Динамика теплового перепутывания в нерезонансной трехкубитной модели Тависа-Каммингса с керровской нелинейностью
- Авторы: Багров А.Р.1, Башкиров Е.К.1
-
Учреждения:
- Самарский национальный исследовательский университет имени академика С.П. Королева
- Выпуск: Том 28, № 1 (2024)
- Страницы: 7-28
- Раздел: Дифференциальные уравнения и математическая физика
- URL: https://journals.eco-vector.com/1991-8615/article/view/516565
- DOI: https://doi.org/10.14498/vsgtu2040
- EDN: https://elibrary.ru/ZPKXMD
- ID: 516565
Цитировать
Полный текст
Аннотация
Рассматривается динамика трех идентичных кубитов, нерезонансно взаимодействующих с тепловым полем идеального резонатора со средой Керра. Найдены решения квантового временного уравнения Лиувилля для полной матрицы плотности системы из трех кубитов и поля резонатора для начальных сепарабельных, бисепарабельных и истинных перепутанных состояний кубитов и теплового начального состояния поля резонатора. Путем усреднения полной матрицы плотности по переменным поля резонатора и по переменным одного из кубитов найдена редуцированная матрица плотности пары оставшихся кубитов. Проведены вычисления для всех возможных пар кубитов. Двухкубитные матрицы плотности использованы для вычисления параметра перепутывания кубитов — отрицательности пар кубитов. Проведено численное моделирование временной зависимости отрицательности для различных начальных состояний кубитов и параметров модели. Результаты численного моделирования отрицательности пар кубитов показали, что наличие расстройки и керровской нелинейности в случае начального сепарабельного состояния пары кубитов может приводить к существенному увеличению степени их перепутывания. В случае начального перепутанного состояния пары кубитов расстройка и керровская среда могут значительно уменьшить амплитуды осцилляций Раби отрицательности и, соответственно, приводить к существенной стабилизации начального перепутывания кубитов. Показано также, что наличие расстройки и керровской нелинейности может приводить к исчезновению эффекта мгновенной смерти перепутывания кубитов.
Полный текст
Введение
Перепутанные состояния в настоящее время рассматриваются в квантовой информатике как основной ресурс при решении задач обработки информации. Такие состояния кубитов используются для квантовых вычислений, квантовых коммуникаций, квантового кодирования информации и других операций [1]. Поэтому важно детально рассматривать природу и свойства перепутанных состояний. Изучение наиболее эффективных схем генерации, механизмов управления и контроля перепутанных состояний кубитов является, таким образом, одной из основных задач квантовой информатики. Квантовые вычисления и квантовые коммуникации требуют максимально перепутанных стабильных состояний с большим временем декогеренции. Для генерации таких состояний обычно используют взаимодействие естественных и искусственных атомов (нейтральных ридберговских атомов и ионов в ловушках, примесных спинов, квантовых точек, сверхпроводящих цепей, гибридных и оптомеханических систем, азотозамещенных вакансий в алмазе и др.) с электромагнитными полями резонаторов [2–10]. Для теоретического исследования динамики систем кубитов, взаимодействующих с электромагнитными полями резонаторов, используются модели квантовой электродинамики резонатора, а именно различные обобщения модели Тависа–Каммингса [11–14].
Практическое использование перепутанных состояний для квантовых вычислений и коммуникаций предполагает необходимость выбора соответствующих количественных критериев степени перепутывания кубитов. Хотя общие свойства многокубитных перепутанных состояний изучены достаточно подробно, количественные критерии перепутывания удалось строго ввести только для двухкубитных систем. Этими критериями являются согласованность (критерий Вуттерса [15] и отрицательность (критерий Переса–Хородецких) [16, 17]. Что касается многокубитных систем, для них пока не удалось ввести аналогичные критерии. Ненулевые значения новых критериев перепутывания, введенных для многокубитных систем, указывают лишь на наличие перепутывания в системе, но не позволяют количественно оценить степень перепутывания кубитов. Кроме того, для многокубитной системы существует несколько различных неэквивалентных классов перепутанных состояний. Трудности теоретического описания перепутанных состояний значительно возрастают с увеличением количества кубитов в системе [18–21]. Поэтому в настоящее время особое внимание уделяется изучению динамики перепутывания трехкубитных систем.
Чистые состояния системы трех кубитов могут быть полностью сепарабельными, бисепарабельными или истинно перепутанными [22–27]. Чистое состояние полностью сепарабельно, если его можно записать в виде тензорного произведения трех векторов состояний отдельных кубитов. Что касается трехкубитных смешанных состояний, они называются полностью сепарабельными, если их можно выразить в виде суммы полностью сепарабельных чистых состояний. Если состояние не является полностью сепарабельным, но становится сепарабельным при некотором разделении трех кубитов на две части, то говорят, что такое состояние бисепарабельно.
Бисепарабельные состояния бывают трех разных типов в зависимости от способа разделения системы трех кубитов на две части. В случае, когда состояние не является ни полностью сепарабельным, ни бисепарабельным, оно называется истинно запутанным.
Согласно общепринятой классификации, для трехкубитных систем существует два неэквивалентных по отношению к стохастически локальным операциям и классическим коммуникациям вида истинно перепутанных состояний. Это так называемые перепутанные состояния Гринберга–Хорна–Цайлингера (GHZ-состояния) и состояния Вернера (W-состояния). GHZ-состояния нестабильны по отношению к потере частиц системой. Такие состояния используют для телепортации и плотного кодирования. Напротив, W-состояния максимально устойчивы не только к потерям частиц, но и к внешнему шуму. Такие состояния используют в квантовой обработке информации.
Истинно перепутанные трехкубитные состояния обоих типов в настоящее время экспериментально реализованы для различных типов кубитов, в частности для ионов в магнитных ловушках и сверхпроводящих цепей [2–4]. Для описания перепутывания трехкубитных систем иногда используют количественный критерий, называемый сцеплением (tangle) [28]. Однако данный критерий для системы трех идентичных кубитов выражается через некое среднее для одного кубита, а также средние для пар кубитов, которые есть просто согласованности пар кубитов в квадрате. Таким образом, указанный параметр не является независимым и полностью определяется согласованностями пар кубитов. Поэтому в настоящей работе при изучении динамики перепутывания трехкубитной системы мы сосредоточимся на вычислении параметров перепутывания пар кубитов. При этом в качестве критерия перепутывания пары кубитов удобнее использовать не согласованность, а отрицательность.
Кубиты всегда взаимодействуют со своим окружением. Хорошо известно, что это взаимодействие обычно приводит к исчезновению перепутывания. Однако в некоторых случаях взаимодействие с окружающей средой может, наоборот, стать источником перепутывания. В частности, перепутывание кубитов в резонаторе может быть вызвано тепловым шумом резонатора. Перепутывание двух двухуровневых атомов (кубитов), индуцированное тепловым полем одномодового резонатора в рамках двухатомной одномодовой модели Тависа–Каммингса, было предсказано Питером Найтом с соавторами [29]. Впоследствии этот эффект был также предсказан для различных обобщений двухкубитной модели Тависа–Каммингса (см. ссылки в [30–31]), а также для трехкубитной модели Тависа–Каммингса [32]. В частности было показано, что расстройка и керровская нелинейность могут значительно увеличить величину индуцированного кубит-кубитного перепутывания.
Еще одним препятствием для использования перепутанных состояний кубитов в резонаторах является эффект мгновенной смерти перепутывания. Такой эффект впервые был теоретически предсказан Ю и Эберли [33]. Позже этот эффект наблюдался экспериментально для кубитов различной физической природы [34–36]. Поэтому представляет значительный интерес изучение методов, предотвращающих эффект мгновенной смерти перепутывания кубитов, вызванной взаимодействием с тепловыми полями резонаторов. Изучение указанного эффекта для кубитов, взаимодействующих с тепловыми шумами резонаторов, особенно важно в связи с тем, что в резонаторах всех квантовых устройств обязательно присутствуют тепловые фотоны. В последнее время были предложены различные методы устранения эффекта мгновенной смерти перепутывания, вызванной тепловым шумом. Так, в работе [37] показано, что учет расстройки и керровской нелинейности может значительно увеличить степень теплового перепутывания кубитов, индуцированного полем резонатора, в случае сепарабельных начальных состояний кубитов и существенно стабилизировать осцилляции Раби параметра перепутывания кубитов в случае их перепутанного начального состояния. В работе [38] детально исследована динамика системы трех кубитов, которые резонансно взаимодействуют с модой теплового квантового электромагнитного поля в идеальном резонаторе.
