\alpha}{\alpha + 2\beta}\xi^2\psi^2.
\end{aligned} \!\!
\end{equation} \tag{14} \]
Подставив полученные значения перемещения (13) и напряжений (14) в граничные условия (8), найдем
\[ \begin{equation*}
\begin{gathered}
C_1(\tau) = \Bigl(\frac{(2\alpha + 3\beta)\xi_0^4 + \beta}{4(\alpha + 2\beta)}\psi^2 - 2\beta I_3(\tau)\Bigr)\bigl((\alpha + \beta)\xi_0^2 + \beta\bigr)^{-1}, \\
C_2(\tau) = -\Bigl(\frac{(2\alpha + 3\beta)\xi_0^2 - (\alpha + \beta)}{8(\alpha + 2\beta)}\xi_0^2\psi^2 + (\alpha + \beta)\xi_0^2I_3(\tau)\Bigr)\bigl((\alpha + \beta)\xi_0^2 + \beta\bigr)^{-1}, \\
I_3(\tau) = \frac{\beta}{\alpha + 2\beta}I_1(1, \tau) + I_2(1, \tau).
\end{gathered}
\end{equation*} \]
В итоге имеем следующие зависимости для перемещения:
\[ \begin{equation}
u(\xi, \tau) = \frac{\beta\xi}{\alpha + 2\beta}I_1(\xi, t) + \xi^{-1}I_2(\xi, t) - \left(\beta\xi + (\alpha + \beta)\xi_0^2\xi^{-1}\right)I_3(\tau)
- \frac{1 - \xi^2}{8\xi}\frac{(2\alpha + 3\beta)\xi_0^4 - \beta\xi^2 + (\alpha + \beta)\xi_0^2(1 + \xi^2)}{(\alpha + 2\beta)((\alpha + \beta)\xi_0^2 + \beta)}\psi^2
\end{equation} \tag{15} \]
и напряжений:
\[ \begin{equation}
\begin{aligned}
\sigma_{rr} &= 2\beta\frac{\alpha + \beta}{\alpha + 2\beta}I_1 - 2\beta \xi^{-2} I_2 - 2\beta(\alpha + \beta)\frac{\xi^2 - \xi_0^2}{\xi^2}I_3 - \frac{\xi^2 - \xi_0^2}{4\xi^2}\frac{(2\alpha + 3\beta)(\beta(\xi_0^2 + \xi^2) + (\alpha + \beta)\xi_0^2\xi^2) - \beta(\alpha + \beta)}{(\alpha + 2\beta)((\alpha + \beta)\xi_0^2 + \beta)}\psi^2, \\
\sigma_{\varphi\varphi} &= 2\beta\frac{\alpha + \beta}{\alpha + 2\beta}I_1 + 2\beta \xi^{-1} I_2 - 2\beta(\alpha + \beta)\frac{\xi^2 + \xi_0^2}{\xi^2}I_3 - \frac{2\beta}{\alpha + 2\beta}\left(\alpha p_{zz} + 2(\alpha + \beta)p_{\varphi\varphi}\right)- \\
& - \frac{\xi_0^2(\alpha + \beta)\left(\beta - \xi^4(2\alpha + \beta)\right)}{4\xi^2(\alpha + 2\beta)\left(\xi_0^2(\alpha + \beta) + \beta\right)}\psi^2
- \frac{\xi_0^4(2\alpha + 3\beta)\left(\xi^2(\alpha + \beta) - \beta\right)}{4\xi^2(\alpha + 2\beta)\left(\xi_0^2(\alpha + \beta) + \beta\right)}\psi^2 - \frac{\beta\xi^2\left((\alpha + \beta) - \xi^2(2\alpha + \beta)\right)}{4\xi^2(\alpha + 2\beta)\left(\xi_0^2(\alpha + \beta) + \beta\right)}\psi^2, \\
\sigma_{zz} &= 2\beta\Bigl(\frac{\alpha}{\alpha + 2\beta}I_1 - \alpha I_3 - 2\frac{\alpha + \beta}{\alpha + 2\beta}p_{zz} - \frac{\alpha}{\alpha + 2\beta}p_{\varphi\varphi}\Bigr) + \frac14\frac{\alpha}{\alpha + 2\beta}
\Bigl(\frac{(2\alpha + 3\beta)\xi_0^4 + \beta}{(\alpha + \beta)\xi_0^2 + \beta} - 2\xi^2\Bigr)\psi^2.
