Parametric analysis of the stress-strain and continuity fields at the crack tip under creep regime taking into account the processes of damage accumulation using UMAT
- Authors: Chapliy D.V.1, Stepanova L.V.1, Belova O.N.1
-
Affiliations:
- Samara National Research University
- Issue: Vol 27, No 3 (2023)
- Pages: 509-529
- Section: Mechanics of Solids
- URL: https://journals.eco-vector.com/1991-8615/article/view/321465
- DOI: https://doi.org/10.14498/vsgtu2005
- ID: 321465
Cite item
Full Text
Abstract
The subject of this study is the analysis of the stress-strain and continuity fields in the proximal nearness of the crack tip, which is in creep regime conditions with due regard for the accumulation of damage. The aim of the work is to conduct computer finite element modeling of uniaxial stretching of a two-dimensional plate with a central crack under creep conditions and to analyze the continuity field around the crack tip. The Bailey–Norton power law of creep is used in numerical modeling. The simulation was performed in the software multifunctional complex SIMULIA Abaqus. The analysis of the circumferential apportionment of stresses, creep deformations and continuity in the direct of the crack tip is carried out.
The power law of creep with the help of the user procedure UMAT (User Material) of the SIMULIA Abaqus package was supplemented by the kinetic equation of damage accumulation of Kachanov–Rabotnov in a related formulation. The UMAT subroutine has many advantages in predicting material damage and allows you to work with materials that are not in the Abaqus materials library. The UMAT subroutine is called at all points of the material calculation and updates the stresses and state variables depending on the solution to their values at the end of the increment. After that, the updated elements of the Jacobi matrix are calculated.
Stress, strain and continuity distributions under creep conditions are gained, considering the damage accumulation of over time. Angular distributions of continuity, stresses and deformations are constructed using the Matplotlib library over time at various distances from the crack tip. The obtained angular distributions of the stress and strain tensor components are compared when modeling without taking into account damage and when taking into account damage accumulation. It is shown that the presence of damage leads to large values of creep deformations and lower stresses.
Keywords
Full Text
Введение
Задача моделирования полей, ассоциированных с окрестностью вершины трещины в условиях ползучести, являлась фундаментальной проблемой нелинейной механики разрушения и остается актуальной в настоящее время [1–15]. Сегодня особый интерес вызывает исследование разрушения материалов и моделирование поврежденности тел с трещинами в условиях ползучести [13–15]. Первые работы, где были предложены параметры сплошности и поврежденности для описания накопления повреждений — статьи Л. М. Качанова [1] и Ю. Н. Работнова [2] — стали классическими исследованиями, положившими начало современной механики поврежденности [3, 4]. Затем было предложено множество математических моделей (определяющих соотношений и кинетических уравнений для описания эволюции повреждений), как совершенно новых [6–8], так и базирующихся на модели поврежденности Качанова—Работнова [9]. В работе [5] авторы проводят обзор экспериментальных и теоретических исследований ползучести при нестационарных сложных напряженных состояниях; описаны результаты ученых, внесших существенный вклад в исследование ползучести с учетом поврежденности, которая может быть представлена в скалярном, векторном, тензорном виде или их комбинацией. В работе [6] приведен целый ряд математических моделей изотропной и анизотропной поврежденности при ползучести, каждая из которых применима к определенному классу решаемых задач, учитывает разные аспекты накопления повреждений и подбирается в соответствии с необходимыми условиями. В одном из последних обзоров [6] авторы вводят классификацию, согласно которой модели поврежденности в условиях ползучести могут быть подразделены на две группы: основанные на напряжениях (модель Качанова–Работнова) и на деформациях (модель Ван–Ту [10]). В соответствии с классификацией в первой группе вводится параметр сплошности или поврежденности и используется концепция эффективного (истинного) напряжения, и, как правило, в такой модели, по мнению авторов [6], введенный структурный параметр не связывается с тем или иным механизмом накопления повреждений. Во второй группе моделей параметр поврежденности связывается с определенным механизмом накопления повреждений, и авторы [6] называют эти модели физически обоснованными. Данная классификация, по всей видимости, требует уточнения и не является совершенной, ибо в фундаментальной монографии Работнова [4] в определяющие соотношения вводятся $n$ структурных параметров, которые могут отвечать за различные механизмы микроповреждений [4]. Были попытки наделить параметр поврежденности физическим смыслом, например, в работе [16] параметр поврежденности был связан с микроповрежденностью материала.
В последнее время предложены модифицированные определяющие и кинетические уравнения для моделирования ползучести в условиях поврежденности. В работе [17] авторы исследуют модели поврежденности при ползучести для описания огнеупорных материалов, в частности высокоглиноземистого кирпича. Авторы рассмотрели три модели ползучести: модель Качанова–Работнова, модель гиперболического синуса [18] и модель Лю–Мураками [19]. Три вышеупомянутые модели повреждений при ползучести включают вторую и третью стадии ползучести, но они не могут описать первую стадию. Чтобы учесть первую стадию ползучести и максимально упростить определяющее уравнение, в [17] выбрано выражение для первой стадии модели Гарофало [20]. Итоговое определяющее уравнение получается путем сложения части, отвечающей первой стадии ползучести из формулы Гарофало и одной из трех вышеуказанных моделей. В результате авторы пришли к выводу, что все три модели, предложенные в [17], могут быть использованы для описания всех трех стадий ползучести, среди которых лучшей с точки зрения совпадения с экспериментальными данными для деформации ползучести и ее скорости с течением времени является модель гиперболического синуса–Гарофало, за которой следует модель Лю-Мураками-Гарофало.