Большой интерес представляет обобщение полученных результатов на случай нерезонансного взаимодействия трех кубитов с электромагнитным полем резонатора, а также учет влияния нелинейной среды Керра резонатора на динамику перепутывания кубитов.
В данной работе мы изучили систему, состоящую из трех идентичных кубитов, которые нерезонансно взаимодействуют с модой теплового квантового электромагнитного поля идеального нелинейного резонатора со средой Керра посредством однофотонных переходов. В качестве начальных состояний кубитов были рассмотрены сепарабельные, бисепарабельные и истинно перепутанные состояния. На основе решения квантового уравнения Лиувилля для матрицы плотности всей системы «три кубита + мода поля» определена временная эволюция редуцированных матриц плотности пар кубитов. Редуцированные матрицы плотности были использованы для получения временных зависимостей отрицательности пар кубитов. Было также проведено численное моделирование временных зависимостей отрицательностей пар кубитов для различных начальных состояний трехкубитной системы и различных значений параметров модели.
1. Описание модели
Рассмотрим систему, состоящую из трёх идентичных кубитов $Q_1$, $Q_2$ и $Q_{3}$ с энергетической щелью $\hbar \omega_0$, нерезонансно взаимодействующих посредством однофотонных переходов с полем одномодового резонатора частоты $\omega$. Положим, что константы связи между кубитами и полем резонатора равны. Предположим также, что в резонаторе имеется дополнительная среда Керра. Тогда гамильтониан взаимодействия для рассматриваемой модели в системе отсчета, вращающейся с частотой моды поля $\omega$, и в приближении вращающейся волны можно записать в виде
\[ \begin{equation*}
\hat{H}_{int}=\frac{1}{2}\sum\limits_{k=1}^3 \hbar \delta \hat{\sigma}_k^z +\sum\limits_{k=1}^3 \hbar \gamma(\hat{\sigma}_{k}^{+} \hat{c} +\hat{\sigma}_{k}^{-} \hat{c}^{\dagger})+ \hbar \chi \hat{c}^{\dagger2} \hat{c}^2,
\end{equation*} \]
где $\hat{\sigma}_k^z$ — операторы разности населенностей для возбужденного $| u\rangle _{k}$ и основного $| d\rangle _{k}$ состояний в $k$-том кубите, $k=1, 2, 3$; $\hat{\sigma}_{k}^{+}=| u\rangle _{kk}\langle d| $ и $\hat{\sigma}_{k}^{-}=| d\rangle _{kk}\langle u| $ — повышающий и понижающий операторы в $k$-том кубите; $ \hat{c}^{\dagger}$ и $\hat{c}$ — операторы рождения и уничтожения фотонов резонаторной моды; $\gamma$ — параметр кубит-фотонного взаимодействия; $\delta=\omega_0 - \omega$ — параметр расстройки и $\chi$ — константа нелинейности Керра. Заметим, что в отличие от естественных атомов, для искусственных атомов, например сверхпроводящих кубитов, параметр керровской нелинейности может быть сравним с параметром кубит-фотонного взаимодействия [39].
Будем полагать, что в начальный момент времени кубиты приготовлены в одном из следующих сепарабельных состояний типа
\[ \begin{equation}
|\phi(0)\rangle_{Q_{1}Q_{2}Q_{3}}=|u, u, d\rangle,
\end{equation} \tag{1} \]
\[ \begin{equation}
|\phi(0)\rangle_{Q_{1}Q_{2}Q_{3}}=|u, d, d\rangle
\end{equation} \tag{2} \]
или в бисепарабельном состоянии вида
\[ \begin{equation}
|\phi(0)\rangle_{Q_{1}Q_{2}Q_{3}}=\cos\beta|u, u, d\rangle+ \sin\beta|u, d, u\rangle,
\end{equation} \tag{3} \]
или в истинно перепутанном W-состоянии
\[ \begin{equation}
|\phi(0)\rangle_{Q_{1}Q_{2}Q_{3}}=f|u, u, d \rangle+p|u, d, u \rangle+h|d, u, u\rangle,
\end{equation} \tag{4} \]
где
\[ \begin{equation*}
|f|^{2}+|p|^{2}+|h|^{2}=1.
\end{equation*} \]
Здесь $\beta$, $f$, $p$, $h$ — параметры, определяющие степень начального перепутывания кубитов. Максимальной степени перепутывания кубитов для бисепарабельного состояния (3) соответствует значение $\beta=\pi/4$, а для истинно перепутанного состояния (4) значения $f=p=h=1/\sqrt{3}$. Начальные состояния кубитов (1)–(4) в резонаторах можно получить с помощью микроволновых импульсов определенной длительности.
В качестве начального состояния поля выберем одномодовое тепловое состояние с матрицей плотности
\[ \begin{equation}
\varrho_{F} (0 )=\sum\limits_{m}w_{m} |{m}\rangle \langle {m}|.
\end{equation} \tag{5} \]
Здесь весовые функции $w_m$ в формуле (5) имеют вид
\[ \begin{equation*}
w_{m}=\frac{{\overline{m}}^{m}}{ (1+{\overline{m}} )^{m+1}},
\end{equation*} \]
где $\overline{m}$ — среднее число тепловых фотонов, определяемое формулой Бозе–Эйнштейна
\[ \begin{equation*}
\overline{m}=\bigl(\exp [\hbar\omega/k_{B}T ]-1\bigr)^{-1},
\end{equation*} \]
$k_{B}$ — постоянная Больцмана и $T$ — температура микроволнового резонатора. В зависимости от физической природы кубитов, взаимодействующих с полями резонаторов, температура резонатора может меняться от комнатных температур для азотозамещенных вакансий в алмазе до нК в случае нейтральных атомов и ионов в магнитных ловушках [2].
2. Решение квантового временного уравнения Шредингера для вакуумного поля резонатора
Поставим перед собой задачу найти динамику рассматриваемой модели. Начнем решение поставленной задачи для случая фоковского начального состояния электромагнитного поля резонатора, а затем обобщим эти результаты на случай теплового поля.
В случае фоковского начального состояния поля волновая функция есть
\[ \begin{equation*}
|\phi(0)\rangle_{F,m}=|m\rangle, \quad m=0, 1, 2, \dots.
\end{equation*} \]
Введем для рассматриваемой модели параметр, который назовем числом возбуждений системы $M= l+m$, где $l$ — число кубитов, приготовленных в возбужденном состоянии. Состояние полной системы, включающей кубиты и моду поля резонатора, мы можем в произвольный момент времени $t$ задать с помощью волновой функции $|\phi(t)\rangle_{total, M, m}$, удовлетворяющей временному уравнению Шредингера вида
\[ \begin{equation}
i \hbar \frac{\partial |\phi(t)\rangle_{total,M,m}}{\partial t} = \hat{H}_{int} |\phi(t)\rangle_{total,M,m}
\end{equation} \tag{6} \]
c начальным условием
\[ \begin{equation*}
|\phi(0)\rangle_{total, M,m} = |\phi(0)\rangle_{Q_{1}Q_{2}Q_{3}} \otimes |\phi(0)\rangle_{F,m} = |\phi(0)\rangle_{Q_{1}Q_{2}Q_{3}} \otimes |m\rangle
\end{equation*} \]
и стандартными для квантовой механики граничными условиями.
Для числа возбуждений системы $M \geqslant 3$ эволюция системы происходит в 8-мерном гильбертовом пространстве с базисом
\[ \begin{equation*}
\begin{array}{c}
|u,u,u,m\rangle,\quad |u,u,d,m+1\rangle, \quad |u,d,u,m+1\rangle, \quad |d,u,u,m+1\rangle, \\
|u,d,d,m+2\rangle, \quad |d,u,d,m+2\rangle, \quad |d,d,u,m+2\rangle,\quad |d,d,d,m+3\rangle.