\end{aligned}
\end{equation} \tag{16} \]
Используя полученные соотношения (15), (16), можно найти распределения перемещений и напряжений в материале цилиндра в заданный момент времени при известных значениях угловой скорости $\psi(\tau)$ и накопленных необратимых деформациях $\boldsymbol{p}$, а с помощью соотношений (11) — прирост необратимых деформаций на следующем временном шаге. При расчетах принимаем, что коэффициент вязкости $\zeta = 0.1$, а угловая скорость
\[ \begin{equation}
\psi(\tau) =
\begin{cases}
3.2 (2\tau - \frac1{2\pi} \sin{4\pi\tau} ), &0 \leqslant \tau \leqslant 1/2, \\
3.2, & \phantom{ 0 \leqslant {}} \tau > 1/2.
\end{cases}
\end{equation} \tag{17} \]
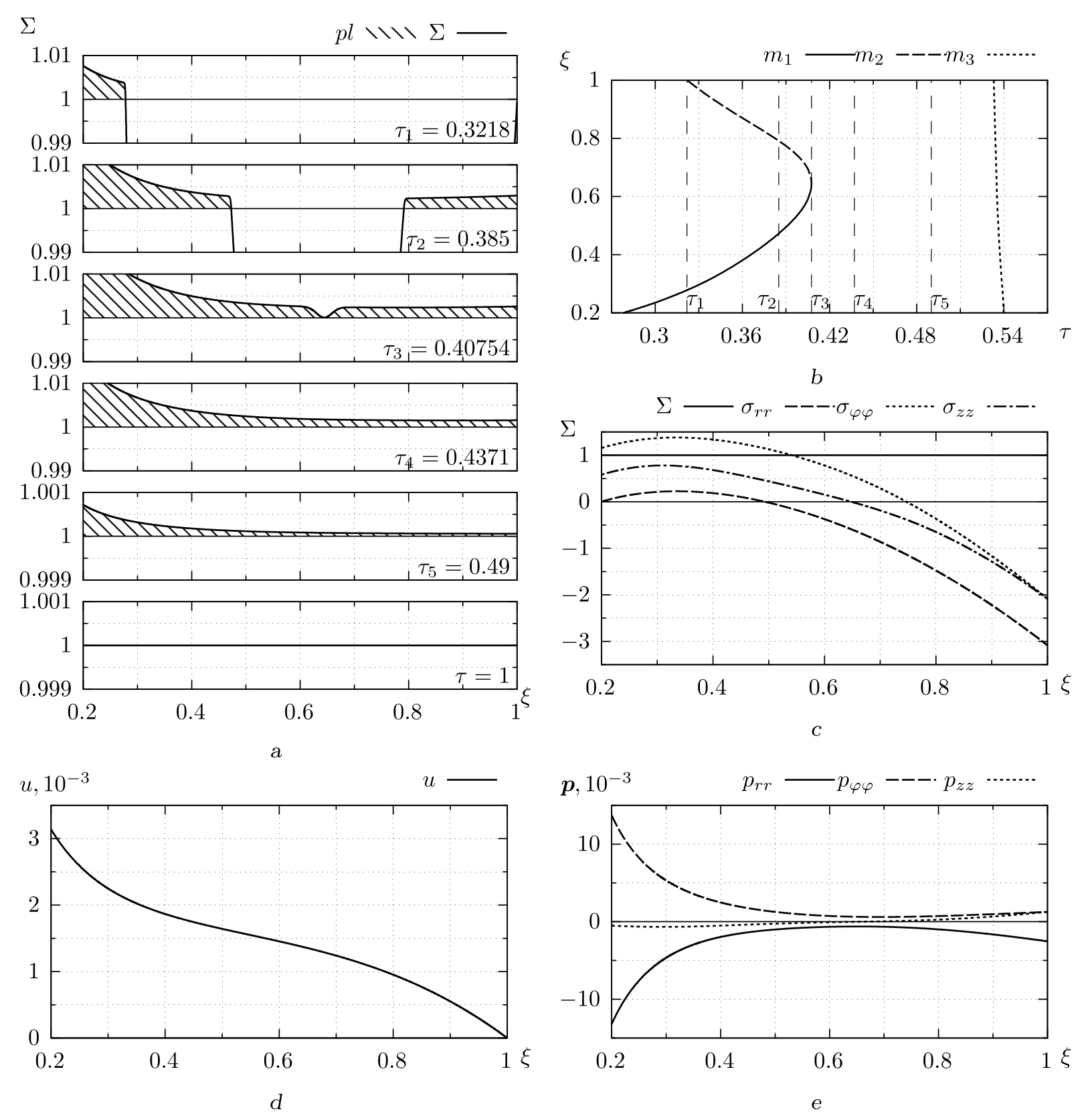
Рис. 2. Деформирование упругопластического материала. Движение упругопластических границ в материале (b). Распределение интенсивности напряжений в определенные моменты времени (a), а также остаточные напряжения (c), перемещения (d) и необратимые деформации (e)
[Figure 2. Deformation of an elastic-plastic material. Evolution of elastoplastic boundaries in a material (b). Distribution of stress intensity at certain points in time (a). Distribution of residual stresses (c), displacements (d) and irreversible strains (e)]
Приведенные на рис. 2 результаты расчетов показывают следующее. Пластическое течение начинается у внутренней полости $\xi = \xi_0$, затем у боковой поверхности $\xi = 1$. При увеличении скорости вращения границы этих областей $\xi = m_1(\tau)$ и $\xi = m_2(\tau)$ движутся навстречу друг другу и в определенный момент эти области объединяются в одну. При достижении угловой скоростью фиксированного значения $\psi(\tau) = 3.2$ уровень напряжений сокращается (уменьшается величина разницы $\Sigma - 1$), что приводит к сокращению скоростей пластического течения вплоть до нуля. Хотя это и происходит практически одновременно, все же можно заметить, что скорости пластического течения сначала обращаются в нуль у боковой поверхности $\xi = 1$, а затем граница обнуления скоростей пластического течения $\xi = m_3(\tau)$ быстро продвигается в направлении внутренней полости $\xi = \xi_0$. Когда $m_3$ становится равным $\xi_0$, пластическое течение в среде полностью останавливается.
5. Учет ползучести до начала пластического течения
Рассмотрим деформирование материала, обладающего вязкими свойствами. Ползучесть, в отличие от пластического течения, начинает проявлять себя при наличии напряжений в материале, то есть еще на стадии упругого деформирования. В этом случае необратимые деформации в материале цилиндра будут накапливаться с момента начала его вращения и их скорость накопления будет соответствовать скорости накопления деформаций ползучести. Для их нахождения воспользуемся теорией течения (4) со степенным законом Нортона (5) в качестве потенциала. После преобразований получим [28]:
\[ \begin{equation}
\begin{aligned}
\frac{dp_{rr}}{d\tau} = \varepsilon_{rr}^v &= \frac{\chi}2 \Sigma^{n-1}
(2{\sigma}_{rr} - {\sigma}_{\varphi\varphi} - {\sigma}_{zz} ), \\
\frac{dp_{\varphi\varphi}}{d\tau} = \varepsilon_{\varphi\varphi}^v &= \frac{\chi}
2\Sigma^{n-1} (2{\sigma}_{\varphi\varphi} - {\sigma}_{rr} - {\sigma}_{zz} ), \\
\frac{dp_{zz}}{d\tau} = \varepsilon_{zz}^v &= \frac{\chi}2 \Sigma^{n-1}
(2{\sigma}_{zz} - {\sigma}_{rr} - {\sigma}_{\varphi\varphi} ).
