Mathematical models of nonlinear dynamics of functionally graded nano/micro/macroscale porous closed cylindrical Kirchhoff-Love shells
- Authors: Yakovleva T.V.1, Krysko V.A.1
-
Affiliations:
- Yuri Gagarin State Technical University of Saratov
- Issue: Vol 28, No 1 (2024)
- Pages: 96-116
- Section: Mechanics of Solids
- URL: https://journals.eco-vector.com/1991-8615/article/view/562936
- DOI: https://doi.org/10.14498/vsgtu2046
- EDN: https://elibrary.ru/UHLXVK
- ID: 562936
Cite item
Full Text
Abstract
The article presents new mathematical models for the dynamics of nonlinear nano/micro/macro-scale functionally graded porous closed cylindrical shells. The Kirchhoff–Love hypothesis is chosen as the kinematic model for the shells. Geometric nonlinearity is considered according to the von Karman model. Nanoeffects are accounted for using by a modified moment theory of elasticity. Variational and differential equations, as well as boundary and initial conditions, are derived from Hamilton’s principle. A proof of the existence of a solution is conducted based on the theory of generalized solutions to differential equations (using methods of Hilbert spaces and variational methods).
As examples, nano/micro/macro-scale closed cylindrical shells are considered as systems with "almost" an infinite number of degrees of freedom subjected to banded transverse alternating loading. The Bubnov–Galerkin method in higher approximations is adopted as the method for reducing partial differential equations to the Cauchy problem. Its convergence is investigated.
The Cauchy problem is solved using Runge–Kutta methods of fourth to eighth order accuracy and the Newmark method. The application of several numerical methods at each stage of modeling is necessary to ensure the reliability of the obtained results. The study of complex oscillation characteristics of the closed cylindrical nano/micro/macro-scale shell is conducted using nonlinear dynamics methods, which involve constructing signals, phase portraits, applying Fourier analysis, and various wavelet transformations,
among which the Morlet wavelet proved to be the most informative.
An analysis of the type of chaotic oscillations is carried out based on the spectrum of Lyapunov exponents using the Sano–Sawada method and the dominant exponent through several methods: Kanca, Rosenstein, and Wolf. It is shown that the size-dependent parameter and the consideration of porosity have a significant impact on the nature of the oscillations of cylindrical shells. The phenomenon of hyper-chaos has been discovered.
Full Text
Введение
Цилиндрические нанооболочки являются структурными элементами наноэлектромеханических систем, поэтому доказательство существования решения изучаемых задач является важным вопросом. Ранее в работе [1] была сформулирована и доказана теорема о существовании обобщенного решения математической модели многослойных ортотропных оболочек. Большое внимание в научной литературе уделяется исследованию устойчивости и напряженно-деформированного состояния оболочек, пластин [2] и балок [3] с учетом геометрической и физической нелинейности и размерно-зависимого параметра. Хаотическая динамика в основном рассматривалась в физике и радиофизике. Этому вопросу посвящены исследования классических систем: аттрактор Лоренца, Реслера, отображение Эно и др. [4]. В задачах теории однослойных оболочек хаотической динамике макромасштабных оболочек посвящены работы [5, 6]. Большинство исследований по нелинейной динамике нано/микро/макромасштабных замкнутых цилиндрических оболочек ограничиваются численным анализом без должного внимания к вопросу существования решения поставленных задач. Данная работа направлена на построение новых математических моделей нано/микро/макромасштабных пористых замкнутых цилиндрических оболочек с учетом геометрической и физической нелинейностей, которые охватывают реальную работу таких механических структур. Также данная работа направлена на математическое обоснование (формулировка и доказательство теорем существования решения), разработку численных методов решения поставленных задач, которые позволили бы изучать механические структуры корректно как системы с «почти» бесконечным числом степеней свободы, и получение достоверных результатов.
1. Постановка задачи
Рассмотрим упругое тело как обратимую среду, термодинамическими параметрами которой являются температура $T$, удельная энтропия $S$, напряжения $\sigma _{ij}$ и деформации $\varepsilon _{ij}$. При этом энтропия и температура, соответствующие компоненты напряжения и деформации являются взаимно сопряженными параметрами состояния. Материал, из которого изготовлена цилиндрическая оболочка, считается изотропным, но неоднородным, так что модуль растяжения $\widetilde E$, сдвига $\widetilde G$, коэффициент Пуассона $\widetilde \nu $, коэффициент линейного теплового расширения $\widetilde {\alpha} _T$ являются функциями от пространственных координат $x$, $y$, $z$, температуры $T$, объемной деформации $\varepsilon_0$ и интенсивности деформации $\varepsilon_i$. На таком представлении базируется метод переменных параметров упругости И. А. Биргера [7] для решения нелинейно-упругих и упругопластических задач. Метод переменных параметров упругости И. А. Биргера является итерационным методом, поэтому встает важный вопрос о его сходимости, доказательство которого приведено в работах И. И. Воровича и Ю. П. Красовского [8]. Это сделано в свете общей постановки задачи, о которой было сказано выше.
Рассмотрим тонкую оболочку объемом $V$ с поверхностной площадью $\Omega$, срединная поверхность которой ограничена замкнутой линией. Координатная поверхность $z = 0$ может проходить внутри оболочки или может совпадать с какой-либо из граничных поверхностей оболочки. Отнесем координатную поверхность $z = 0$ к криволинейной системе координат $\alpha$ и $\beta $ таким образом, чтобы координатные линии $\alpha $ и $\beta $ совпадали с линиями главной кривизны данной координатной поверхности. Внешняя нормаль направлена к центру кривизны оболочки.
Для описания термоупругого пластического динамического поведения оболочки используются следующие предположения: 1) гипотеза недеформируемых нормалей, данная для пологих оболочек в целом; 2) основные допущения нелинейной технической теории пологих оболочек; 3) гипотеза Дюамеля–Неймана. В этом случае из обобщенного закона Гука с учетом принятых допущений можно получить связь между компонентами напряженного и деформированного состояния:
\[ \begin{equation}
\sigma _\alpha = B_{11} \varepsilon_1 + B_{12} \varepsilon_2+
z (B_{11} æ_1 + B_{12} æ_2 ) - (B_{11}+ B_{12})
\int_{T_0}^T \widetilde{\alpha} _T dT ,
\end{equation} \tag{1} \]
\[ \begin{equation}
\sigma _\beta = B_{22} \varepsilon_2 + B_{21} \varepsilon_1+
z (B_{22} æ_2 + B_{21} æ_1 ) - (B_{22}+ B_{21})
\int_{T_0}^T \widetilde{\alpha} _T dT ,
\end{equation} \tag{2} \]
\[ \begin{equation}
\tau _{\alpha \beta } = B_{11} \varepsilon _{\alpha \beta } + z B_{11}æ _{12},
\end{equation} \tag{3} \]
где $B_{11} = B_{22} = \widetilde E /(1 - \widetilde \nu ^2)$; $B_{12} = B_{21} = \widetilde \nu \widetilde E /( 1 - \widetilde \nu ^2)$, $æ_1 = \partial ^2w /\partial \alpha ^2$, $æ_2 = \partial ^2w /\partial \beta ^2$, $æ _{12}= \partial ^2w /(\partial \alpha \partial \beta )$.