Авторы работы [21] изучали вопрос длительности срока службы электростанций для безопасной эксплуатации. Основным опасным фактором работоспособности электростанции при повышенных температурах является воздействие усталости при ползучести. Продолжительность жизни взаимодействия при ползучести и усталости авторы оценивали с помощью моделирования методом конечных элементов. В работе [21] оценивалась продолжительность жизни модифицированной стали 9Cr–1Mo в условиях взаимодействия «ползучесть–усталость». Чтобы отразить каждую стадию нелинейной ползучести и накопление усталостных повреждений в структуре зерна, были использованы модели повреждения Дайсона [22] и модифицированные модели повреждений Вахаба [23]. Поскольку первичная стадия ползучести оказывает наибольшее влияние на взаимодействие ползучести и усталости между тремя стадиями ползучести, выбрана модель, которая может соответствующим образом отражать первую стадию ползучести. Поэтому была использована модель Дайсона, которая может отражать все три стадии развития деформаций ползучести. Модель Дайсона выражает явление накопления повреждений в условиях ползучести через три переменных состояния. Кроме того, она имеет некоторые преимущества для прогнозирования долгосрочного поведения ползучести по результатам краткосрочных тестов на ползучесть с использованием гиперболической синусоидальной функции [21]. Анализ накопления усталостных повреждений выполнен с помощью модифицированной модели Вахаба [23]. Накопление повреждений от ползучести и усталости, оцениваемое моделями повреждений континуума, фундаментально описывается как независимые функции. Повреждение при ползучести учитывается кинетическим уравнением, которое процесс повреждений связывает с эволюцией напряженно-деформированного состояния (НДС) с течением времени, а скорость усталостного повреждения связывается с эволюцией НДС с ростом числа циклов нагружения. Повреждения, которые накопились внутри материала, согласно механике сплошных сред проявляются как равное снижение несущей способности материала вследствие ползучести и усталости. Повреждения от ползучести и усталости не являются независимыми и могут рассматриваться как одни и те же факторы износа материала. Поэтому, чтобы выразить взаимодействие между повреждениями в условиях ползучести и усталостными повреждениями, авторы использовали их линейную комбинацию для получения общей поврежденности. В настоящее время проводятся исследования ползучести с учетом поврежденности не только в деталях и конструкциях, но и в различных горных породах. Например, в работе [24] авторами исследуется нелинейная модель ползучести с учетом поврежденности соляных пород. Оставшиеся после добычи каменной соли шахты могут служить высокоэффективным и крупномасштабным способом хранения различных форм энергии, например нефти и природного газа, благодаря низкой проницаемости соляных пород. Порода в результате добычи, заполнения и эксплуатации шахт повреждается в условиях ползучести. Автор [24] упоминает в работе целый ряд моделей для описания повреждений в условиях ползучести именно солевых пород. Предложена нелинейная модель ползучести для соляных пород, которые имеют реологические свойства и низкую прочность. Автор [24] вводит модель вязкоупругости Пойтинга–Томсона для описания ползучести, которая получается путем последовательного соединения упругого и вязкого элементов (модель Максвелла), а затем их параллельного соединения с другим упругим элементом. Затем добавляется вязкий элемент Абеля и вязкий элемент с нелинейной поврежденностью. Нелинейный характер деформации ползучести бетона моделируют и авторы работы [25].
В общем случае для решения вышеупомянутых задач широко используется компьютерное моделирование с помощью множества различных программных комплексов, основанных на методе конечных элементов. В решении инженерных задач одними из самых известных можно назвать пакеты Mechanical ANSYS и SIMULIA Abaqus. В данных программных комплексах имеется возможность моделирования новых материалов, определяющие уравнения которых не включены в стандартный набор моделей программного комплекса. Введение новых определяющих соотношений для описания поведения материалов может быть осуществлено с помощью пользовательских подпрограмм, например, таких как UMAT (User Material) в SIMULIA Abaqus. Этот инструмент позволяет смоделировать широкий класс материалов и решить множество разнообразных задач, некоторые из которых описаны в работе [26], что и составляет предмет настоящего исследования.
1. Моделирование полей, ассоциированных с вершиной трещины в режиме ползучести
В многофункциональном пакете моделирования SIMULIA Abaqus, осуществляющем расчеты методом конечных элементов, проведено моделирование плоской пластины с центральной трещиной в условиях ползучести. Пластина имеет размеры $100{\times}100$ мм, длина трещины равна 10 мм. Трещина моделируется разрезом с закругленными вершинами, радиус закругления составляет 0.001 мм. Пластина находится в условиях одноосного растяжения. В качестве материала пластины выбрана сталь, имеющая следующие упругие модули: модуль Юнга $E = 210$ кН/мм$^2$, коэффициент Пуассона $\nu= 0.3$. Для моделирования ползучести на основе пользовательской подпрограммы UMAT избран степенной закон Бейли–Нортона, имеющий следующий вид:
\[ \begin{equation}
\dot{\varepsilon}_{ij} =(3/2) B \sigma_e^{n-1} s_{ij}, \quad
\sigma_e = \sqrt{3 s_{ij} s_{ij}/2} ,
\end{equation} \tag{1} \]
где $\dot{\varepsilon}_{ij}$ — компоненты скорости деформации ползучести; $\sigma_{ij}$ — компоненты напряжений Коши; $\sigma_e$ — интенсивность напряжения; $n$, $B $ — константы материала; $s_{ij} = \sigma_{ij}- \sigma_{kk} \delta_{ij} /3$ — компоненты девиатора напряжений, где $\delta_{ij}$ — символ Кронекера. Материальные константы $n$, $B$ в соотношении (1) — параметры материала, в общем случае зависящие от температуры. Примем для моделирования, что $B = 1 \cdot 10^{-13}$ (Н/мм$^2$)$^{-n}$(ч)$^{-1}$ и показатель ползучести закона Бейли–Нортона $n=3$. Обычно показатель ползучести $n$ для металлов и сплавов принимает значения от 3 до 8. Для отдельных современных высокопрочных сплавов $n\approx 18$ [6, 9, 12], для чистых металлов $n \approx 4$ [27]. Максимальное время моделирования процесса деформирования составляло 5000 ч, нагрузка во всех рассмотренных случаях принималась равной 10 Н/мм$^2$.