\end{aligned}
\end{equation} \tag{18} \]
Данный случай математически схож со случаем упругопластического деформирования, то есть перемещения и напряжения в материале в текущий момент времени будут рассчитываться в соответствии с формулами (15) и (16) при известных угловой скорости $\psi$ и накопленных необратимых деформациях $\boldsymbol{p}$, но прирост необратимых деформаций на следующем шаге будет определяться в соответствии с формулами (18).
Рис. 3. Деформирование вязкоупругого материала. Распределение в материале напряжений при $\tau=0.1$ (a) и $\tau=1$ (b), перемещений при $\tau=0.1$ (c) и $\tau=1$ (d) и необратимых деформаций при $\tau=0.1$ (e) и $\tau=1$ (f)
[Figure 3. Deformation of a viscoelastic material. Distribution of stresses at $\tau = 0.1$ (a) and $\tau = 1$ (b), displacements at $\tau = 0.1$ (c) and $\tau = 1$ (d), irreversible strains at $\tau = 0.1$ (e) and $\tau = 1$ (f)]
Рис. 4. Деформирование упругопластического материала с учетом вязких свойств. Движение упругопластических границ в материале (b). Распределение интенсивности напряжений в определенные моменты времени (a), а также остаточные напряжения (c), перемещения (d) и необратимые деформации (e)
[Figure 4. Deformation of an elastic-plastic material with viscous properties. Evolution of elastoplastic boundaries in a material (b). Distribution of stress intensity at certain points in time (a). Distribution of residual stresses (c), displacements (d) and irreversible strains (e)]
На рис. 3 представлены результаты расчетов при росте угловой скорости согласно
\[ \begin{equation*}
\psi(\tau) =
\begin{cases}
1.95263\left(10\tau - \frac{1}{2\pi}\sin{20\pi\tau}\right), &0 \leqslant \tau \leqslant 0.1, \\
1.95263, & \phantom{0 \leqslant {}} \tau > 0.1.
\end{cases}
\end{equation*} \]
Если сравнить полученные решения в момент времени $\tau = 0.1$ с аналогичными для случая упругого деформирования (рис. 1), то можно видеть, что ползучесть за время разгона успевает оказать достаточное влияние на распределение напряжений, в связи с чем их выхода на поверхность нагружения при $\psi(0.1) = \psi_p$ не происходит. С течением времени, при зафиксированной скорости вращения $\psi(\tau) = \psi_p$ напряжения продолжают релаксировать за счет значительного прироста необратимых деформаций. Это также приводит к росту перемещений в материале.
6. Учет ползучести при пластическом течении
Если же угловая скорость не остановится на значении $\psi_p$ и продолжит расти, то в определенный момент времени напряжения все-таки выйдут на поверхность нагружения и в материале цилиндра начнется вязкопластическое течение. В области его влияния в образовании необратимых деформаций будут принимать участие уже два механизма. Положим, что скорости необратимых деформаций в области вязкопластического течения будут находиться в виде суммы скоростей деформаций ползучести и пластического течения:
\[ \begin{equation}
\begin{aligned}
\frac{dp_{rr}}{d\tau} = \varepsilon_{rr}^v + \varepsilon_{rr}^p &=
\Bigl(\frac{1}{3\zeta}\frac{\Sigma - 1}{\Sigma} + \frac{\chi}2\Sigma^{n-1}\Bigr) (2\sigma_{rr} - \sigma_{\varphi\varphi} - \sigma_{zz} ), \\
\frac{dp_{\varphi\varphi}}{d\tau} = \varepsilon_{\varphi\varphi}^v + \varepsilon_{\varphi\varphi}^p &= \Bigl(\frac{1}{3\zeta}\frac{\Sigma - 1}{\Sigma} + \frac{\chi}2\Sigma^{n-1}\Bigr) (2\sigma_{\varphi\varphi} - \sigma_{rr} - \sigma_{zz} ), \\
\frac{dp_{zz}}{d\tau} = \varepsilon_{zz}^v + \varepsilon_{zz}^p &= \Bigl(\frac{1}{3\zeta}\frac{\Sigma - 1}{\Sigma} + \frac{\chi}2\Sigma^{n-1}\Bigr) (2\sigma_{zz} - \sigma_{rr} - \sigma_{\varphi\varphi} ).