\end{array}
\end{equation*} \]
Тогда для выбранного числа возбуждений и начальных состояний кубитов (1)–(4) волновая функция в последующие моменты времени $t$ может быть записана следующим образом:
\[ \begin{multline*}
|\phi_{total,M,m}(t)\rangle=C_{1}(t)|u,u,u,m\rangle+C_{2}(t)|u,u,d,m+1\rangle+ {}
\\
{}+C_{3}(t)|u,d,u,m+1\rangle+C_{4}(t)|d,u,u,m+1\rangle+C_{5}(t)|u,d,d,m+2\rangle +{}
\\
{}+C_{6}(t)|d,u,d,m+2\rangle+C_{7}(t)|d,d,u,m+2\rangle+C_{8}(t)|d,d,d,m+3\rangle.
\end{multline*} \]
Подставляя в уравнение (6) волновую функцию $|\phi(t)\rangle_{total,M,m}$, получаем для коэффициентов $C_{i}\equiv C_{i}(t)$ систему уравнений
\[ \begin{equation}
\begin{cases}
i\dot{C}_{1}=\gamma\sqrt{m+1}(C_{4}+C_{3}+C_{2} )+\chi m(m-1)C_{1}+ {3\delta}C_{1}/{2}, \\
i\dot{C}_{2}=\gamma [ \sqrt{m+2}(C_{6}+C_{5})+\sqrt{m+1}C_{1} ]+\chi C_{2}m(m+1)+ {\delta}C_{2}/{2}, \\
i\dot{C}_{3}=\gamma[ \sqrt{m+2}(C_{7}+C_{5})+\sqrt{m+1}C_{1} ]+\chi C_{3}m(m+1)+ {\delta}C_{3}/{2} , \\
i\dot{C}_{4}=\gamma[ \sqrt{m+1}C_{1}+\sqrt{m+2}(C_{6}+C_{7}) ]+\chi C_{4}m(m+1)+ {\delta}C_{4}/ {2}, \\
i\dot{C}_{5}=\gamma[ C_{8}\sqrt{m+3}+\sqrt{m+2}(C_{3}+C_{2}) ]+\chi C_{5}(m+2)(m+1)- {\delta}C_{5}/{2}, \\
i\dot{C}_{6}=\gamma[\sqrt{m+2}(C_{2}+C_{4})+C_{8}\sqrt{m+3} ] +\chi C_{6}(m+2)(m+1)- {\delta}C_{6}/{2}, \\
i\dot{C}_{7}=\gamma[ \sqrt{n+2}( C_{4}+C_{3} ) +\sqrt{m+3}C_{8} ] +\chi C_{7}(m+2)(m+1)- {\delta}C_{7}/{2}, \\
i\dot{C}_{8}=\gamma\sqrt{m+3}(C_{5}+C_{6}+C_{7})+\chi C_{8}(m+3)(m+2)- {3\delta}C_{8}/{2}.
\end{cases}
\end{equation} \tag{7} \]
Для числа возбуждений $M=2$ и начальных состояний кубитов (1)–(4) полная волновая функция эволюционирует в 7-мерном гильбертовом пространстве с базисом
\[ \begin{equation*}
\begin{array}{c}
|u, u, d, 0\rangle,\quad |u, d, u, 0\rangle, \quad |d, u, u, 0\rangle, \\
|u, d, d, 1\rangle, \quad |d, u, d, 1\rangle, \quad |d, d, u, 1\rangle, \quad |d, d, d, 2\rangle.
\end{array}
\end{equation*} \]
В рассматриваемом случае временная волновая функция может быть записана следующим образом ($l\leqslant 2$):
\[ \begin{multline*}
|\phi_{total, 2, 2-l}(t)\rangle= \Phi_{1}(t)|u, u, d, 0\rangle+\Phi_{2}(t)|u, d, u, 0\rangle+
\Phi_{3}(t)|d, u, u, 0\rangle+{}
\\
{}+\Phi_{4}(t)|u, d, d, 1\rangle+\Phi_{5}(t)|d, u, d, 1\rangle+\Phi_{6}(t)|d, d, u, 1\rangle+
\Phi_{7}(t)|d, d, d, 2\rangle.
\end{multline*} \]
Система дифференциальных уравнений для коэффициентов $\Phi_i(t)$ получается аналогично предыдущему случаю:
\[ \begin{equation}
\begin{cases}
i\dot{\Phi}_{1}(t)=\gamma \bigl(\Phi_{5}(t)+\Phi_{4}(t)\bigr)+ {\delta}\Phi_{1}(t)/2 , \\
i\dot{\Phi}_{2}(t)=\gamma \bigl(\Phi_{6}(t)+\Phi_{4}(t)\bigr)+ {\delta}\Phi_{2}(t)/2 , \\
i\dot{\Phi}_{3}(t)=\gamma \bigl(\Phi_{6}(t)+\Phi_{5}(t)\bigr)+ {\delta}\Phi_{3}(t)/2 , \\
i\dot{\Phi}_{4}(t)=\gamma \bigl(\sqrt{2}\Phi_{7}(t)+\Phi_{1}(t)+\Phi_{2}(t)\bigr)- {\delta} \Phi_{4}(t)/2 , \\
i\dot{\Phi}_{5}(t)=\gamma \bigl(\sqrt{2}\Phi_{7}(t)+\Phi_{1}(t)+\Phi_{3}(t)\bigr)- {\delta} \Phi_{5}(t)/2 , \\
i\dot{\Phi}_{6}(t)=\gamma \bigl(\sqrt{2}\Phi_{7}(t)+\Phi_{2}(t)+\Phi_{3}(t)\bigr)- {\delta} \Phi_{6}(t)/2 , \\
i\dot{\Phi}_{7}(t)=\gamma\sqrt{2} \bigl(\Phi_{4}(t)+\Phi_{5}(t)+\Phi_{6}(t)\bigr)- {3\delta} \Phi_{7}(t)/2 +2\chi \Phi_{7}(t).
\end{cases}
\end{equation} \tag{8} \]
Для числа возбуждений $M = 1$ выбираем базис гильбертова пространства в виде
\[ \begin{equation*}
|u, d, d, 0\rangle, \quad |d, u, d, 0\rangle, \quad |d, d, u, 0\rangle, \quad |d, d, d, 1\rangle.
\end{equation*} \]
Временная волновая функция для числа возбуждений $M=1$ записывается следующим образом ($l\leqslant 1$):
\[ \begin{multline*}
|\phi_{total, 1, 1-l}(t)\rangle= Z_{1}(t)|u, d, d, 0\rangle+Z_{2}(t)|d, u, d, 0\rangle+ {}
\\
{}+Z_{3}(t)|d, d, u, 0\rangle+Z_{4}(t)|d, d, d, 1\rangle.
\end{multline*} \]
Соответствующая система дифференциальных уравнений для коэффициентов $Z_i(t)$ будет следующей:
\[ \begin{equation}
\begin{cases}
i\dot{Z}_{1}(t)=\gamma Z_{4}(t)- {\delta} Z_{1}(t)/2, \\
i\dot{Z}_{2}(t)=\gamma Z_{4}(t)- {\delta} Z_{2}(t)/2, \\
i\dot{Z}_{3}(t)=\gamma Z_{4}(t)- {\delta} Z_{3}(t)/2, \\
i\dot{Z}_{4}(t)=\gamma \bigl(Z_{1}(t)+Z_{2}(t)+Z_{3}(t)\bigr)- {3\delta} Z_{4}(t)/2.
\end{cases}
\end{equation} \tag{9} \]
Наконец, для $M=0$ базис гильбертова пространства составляет вектор $|d, d, d, 0\rangle$, а соответствующая временная волновая функция следующая:
\[ \begin{equation*}
|\phi_{total, 0, 0}(t)\rangle = |d, d, d, 0\rangle.
\end{equation*} \]
3. Решение квантового временного уравнения Лиувилля для теплового поля резонатора
Имея выражения для временных волновых функций системы в случае фоковского начального состояния поля резонатора, мы можем найти временную матрицу плотности, являющуюся решением уравнения Лиувилля в случае теплового поля резонатора
\[ \begin{equation*}
i \hbar \frac{\partial \varrho(t)}{\partial t} = [H_{int}, \varrho(t)]
\end{equation*} \]
c начальными условиями
\[ \begin{equation*}
\varrho(0) = |\phi(0)\rangle_{Q_1\,Q_{2}Q_{3} Q_1\,Q_{2}Q_{3}}\langle \phi(0)| \otimes \varrho(0)_{F}.