Соотношения между деформациями и перемещениями координатной поверхности и выражения для кривизны приняты согласно теории фон Кармана. Интегрируя (1)–(3) по толщине оболочки, получим выражения для внутренних сил $T_1$, $T_2$, $S_{12}$. Умножая (1)–(3) на $z$ и интегрируя полученное после этого по толщине оболочки, получим выражения для моментов $M_1$, $M_2$, $H$. При рассмотрении уравнений пологих оболочек в смешанной форме вводят функцию усилий обычным образом [9]. Для вариационной постановки будем использовать принцип Гамильтона–Остроградского [10], состоящий из суммы энергии деформации упругого тела, кинетической энергии упругого тела и работы внешних сил. Следует отметить, что этот вариационный принцип остается справедливым и для задачи с начальными деформациями, и для задачи с температурными напряжениями [11]. Вычисляя соответствующие вариации, получим уравнения равновесия, совместности деформаций и граничные условия для динамической задачи упругой термочувствительной тонкой гибкой оболочки. Выпишем указанные уравнения в явном виде:
- уравнение равновесия:
\[ \begin{multline}
( d_{11} F_{\beta \beta } + d_{21} F_{\alpha \alpha } + k_2 F )_{\alpha \alpha } +
( d_{12} F_{\beta \beta } + d_{22} F_{\alpha \alpha } + k_1 F )_{\beta \beta } + {}
\\
{}+
\bigl[ ( D_{11}^* - C_{11}^2 ) w_{\alpha \alpha } + ( D_{12}^* - C_{12}^2 ) w_{\beta \beta } \bigr]_{\alpha \alpha }
+ 4 \bigl[ ( D_{11}^* - C_{11}^2 ) w_{\alpha \beta } \bigr]_{\alpha \beta } + {}
\\
{}
+ 4 \bigl[ ( D_{22}^* - C_{22}^2 ) w_{\alpha \beta } \bigr]_{\alpha \beta }+
\bigl[ ( D_{12}^* - C_{12}^2 ) w_{\alpha \alpha } + ( D_{22}^* - C_{11}^2 ) w_{\beta \beta } \bigr]_{\beta \beta } + {}
\\
{}
+ ( F_{\beta \beta } w_{\alpha \alpha } - 2 F_{\alpha \beta } w_{\alpha \beta } -
F_{\alpha \alpha } w_{\beta \beta } ) - \bigl( C_{1T}^1 - (d_{11} + d_{21}) C_{1T}^0 \bigr)_{\alpha \alpha } -{}
\\
{}
- \bigl( C_{1T}^1 - (d_{12} + d_{22})C_{1T}^0 \bigr)_{\beta \beta } + q - m\frac{\partial ^2w}{\partial t^2} = 0;
\end{multline} \tag{4} \] - уравнение совместности деформаций:
\[ \begin{multline}
( A_{12} F_{\beta \beta } + A_{11} F_{\alpha \alpha } )_{\alpha \alpha } +
( A_{11} F_{\alpha \beta } )_{\alpha \beta } +
( A_{22} F_{\alpha \beta } )_{\alpha \beta } + {}
\\
{}+
( A_{11} F_{\beta \beta } + A_{12} F_{\alpha \alpha } )_{\beta \beta } +
( d_{21} w_{\alpha \alpha } + d_{22} w_{\beta \beta } + k_2 w ) -{} \\
{}
- 2 ( d_{11} w_{\alpha \beta } )_{\alpha \beta }
- 2 ( d_{22} w_{\alpha \beta } )_{\alpha \beta }
+ ( d_{11} w_{\alpha \alpha } + d_{12} w_{\beta \beta } + k_1 w )_{\beta \beta } + {}
\\
{}+ \frac{1}{2} ( w_{\alpha \alpha } w_{\beta \beta } - 2 w_{\alpha \beta } w_{\alpha \beta } +
w_{\beta \beta } w_{\alpha \alpha } ) + {}\\
{} + \bigl( C_{1T}^0( A_{11} + A_{12}) \bigr)_{\alpha \alpha } +
\bigl( C_{1T}^0(A_{11} + A_{12}) \bigr)_{\beta \beta } = 0,
\end{multline} \tag{5} \]
где $F$ — функция усилий; $w$ — прогиб координатной поверхности; $u$, $v$ — продольное и окружное перемещения; $k_1$, $k_2$ — главные кривизны координатной поверхности; $m=\rho h$ — масса элемента оболочки;
\[ \begin{equation*}
C_{ij}^l = \int_{ -h/2}^{h/2} B_{ij} z^l dz, \; i, j = 1, 2, \; l=0, 1, 2; \quad C_{11}^l = C_{22}^l;
\end{equation*} \]
\[ \begin{equation*}
C_{iT}^l = \int_{ - h/2}^{h/2} B_{ii} \biggl( \int_{T_0}^T \widetilde {\alpha} _T (1 + \nu ) \biggr) z^l dz;
\quad C_{1T}^l = C_{2T}^l;
\end{equation*} \]
\[ \begin{equation*}
A_{11} = \frac{C_{11}^0}{\Delta };\quad
A_{12} = - \frac{C_{12}^0}{\Delta };\quad
\Delta = (C_{11}^0)^2 - (C_{12}^0)^2;
\end{equation*} \]
\[ \begin{equation*}
d_{11} = \frac{C_{12}^0(C_{11}^1 - C_{12}^1)}{\Delta };\quad
d_{12} = \frac{C_{11}^0C_{12}^1 - C_{12}^0C_{11}^1}{\Delta };
\end{equation*} \]
\[ \begin{equation*}
d_{21} = \frac{C_{12}^1(C_{11}^0 - C_{12}^0)}{\Delta }; \quad
d_{22} = \frac{C_{11}^0C_{11}^1 - C_{12}^0C_{12}^1}{\Delta };
\end{equation*} \]
\[ \begin{equation*}
D_{11}^{*} = C_{11}^1 d_{11} + C_{12}^1 d_{21};\quad
D_{22}^{*} = C_{12}^1 d_{12} + C_{11}^1 d_{22};
\end{equation*} \]
\[ \begin{equation*}
D_{12}^{*} = C_{11}^1 d_{12} + C_{12}^1 d_{22};
\end{equation*} \] - граничные условия:
\[ \begin{multline*}
\overline T _\eta - ( \mu _2 \overline M _\alpha - \mu _1 \overline M _\beta )_t -
\bigl[\mu_1 ( F_{\beta \beta } w_\alpha - F_{\alpha \beta } w_\beta + M_{1\alpha } + H_\beta ) +
{}
\\
{} + \mu _2 ( F_{\alpha \alpha } w_\beta - F_{\alpha \beta } w_\alpha + M_{2\beta } + H_\alpha ) -
\mu _1 \mu _2 ( M_1 - M_2 )_t + H_t ( \mu _1^2 - \mu _2^2 )\bigr] = 0;
\end{multline*} \]
\[ \begin{equation*}
\begin{array}{c}
\mu _1 \overline M _\alpha + \mu _2 \overline M _\beta -
( \mu _1^2M_1^2 + 2 \mu _1 \mu _2 H + \mu _2^2M_2^2 ) = 0;
\\
\overline T _\beta - ( - \mu _1 F_{\alpha \beta } + \mu _2 F_{\alpha \beta } ) = 0;\quad
\overline T _\alpha - ( \mu _1 F_{\beta \beta } - \mu _2 F_{\alpha \beta } ) = 0,
\end{array}
\end{equation*} \]
где $\overline M _\alpha$, $\overline M _\beta$, $\overline T _\alpha$, $\overline T _\beta$, $\overline T _\eta$ — компоненты, отвечающие за возможную неоднородность в краевых условиях.
Кроме статических граничных условий на контуре оболочки могут быть заданы кинематические граничные условия:
\[ \begin{equation*}
u = u_k,\quad v = v_k, \quad w = w_k, \quad \frac{\partial w}{\partial \mu } = \gamma _k,
\end{equation*} \]
где $u_k$, $v_k$, $w_k$, $\gamma _k$ — заданные смещения контура и угол поворота нормали $\mu$. Если оболочка замкнута по одной из координат, то условие периодичности используют только по этой координате.
2. О существовании решения в теории гибких пологих термочувствительных оболочек
Вопросы существования решения в задачах механики и физики относятся к методам качественного исследования операторных уравнений и представляют большой интерес, так как они дают рациональный способ проверять адекватность теории (которая сводит в некоторую математическую схему факты и явления физического мира), не связанный с проведением экспериментов [12]. При этом используют две возможности для решения указанной проблемы. С одной стороны, это теория многомерных сингулярных потенциалов и сингулярных интегральных уравнений, с другой — теория обобщенных решений дифференциальных уравнений (методы гильбертовых пространств, вариационные методы) [13]. В данной работе используется второй подход, обладающий большей общностью и охватывающий случай переменных коэффициентов и граничных условий.