Расчетная сетка была построена с использованием сингулярных конечных элементов в окрестности вершины трещины. Концентрические окружности поделены на три области: перед вершиной дуга окружности величиной $180^\circ$ разбита на 36 секторов, таким образом, раствор секторального элемента равен $5^\circ$, две другие части поделены на 17 секторов. Тип элементов сетки — CPS4. Модель разбита на 41948 элементов. В течение 5000 ч к пластине с центральной трещиной прикладывалась одноосная растягивающая нагрузка. В результате расчета были получены поля напряжений, упругих деформаций и деформаций ползучести в окрестности вершины трещины, находящейся в условиях ползучести.
На рис. 1 представлены итоги вычислений в системе SIMULIA Abaqus, реализующей метод конечных элементов. Компоненты тензора напряжений $\sigma_{11}$ и $\sigma_{22}$ вблизи выреза показаны на рис. 1. Поля напряжений приведены в различные моменты времени: 0.2, 103, 1003 и 5000 ч. Таким образом, путем численного конечно-элементного моделирования получены поля вблизи вершины трещины в условиях ползучести. Точность проведенных конечно-элементных расчетов определяется совпадением результатов, найденных с помощью классической модели степенного закона ползучести и с помощью разработанной процедуры UMAT. Достоверность полученных с помощью UMAT угловых распределений компонент тензора напряжений подтверждается их совпадением с асимптотическим решением Хатчинсона–Райса–Розенгрена.
Рис. 1. Поля компонент \(\sigma_{11}\) (a–d) и \(\sigma_{22}\) (e–h) в условиях ползучести c течением времени; результаты отражены для моментов времени 0.2, 103, 1003 и 5000 ч
[Figure 1. Distributions of the stress tensor components $\sigma_{11}$ (a–d) and $\sigma_{22}$ (e–h) under creep conditions at 0.2, 103, 1003 and 5000 hours]
Рис. 2. Результаты конечно-элементного анализа: поля компонент \(\sigma_{11}\) (a–d) и \(\sigma_{22}\) (e–h) в условиях ползучести с учетом поврежденности c течением времени; результаты отражены для моментов времени 0.2, 103, 1003 и 5000 ч
[Figure 2. Distributions of the stress tensor components $\sigma_{11}$ (a–d) and $\sigma_{22}$ (e–h) under creep conditions taking into account damage accumulation processes at 0.2, 103, 1003 and {5000 hours]
2. Анализ области прогрессивного накопления рассеянных микроповреждений у кончика щели
Задачей последующего исследования выступает обнаружение и анализ поля развитой эволюции поврежденности вблизи вершины щели в предположении реализации плоского напряженного состояния для степенного закона установившейся ползучести и канонического кинетического уравнения Качанова–Работнова. Степенной закон ползучести, следуя классической процедуре [4], был дополнен кинетическим уравнением накопления поврежденности Качанова–Работнова и математическая модель представляется в следующем виде:
\[ \begin{equation}
\dot{\varepsilon}_{ij} = (3/2) B (\sigma_e/\psi )^{n-1} (s_{ij}/\psi ), \quad
\dot{\psi} = -A ( \sigma_{eqv}/\psi )^m,
\end{equation} \tag{2} \]
где $\psi$ — параметр сплошности Качанова [1]; $\sigma_{eqv}=\alpha \sigma_e + \beta \sigma_1+(1-\alpha-\beta )\sigma_{kk}$ — эквивалентное напряжение; $\sigma_1$ — максимальное главное напряжение; $\sigma_{kk}$ — гидростатическое напряжение; константы $\alpha$ и $\beta$ находятся экспериментально. Неповрежденному, целостному материалу соответствует значение параметра $\psi = 1$, а $\psi = 0$ означает, что материал полностью исчерпал несущую способность. Вместо параметра сплошности часто используется параметр поврежденности Работнова $\omega$ [2], связанный с параметром сплошности выражением $\omega = 1-\psi$. Для конечно-элементного расчета необходимо задать постоянные материала $A $ и $ m $, фигурирующие в уравнении (2). Обычно $m$ выбирают таким образом, чтобы выполнялось соотношение $m \approx 0.7 n$, полученное эмпирическим путем [12]. В расчетах принимается, что $m=2.5$, $A=0.1$ (Н/мм$^2$)$^{n}$(ч)$^{-1}$. При проведении конечно-элементных расчетов постоянные материала в эволюционном уравнении и определяющем соотношении (2) выбирались на основании экспериментальных данных представленных в работах [6, 9], где приведены значения материальных констант для большого ряда металлов и сплавов. С использованием подпрограммы, являющейся процедурой UMAT комплекса SIMULIA Abaqus, конституциональные соотношения степенного закона с применением идеи истинного напряжения и эволюционное уравнение Качанова–Работнова (2) были внесены в вычислительный сценарий метода конечных элементов пакета Abaqus/Standart, что дало возможность найти распределения параметра сплошности и механических полей. В расчетах принималось, что $B = 1 \cdot 10^{-13}$ (Н/мм$^2$)$^{-n}$(ч)$^{-1}$, $n = 3$.