\end{equation*} \]
В работе [38] для модели с нулевой расстройкой и в отсутсвие среды Керра найдены точные аналитические решения систем уравнений (7), (8) и (9). Для модели, рассматриваемой в настоящей работе, решения указанных уравнений имеют чрезмерно громоздкий вид. Поэтому в настоящей работе мы ограничимся численным решением указанных уравнений.
Имея временные волновые функции системы для различных чисел возбуждения $|\phi(t)\rangle_{total,M,m}$, $|\phi(t)\rangle_{total, 2, 2-l}$, $|\phi(t)\rangle_{total, 1, 1-l}$ или $|\phi(t)\rangle_{total, 0, 0}$ можно вычислить временную матрицу плотности полной системы «три кубита + мода поля». Соответственно, решение квантового уравнения Лиувилля для матрицы плотности полной системы в случае начальных состояний (1), (3) и (4) и теплового состояния поля (5) можно записать в виде ($l=2$)
\[ \begin{multline*}
\varrho_{Q_{1}Q_{2}Q_{3}F}(t)=\sum\limits_{m=1}^{\infty}w_{m}
|\phi(t)\rangle_{total, m+l,m ~ total,m+l,m} \langle \phi(t)|+ {}
\\
{}+w_{0}|\phi(t)\rangle_{total, 2, 2-l ~ total, 2, 2-l}\langle\phi (t)|.
\end{multline*} \]
Для начального состояния (2) и теплового состояния поля (5) матрицу плотности можно записать в виде ($l=1$)
\[ \begin{multline*}
\varrho_{Q_{1}Q_{2}Q_{3}F}(t)=\sum\limits_{m=2}^{\infty}w_{m}
|\phi(t)\rangle_{total,m+l,m ~ total, m+l,m} \langle \phi(t)|+ {}
\\
{}+w_{1}|\phi(t)\rangle_{total, 2, 2-l ~ total, 2, 2-l} \langle\phi(t)|+w_{0}|\phi(t)\rangle_{total, 1, 1-l ~ total, 1, 1-l} \langle\phi(t)|.
\end{multline*} \]
Теперь можно также вычислить редуцированную матрицу плотности трех кубитов, усредняя полную матрицу плотности $\varrho_{Q_{1}Q_{2}Q_{3}F}(t)$ по переменным поля:
\[ \begin{equation}
\varrho_{Q_1\,Q_2\,Q_3}(t)=\operatorname{Tr}_F \varrho_{Q_{1}Q_{2}Q_{3}F}(t).
\end{equation} \tag{10} \]
Как уже отмечалось во введении, точные количественные меры перепутывания кубитов в настоящее время разработаны только для двухкубитных систем. Для вычисления критерия перепутывания пары кубитов необходимо вычислить редуцированную двухкубитную матрицу плотности. Для этого следует усреднить трехкубитную матрицу плотности (10) по переменным третьего кубита, т.е.
\[ \begin{equation*}
\varrho_{Q_i\,Q_j}(t)=\operatorname{Tr}_{Q_k} \varrho_{Q_1\,Q_2\,Q_3}(t),\quad
i,j,k =1, 2, 3, \quad i\neq j, j\neq k, i\neq k.
\end{equation*} \]
4. Вычисление отрицательности
Для двухкубитной системы, описываемой редуцированной двухкубитной матрицей плотности $\varrho_{Q_i\,Q_j}(t)$, в качестве критерия перепутывания кубитов может быть выбран параметр Переса–Хородецких, или отрицательность [16, 17], который может быть определен через отрицательные собственные значения $\nu_{i}^{-}$ частичной транспонированной по переменным одного кубита редуцированной двухкубитной матрицы плотности $\varrho_{Q_i\,Q_j}^{T_{1} }$:
\[ \begin{equation}
\varepsilon =-2\sum _{i} \nu _{i}^{-}.
\end{equation} \tag{11} \]
Для всех начальных состояний кубитов и теплового состояния поля частично транспонированные по переменным одного кубита редуцированные двухкубитные матрицы плотности имеют вид
\[ \begin{equation}
\varrho_{Q_i\,Q_j}^{T_{1} } (t )=
\left(
\begin{array}{cccc}
\varrho _{11} & 0 & 0 & (\varrho_{23})^{*} \\
0 & \varrho_{22} & 0 & 0 \\
0 & 0 & \varrho_{33} & 0 \\
\varrho_{23} & {0} & {0} & \varrho_{44}
\end{array}
\right).
\end{equation} \tag{12} \]
Матричные элементы (12) для кубитов $Q_1$ и $Q_2$ в случае начального состояния кубитов (1), (3) и (4) выражаются следующим образом:
\[ \begin{align*}
&\varrho_{11}(t)=\sum\limits_{m=1}^{\infty}w_{m}\bigl( |C_{1}(t)|^{2}+|C_{2}(t)|^{2} \bigr)+w_{0}|\Phi_{1}(t)|^{2},
\\
&\varrho_{22}(t)=\sum\limits_{m=1}^{\infty}w_{m}\bigl( |C_{3}(t)|^{2}+|C_{5}(t)|^{2} \bigr)+
w_{0}\bigl(|\Phi_{2}(t)|^{2}+|\Phi_{4}(t)|^{2}\bigr),
\\
&\varrho_{33}(t)=\sum\limits_{m=1}^{\infty}w_{m}\bigl( |C_{4}(t)|^{2}+|C_{6}(t)|^{2} \bigr)+
w_{0}\bigl(|\Phi_{3}(t)|^{2}+|\Phi_{5}(t)|^{2}\bigr),
\\
&\varrho_{44}(t)=\sum\limits_{m=1}^{\infty}w_{m}\bigl( |C_{7}(t)|^{2}+|C_{8}(t)|^{2} \bigr)+
w_{0}\bigl(|\Phi_{6}(t)|^{2}+|\Phi_{7}(t)|^{2}\bigr),
\\
&\varrho_{23}(t)=\sum\limits_{m=1}^{\infty}w_{m}\bigl( C_{3}(t)C_{4}^{*}(t)+C_{5}(t)C_{6}^{*}(t) \bigr)+
w_{0}\bigl(\Phi_{4}(t)\Phi_{5}^{*}(t)+\Phi_{2}(t)\Phi_{3}^{*}(t)\bigr) ,
\\
&\varrho_{32}(t)=(\varrho_{23}(t))^{*}.
\end{align*} \]
Для кубитов $Q_2$ и $Q_3$ соответственно имеем
\[ \begin{align*}
& \varrho_{11}(t)=\sum\limits_{m=1}^{\infty}w_{m}\bigl( |C_{1}(t)|^{2}+|C_{4}(t)|^{2} \bigr)+
w_{0}|\Phi_{3}(t)|^{2}, \\
& \varrho_{22}(t)=\sum\limits_{m=1}^{\infty}w_{m}\bigl( |C_{2}(t)|^{2}+|C_{6}(t)|^{2} \bigr)+
w_{0}\bigl(|\Phi_{1}(t)|^{2}+|\Phi_{5}(t)|^{2}\bigr) , \\
& \varrho_{33}(t)=\sum\limits_{m=1}^{\infty}w_{m}\bigl( |C_{3}(t)|^{2}+|C_{7}(t)|^{2} \bigr)+
w_{0}\bigl(|\Phi_{2}(t)|^{2}+|\Phi_{6}(t)|^{2}\bigr) , \\
& \varrho_{44}(t)=\sum\limits_{m=1}^{\infty}w_{m}\bigl( |C_{5}(t)|^{2}+|C_{8}(t)|^{2} \bigr)+
w_{0}\bigl(|\Phi_{4}(t)|^{2}+|\Phi_{7}(t)|^{2}\bigr) , \\
& \varrho_{23}(t)=\sum\limits_{m=1}^{\infty}w_{m}\bigl( C_{2}(t)C_{3}^{*}(t)+C_{6}(t)C_{7}^{*}(t) \bigr)+
w_{0}\bigl(\Phi_{1}(t)\Phi_{2}^{*}(t)+\Phi_{5}(t)\Phi_{6}^{*}(t)\bigr) , \\
& \varrho_{32}(t)=(\varrho_{23}(t))^{*}.