Основные этапы при применении этого подхода — вывод априорных оценок и использование этих оценок. При этом существенную роль здесь играет выбор функциональных пространств, в которых ищется решение. Для получения и использования априорных оценок применяется метод компактности [14]. Полученные в данной работе результаты являются обобщением известных результатов [14–16] на случай задачи о колебаниях термочувствительной пологой оболочки. Основное внимание уделено формулировке и доказательству теоремы существования для указанной задачи в случае достаточно регулярной области при граничных условиях Дирихле. Реализованный в работе подход основывается на применении функции Грина.
Рассмотрим ограниченную область ${\Omega _0}$ в $\mathbb R^{2}$ ($\Omega_0$ — колеблющаяся оболочка). Мы ищем пару функций $w$, $F$, определенных в ${\Omega _0} \times [0, t_k ]$, удовлетворяющих уравнениям (4), (5) и описывающих динамическое поведение гибкой пологой оболочки с характеристиками материала, зависящими от температуры, а также краевым условиям [17] (защемление по контуру оболочки $\Sigma_0$)
\[ \begin{equation}
w\bigr|_{\Sigma_0}=0, \quad
\frac{\partial w}{\partial n}\Bigr|_{\Sigma_0} = 0, \quad
F\bigr|_{\Sigma_0}=0, \quad
\frac{\partial F}{\partial n}\Bigr|_{\Sigma_0} = 0,
\end{equation} \tag{6} \]
где $n$ — это нормаль к контуру оболочки, и начальным условиям
\[ \begin{equation}
w\bigr|_{t = 0} = w_0,\quad
\frac{\partial w}{\partial t} \Bigr|_{t = 0} = w'_0.
\end{equation} \tag{7} \]
Будем считать, что температурное поле стационарное. В этом случае можно упростить уравнения (4), (5), если выбрать поверхность приведения таким образом, чтобы коэффициент $C_{ij}^1$ в уравнениях равнялся нулю. Обозначая аппликату этой поверхности через ${z_0}$ и вводя обозначения $\alpha = x$, $\beta = y$‚ получим уравнение для данной функции:
\[ \begin{equation*}
C_{ij}^1 = \int_{ - h/2}^{h/2} \frac{\widetilde E}{1 - \widetilde \nu ^2}(z - z_0)dz = 0 .
\end{equation*} \]
Введем обозначения для величин $B(x,y)$, $D(x,y)$, $N_T(x,y)$ и $M_T(x,y)$:
\[ \begin{equation*}
B(x,y) = \int_{ - h/2}^{h/2} \frac{\widetilde E}{1 - \widetilde \nu ^2 }dz,
\quad
D(x,y) = \int_{ - h/2}^{h/2} \frac{\widetilde E}{ 1 - \widetilde \nu ^2 } (z - z_0 )^2 dz,
\end{equation*} \]
\[ \begin{equation*}
N_T(x,y) = \int_{ - h/2}^{h/2} \frac{\widetilde E}{1 - \widetilde \nu }
\biggl( \int_{T_0}^T \widetilde \alpha _T dT \biggr)dz = C_{1T} ,
\end{equation*} \]
\[ \begin{equation*}
M_T(x,y) = \int_{ - h/2}^{h/2} \frac{\widetilde E}{1 - \widetilde \nu ^2 } (z - z_0 )
\biggl( \int_{T_0}^T \widetilde \alpha _T dT \biggr) dz.
\end{equation*} \]
Следует отметить, что в рассматриваемой задаче о температурных напряжениях температура считается известной функцией, следовательно, функции $B(x,y)$, $D(x,y)$, $N_T(x,y)$ и $M_T(x,y)$ — также известные функции. Перепишем уравнения (4), (5) с учетом принятых выше допущений:
\[ \begin{equation}
mw'' + (\Delta _{1D}^2 + \nu \Delta _{2D}^2 )w - [w, F] - \{ k, F\} + \nabla ^2 M_T - q = 0,
\end{equation} \tag{8} \]
\[ \begin{equation}
( \Delta _{1H}^2 - \nu \Delta _{2H}^2 )F + \frac{1}{2} ( 1 - \nu ^2)[w, w]
+ (1 - \nu ^2 )\{ k,w\} + (1 - \nu ) \nabla ^2 \Bigl( \frac{N_T}B \Bigr) = 0,
\end{equation} \tag{9} \]
Здесь приняты обозначения работы [18]:
\[ \begin{equation*}
\Delta _{1G}^2 \equiv \frac{\partial ^2 }{ \partial x^2 } \Bigl( G\frac{\partial ^2 }{ \partial x^2 } \Bigr) +
2\frac{\partial ^2}{\partial x\partial y} \Bigl( G\frac{ \partial ^2 }{ \partial x\partial y } \Bigr) +
\frac{\partial ^2 }{ \partial y^2 }\Bigl( G\frac{ \partial ^2 }{ \partial y^2 } \Bigr),
\end{equation*} \]
\[ \begin{equation*}
\{ k, f\} \equiv k_1 \frac{\partial ^2 f}{\partial y^2 } + k_2 \frac{ \partial ^2 f}{ \partial x^2 },
\end{equation*} \]
\[ \begin{equation}
[w, w] = L(w,w) = 2\Bigl[ \frac{ \partial ^2 w }{\partial x^2 } \frac{\partial ^2 w}{ \partial y^2} -
\Bigl( \frac{\partial ^2 w}{ \partial x\partial y } \Bigr)^2 \Bigr],
\end{equation} \tag{10} \]
\[ \begin{equation*}
[w, F] = L(w, F) = \frac{ \partial ^2 w}{ \partial x^2 } \frac{ \partial ^2 F }{ \partial y^2 } +
\frac{ \partial ^2 w}{ \partial y^2 } \frac{ \partial ^2 F}{ \partial x^2} -
2\frac{ \partial ^2 w }{ \partial x\partial y } \frac{ \partial ^2F }{ \partial x\partial y },
\end{equation*} \]
\[ \begin{equation*}
\Delta _{2G}^2 \equiv \frac{ \partial ^2 }{ \partial x^2 } \Bigl( G\frac{ \partial ^2 }{ \partial y^2 } \Bigr)
- 2\frac{ \partial ^2 }{ \partial x\partial y }\Bigl( G\frac{ \partial ^2 }{ \partial x\partial y } \Bigr) +
\frac{ \partial ^2 }{ \partial y^2 }\Bigl( G\frac{ \partial ^2 }{ \partial x^2 } \Bigr).
\end{equation*} \]
Введем пространство $H_0^2 (\Omega _0 )= \bigl\{v : v \in H^2 (\Omega _0), v\big|_\Gamma =0, \frac{\partial v}{\partial n}\big|_\Gamma = 0 \bigr\}$ [14]. Таким образом, $H_0^2 (\Omega _0)$ является пространством Соболева [19] функций, обращающихся в нуль на границе области $\Gamma$ вместе со своими производными. Обозначим через $Q$ цилиндр в $\mathbb R^2 \times \mathbb R_t$: $Q = {\Omega _0} \times [0, t_k ]$, $t_k$ — конечно, а через $\Sigma $ — его боковую границу: $\Sigma =\Gamma\times [0, t_k ]$. Введем также обозначение ${L^P}(0, t_k ; \Omega _0 )$ [14] — пространство функций $t - f ( t ) : [0, {t_k}] \to {\Omega _0}$, измеримых и принимающих значения из ${\Omega _0}$, и таких, что
\[ \begin{equation}
\biggl( \int_0^{t_k} \| f \| _{\Omega _0}^p dt \biggr)^{1/p} =
\| f \|_{L^p(0, t_k ; \Omega _0)} < \infty .