Проведен широкий класс расчетов одноосного растяжения пластины с центральной трещиной в условиях ползучести с учетом процессов накопления поврежденности. Пространственные зависимости составляющих тензора напряжений от координат $x_1$ и $x_2$ в различные моменты времени приведены на рис. 2. Напряженное состояние проиллюстрировано для тех же моментов времени: 0.2, 103, 1003, 5000 ч. На рис. 3 представлены распределения сплошности с течением времени; показаны картины для 103 и 1003 ч. Полученные области накопления повреждений качественно совпадают с результатами теоретических оценок [13, 14].
Рис. 3. Распределения сплошности в моменты времени 103 и 1003 ч
[Figure 3. Continuity distributions at 103 and 1003 hours]
Рис. 4. Сравнение зависимостей компонент тензора напряжений (a–с) и деформаций ползучести (d–f) от полярного угла \(\theta\) без учета поврежденности (сплошные кривые) и с учетом процессов накопления повреждений (пунктирные кривые) с течением времени
[Figure 4. Comparison of angular distributions of stress tensor components (a–с) and creep strains (d–f) under creep conditions without taking into account damage (solid curves) and taking into account damage accumulation processes (dotted curves) over time]
Рис. 5. Сравнение зависимостей компонент тензора напряжений (a–с) и деформаций ползучести (d–f) от полярного угла в условиях ползучести без учета поврежденности (сплошные кривые) и с учетом процессов накопления повреждений (пунктирные кривые) в момент времени 5000 ч на разном расстоянии от вершины трещины
[Figure 5. Comparison of angular distributions of stress tensor components (a–с) and creep strains (d–f) under creep conditions without taking into account damage (solid curves) and taking into account damage accumulation processes (dotted curves) at 5000 hours at different distances from the crack tip]
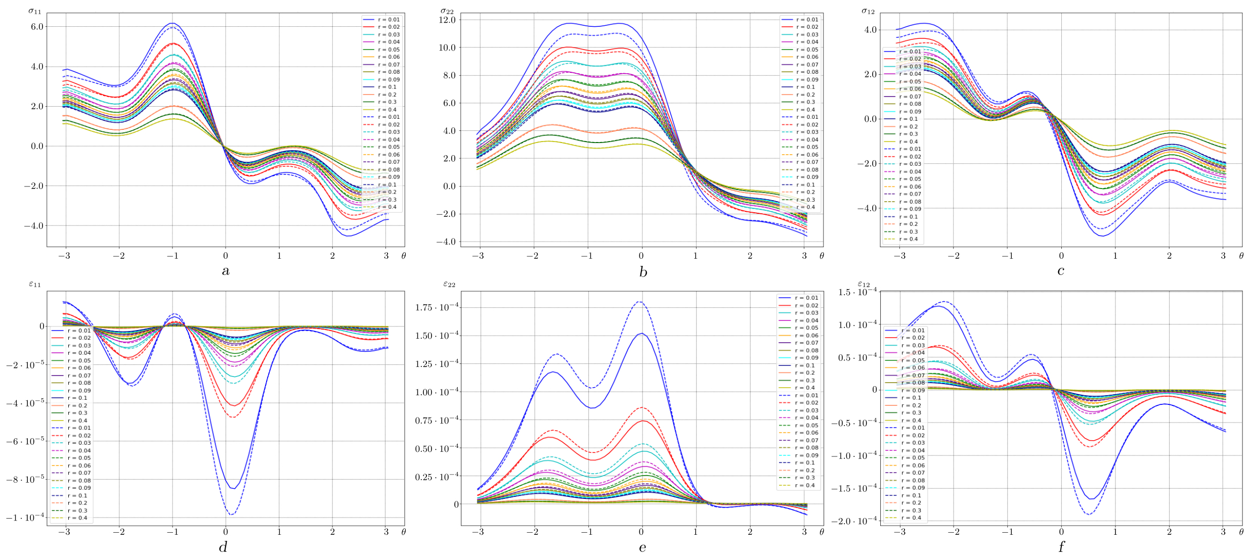
Особый интерес представляет анализ распределения напряжений, деформаций и сплошности вдоль круговых траекторий с центром в вершине трещины и сравнение распределения напряжений и деформаций в окрестности вершины трещины в условиях ползучести без учета явления накопления поврежденности и с учетом поврежденности. Зависимости компонент тензора напряжений и деформаций от полярного угла приведены на рис. 4 (здесь и далее напряжения отнесены к приложенной нагрузке). Сплошной линией обозначены кривые, соответствующие модели без учета накопления поврежденности, пунктирной линией обозначены распределения в случае введения в модель поврежденности. Результаты приведены для узлов, находящихся на расстоянии 0.01 мм от вершины трещины, с течением времени. Приведены результаты в моменты времени 22.9, 422.9, 1423, 1423, 1923, 2923, 3923, 5000 ч. Из рис. 4 вытекает, что в начальные моменты времени соответствующие кривые моделей с учетом и без учета повреждений совпадают, но с течением времени различия между ними становятся более значительными ввиду накопления повреждений.