\end{align*} \]
Для начального состояния (2) матричные элементы для кубитов $Q_1$ и $Q_2$ имеют следующий вид:
\[ \begin{align*}
& \varrho_{11}(t)=\sum\limits_{m=2}^{\infty}w_{m}\bigl( |C_{1}(t)|^{2}+|C_{2}(t)|^{2} \bigr)+
w_{1}|\Phi_{1}(t)|^{2} , \\
& \varrho_{22}(t)=\sum\limits_{m=2}^{\infty}w_{m}\bigl( |C_{3}(t)|^{2}+|C_{5}(t)|^{2} \bigr)+
w_{1} \bigl(|\Phi_{2}(t)|^{2}+|\Phi_{4}(t)|^{2}\bigr)+w_{0}|Z_{1}(t)|^{2} , \\
& \varrho_{33}(t)=\sum\limits_{m=2}^{\infty}w_{m}\bigl( |C_{4}(t)|^{2}+|C_{6}(t)|^{2} \bigr)+
w_{1} \bigl(|\Phi_{3}(t)|^{2}+|\Phi_{5}(t)|^{2}\bigr)+w_{0}|Z_{2}(t)|^{2}, \\
& \varrho_{44}(t)=\sum\limits_{m=2}^{\infty}w_{m}\bigl( |C_{7}(t)|^{2}+|C_{8}(t)|^{2} \bigr)+
w_{1}\bigl(|\Phi_{6}(t)|^{2}+|\Phi_{7}(t)|^{2}\bigr)+ w_{0}\bigl(|Z_{3}(t)|^{2}+|Z_{4}(t)|^{2}\bigr), \\
& \varrho_{23}(t)=\sum\limits_{m=2}^{\infty}w_{m}\bigl( C_{3}(t)C_{4}^{*}(t)+C_{5}(t)C_{6}^{*}(t) \bigr)+
w_{1}\bigl(\Phi_{4}(t)\Phi_{5}^{*}(t)+\Phi_{2}(t)\Phi_{3}^{*}(t)\bigr)+w_{0}Z_{1}(t)Z_{2}^{*}(t), \\
& \varrho_{32}(t)=(\varrho_{23}(t))^{*}.
\end{align*} \]
Для того же начального состояния (2) матричные элементы для кубитов $Q_2$ и $Q_3$ будут иметь вид
\[ \begin{align*}
& \varrho_{11}(t)=\sum\limits_{m=2}^{\infty}w_{n}\bigl( |C_{1}(t)|^{2}+|C_{4}(t)|^{2} \bigr)+w_{1}|\Phi_{3}(t)|^{2}, \\
& \varrho_{22}(t)=\sum\limits_{m=2}^{\infty}w_{m}\bigl( |C_{2}(t)|^{2}+|C_{6}(t)|^{2} \bigr)+w_{1}\bigl(|\Phi_{1}(t)|^{2}+|\Phi_{5}(t)|^{2}\bigr)+w_{0}|Z_{2}(t)|^{2} , \\
& \varrho_{33}(t)=\sum\limits_{m=2}^{\infty}w_{m}\bigl( |C_{3}(t)|^{2}+|C_{7}(t)|^{2} \bigr)+w_{1}\bigl(|\Phi_{2}(t)|^{2}+|\Phi_{6}(t)|^{2}\bigr)+w_{0}|Z_{3}(t)|^{2}, \\
& \varrho_{44}(t)=\sum\limits_{m=2}^{\infty}w_{m}\bigl( |C_{5}(t)|^{2}+|C_{8}(t)|^{2} \bigr)+w_{1}\bigl(|\Phi_{4}(t)|^{2}+|\Phi_{7}(t)|^{2}\bigr)+w_{0}\bigl(|Z_{1}(t)|^{2}+|Z_{4}(t)|^{2}\bigr), \\
& \varrho_{23}(t)=\sum\limits_{m=2}^{\infty}w_{m}\bigl( C_{3}(t)C_{4}^{*}(t)+C_{5}(t)C_{6}^{*}(t) \bigr)+w_{1}\bigl(\Phi_{1}(t)\Phi_{2}^{*}(t)+\Phi_{5}(t)\Phi_{6}^{*}(t)\bigr)+w_{0}Z_{2}(t)Z_{3}^{*}(t), \\
& \varrho_{32}(t)=(\varrho_{23}(t))^{*}.
\end{align*} \]
Матрица (12) имеет всего одно собственное значение, которое может принимать отрицательные значения. Соответственно, отрицательность (11) для начальных состояний кубитов (1)–(4) и начальной полевой матрицы плотности (5) может быть записана в виде
\[ \begin{equation}
\varepsilon (t )=\sqrt{(\varrho _{11}-\varrho_{44} )^{2} +4| \varrho_{23} | ^{2} } - \varrho_{11} -\varrho_{44}.
\end{equation} \tag{13} \]
5. Результаты и обсуждение
Результаты численного моделирования отрицательности (13) представлены на рис. 1–5.
Рис. 1. Отрицательность $\varepsilon_{12}(t)$ как функция безразмерного времени $ \gamma t$ для начального сепарабельного состояния кубитов (1). Рисунок a: среднее число фотонов $\overline{m}=1.5$, параметр керровской нелинейности $\chi=0$ и расстройка: $\delta=0$ (сплошная линия), $\delta=6 \gamma$ (пунктирная линия), $\delta=10 \gamma$ (точечная линия). Рисунок b: среднее число фотонов $\overline{m}=1.5$, параметр расстройки $\delta=0$ и параметр керровской нелинейности: $\chi=0$ (сплошная линия), $\chi=2 \gamma$ (пунктирная линия), $\chi=3 \gamma$ (точечная линия)
[Figure 1. Negativity $\varepsilon_{12}(t)$ as a function of a scaled time $\gamma t$ for the initial separable qubits state (1). For figure a the following parameters were used:
the average number of photons $\overline{m}=1.5$, the Kerr nonlinearity parameter $\chi=0$, and the detuning parameters $\delta=0$ (solid line), $\delta=6 \gamma$ (dashed line), $\delta=10 \gamma$ (dotted line). For figure b the following parameters were used: the average number of photons $\overline{m}=1.5$, the detuning parameter $\delta=0$, and the Kerr nonlinearity parameters $\chi=0$ (solid line), $\chi=2 \gamma$ (dashed line), $\chi=3 \gamma$ (dotted line)]
Рис. 2. Отрицательность $\varepsilon_{23}(t)$ как функция безразмерного времени $\gamma t$ для начального сепарабельного состояния кубитов (1). Рисунок a: среднее число фотонов $\overline{m}=3$, параметр керровской нелинейности $\chi=0$ и расстройка: $\delta=0$ (сплошная линия), $\delta=5 \gamma$ (пунктирная линия), $\delta=8 \gamma$ (точечная линия). Рисунок b: среднее число фотонов $\overline{m}=3$, параметр расстройки $\delta=0$ и параметр керровской нелинейности: $\chi=0$ (сплошная линия), $\chi=\gamma$ (пунктирная линия), $\chi=2 \gamma$ (точечная линия)
[Figure 2. Negativity $\varepsilon_{23}(t)$ as a function of a scaled time $\gamma t$ for the initial separable qubits state (1). For figure a the following parameters were used:
the average number of photons $\overline{m}=3$, the Kerr nonlinearity parameter $\chi=0$, and the detuning parameters $\delta=0$ (solid line), $\delta=5 \gamma$ (dashed line), $\delta=8 \gamma$ (dotted line). For figure b the following parameters were used: the average number of photons $\overline{m}=3$, the detuning parameter $\delta=0$, and the Kerr nonlinearity parameters $\chi=0$ (solid line), $\chi= \gamma$ (dashed line), $\chi=2 \gamma$ (dotted line)]
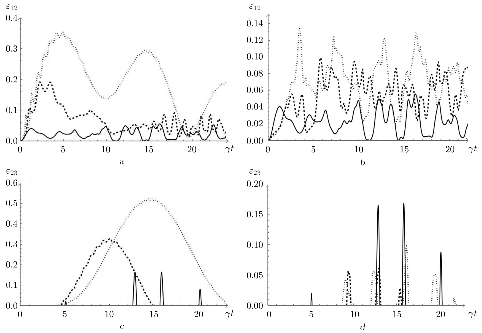
Рис. 3. Отрицательность $\varepsilon_{12}(t)$ (a, b) и $\varepsilon_{23}(t)$ (c, d) как функция безразмерного времени $\gamma t$ для начального сепарабельного состояния кубитов (2). Рисунок a: среднее число фотонов $\overline{m}=4$, параметр керровской нелинейности $\chi=0$ и расстройка: $\delta=0$ (сплошная линия), ${\delta=4 \gamma}$ (пунктирная линия), $\delta=8 \gamma$ (точечная линия). Рисунок b: среднее число фотонов $\overline{m}=4$, параметр расстройки $\delta=0$ и параметр керровской нелинейности: $\chi=0$ (сплошная линия), $\chi=1.5\gamma$ (пунктирная линия), $\chi=3 \gamma$ (точечная линия). Рисунок c: среднее число фотонов $\overline{m}=4$, параметр керровской нелинейности $\chi=0$ и параметр расстройки: $\delta=0$ (сплошная линия), $\delta=8.5 \gamma$ (пунктирная линия), $\delta=13 \gamma$ (точечная линия). Рисунок d: среднее число фотонов $\overline{m}=4$, параметр расстройки $\delta=0$ и параметр керровской нелинейности: $\chi=0$ (сплошная линия), $\chi=2 \gamma$ (пунктирная линия), $\chi=3 \gamma$ (точечная линия)