\end{aligned}
\end{equation} \tag{19} \]
Соответственно, получим, что перемещения и напряжения находятся в соответствии с формулами (15) и (16), а прирост необратимых деформаций определяется либо по формулам (19) в области пластического течения, либо по формулам (18) вне данных областей. Результаты подобного расчета при значениях угловой скорости, приведенных в соотношениях (17), графически показаны на рис. 4.
Как видно из представленных графиков, области пластического течения появляются позже, развиваются медленнее и сход напряжений с поверхности нагружения начинается еще до распространения пластического течения на весь материал цилиндра. При более тщательном изучении (уменьшении шага по времени) было замечено, что сход напряжений с поверхности нагружения во второй области пластического течения у боковой поверхности начинается не со стороны упругопластической границы $\xi = m_2(\tau)$ и не с боковой поверхности $\xi = 1$. На рис. 4 хорошо видно, что условие прекращения пластического течения $\Sigma < 1$ впервые выполняется внутри области пластичности $m_2(\tau) < \xi < 1$. Она разбивается на две области $m_2(\tau) < \xi < m_4(\tau)$ и $m_3(\tau) < \xi < 1$. Первой исчезает область $m_2(\tau) < \xi < m_4(\tau)$, а затем граница $m_3(\tau)$ достигает боковой поверхности $\xi = 1$ и пропадает вторая область.
7. Сравнение двух решений с оценкой влияния первоначальной ползучести
Учет вязких свойств (ползучести) приводит к более позднему появлению области пластического течения, что наиболее отчетливо видно по движению границы $m_2(\tau)$. С ростом напряжений увеличивается скорость деформаций ползучести, из-за чего увеличивается скорость релаксации напряжений. Это приводит к замедлению движения упругопластических границ, а с замедлением скорости роста угловой скорости напряжения начинают сходить с поверхности нагружения, и области пластического течения сокращаются. Однако пластическое течение заканчивается не во всей области деформирования, как было в случае упругопластического материала. Из-за перераспределения напряжений в окрестности внутренней полости поддерживается более высокий уровень напряжений. В связи с этим область пластического течения у внутренней полости, хотя и сокращается со временем, но все же сохраняется и при $\tau = 1$.
Конкурирующие интересы. Конкурирующих интересов не имею.
Авторский вклад и ответственность. Я несу полную ответственность за предоставление окончательной версии рукописи в печать. Окончательная версия рукописи мною одобрена.
Финансирование. Выполнено в рамках госзадания ХФИЦ ДВО РАН.
About the authors
Sergey V. Firsov
Institute of machinery and metallurgy of Khabarovsk Federal Research Center of Far Eastern Branch of Russian Academy of Sciences
Author for correspondence.
Email: firsov.s.new@yandex.ru
ORCID iD: 0000-0001-7446-6231
Junior Researcher; Lab. of the Problems of Creation and Processing of Materials and Products
Russian Federation, 681005, Komsomolsk-on-Amur, Metallurgov str., 1References
- Begun A. S., Burenin A. A., Kovtanyuk L. V. Large irreversible deformations under conditions of changing mechanisms of their formation and the problem of definition of plastic potentials, Dokl. Phys., 2016, vol. 61, no. 9, pp. 463–466. EDN: XFIORH. DOI: https://doi.org/10.1134/S102833581609007X.