\end{equation} \tag{11} \]
Если $p = \infty $, то норма (11) заменяется нормой $\operatorname{supess} \| f(t) \|_\Omega = \| f \|_{L^\infty (0, t_k; \Omega _0)}$, $t \in [0,{t_k}]$ [14]. При этом имеем ${L^p}( 0, t_k ; L^p ( \Omega ) ) = L^p ( Q )$.
Теорема. Пусть заданы $q$, $\nabla ^2 M_T$, $\nabla ^2 \bigl( \frac{N_T }B\bigr)$, $k_1$, $k_2$, $w_0$, $w'_0$, причем ${q \,{\in}\, L^2 ( Q ),}$ $\nabla^2 _{M_T} \in L^2 ( \Omega )$, $\nabla^2 \bigl( \frac{N_T}B\bigr) \in L^1 ( \Omega )$, $k_1$, $k_2 \in L^2 ( \Omega )$, $w_0 \in H_0^2 ( \Omega )$, $ w'_0 \in L^2 ( \Omega )$.
Тогда существуют $w$ и $F$, удовлетворяющие (6)–(9), причем
\[ \begin{equation}
w \in L^\infty ( 0, t_k; H_0^2 ( \Omega ) ),\quad
w' \in L^\infty ( 0, t_k; L^2 ( \Omega ) ),\quad
F \in L^\infty ( 0, t_k; H_0^2 ( \Omega ) ).
\end{equation} \tag{12} \]
Замечание 1. Из (12) и (10) следует, что $[w, F] \in L^\infty ( 0, t_k; L_1 ( \Omega ) )$ и уравнения (8) приводит к включению $w'' \in L^\infty ( 0, t_k ; H^{- 2} ( \Omega ))$, так что условия (7) имеют смысл.
В работе [14] доказывается несколько свойств скобки $[u, \vartheta ]$, необходимых для дальнейшего.
Лемма 1. Отображение $u, \vartheta \to [ u, \vartheta ]$ является билинейным отображением $H_0^2( \Omega ) \times H_0^2( \Omega ) \to H^{ - 2}( \Omega )$.
Замечание 2. Форма $u, \vartheta , f \to [ [ u, \vartheta ], f)$ является непрерывной трилинейной формой на $H_0^2( \Omega )$.
Лемма 2. Трилинейная форма $u, \vartheta , f \to [ [ u, \vartheta ], f )$ симметрична на $H_0^2 ( \Omega )$. Аналогично можно доказать, что те же свойства присущи трилинейной форме $( \{ k, u \}, \vartheta )$.
Лемма 3. Трилинейная форма $k, u, \vartheta \to ( \{ k, u \}, \vartheta )$ является симметричной трилилинейной формой на $H_0^2 ( \Omega )$.
Лемма 4. Операторы $\Delta _{1D}^2 + \nu \Delta _{2D}^2$ и $\Delta _{1H}^2 - \nu \Delta _{2H}^2$ являются симметричными положительно определенными операторами.
Лемма 5. Операторы $\Delta _{1D}^2 + \nu \Delta _{2D}^2$ и $\Delta _{1H}^2 - \nu \Delta _{2H}^2$ являются сильно эллиптическими операторами [20].
Замечание 3. Оператор $\Delta _{1D}^2 + \nu \Delta _{2D}^2$ имеет в $\Omega $ полную систему векторов [20].
Из указанных свойств следует следующая лемма.
Лемма 6. Сильно эллиптический оператор $\Delta _{1H}^2 - \nu \Delta _{2H}^2$ отображает пространство $H_0^2 ( \Omega )$ на сопряженное пространство $H^{ - 2} ( \Omega )$ гомеоморфно [21].
В частности, это означает, что справедлива следующая теорема.
Теорема. Существует оператор ${G_F}$, обратный к $\Delta _{1H}^2 - \nu \Delta _{2H}^2$, который является непрерывным оператором из $H^{ - 2} ( \Omega ) \to H_0^2 ( \Omega )$, т.е. существует «оператор Грина», обратный к $\Delta _{1H}^2 - \nu \Delta _{2H}^2$ в $\Omega$ при условиях Дирихле.
Доказательство.
1. Построение приближенного решения. Пусть $\vartheta_1, \dots, \vartheta_m$ — «базис», образованный, например, функциями из $D( \Omega )$ ($g \in D ( \Omega )$ — пространство функций класса ${C^\infty }$ в $\Omega $, имеющих компактный носитель в $\Omega $), обладающий следующими свойствами: 1) ${\vartheta _i} \in H_0^2 ( \Omega )$ $\forall i$; 2) $\forall m$ $ \vartheta _1 , \dots , \vartheta _m $ линейно независимы; 3) линейные комбинации ${\vartheta _i}$ плотны в $H_0^2 ( \Omega )$.
Пусть ${w_m}( t )$ удовлетворяет следующим условиям:
\[ \begin{equation}
w_m ( t ) \in [v_1, \dots, v_m],\quad \text{т.е.} \quad
w_m ( t ) = \sum\limits_{i = 1}^{\infty} g_{im} ( t )v_i;
\end{equation} \tag{13} \]
\[ \begin{equation}
\bigl(w''_m ( t ), v_i \bigr) +
\bigl( ( \Delta _{1D}^2 + \nu \Delta _{2D}^2 )w_m ( t), v_j\bigr) -
\bigl( [ F_m ( t ), w_m ( t )], v_j \bigr) - \bigl( \{k, F_m ( t ) \} , v_j \bigr) +
( \nabla ^2 M_T , v_j ) - ( q, v_j ) = 0,\quad 1 \leqslant j \leqslant m,
\end{equation} \tag{14} \]
где выражение $({}\cdot{}, {}\cdot{})$ — означает скалярное произведение;
\[ \begin{equation}
w_m ( 0 ) = w_{0m} \in [v_1 ,\dots , v_m],\quad
w_{0m} \to {w_0}\quad \text{в} \quad H_0^2 ( \Omega );
\end{equation} \tag{15} \]
\[ \begin{equation}
w'_m ( 0 ) = w'_{0m} \in [v_1,\dots, v_m ],\quad
w'_{0m} \to w'_0 \quad \text{в} \quad L^2 ( \Omega ).
\end{equation} \tag{16} \]
Определим $F_m ( t )$ соотношением
\[ \begin{multline}
(\Delta _{1H}^2 - \nu \Delta _{2H}^2 ) F_m ( t ) = {}
\\
{} = - \frac12 ( 1 - \nu ) [ w_m ( t), w_m ( t ) ] - ( 1 - \nu ^2) \{ k, w_m ( t ) \} - {}\\
{} - ( 1 - \nu ) \nabla ^2 \Bigl( \frac{N_T}B\Bigr) = 0,\quad
F_m ( t ) \in H_0^2 ( \Omega ).
\end{multline} \tag{17} \]
При этом $F_m ( t )$ может и не принадлежать $[\vartheta _1, \dots, \vartheta _m]$. В силу леммы 6 $F_m( t)$ можно представить в следующем виде:
\[ \begin{multline}
F_m ( t) = G_F\Bigl( - \frac1 2 ( 1 - \nu ^2) [ w_m ( t ), w_m ( t ) ] - {}
\\
{} - ( 1 - \nu ^2 ) \{ k, w_m ( t ) \} - ( 1 - \nu )
\nabla ^2 \Bigl( \frac{ N_T }B\Bigr) \Bigr).
\end{multline} \tag{18} \]
Подставляя это выражение в (14), можно получить систему обыкновенных уравнений относительно $w_m ( t )$. Таким образом, можно быть уверенным в существовании $w_m ( t )$ в силу разрешимости системы обыкновенных дифференциальных уравнений, а следовательно, и в существовании $F_m ( t )$ в некотором интервале $[ 0, t_m ]$, $t_m > 0$.