[Figure 3. Negativity $\varepsilon_{12}(t)$ (a, b) and $\varepsilon_{23}(t)$ (c, d) as a function of dimensionless time $\gamma t$ for the initial non-entangled state of qubits (2). For figure a the following parameters were used: the average number of photons $\overline{m}=4$, the Kerr nonlinearity parameter $\chi=0$, and the detuning parameters $\delta=0$ (solid line), $\delta=4 \gamma$ (dashed line), $\delta=8 \gamma$ (dotted line). For figure b the following parameters were used: the average number of photons $\overline{m}=3$, the detuning parameter $\delta=0$, and the Kerr nonlinearity parameters $\chi=0$ (solid line), $\chi= 1.5\gamma$ (dashed line), $\chi=3 \gamma$ (dotted line). For figure c the following parameters were used: the average number of photons $\overline{m}=4$, the Kerr nonlinearity parameter $\chi=0$, and the detuning parameters $\delta=0$ (solid line), $\delta=8.5 \gamma$ (dashed line), $\delta=13 \gamma$ (dotted line). For figure d the following parameters were used: the average number of photons $\overline{m}=4$, the detuning parameter $\delta=0$, and the Kerr nonlinearity parameters $\chi=0$ (solid line), $\chi= 2\gamma$ (dashed line), $\chi=3 \gamma$ (dotted line)]
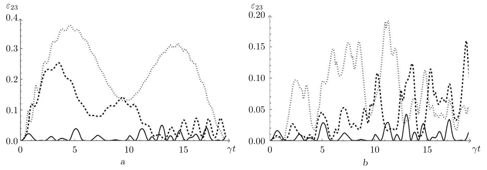
Рис. 4. Отрицательности $\varepsilon_{12}$ (a, b) и $\varepsilon_{23}$ (c, d) как функции безразмерного времени $\gamma t$ для начального бисепарабельного состояния кубитов (3). Рисунок a: среднее число фотонов $\overline{m}=1.5$, параметр керровской нелинейности $\chi=0$ и расстройка: $\delta=0$ (сплошная линия), $\delta=5 \gamma$ (пунктирная линия), $\delta=10 \gamma$ (точечная линия). Рисунок b: среднее число фотонов $\overline{m}=1.5$, параметр расстройки $\delta=0$ и параметр керровской нелинейности: $\chi=0$(сплошная линия), $\chi=2 \gamma$ (пунктирная линия), $\chi=3 \gamma$ (точечная линия). Рисунок c: среднее число фотонов $\overline{m}=4$, параметр керровской нелинейности $\chi=0$ и параметр расстройки: $\delta=0$ (сплошная линия), $\delta=7 \gamma$ (пунктирная линия), $\delta=10 \gamma$ (точечная линия). Рисунок d: среднее число фотонов $\overline{m}=4$, параметр расстройки $\delta=0$ и параметр керровской нелинейности: $\chi=0$ (сплошная линия), $\chi=\gamma$ (пунктирная линия), $\chi=2.5 \gamma$ (точечная линия). Во всех случаях $\beta={\pi}/{4}$
[Figure 4. Negativity $\varepsilon_{12}$ (a, b) and $\varepsilon_{23}$ (c, d) as a function of dimensionless time $\gamma t$ for the initial biseparable state of qubits (3). For figure a the following parameters were used: the average number of photons $\overline{m}=1.5$, the Kerr nonlinearity parameter $\chi=0$, and the detuning parameters $\delta=0$ (solid line), $\delta=5 \gamma$ (dashed line), $\delta=10 \gamma$ (dotted line). For figure b the following parameters were used: the average number of photons $\overline{m}=1.5$, the detuning parameter $\delta=0$, and the Kerr nonlinearity parameters $\chi=0$ (solid line), $\chi= 2\gamma$ (dashed line), $\chi=3 \gamma$ (dotted line). For figure c the following parameters were used: the average number of photons $\overline{m}=4$, the Kerr nonlinearity parameter $\chi=0$, and the detuning parameters $\delta=0$ (solid line), $\delta=7 \gamma$ (dashed line), $\delta=10 \gamma$ (dotted line). For figure d the following parameters were used: the average number of photons $\overline{m}=4$, the detuning parameter $\delta=0$, and the Kerr nonlinearity parameters $\chi=0$ (solid line), $\chi= \gamma$ (dashed line), $\chi=2.5 \gamma$ (dotted line). In all cases $\beta={\pi}/{4}$]
На рис. 1 показана временная зависимость отрицательности $\varepsilon_{12}(t)$ для пары кубитов 1 и 2 в случае начального сепарабельного состояния системы кубитов (1), фиксированного среднего числа фотонов в резонаторе $\overline{m} =1.5$ и различных значений параметров расстройки и керровской нелинейности. На рис. 1, a показано влияние расстройки на временное поведение отрицательности кубитов 1 и 2 в случае отсутствия в резонаторе среды Керра. Из рисунка хорошо видно, что включение расстройки приводит не только к увеличению максимальной степени перепутывания кубитов, но и к существенному уменьшению интервалов времени, для которых достигаются максимумы отрицательности и имеет место мгновенная смерть перепутывания. На рис. 1, b показано влияние керровской нелинейности на временное поведение отрицательности кубитов 1 и 2 в случае резонансного взаимодействия кубитов и поля резонатора. Для рассматриваемого начального состояния системы и выделенной пары кубитов 1 и 2 керровская нелинейность слабо влияет на временное поведение перепутывания пары кубитов.
На рис. 2 показана временная зависимость отрицательности $\varepsilon_{23}(t)$ для другой пары кубитов 2 и 3 в случае того же сепарабельного начального состояния кубитов (1), фиксированного среднего числа фотонов в резонаторе $\overline{m} =3$ и различных значений параметра расстройки и керровской нелинейности. Из рисунков хорошо видно, что в отличие от предыдущего случая, для пары кубитов 2 и 3 включение как расстройки, так и керровской нелинейности приводит не только к значительному увеличению максимальной степени перепутывания кубитов, но и к исчезновению эффекта мгновенной смерти перепутывания.
На рис. 3 показаны временные зависимости отрицательностей $\varepsilon_{12}(t)$ и $\varepsilon_{23}(t)$ для сепарабельного начального состояния кубитов (2), фиксированного среднего числа фотонов в резонаторе $\overline{m} =3$ и различных значений параметров расстройки и керровской нелинейности. Из рисунка видно, что для пары кубитов 1 и 2 включение расстройки и керровской нелинейности приводит к существенному возрастанию степени перепутывания кубитов и исчезновению эффекта мгновенной смерти перепутывания. Для пары кубитов 2 и 3 к увеличению степени перепутывания кубитов приводит только увеличение расстройки, включение керровской нелинейности незначительно меняет характер поведения отрицательности, при этом максимальная степень перепутывания кубитов уменьшается с увеличением параметра нелинейности. Для пары кубитов 2 и 3 наличие расстройки или керровской нелинейности не ведет к исчезновению эффекта мгновенной смерти перепутывания.