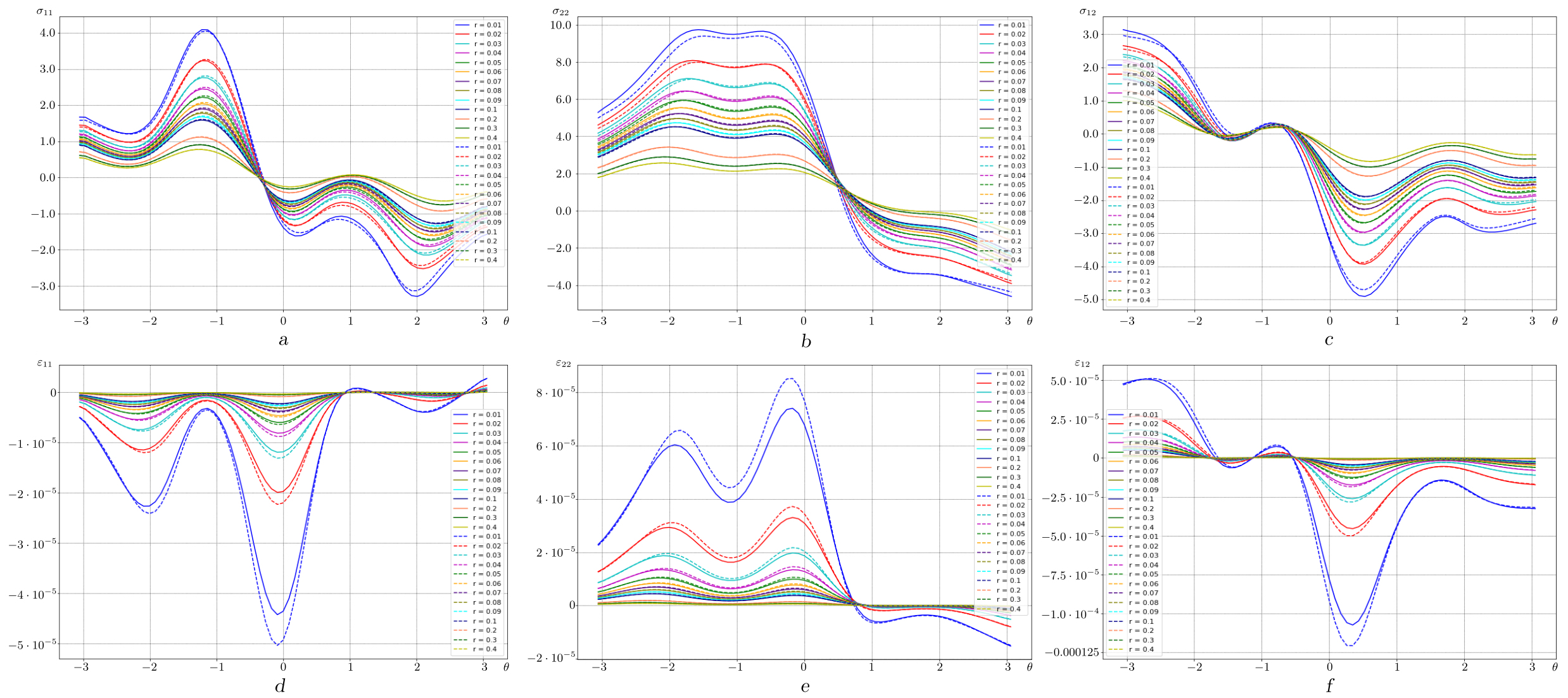
На рис. 5 представлены картины распределения компонент тензоров напряжений и деформаций ползучести в момент времени 5000 ч на разном расстоянии от вершины трещины; сплошной линией обозначены кривые, соответствующие модели без учета накопления поврежденности, пунктирной линией обозначены распределения в случае введения в модель поврежденности.
На рис. 6 представлены угловые распределения сплошности в зависимости от расстояния от вершины трещины в момент времени 5000 ч. Обозначим расстояние от вершины трещины через $r$. На рис. 6 видно, как при удалении от вершины трещины угловое распределение сплошности выравнивается и стремится к 1.
В рамках проведенных исследований выполнены вычисления с другими значениями материальной константы $m$. При уменьшении значения данной константы накопление повреждений проходит интенсивнее и быстрее, поэтому, например, при $m=1.5$ уже после 53 ч расчета происходило разрушение в окрестности трещины.
Напротив, при увеличении константы $m$ происходит плавное возрастание поврежденности. Например, при $m=4$ за 5000 ч минимальное значение сплошности достигло 0.96.
На рис. 7 представлены распределения сплошности при $m=1.5$ в момент времени 53 ч и при $m=4$ после 5000 ч.
3. Анализ области накопления повреждений в области вершины наклонной трещины
Задачей настоящей части работы является проведение вычислений с целью определения полей сплошности в окрестности наклонной трещины. Наклон трещины задается углом $\gamma$, составляющим в проведенном численном эксперименте 45 и 60$^\circ$ с горизонтальной осью; длина трещины — 10 мм; радиус закругления трещины — 0.001 мм. Константы материала в расчетах принимаются теми же, что и при моделировании горизонтальной трещины: $B = 1 \cdot 10^{-13}$ (Н/мм$^2$)$^{-n}$(ч)$^{-1}$, $n=3$, $m=2.5$ и $A=0.1$ (Н/мм$^2$)$^{-n}$(ч)$^{-1}$.