2. Априорные оценки. Умножим (13) на $g'_{jm} $ и просуммируем по $j$. Получим
\[ \begin{multline}
\bigl( w''_m ( t ), w'_m ( t ) \bigr) +
\bigl( ( \Delta _{1D}^2 + \nu \Delta _{2D}^2 ) w_m ( t ), w'_m ( t ) \bigr) - \bigl( [F_m ( t ), w_m ( t )], w'_m ( t ) \bigr) - {}
\\
{} - \bigl( \{ k, F_m ( t ) \}, w' _m ( t ) \bigr) +
(\nabla ^2 M_T , w' _m ) - ( q, w' _m ) = 0.
\end{multline} \tag{19} \]
Согласно леммам 2 и 3
\[ \begin{equation}
\bigl( \{ k, F_m ( t ) \}, w' _m ( t ) \bigr) = \bigl( \{ k, w' _m ( t ) \}, F_m ( t )\bigr),
\end{equation} \tag{20} \]
\[ \begin{multline}
\bigl( [ F_m ( t ), w_m ( t ) ], w' _m ( t )\bigr) =
\bigl( [ w_m ( t ), w'_m ( t ) ], F_m ( t ) \bigr) ={}
\\
{}=\Bigl( \frac 1 2 \frac{d}{dt} [ w_m ( t ), w_m ( t ) ], F_m ( t ) \Bigr).
\end{multline} \tag{21} \]
В силу (17) последнее выражение равно
\[ \begin{multline}
- \frac{1}{ 1 - \nu ^2 } \frac{d}{dt}
\bigl( ( \Delta _{1H}^2 - \nu \Delta _{2H}^2 ) F_m ( t ),
F_m ( t ) \bigr) - \Bigl( \frac{d}{dt } \{ k, w_m ( t ) \}, F_m ( t ) \Bigr) - {}
\\
{} - \Bigl( \frac{1}{1 + \nu } \frac{d}{dt} \Bigl( \nabla ^2 \frac{ N_T } B \Bigr), F_m ( t ) \Bigr).
\end{multline} \tag{22} \]
Подставляя (20)–(22) в (19), получим
\[ \begin{multline}
\bigl( w'' _m ( t ), w' _m ( t ) \bigr) +
\bigl( ( \Delta _{1D}^2 + \nu \Delta _{2D}^2 ) w_m ( t ), w' _m ( t ) \bigr) + {}
\\
{} +\frac{1}{1 + \nu }\frac{d}{dt} \bigl( ( \Delta _{1H}^2 - \nu \Delta _{2H}^2 ) F_m ( t ), F_m ( t ) \bigr) + {}
\\
{} + \bigl( \{ k, w' _m ( t ) \}, F_m ( t ) \bigr) -
\bigl( \{ k, w' _m ( t ) \}, F_m ( t ) \bigr) + {}
\\
{} + ( \nabla ^2 {M_T}, w' _m ( t ) ) - ( q, w' _m ( t ) ) = 0.
\end{multline} \tag{23} \]
Далее на основании свойств операторов $\Delta _{1H}^2 - \nu \Delta _{2H}^2 $ и $\Delta _{1D}^2 + \nu \Delta _{2D}^2$ c использованием соотношений
\[ \begin{equation*}
\frac{d}{dt}\bigl(( \Delta _{1H}^2 - \nu \Delta _{2H}^2 ) F_m ( t ), F_m ( t ) \bigr)
\equiv
\frac 1 2 \frac{d}{dt} \bigl( ( \Delta _{1H}^2 - \nu \Delta _{2H}^2 )F_m , F_m \bigr),
\end{equation*} \]
\[ \begin{equation*}
\bigl( ( \Delta _{1D}^2 - \nu \Delta _{2D}^2 ) w_m ( t ), w' _m ( t ) \bigr)
\equiv
\frac 1 2 \frac{d}{dt} \bigl( ( \Delta _{1D}^2 + \nu \Delta _{2D}^2 ) w_m ( t ), w_m ( t ) \bigr),
\end{equation*} \]
\[ \begin{equation*}
\bigl( w'' _m ( t ), w' _m ( t ) \bigr) =
\frac 1 2 \frac{d}{dt}\bigl( w' _m ( t ), w' _m ( t )\bigr) =
\frac 1 2 \frac{d}{dt}\bigl( w' _m ( t )\bigr)^2
\end{equation*} \]
соотношение (23) можно переписать в следующем виде:
\[ \begin{multline*}
\frac 1 2 \frac{d}{dt} \Bigl( | w' _m ( t ) |^2 + \bigl( ( \Delta _{1D}^2 + \nu \Delta _{2D}^2 ) w_m ( t ), w_m ( t ) \bigr) + {}
\\
{}+\frac{1}{1 - \nu ^2 } \bigl( ( \Delta _{1H}^2 - \nu \Delta _{2H}^2 ) F_m ( t ), F_m ( t ) \bigr) \Bigr) = {}
\\
{} = \bigl(q, w'_m ( t )\bigr) - \bigl( \nabla ^2 M_T , w' _m ( t ) \bigr)
\end{multline*} \]
и, следовательно,
\[ \begin{multline*}
\frac 1 2 \Bigl( | w' _m ( t ) |^2 + \bigl( ( \Delta _{1D}^2 + \nu \Delta _{2D}^2 ) w_m ( t ), w_m ( t ) \bigr) + {}
\\
{}+\frac{1}{1 - \nu ^2 } \bigl( ( \Delta _{1H}^2 - \nu \Delta _{2H}^2 ) F_m ( t ), F_m ( t ) \bigr) \Bigr) = {}
\\
{}=
\int _0^t \bigl( q ( \sigma ), w' _m ( \sigma ) \bigr)d\sigma -
\int _0^t \bigl( \nabla ^2 M_T, w' _m ( \sigma ) \bigr)d\sigma + {}
\\
{} + \frac 1 2 \Bigl(
| w' _{0m} |^2 + \bigl( ( \Delta _{1D}^2 + \nu \Delta _{2D}^2 ) w_{0m} , w_{0m} \bigr) + {}
\\
{} + \frac{1}{ 1 - \nu ^2 } \bigl( ( \Delta _{1H}^2 - \nu \Delta _{2H}^2 ) F_m ( 0 ), F_m ( 0 ) \bigr) \Bigr).
\end{multline*} \]
В силу (15), (16) $| w' _{0m} |^2 + \bigl( ( \Delta _{1H}^2 - \nu \Delta _{2H}^2 ) w_{0m} , w_{0m} \bigr) \leqslant \mathrm{const}$, поэтому на основании (18) имеем
\[ \begin{equation*}
F_m ( 0 ) = G_F \Bigl( - \frac 1 2 ( 1 - \nu ^2 )
[w_{m0}, w_{m0} ] - ( 1 - \nu ^2 ) \{ k, w_{m0} \} - ( 1 - \nu )\nabla ^2
\Bigl( \frac{N_T }B\Bigr) \Bigr).
\end{equation*} \]
Однако $[ w_{0m}, w_{0m} ]$ принадлежит ограниченному множеству $L_1 ( \Omega )$, а следовательно, и в $H^{ - 2}( \Omega )$, поэтому $F_m ( 0 )$ принадлежит ограниченному множеству в $H_0^2( \Omega )$ и поэтому $\bigl( ( \Delta _{1H}^2 - \nu \Delta _{2H}^2) F_m ( 0 ), F_m ( 0 ) \bigr) \leqslant \mathrm{const}$. Далее, используя свойство положительной определенности операторов $\Delta _{1H}^2 - \nu \Delta _{2H}^2 $ и $\Delta _{1D}^2 + \nu \Delta _{2D}^2$, неравенство Коши для $\varepsilon $, а также лемму Гронуoлла [22], можно показать, что $t_m = t_\kappa $ и
\[ \begin{equation}
\begin{array}{l}
w_m, \; F_m \text{ ограничены в } L^\infty \bigl( 0, t_k ; H_0^2 ( \Omega ) \bigr), \\
w'_m \text{ ограничены в } L^\infty \bigl( 0, t_k ; L ^2 ( \Omega )\bigr).