- Burenin A. A., Kovtanyuk L. V. Bol’shie neobratimye deformatsii i uprugoe posledeistvie [Large Irreversible Deformations and Elastic Aftereffect]. Vladivostok, Dal’nauka, 2013, 312 pp. (In Russian)
- Begun A. S., Kovtanyuk L. V., Burenin A. A., Lemza A. O. On the mechanisms of production of large irreversible strains in materials with elastic, viscous and plastic properties, Arch. Appl. Mech., 2020, vol. 90, no. 4, pp. 829–845. EDN: IPUUKS. DOI: https://doi.org/10.1007/s00419-019-01641-x.
- Prokudin A. N., Firsov S. V. Antiplane strain of hardening elastoviscoplastic medium, J. Siberian Federal Univ. Math. Phys., 2018, vol. 11, no. 4, pp. 399–410. EDN: XVATFR. DOI: https://doi.org/10.17516/1997-1397-2018-11-4-399-410.
- Burenin A. A., Galimzyanova K. N., Kovtanyuk L. V., Panchenko G. L. Matching growth mechanisms of irreversible deformation of a hollow sphere under uniform compression, Dokl. Phys., 2018, vol. 63, no. 10, pp. 407–410. EDN: GEIUPH. DOI: https://doi.org/10.1134/S1028335818100026.
- Firsov S. V., Prokudin A. N., Burenin A. A. Creep and plastic flow in a rotating cylinder with a rigid inclusion, J. Appl. Industr. Math., 2019, vol. 13, no. 4, pp. 642–652. EDN: QGZHJN. DOI: https://doi.org/10.1134/S1990478919040070.
- Rabotnov Yu. N. Creep Problems in Structural Members. Amsterdam, London, North-Holland Publ. Co., 1969, xiv+822 pp.
- Gamer U., Lance R. H. Stress distribution in a rotating elastic-plastic tube, Acta Mech., 1983, vol. 50, no. 1–2, pp. 1–8. DOI: https://doi.org/10.1007/BF01170437.
- Gamer U., Mack W., Varga I. Rotating elastic-plastic solid shaft with fixed ends, Int. J. Eng. Sci., 1997, vol. 35, no. 3, pp. 253–267. DOI: https://doi.org/10.1016/S0020-7225(96)00085-7.
- Antoni N. Contact separation and failure analysis of a rotating thermo-elastoplastic shrinkfit assembly, Appl. Math. Mod., 2013, vol. 37, no. 4, pp. 2352–2363. DOI: https://doi.org/10.1016/j.apm.2012.05.018.
- Mack W., Plöchl M. Transient heating of a rotating elastic–plastic shrink fit, Int. J. Eng. Sci., 2000, vol. 38, no. 8, pp. 921–938. DOI: https://doi.org/10.1016/S0020-7225(99)00064-6.
- Prokudin A. N. Exact elastoplastic analysis of a rotating cylinder with a rigid inclusion under mechanical loading and unloading, ZAMM, 2020, vol. 100, no. 3, e201900213. EDN: SYSSIM. DOI: https://doi.org/10.1002/zamm.201900213.
- Prokudin A. N., Burenin A. A. Elastoplastic analysis of a rotating solid shaft made of linear hardening material, Mech. Solids, 2021, vol. 56, no. 7, pp. 1243–1258. EDN: UDGKGQ. DOI: https://doi.org/https://doi.org/10.3103/S0025654421070207.
- Begun A. S., Burenin A. A., Kovtanyuk L. V., Prokudin A. N. Irreversible deformation of a rotating disk having angular acceleration, Acta Mech., 2021, vol. 232, no. 5, pp. 1917–1931. EDN: UPPSFS. DOI: https://doi.org/10.1007/S00707-021-02942-5.
- Prokudin A. N., Firsov S. V. Elastoplastic deformation of a rotating hollow cylinder with a rigid casing, PNRPU Mechanics Bulletin, 2019, no. 4, pp. 120–135 (In Russian). EDN: VUXFSF. DOI: https://doi.org/10.15593/perm.mech/2019.4.12.