Рис. 6. Угловые распределения сплошности \(\psi\)
[Figure 6. Angular distributions of the continuity parameter $\psi$]
Рис. 7. Распределения сплошности: a) при \(m=1.5\) в момент времени 53 ч; b) при \(m=4\) после 5000 ч
[Figure 7. Continuity distributions near the tip of an inclined crack: a) when $m=1.5$ at 53 hours; b) when $m=4$ after 5000 hours]
Рис. 8. Распределения сплошности вблизи вершины наклонной трещины (\(\gamma=45^\circ\)) в моменты времени 103 и 1003 ч
[Figure 8. Continuity distributions near the tip of an inclined crack ($\gamma = 45^\circ$) at 103 and 1003 hours]
Рис. 9. Распределения сплошности вблизи вершины наклонной трещины (\(\gamma=60^\circ\)) в моменты времени 103 и 1003 ч
[Figure 9. Continuity distributions near the tip of an inclined crack ($\gamma = 60^\circ$) at 103 and 1003 hours]
Рис. 10. Распределения интенсивности напряжений по Мизесу (a–d) и компоненты тензора деформаций ползучести \(\varepsilon_{11}\) (e–h) в условиях ползучести с учетом поврежденности в окрестности вершины наклонной трещины (\(\gamma=45^\circ\)) в моменты времени 0.2, 103, 1003 и 5000 ч
[Figure 10. Distributions of the Mises stress intensity (a–d) and creep strain tensor component $\varepsilon_{11}$ (e–h) under creep conditions taking into account damage accumulation processes in the neighborhood of the tip of the inclined crack ($\gamma = 45^\circ$) at 0.2, 103, 1003 and 5000 hours]
Рис. 11. Распределения интенсивности напряжений по Мизесу (a–d) и компоненты тензора деформаций ползучести \(\varepsilon_{11}\) (e–h) в условиях ползучести с учетом поврежденности в окрестности вершины наклонной трещины (\(\gamma=60^\circ\)) в моменты времени 0.2, 103, 1003 и 5000 ч
[Figure 11. Distributions of the Mises stress intensity (a–d) and creep strain tensor component $\varepsilon_{11}$ (e–h) under creep conditions taking into account damage accumulation processes in the neighborhood of the tip of the inclined crack ($\gamma = 60^\circ$) at 0.2, 103, 1003 and 5000 hours]
Рис. 12. Сравнение зависимостей компонент тензора напряжений (a–c) и деформаций ползучести (d–f) от полярного угла в условиях ползучести без учета поврежденности (сплошные кривые) и с учетом процессов накопления повреждений (пунктирные кривые) в момент времени 5000 ч на разном расстоянии от вершины наклонной трещины (\(\gamma=45^\circ\))
[Figure 12. Comparison of angular distributions of stress tensor components (a–c) and creep strains (d–f) under creep conditions without taking into account damage (solid curves) and taking into account damage accumulation processes (dotted curves) at 5000 hours at different distances from the inclined crack tip ($\gamma = 45^\circ$)]
На рис. 11 представлены картины распределения интенсивности напряжений по Мизесу и компоненты тензора деформаций ползучести $\varepsilon_{11}$ с учетом поврежденности с течением времени в окрестности вершины наклонной трещины ($\gamma = 60^\circ$); показаны картины в моменты времени 0.2, 103, 1003 и 5000 ч.
На рис. 12 представлены картины распределения компонент тензоров напряжений и деформаций ползучести в момент времени 5000 ч на разном расстоянии от вершины трещины; сплошной линией обозначены кривые из модели без учета накопления поврежденности, пунктирной линией обозначены распределения в случае введения в модель поврежденности.
На рис. 13 представлены угловые распределения сплошности в зависимости от расстояния от вершины наклонной трещины в момент времени 5000 ч; угол наклона трещины равен $45^\circ$.
На рис. 14 представлены картины распределения компонент тензоров напряжений и деформаций ползучести в момент времени 5000 ч на разном расстоянии от вершины трещины; сплошной линией обозначены кривые из модели без учета накопления поврежденности, пунктирной линией обозначены распределения в случае введения в модель поврежденности.
Рис. 13. Угловые распределения сплошности \(\psi\) в окрестности вершины наклонной трещины (\(\gamma=45^\circ\))
[Figure 13. Angular distributions of the continuity parameter $\psi$ in the neighborhood of the tip of the inclined crack ($\gamma = 45^\circ$)]
Рис. 14. Сравнение зависимостей компонент тензора напряжений (a–c) и деформаций ползучести (d–f) от полярного угла в условиях ползучести без учета поврежденности (сплошные кривые) и с учетом процессов накопления повреждений (пунктирные кривые) в момент времени 5000 ч на разном расстоянии от вершины наклонной трещины (\(\gamma=60^\circ\))
[Figure 14. Comparison of angular distributions of stress tensor components (a–c) and creep strains (d–f) under creep conditions without taking into account damage (solid curves) and taking into account damage accumulation processes (dotted curves) at 5000 hours at different distances from the inclined crack tip ($\gamma = 60^\circ$)]
На рис. \ref{Dam2e60} представлены угловые распределения сплошности в зависимости от расстояния от вершины наклонной трещины в момент времени 5000 ч; угол наклона трещины равен 60$^\circ$.