\end{array}
\end{equation} \tag{24} \]
3. Предельный переход. В силу (24) мы можем выделить такие последовательности $w_\mu$, $F_\mu$, что $w_\mu \to w$ слабо в $L^\infty \bigl(0, t_k; H_0^2( \Omega ) \bigr)$, $F_\mu \to F$ слабо в $L^\infty \bigl(0, t_k; H_0^2( \Omega ) \bigr)$, $w'_\mu \to w'$ слабо в $L^\infty \bigl(0, t_k; L ^2( \Omega ) \bigr)$, $w_\mu \to w$ сильно в $L^\infty ( Q )$ (в силу теорем вложения Соболева).
Пусть функции $\phi _j$, $1 \leqslant j \leqslant j_0$, принадлежат $G^1([0, t_k])$, тогда
\[ \begin{equation}
\phi (t_k) = 0\quad \text{и} \quad
\psi = \sum\limits_{j = 1}^{j_0} \phi _j \otimes v_j.
\end{equation} \tag{25} \]
Из (14) следует, что при $m = \mu > j_0$
\[ \begin{multline}
-\int_0^{t_k} (w'_\mu \psi ')dt
+\int_0^{t_k} \bigl( (\Delta _{1D}^2 + \nu \Delta _{2D}^2) w_\mu , \psi \bigr)dt - {}
\\
{}
-\int_0^{t_k} \bigl([ F_\mu, w_\mu ], \psi \bigr) dt
-\int_0^{t_k} \bigl( \{ k, F_\mu \}, \psi \bigr) dt ={}
\\
{}
=\int_0^{t_k} (q, \psi) dt
-\int_0^{t_k} (\nabla ^2 M_T, \psi ) dt
+\bigl( w'_\mu ( 0 ), \psi ( 0 ) \bigr).
\end{multline} \tag{26} \]
В силу леммы 2
\[ \begin{equation*}
\int_0^{t_k} \bigl( [F_\mu, w_\mu ], \psi \bigr) dt =
\int_0^{t_k} \bigl( [\psi , F_\mu ], w_\mu \bigr) dt,
\end{equation*} \]
$[ \psi , F_\mu ] \to [\psi , F]$, скажем, слабо в ${L^2}( Q )$, и так как $w_\mu \to w$ сильно в $L^2( Q )$, мы видим, что
\[ \begin{equation*}
\int_0^{t_k} \bigl( [ F_\mu , w_\mu ], \psi \bigr) dt \to
\int_0^{t_k} \bigl( [ \psi , F], w \bigr) dt =
\int_0^{t_k} \bigl( [ w, F], \psi \bigr) dt
\end{equation*} \]
и (26) в пределе переходит в соотношение
\[ \begin{multline}
-\int_0^{t_k} (w', \psi') dt
+\int_0^{t_k} \bigl( (\Delta _{1D}^2 + \nu \Delta _{2D}^2)w, \psi \bigr) dt -{}
\\
{}
-\int_0^{t_k} \bigl( [w, F ], \psi \bigr) dt
-\int_0^{t_k} \bigl( \{ k, F \}, \psi \bigr) dt = \int_0^{t_k} \bigl( \{ k, F \}, \psi \bigr) dt ={}
\\
{}=\int_0^{t_k} (q, \psi) dt
-\int_0^{t_k} (\nabla ^2 M_T , \psi ) dt
+ \bigl(w'_0, \psi ( 0 ) \bigr),
\end{multline} \tag{27} \]
которое справедливо для всех $\psi$ вида (25).
Предельным переходом мы устанавливаем, что (27) выполнено для всех $\psi \in L^2\bigl( 0, t_k; H_0^2( \Omega )\bigr)$ таких, что $\psi ' \in L^2 \bigl(0, t_k; L^2(\Omega)\bigr)$. Тем самым показано, что $w$, $F$ удовлетворяют (8) и что $w'( 0 ) = w'_0$. Для установления (9) можно непосредственно перейти к пределу в (17) (при $m = \mu $), заметив, что $[ w_\mu, w_\mu ] \to [w, w]$, например, в $D'(Q)$ (пространстве распределений). Действительно, если $\phi \in D( Q )$, то
\[ \begin{equation*}
\int_0^{t_k} \bigl( [ w_\mu, w_\mu ], \phi \bigr) dt =
\int_0^{t_k} \bigl( [ w_\mu, \phi ], w_\mu \bigr) dt
\end{equation*} \]
и можно перейти к пределу, как и выше. $\square$
Замечание 4. Приведенные теорема и леммы верны и для случая оболочечных структур, выполненных из функционально-градиентного пористого материала (ФГМ). Тогда модуль Юнга $E(z)$, коэффициент Пуассона $\nu(z)$ и плотность $\rho(z)$ могут быть определены формулами вида
\[ \begin{equation}
\begin{array}{l}
E(z) = ( E_c - E_m) ( 1/2 + z/h)^k + E_m - (E_c + E_m )K(1/2-|z|h),
\\
\nu (z) = (\nu _c - \nu _m) (1/2 + z/h)^k + \nu _m - ( \nu _c + \nu _m)K(1/2-|z|h),
\\
\rho (z) = (\rho _c - \rho _m) ( 1/2 + z/h)^k + \rho _m - (\rho _c + \rho _m)K(1/2-|z|h),
\end{array}
\end{equation} \tag{28} \]
где $E_c$, $E_m$, $\nu_c$, $\nu_m$, $\rho_c$, $\rho_m$ — модули Юнга, коэффициенты Пуассона, плотности, связанные с керамической и металлической фазами ФГМ; $K$ — показатель пористости; $k$ — показатель градиента свойства материала (коэффициент, определяющий соотношение объемных долей материала); $h$ — толщина оболочки. Если $k = 0$, то пор нет.
Замечание 5. Для фазы керамики $E_c$, $\nu_c$, $\rho_c =\mathrm{const}$ [23], однако для фазы металла $E_m$, $\nu_m$, $\rho_m$ — функции, зависящие от координат $(x, y, z)$ и напряженно-деформированного состояния $(\varepsilon_0, \varepsilon_i)$. Поэтому в данной работе впервые предлагается учесть физическую нелинейность для таких структур. Такое представление $E$, $\nu$ и $\rho$ делается согласно методу переменных параметров упругости И. А. Биргера [7], доказательство сходимости которого проведено Н. И. Воровичем и Ю. П. Красовским [8].
3. Нелинейная динамика функционально-градиентной пористой гибкой цилиндрической нанооболочки
Используя гипотезы, изложенные в разделе 1 настоящей работы, без учета температурного поля, полагая $k_x=0$, получим уравнения движения и совместности деформаций функционально-градиентной пористой гибкой замкнутой цилиндрической оболочки (рис. 1).
Рис. 1. Схема нагружения замкнутой цилиндрической нанооболочки
[Figure 1. Load scheme of a closed cylindrical nanoshell]
Для учета наноэффектов применим модифицированную моментную теорию упругости [24]:
\[ \begin{equation}
\begin{cases}
D_1 \Delta^2w - k_y \dfrac{\partial ^2F}{\partial x^2 } - L(w, F)+\rho \dfrac{\partial ^2w }{\partial t^2 } + \varepsilon \rho \dfrac{\partial w}{\partial t} = q(x,y,t),
\\
\Delta^2 \dfrac FE=-\dfrac12L(w,w) - k_y\dfrac{ \partial ^2 w}{\partial x^2},
\end{cases}
\end{equation} \tag{29} \]
где
\[ \begin{equation*}
D_1 =
\int_{-1/2}^{1/2} \frac{E(z)z^2}{1 - \nu ^2 (z)}dz +
\frac12\int_{-1/2}^{1/2} \frac{E(z) \gamma ^2}{1 + \nu (z)}dz;
\end{equation*} \]
$\gamma =l/h$ — масштабный параметр длины материала, учитывающий эффект моментов высшего порядка; $\Delta$ — оператор Лапласа; $L(w, F)$, $L(w, w)$ — нелинейные операторы в теории гибких оболочек [9], определяемые соотношениями (10). Уравнения (29) приведены к безразмерному виду обычным образом [25, 26].