Рис. 5. Отрицательность $\varepsilon_{12}$ ($\varepsilon_{23}$) как функция безразмерного времени $\gamma t$ для начального истинно перепутанного состояния кубитов (4). Рисунок a: среднее число фотонов $\overline{m}=4$, параметр керровской нелинейности $\chi=0$ и расстройка: $\delta=0$ (сплошная линия), $\delta=7\gamma$ (пунктирная линия), $\delta=10\gamma$ (точечная линия). Рисунок b: среднее число фотонов $\overline{m}=4$, параметр расстройки $\delta=0$ и параметр керровской нелинейности: $\chi=0$ (сплошная линия), $\chi=1.5\gamma$ (пунктирная линия), $\chi=3\gamma$ (точечная линия). Во всех случаях $f=p=h={1}/{\sqrt{3}}$
[Figure 5. Negativity $\varepsilon_{12}$ ($\varepsilon_{23}$) as a function of dimensionless time $\gamma t$ for the initial true-entangled state of qubits (4). For figure a the following parameters were used: the average number of photons $\overline{m}=4$, the Kerr nonlinearity parameter $\chi=0$, and the detuning parameters $\delta=0$ (solid line), $\delta=7 \gamma$ (dashed line), $\delta=10 \gamma$ (dotted line). For figure b the following parameters were used: the average number of photons $\overline{m}=4$, the detuning parameter $\delta=0$, and the Kerr nonlinearity parameters $\chi=0$ (solid line), $\chi= 1.5\gamma$ (dashed line), $\chi=3 \gamma$ (dotted line). In all cases $f=p=h={1}/{\sqrt{3}}$]
На рис. 4 представлены временные зависимости отрицательностей $\varepsilon_{12}(t)$ и $\varepsilon_{23}(t)$ для бисепарабельного начального состояния кубитов (3), фиксированного среднего числа фотонов в резонаторе ($\overline{m} =1.5$ для рис. 4, a и 4, b и $\overline{m} =4$ для рис. 4, c и 4, d) и различных значений параметра расстройки и керровской нелинейности. При усреднении начального бисепарабельного состояния (3) по переменным третьего кубита кубиты 1 и 2 оказываются в сепарабельном состоянии с нулевым значением отрицательности. Как видно из рис. 4, a, включение расстройки существенно увеличивает в процессе эволюции степень перепутывания кубитов 1 и 2, индуцированного тепловым полем резонатора. Для значительных значений параметра расстройки исчезает также эффект мгновенной смерти перепутывания. Напротив, включение керровской нелинейности не изменяет существенным образом характер поведения параметра перепутывания кубитов 1 и 2. При усреднении начального бисепарабельного состояния (3) по переменным первого кубита кубиты 2 и 3 оказываются в максимально перепутанном состоянии белловского типа с отрицательностью $\varepsilon_{23}(0)=1$. Для рассматриваемого случая наиболее интересным результатом является исчезновение эффекта мгновенной смерти перепутывания при включении керровской нелинейности.
Наконец, на рис. 5 представлена временная зависимость отрицательности $\varepsilon_{12}(t)$ ($\varepsilon_{23}(t)$) для истинно перепутанного начального состояния кубитов (4), фиксированного среднего числа фотонов в резонаторе $\overline{m} =4$ и различных значений параметра расстройки и керровской нелинейности. Из рисунка видно, что включение расстройки и керровской нелинейности приводит к уменьшению амплитуд осцилляций Раби отрицательности, индуцированных тепловым полем резонатора, т.е. к стабилизации начального перепутывания пар кубитов. Для значений расстройки и керровской нелинейности, больших некоторых предельных значений, зависящих от среднего числа фотонов в моде, исчезает эффект мгновенной смерти перепутывания.
Заключение
Таким образом, в данной работе нами найдено решение квантового уравнения эволюции системы трех идентичных кубитов, нерезонансно взаимодействующих с модой теплового поля идеального резонатора со средой Керра. В работе рассмотрены три типа начальных состояний кубитов: сепарабельные, бисепарабельные и истинно перепутанные состояния. На основе решения уравнения эволюции вычислен параметр перепутывания пар кубитов — кубит-кубитная отрицательность. Результаты численного моделирования отрицательности пар кубитов показали, что наличие расстройки и керровской нелинейности в случае начального сепарабельного состояния пары кубитов может приводить к существенному увеличению степени их перепутывания, индуцированного полем резонатора. В случае начального перепутанного состояния пары кубитов расстройка и керровская среда могут приводить к стабилизации начального перепутывания кубитов. Нерезонансное взаимодействие и керровская среда могут также подавлять эффект мгновенной смерти перепутывания кубитов. Полученные результаты могут быть использованы в физике квантовых вычислений и квантовых коммуникаций.
Конкурирующие интересы. Конкурирующих интересов не имеем.
Авторская ответственность. Мы несем полную ответственность за предоставление окончательной версии рукописи в печать. Окончательная версия рукописи нами
одобрена.
Финансирование. Исследование выполнялось без финансирования.
Благодарность. Авторы благодарны рецензентам за тщательное прочтение статьи, ценные предложения и комментарии.
Об авторах
Александр Романович Багров
Самарский национальный исследовательский университет имени академика С.П. Королева
Email: alexander.bagrov00@mail.ru
ORCID iD: 0000-0002-1098-0300
https://www.mathnet.ru/person194194
магистрант; каф. общей и теоретической физики
Россия, 443086, Самара, Московское ш., 34Евгений Константинович Башкиров
Самарский национальный исследовательский университет имени академика С.П. Королева
Автор, ответственный за переписку.
Email: bashkirov.ek@ssau.ru
ORCID iD: 0000-0001-8682-4956
https://www.mathnet.ru/person23894
доктор физико-математических наук, профессор; профессор; каф. общей и теоретической физики
Россия, 443086, Самара, Московское ш., 34Список литературы
- Buluta I., Ashhab S., Nori F. Natural and artificial atoms for quantum computation // Rep. Prog. Phys., 2011. vol. 74, no. 10, 104401, arXiv: 1002.1871 [quant-ph]. DOI: https://doi.org/10.1088/0034-4885/74/10/104401.
- Xiang Z.-L., Ashhab S., You J. Y., Nori F. Hybrid quantum circuits: Superconducting circuits interacting with other quantum systems // Rev. Mod. Phys., 2013. vol. 85, no. 2. pp. 623–653, arXiv: 1204.2137 [quant-ph]. DOI: https://doi.org/10.1103/RevModPhys.85.623.
- Georgescu I. M., Ashhab S., Nori F. Quantum simulation // Rev. Mod. Phys., 2014. vol. 88, no. 1. pp. 153–185, arXiv: 1308.6253 [quant-ph]. DOI: https://doi.org/10.1103/RevModPhys.86.153.
- Gu X., Kockum A.F., Miranowicz A., et al. Microwave photonics with superconducting quantum circuits // Phys. Reports, 2017. vol. 718–719. pp. 1–102, arXiv: 1707.02046 [quantph]. DOI: https://doi.org/10.1016/j.physrep.2017.10.002.
- Wendin G. Quantum information processing with super-conducting circuits: a review // Rep. Prog. Phys., 2017. vol. 80, no. 10, 106001, arXiv: 1610.02208 [quant-ph]. DOI: https://doi.org/10.1088/1361-6633/aa7e1a.
- Kjaergaard M., Schwartz M. E., Braumüller J., et al. Superconducting qubits: Current state of play // Annu. Rev. Condens. Matter Phys., 2020. vol. 11. pp. 369–395, arXiv: 1905.13641 [quant-ph]. DOI: https://doi.org/10.1146/annurev-conmatphys-031119-050605.
- Huang H.-L., Wu D., Fan D., Zhu X. Superconducting quantum computing: a review// Sci. China Inf. Sci., 2020. vol. 63, 180501, arXiv: 2006.10433 [quant-ph]. DOI: https://doi.org/10.1007/S11432-020-2881-9.
- Chen J. Review on quantum communication and quantum computation // J. Phys.: Conf. Ser., 2021. vol. 1865, 022008. DOI: https://doi.org/10.1088/1742-6596/1865/2/022008.
- Chernega V. N., Man’ko O. V., Man’ko V. I. Entangled qubit states and linear entropy in the probability representation of quantum mechanics // Entropy, 2022. vol. 24, no. 4, 527. DOI: https://doi.org/10.3390/e24040527.
- Li G.-Q., Pan X.-Y. Quantum information processing with nitrogen–vacancy centers in diamond // Chinese Phys. B, 2018. vol. 27, no. 2, 020304. DOI: https://doi.org/10.1088/1674-1056/27/2/020304.