Рис. 15. Угловые распределения сплошности \(\psi\) в окрестности вершины наклонной трещины (\(\gamma=60^\circ\))
[Figure 15. Angular distributions of the continuity parameter $\psi$ in the neighborhood of the tip of the inclined crack ($\gamma = 60^\circ$)]
Отметим, что моделирование приложения к пластине с наклонной трещиной растягивающей нагрузки соответствует смешанному нагружению пластины с центральной горизонтальной трещиной. По распределениям, представленным на рис. 3, 8, 9, можно наблюдать, как качественно меняется поле сплошности при разных углах наклона трещины. Можно заметить, что чем больше наклон трещины, тем меньше минимальное значение сплошности. Сравнение распределений напряжений и деформаций, построенных в результате моделирования ползучести без учета поврежденности и с ее учетом, показало, что наличие поврежденности приводит к меньшим значениям компонент тензора напряжений вблизи вершины щели и большим значениям деформации ползучести.
Заключение
В ходе исследования выполнено конечно-элементное моделирование одноосного растяжения двумерной пластины с центральной трещиной, находящейся в условиях ползучести, с учетом поврежденности в связанной постановке. Моделирование выполнено в комплексе SIMULIA Abaqus с применением пользовательской процедуры UMAT. Степенной закон ползучести с помощью пользовательской процедуры был дополнен кинетическим уравнением накопления поврежденности Качанова–Работнова в связанной постановке. В результате моделирования получены распределения напряжений, деформаций и сплошности в условиях ползучести с учетом накопления поврежденности с течением времени. Выполнено моделирование наклонной трещины под действием растягивающей нагрузки в условиях ползучести с учетом поврежденности. Проведено сравнение полученных зависимостей компонент тензора напряжений и деформаций от полярного угла при моделировании без учета поврежденности и в случае учета накопления повреждений. Было получено, что чем больше наклон трещины, тем меньше минимальное значение сплошности.
Сравнение распределений напряжений и деформаций, построенных в результате моделирования ползучести без учета поврежденности и с ее учетом, показало, что наличие поврежденности приводит к меньшим значениям компонент тензора напряжений вблизи вершины щели и большим значениям деформации ползучести.
Конкурирующие интересы. Конкурирующих интересов не имеем.
Авторский вклад и ответственность. Все авторы принимали участие в разработке концепции статьи и в написании рукописи. Авторы несут полную ответственность за предоставление окончательной рукописи в печать. Окончательная версия рукописи была одобрена всеми авторами.
Финансирование. Исследование выполнено за счет гранта Российского научного фонда № 21–11–00346, https://rscf.ru/project/21-11-00346/.
About the authors
Dmitriy V. Chapliy
Samara National Research University
Email: Dch300189@yandex.ru
ORCID iD: 0000-0001-9510-3659
SPIN-code: 3262-0330
ResearcherId: GSI-6114-2022
Postgraduate Student, Dept. of Mathematical Modelling in Mechanics
Russian Federation, 443086, Samara, Moskovskoye shosse, 34Larisa V. Stepanova
Samara National Research University
Author for correspondence.
Email: Stepanova.lv@ssau.ru
ORCID iD: 0000-0002-6693-3132
SPIN-code: 7564-6513
Scopus Author ID: 7102960155
Dr. Phys. & Math. Sci., Associate Professor, Head of Department, Dept. of Mathematical Modelling in Mechanics
Russian Federation, 443086, Samara, Moskovskoye shosse, 34Oksana N. Belova
Samara National Research University
Email: belova.on@ssau.ru
ORCID iD: 0000-0002-4492-223X
Assistant, Dept. of Mathematical Modelling in Mechanics
Russian Federation, 443086, Samara, Moskovskoye shosse, 34References
- Kachanov L. M. Time of the rupture process under creep conditions, Izv. Akad. Nauk. SSSR, Otd. Tekhn. Nauk, 1958, no. 8, pp. 26–31 (In Russian).
- Rabotnov Yu. N. On a mechanism of delayed failure, In: Voprosy prochnosti materialov i konstruktsii [Questions of Strength of Materials and Construction]. Moscow, USSR Academy of Sci., 1959, pp. 5–7 (In Russian).
- Kachanov L. M. Teoriia plastichnosti [Creep Theory]. Moscow, Fizmatlit, 1960, 455 pp. (In Russian)
- Rabotnov Yu. N. Creep Problems in Structural Members, North-Holland Series in Applied Mathematics and Mechanics. Amsterdam, London, North-Holland Publ., 1969, ix+822 pp.
- Lokoshchenko A. M., Fomin L. V., Teraud W. V., et al. Creep and long-term strength of metals under unsteady complex stress states (Review), Vestn. Samar. Gos. Tekhn. Univ., Ser. Fiz.-Mat. Nauki [J. Samara State Tech. Univ., Ser. Phys. Math. Sci.], 2020, vol. 24, no. 2, pp. 275–318 (In Russian). EDN: OQCCVC. DOI: https://doi.org/10.14498/vsgtu1765.
- Meng Q., Zhenqing H. Creep damage models and their applications for crack growth analysis in pipes: A review, Eng. Fract. Mech., 2019, vol. 205, pp. 547–576. DOI: https://doi.org/10.1016/j.engfracmech.2015.09.055.
- Meng L., Chen W., Yan Y., et al. Modelling of creep and plasticity deformation considering creep damage and kinematic hardening, Eng. Fract. Mech., 2019, vol. 218, 106582. DOI: https://doi.org/10.1016/j.engfracmech.2019.106582.