Присоединим к системе (29) краевые условия для шарнирного опирания по торцам
\[ \begin{equation*}
w\bigr|_{x = 0;1} = 0;\quad
\frac{\partial ^2w}{\partial x^2}\Bigr|_{x = 0;1} = 0; \quad
F\bigr|_{x = 0;1} =0;\quad
\frac{\partial ^2F}{\partial x^2}\Bigr|_{x = 0;1} = 0;
\end{equation*} \]
условие периодичности при $y = 0; 2\pi$ и начальные условия
\[ \begin{equation*}
w\bigr|_{t = 0} = w_0=0; \quad
\frac{\partial w}{\partial t}\Bigr|_{t = 0} = {w'_0}=0.
\end{equation*} \]
4. Методы решения
Для решения уравнения (29) применяем метод Бубнова–Галеркина в высших приближениях. Для этого функции $w$ и $F$, являющиеся решениями уравнения, приближенно аппроксимируем рядами
\[ \begin{equation*}
w = \sum\limits_{i = 1}^N \sum\limits_{j = 0}^N A_{ij} (t)\sin i\pi x \cos jy ,\quad
F = \sum\limits_{i = 1}^N \sum\limits_{j = 0}^N B_{ij} (t)\sin i\pi x \cos jy .
\end{equation*} \]
Исследована сходимость метода Бубнова–Галеркина в зависимости от количества членов ряда, при этом наложено требование совпадения как самих функций, так и их производных до второго порядка включительно. Установлено, что сходимость метода достигается при $N = 9$. Цилиндрические оболочки рассматриваются как системы с «почти» бесконечным числом степеней свободы. Полученную задачу Коши решаем методами типа Рунге–Кутты от второго до восьмого порядков точности и методом Ньюмарка по времени. Шаг по времени выбирается по правилу Рунге. Применение нескольких численных методов на каждом этапе моделирования необходимо для достоверности получаемых результатов. Исследование характера сложных колебаний замкнутой цилиндрической нано/микро/макромасштабной оболочки проведено методами нелинейной динамики, для этого построены сигналы, фазовые портреты, применены Фурье-анализ, вейвлет-анализ и различные методы вычисления показателей Ляпунова.
5. Численный эксперимент
Изучим нелинейную динамику пористой функционально-градиентной замкнутой цилиндрической нано/микро/макромасштабной оболочки (см. рис. 1) с шарнирно закрепленными краями. Численный эксперимент проведен в безразмерных величинах. На оболочку действует поперечная распределенная полосовая знакопеременная нагрузка с амплитудой $q_0$ и частотой вынуждающих колебаний $\omega _p = 20.3$, угол нагружения $\varphi _0 = 5.98$ рад по всей длине цилиндра.
Исследуем влияние величины интенсивности нагрузки $q_0$ и масштабного параметра $\gamma$ на характер колебаний оболочки без учета пористости. Значения параметра $\gamma=l/h$ для учета наноэффектов были найдены экспериментально в работе [27]. Величина параметра $l$ в работах [28, 29] принята равной 17.6 нм; при $h>17$ мм параметр $\gamma \approx 0$. Например, значение $\gamma =0.4$ соответствует ${h=l/\gamma =7.25}$ нм. В настоящей работе при проведении численных экспериментов принято безразмерное значение $\gamma$ в диапазоне $[0; 0.7]$.
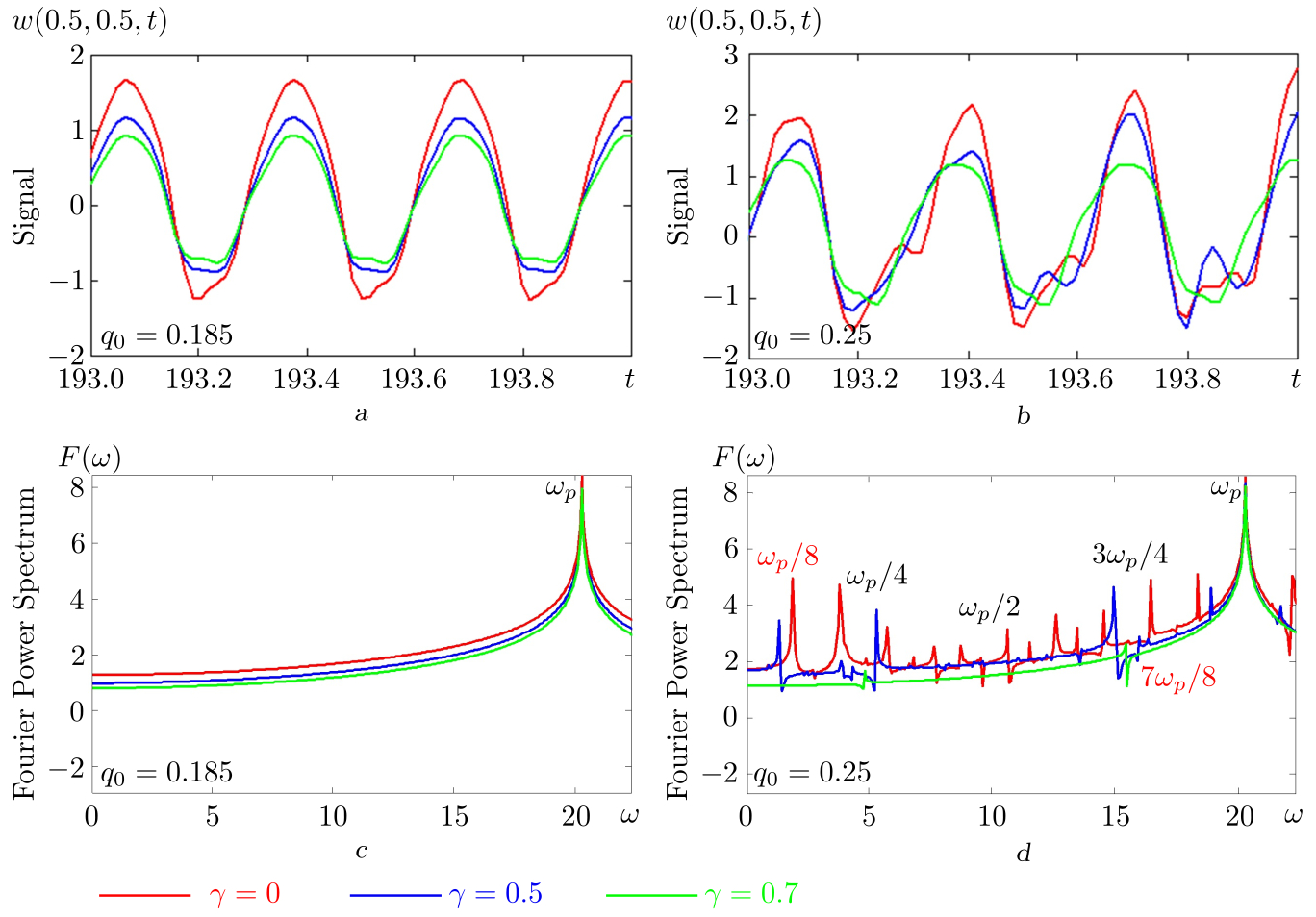
С этой целью рассмотрим сигналы $w(0.5, 0.5, t)$ и спектры мощности Фурье $F(\omega )$ для $\gamma = 0; 0.5; 0.7$ при амплитудах нагрузки $q_0 = 0.185$ и $q_0 = 0.25$.
При действии внешней нагрузки малой интенсивности $q_0 = 0.185$ характер колебаний замкнутой цилиндрической оболочки гармонический и качественно совпадает для величин масштабного параметра $\gamma = 0; 0.5; 0.7$ (рис. 2).