- Prokudin A. N. Elastic-plastic analysis of rotating solid shaft by maximum reduced stress yield criterion, Vestn. Samar. Gos. Tekhn. Univ. Ser. Fiz.-Mat. Nauki [J. Samara State Tech. Univ., Ser. Phys. Math. Sci.], 2020, vol. 24, no. 1, pp. 74–94 (In Russian). EDN: LJTYOU. DOI: https://doi.org/10.14498/vsgtu1737.
- Burenin A. A., Tkacheva A. V., Shcherbatyuk G. A. Calculation of the unsteady thermal stresses in elastoplastic solids, J. Appl. Mech. Tech. Phys., 2018, vol. 59, no. 7, pp. 1197–1210. EDN: LAVRJL. DOI: https://doi.org/10.1134/S0021894418070040.
- Burenin A. A., Tkacheva A. V. Evolution of temperature stresses in the Gadolin problem of assembling a two-layer elastoplastic pipe, PNRPU Mechanics Bulletin, 2020, no. 3, pp. 20–31 (In Russian). EDN: HMUHTT. DOI: https://doi.org/10.15593/perm.mech/2020.3.03.
- Burenin A. A., Tkacheva A. V. Piecewise linear plastic potentials as a tool for calculating plane transient temperature stresses, Mech. Solids, 2020, vol. 55, no. 6, pp. 791–799. EDN: EMMOEA. DOI: https://doi.org/10.3103/S0025654420060059.
- Bykovtsev G. I., Ivlev D. D. Teoriia plastichnosti [Theory of Plasticity]. Vladivostok, Dal’nauka, 1998, 528 pp. (In Russian)
- Mosolov P. P., Myasnikov V. P. Mekhanika zhestkoplasticheskikh sred [Mechanics of Rigidly Plastic Media]. Moscow, Nauka, 1988, 208 pp. (In Russian)
- Kovtanyuk L. V., Shitikov A. V. On the theory of finite elastoplastic deformations of materials taking into account temperature and reological effects, Vestn. FEB RAS, 2006, no. 4, pp. 87–93 (In Russian). EDN: HZMRVR.
- Norton F. H. The Creep of Steel at High Temperatures, Classic Reprint Series. London, Forgotten Books, 2017, 102 pp.
- Firsov S. V. Irreversible Deformations of a Rotating Cylinder, Izv. Altai State Univ., 2018, vol. 102, no. 4, pp. 114–117 (In Russian). EDN: YABMRN. DOI: https://doi.org/10.14258/izvasu(2018)4-21.
- Prokudin A. N., Firsov S. V. Viscoplastic flow in a rotating hollow cylinder, Dal’nevost. Mat. Zh., 2018, vol. 18, no. 2, pp. 242–260 (In Russian). EDN: YUNRJB..
- Burenin A. A., Tkacheva A. V. Assembly of a two-layered metal pipe by using shrink fit, Mech. Solids, 2019, vol. 54, no. 4, pp. 559–569. EDN: BSSTLA. DOI: https://doi.org/10.3103/S0025654419040095.
- Firsov S. V. Plastic and creep deformations of thick-walled cylinder with a rigid casing under internal pressure, Vestn. Samar. Gos. Tekhn. Univ. Ser. Fiz.-Mat. Nauki [J. Samara State Tech. Univ., Ser. Phys. Math. Sci.], 2021, vol. 25, no. 4, pp. 696–715 (In Russian). EDN: TMRVNH. DOI: https://doi.org/10.14498/vsgtu1877.
- Prokudin A. N., Firsov S. V. Creep analysis of rotating cylinder with free ends, Vestn. Chuvash. Gos. Ped. Univ. im I. Ya. Yakovleva. Ser. Mekh. Pred. Sost., 2018, no. 1 (35), pp. 63–73 (In Russian). EDN: UVVBZG.
Supplementary files