- Murakami S. Continuum Damage Mechanics. A Continuum Mechanics Approach to the Analysis of Damage and Fracture. Dordrecht, Springer, 2012, xxx+402 pp. DOI: https://doi.org/10.1007/978-94-007-2666-6.
- Riedel H. Fracture at High Temperatures. Berlin, Heidelberg, Springer-Verlag, 1987, 418 pp.
- Wen J.-F., Tu S.-T., Gao X.-L., Reddy J. N. Simulations of creep crack growth in 316 stainless steel using a novel creep-damage model, Eng. Fract. Mech., 2012, vol. 98, pp. 169–184. DOI: https://doi.org/10.1016/j.engfracmech.2012.12.014.
- Rabotnov Yu. N. Vvedenie v mekhaniku razrusheniia [Introduction to the Mechanics of Destruction]. Moscow, Nauka, 1987, 80 pp.
- Boyle J. T., Spence J. Stress Analysis for Creep. Glasgow, Scotland, Butterworth-Heinemann, 1983, viii+283 pp. DOI: https://doi.org/10.1016/C2013-0-00873-0.
- Shlyannikov V. N., Tumanov A. V. Force and deformation models of damage and fracture during creep, Phys. Mesomech., 2018, vol. 21, no. 3, pp. 70–85 (In Russian). EDN: XRGSGD. DOI: https://doi.org/10.24411/1683-805X-2018-13008.
- Shlyannikov V. N., Tumanov A. V. Creep damage and stress intensity factor assessment for plane multi-axial and three-dimensional problems, Int. J. Solids Structures, 2018, vol. 150, pp. 166–183. EDN: XWIKMX. DOI: https://doi.org/10.1016/j.ijsolstr.2018.06.009.
- Stepanova L. V. Computational simulation of the damage accumulation processes in cracked solids by the user procedure UMAT of Simulia Abaqus., PNRPU Mechanics Bulletin, 2018, no. 3, pp. 71–86 (In Russian). EDN: YLJEXZ. DOI: https://doi.org/10.15593/perm.mech/2018.3.08.
- Astaf’ev V. I., Radaev Iu. N., Stepanova L. V. Nelineinaia mekhanika razrusheniia [Nonlinear Fracture Mecahics]. Samara, Samara Univ., 2001, 632 pp. (In Russian). EDN: RVXEBX.
- Wu Y., Li G., Tan F., et al. Research on creep damage model of high alumina bricks, Ceramics Int., 2022, vol. 48, no. 19, Part A, pp. 27758–27764. DOI: https://doi.org/10.1016/j.ceramint.2022.06.076.
- Stewart C. M. A Hybrid Constitutive Model for Creep, Fatigue, and Creep-Fatigue Damage, Ph.D. Dissertation. Orlando, Florida, University of Central Florida, 2013. https://stars.library.ucf.edu/etd/2789/.
- Liu L. Y., Murakami S. Damage localization of conventional creep damage models and proposition of a new model for creep damage analysis, Eng. Fract. Mech., 1998, vol. 41, no. 1, pp. 57–65. DOI: https://doi.org/10.1299/jsmea.41.57.
- Vanaja J., Laha K., Mathew M. D. Effect of tungsten on primary creep deformation and minimum creep rate of reduced activation ferritic-martensitic steel, Metall. Mater. Trans. A, 2014, vol. 45, no. 11, pp. 5076–5084. DOI: https://doi.org/10.1007/s11661-014-2472-1.
- Ro U., Kim S., Kim Y., Kim M. K. Creep-fatigue damage analysis of modified 9Cr–1Mo steel based on a Voronoi crystalline model, Int. J. Pressure Vessels Piping, 2021, vol. 194, Part B, 104541. DOI: https://doi.org/10.1016/j.ijpvp.2021.104541.
- Dyson B. Use of CDM in materials modeling and component creep life prediction, J. Pressure Vessel Technol., 2000, vol. 122, no. 3, pp. 281–296. DOI: https://doi.org/10.1115/1.556185.
- Abdel Wahab M. M., Ashcroft I. A., Crocombe A. D., Shaw S. J. Prediction of fatigue thresholds in adhesively bonded joints using damage mechanics and fracture mechanics, J. Adh. Sci. Techn., 2001, vol. 15, no. 7, pp. 763–781. DOI: https://doi.org/10.1163/15685610152540830.
- He Q., Wu F., Gao R. Nonlinear creep-damage constitutive model of surrounding rock in salt cavern reservoir, J. Energy Storage, 2022, vol. 55, Part B, 105520. DOI: https://doi.org/10.1016/j.est.2022.105520.
- Dummer A., Neuner M., Hofstetter G. An extended gradient-enhanced damage-plasticity model for concrete considering nonlinear creep and failure due to creep, Int. J. Solids Struct., 2022, vol. 243, 111541. DOI: https://doi.org/10.1016/j.ijsolstr.2022.111541.
- Belova O. N., Chapliy D. V., Stepanova L. V. Application of the UMAT subroutine for solving continuum mechanics problems (Review), Vestn. Samar. Univ., Estestvennonauchn. Ser., 2021, vol. 27, no. 3, pp. 46–73 (In Russian). EDN: STPKCU. DOI: https://doi.org/10.18287/2541-7525-2021-27-3-46-73.
- Ilin V. N., Mordashov S. V., Pusach S.V. Laws of creep for computation of fire resisance for steel equipment, Technology of Technosphere Safety, 2008, no. 6, 10 (In Russian). EDN: MSMCAF.
Supplementary files


