- Shore B. W., Knight P. L. The Jaynes–Cummings model // J. Mod. Opt., 1992. vol. 40, no. 7. pp. 1195–1238. DOI: https://doi.org/10.1080/09500349314551321.
- Walther H, Varcoe B. T. H., Englert B.-G., Becker T. Cavity quantum electrodynamics // Rep. Prog. Phys, 2011. vol. 69, no. 5. pp. 1325–1382. DOI: https://doi.org/10.1088/0034-4885/69/5/R02.
- Popov E. N., Reshetov V. A. Controllable source of single photons based on a micromaser with an atomic beam without inversion // JETP Lett., 2020. vol. 111, no. 12. pp. 727–733. DOI: https://doi.org/10.1134/S0021364020120127.
- Reshetov V. A. Jaynes–Cummings model with degenerate atomic levels and two polarization modes of the quantized field // Laser Phys. Lett., 2019. vol. 16, no. 4. pp. 046001. DOI: https://doi.org/10.1088/1612-202X/ab0a5c.
- Wootters W. K. Entanglement of formation of an arbitrary state of two qubits // Phys. Rev. Lett., 1998. vol. 80, no. 10. pp. 2245–2248, arXiv: quant-ph/9709029. DOI: https://doi.org/10.1103/PhysRevLett.80.2245.
- Peres A. Separability criterion for density matrices // Phys. Rev. Lett., 1996. vol. 77, no. 8. pp. 1413–1415, arXiv: quant-ph/9604005. DOI: https://doi.org/10.1103/PhysRevLett.77.1413.
- Horodecki R., Horodecki M., Horodecki P. Separability of mixed states: Necessary and sufficient conditions // Phys. Lett. A, 1996. vol. 223, no. 1–2. pp. 1–8, arXiv: quant-ph/9605038. DOI: https://doi.org/10.1016/S0375-9601(96)00706-2.
- Zha X., Yuan C., Zhang Y. Generalized criterion for a maximally multi-qubit entangled state // Laser Phys. Lett., 2013. vol. 10, no. 4, 045201, arXiv: 1204.6340 [quant-ph]. DOI: https://doi.org/10.1088/1612-2011/10/4/045201.
- Gühne O., Seevinck M. Separability criteria for genuine multiparticle entanglement // New J. Phys., 2010. vol. 12, 053002, arXiv: 0905.1349 [quant-ph]. DOI: https://doi.org/10.1088/1367-2630/12/5/053002.
- Pereira L., Zambrano L., Delgado A. Scalable estimation of pure multi-qubit states // npj Quantum Inf., 2022. vol. 8, 57, arXiv: 2107.05691 [quant-ph]. DOI: https://doi.org/10.1038/s41534-022-00565-9.
- Zhahir A. A., Mohd S. M., Shuhud M. I. M., et al. Entanglement quantification and classification: A systematic liteature review // Int. J. Adv. Comp. Sci. Appl., 2022. vol. 13, no. 5. pp. 218–225. DOI: https://doi.org/10.14569/IJACSA.2022.0130527.
- Dür W., Cirac J. I. Classification of multiqubit mixed states: Separability and distillability properties // Phys. Rev. A, 2000. vol. 61, no. 4, 042314, arXiv: quant-ph/9911044. DOI: https://doi.org/10.1103/PhysRevA.61.042314.
- Dür W., Cirac J. I., Vidal G. Three qubits can be entangled in two inequivalent ways // Phys. Rev. A, 2000. vol. 62, no. 6, 062314, arXiv: quant-ph/0005115. DOI: https://doi.org/10.1103/PhysRevA.62.062314.
- Acín A., Bruß D., Lewenstein M., Sanpera A. Classification of mixed three-qubit states // Phys. Rev. Lett., 2000. vol. 87, no. 4, 040401, arXiv: quant-ph/0103025. DOI: https://doi.org/10.1103/PhysRevLett.87.040401.
- Sabín C., García-Alcaine G., A classification of entanglement in three-qubit systems // Eur. Phys. J. D, 2008. vol. 48. pp. 435–442, arXiv: 0707.1780 [quant-ph]. DOI: https://doi.org/10.1140/epjd/e2008-00112-5.
- Mohd S. Idrus B., Zainuddin H., Mukhtar M. Entanglement classification for a three-qubit system using special unitary groups, SU(2) and SU(4) // Int. J. Adv. Comp. Sci. Appl., 2019. vol. 10, no. 7. pp. 374–379. DOI: https://doi.org/10.14569/IJACSA.2019.0100751.
- Akbari-Kourbolagh Y. Entanglement criteria for the three-qubit states // Int. J. Quantum Inf., 2017. vol. 15, no. 7, 1750049. DOI: https://doi.org/10.1142/S0219749917500496.
- Kendon V., Nemoto K., Munro W. Typical entanglement in multiple-qubit systems // J. Mod. Opt., 2001. vol. 49, no. 10. pp. 1709–1716, arXiv: quant-ph/0106023. DOI: https://doi.org/10.1080/09500340110120914.
- Kim M. S., Lee J., Ahn D., Knight P. L. Entanglement induced by a single-mode heat environment // Phys. Rev. A, 2002. vol. 65, no. 4, 040101(R), arXiv: quant-ph/0109052. DOI: https://doi.org/10.1103/PhysRevA.65.040101.
- Zhang B. Entanglement between two qubits interacting with a slightly detuned thermal field // Optics Commun., 2010. vol. 283, no. 23. pp. 4676–4679. DOI: https://doi.org/10.1016/j.optcom.2010.06.094.
- Bashkirov E. K. Thermal entanglement between a Jaynes–Cummings atom and an isolated atom // Int. J. Theor. Phys., 2018. vol. 57, no. 12. pp. 3761–3771. DOI: https://doi.org/10.1007/s10773-018-3888-y.
- Jin-Fang C., Hui-Ping L. Entanglement in three-atom Tavis–Cummings model induced by a thermal field // Commun. Ther. Phys., 2005. vol. 43, no. 3, 427. DOI: https://doi.org/10.1088/0253-6102/43/3/010.
- Yu T., Eberly J. H. Sudden death of entanglement // Science, 2009. vol. 323, no. 5914. pp. 598–601, arXiv: 0910.1396 [quant-ph]. DOI: https://doi.org/10.1126/science.1167343.
- Wang F., Hou P.-Y., Huang Y. Y., et al. Observation of entanglement sudden death and rebirth by controlling a solid-state spin bath // Phys. Rev. B, 2018. vol. 98, no. 6, 064306, arXiv: 1801.02729 [quant-ph]. DOI: https://doi.org/10.1103/PhysRevB.98.064306.
- Sun G., Zhou Z., Mao B., Wen X., et al. Entanglement dynamics of a superonducting phase qubit coupled to a two-level system // Phys. Rev. B, 2012. vol. 86, no. 1, 064502, arXiv: 1111.3016 [cond-mat.mes-hall]. DOI: https://doi.org/10.1103/PhysRevB.86.064502.
- Salles A., de Melo F., Almeida M. P., et al. Experimental investigation of the dynamics of entanglement: Sudden death, complementarity, and continuous monitoring of the environment // Phys. Rev. A, 2008. vol. 78, no. 2. pp. 022322, arXiv: 0804.4556 [quant-ph]. DOI: https://doi.org/10.1103/PhysRevA.78.022322.
- Bashkirov E. K. Entanglement in Tavis-Cummings model with Kerr nonlinearity induced by a thermal noise // Proc. SPIE, 2021. vol. 11846 (Saratov Fall Meeting 2020: Laser Physics, Photonic Technologies, and Molecular Modeling, 4 May 2021), 11846OW. DOI: https://doi.org/10.1117/12.2588673.
- Багров А. Р., Башкиров Е. К. Динамика трехкубитной модели Тависа—Каммингса // Вестник Самарского университета. Естественнонаучная серия, 2022. Т. 28, №1–2. С. 95–105. EDN: RJIHGM. DOI: https://doi.org/10.18287/2541-7525-2022-28-1-2-95-105.
- Kirchmair G., Vlastakis B., Leghtas Z., et al. Observation of quantum state collapse and revival due to the single-photon Kerr effect // Nature, 2013. vol. 495. pp. 205–209, arXiv: 1211.2228 [quant-ph]. DOI: https://doi.org/10.1038/nature11902.
Дополнительные файлы