Рис. 2. Динамические характеристики цилиндрической оболочки: a — сигнал при $q_0=0.185$; b — сигнал при $q_0=0.25$; c — спектр мощности Фурье при $q_0=0.185$; d — спектр мощности Фурье при $q_0=0.25$
[Figure 2. Dynamic characteristics of a cylindrical shell: a — signal at $q_0=0.185$; b — signal at $q_0=0.25$; c — Fourier power spectrum at $q_0=0.185$; d — Fourier power spectrum at $q_0=0.25$]
О таком характере колебаний свидетельствуют и показатели Ляпунова $\lambda_1$–$\lambda_4$. В основном они имеют отрицательные значения. Некоторые показатели Ляпунова имеют значения, большие нуля, но только в третьем знаке после запятой, т.е. они имеют значения, близкие к нулю, что соответствует устойчивому предельному циклу (см. таблицу). Анализ показателей Ляпунова является важной характеристикой, так как согласно критерию хаоса, данного Гуликом [30], хаос существует тогда, когда либо имеется существенная зависимость от начальных условий, либо функция имеет положительный показатель Ляпунова в каждой точке области ее определения и поэтому не является в конечном итоге периодической. Так как не существует точного метода вычисления показателей Ляпунова, для исключения численной погрешности следует применять сразу несколько методов [25, 26]: Розенштейна [31], Вольфа [32], Канца [33] и Сано– Савады [34]. В таблице приведены значения старшего показателя Ляпунова, вычисленные разными методами. Для анализа важен знак показателя Ляпунова, а не его абсолютная величина. В таблице все значения одного знака, т.е. результаты хорошо согласуются между собой.
| $q_0$ | Wolf Method | Rosenstein Method | Kantz Method | Sano–Sawada Method |
| 0.185 | 1.19 | 6.305 | 7.139 | 39.998 |
| 0.25 | 1.11 | 3.17 | 133.6 | 414.72 |
При увеличении амплитуды внешней нагрузки до $q_0=0.25$ характер колебаний меняется (см. рис. 2). Первые два показателя Ляпунова в спектре имеют положительные значения, что соответствует гиперхаотическому состоянию. Ранее явление гиперхаоса было обнаружено для классических задач [4]. При этом на характер колебаний существенное влияние оказывает и величина масштабного параметра $\gamma$ (см. рис. 2). В случае макрооболочки ($\gamma=0$) и нанооболочки при $\gamma=0.5$ наступает серия бифуркаций Хопфа. В случае, когда $\gamma=0.7$, наблюдается только две бифуркации Хопфа. Об этом свидетельствуют спектры мощности Фурье (см. рис. 2) и вейвлет-спектры. В качестве материнских были рассмотрены вейвлеты Морле, Гаусса, Мейера и Мексиканская шляпа. Вейвлет Морле оказался наиболее информативным для рассматриваемых систем.
С ростом величины масштабного параметра $\gamma$ изгибание поверхности оболочки менее выражено и прогибы уменьшаются. Таким образом, замкнутая цилиндрическая оболочка становится более устойчивой. Рассмотрим пористость Х-PFGM типа, задаваемую формулами (28). В формулах (28) приняты следующие значения параметров: $K=0.4$, $k=1$, $E_c=210$ ГПа, $E_m=70$ ГПа, $\nu _c=0.24$, $\nu _m=0.35$, $\rho_c=6060$ кг/м$^3$, $\rho _m=2700$ кг/м$^3$ [35].
В случае макрооболочки ($\gamma =0$) при действии внешней нагрузки малой интенсивности $q_0=0.14$ характер колебаний замкнутой цилиндрической оболочки гармонический. По мере увеличения амплитуды внешней нагрузки ($q_0=0.15$) наблюдаются двухчастотные колебания на частотах $\omega _p$ и $\omega _p /2$, т.е. наступает бифуркация Хопфа, в то время как без учета пористости система находилась в гармоническом состоянии. При этом все четыре показателя Ляпунова в спектре $\lambda_1$–$\lambda_4$ отрицательные. При увеличении интенсивности нагрузки ($q_0=0.25$) характер колебаний меняется, наблюдается явление гиперхаоса, два первых показателя Ляпунова в спектре $\lambda_1$–$\lambda_4$ имеют положительные значения: $\lambda_1 = 0.077104$; $\lambda_2 = 0.02422$; $\lambda_3 = -0.051742$; $\lambda_4 = -0.18263$. При этом происходит серия бифуркаций Хопфа.
В случае нанооболочки при величине масштабного параметра ($\gamma =0.7$), прежних значениях остальных параметров и с учетом пористости Х-PFGM типа, для амплитуды нагрузки $q_0 = 0.15$ и $q_0 = 0.25$ система совершает двухчастотные колебания, в отличие от макрооболочки ($\gamma =0$). Далее по мере увеличения интенсивности внешней нагрузки происходит смена характера колебаний и наблюдается явление гиперхаоса.
Заключение
В настоящей работе впервые построены общая теория и новые математические модели динамики физически и геометрически нелинейных функционально-градиентных пористых нано/микро/макромасштабных замкнутых цилиндрических оболочек. На основе теории обобщенных решений дифференциальных уравнений с применением методов гильбертовых пространств и вариационных методов проведено доказательство теоремы существования решения поставленных задач. Изучены сценарии перехода от гармонических колебаний к хаотическим для цилиндрических оболочек с шарнирно закрепленными краями под действием поперечной распределенной полосовой знакопеременной нагрузки в зависимости от величины мелкомасштабного параметра $\gamma $ и учета пористости материала. Выявлены серия бифуркаций Хопфа и гиперхаос.
Конкурирующие интересы. Конкурирующих интересов не имеется.
Авторский вклад и ответственность. Т. В. Яковлева — построение математических моделей на базе кинематических гипотез для нано/микро/макромасштабных систем; обоснование корректности постановки задач; создание программного комплекса; проведение серии численных экспериментов; работа с черновиком и переработанным вариантом рукописи. В. А. Крысько — выбор гипотез и допущений; обсуждение получаемых результатов и выводов исследования; работа с черновиком и переработанным вариантом рукописи. Авторы несут полную ответственность за предоставление окончательной рукописи в печать. Окончательная версия рукописи была одобрена всеми авторами.
Финансирование. Исследования проведены при финансовой поддержке гранта Российского научного фонда (проект № 22–71–10083, https://rscf.ru/project/22-71-10083/).
About the authors
Tatiana V. Yakovleva
Yuri Gagarin State Technical University of Saratov
Author for correspondence.
Email: yan-tan1987@mail.ru
ORCID iD: 0000-0003-3238-2317
SPIN-code: 9900-0883
Scopus Author ID: 56435768900
ResearcherId: T-9860-2017
https://www.mathnet.ru/person53186
Cand. Phys. & Math. Sci.; Associate Professor; Dept. of Mathematics and Modeling
Russian Federation, 410054, Saratov, Polytechnicheskay st., 77Vadim A. Krysko
Yuri Gagarin State Technical University of Saratov
Email: tak@san.ru
ORCID iD: 0000-0002-4914-764X
https://www.mathnet.ru/person33628
Dr. Tech. Sci., Professor; Head of Department; Dept. of Mathematics and Modeling
Russian Federation, 410054, Saratov, Polytechnicheskay st., 77References
- Krysko V. A., Awrejcewicz J., Zhigalov M. V., et al. On the mathematical models of the Timoshenko-type multi-layer flexible orthotropic shells, Nonlinear Dyn., 2018, vol. 92, no. 4, pp. 2093–2118. EDN: XXZWWL. DOI: https://doi.org/10.1007/s11071-018-4183-4.
- Awrejcewicz J., Krysko V. A., Zhigalov M. V., Krysko A. V. Contact interaction of two rectangular plates made from different materials with an account of physical nonlinearity, Nonlinear Dyn., 2018, vol. 91, no. 3, pp. 1191–1211. EDN: GBOHTC. DOI: https://doi.org/10.1007/s11071-017-3939-6.
- Awrejcewicz J., Krysko V. A., Pavlov S. P., et al. Thermoelastic vibrations of a Timoshenko microbeam based on the modified couple stress theory, Nonlinear Dyn., 2020, vol. 99, no. 2, pp. 919–943. EDN: AGXVNQ. DOI: https://doi.org/10.1007/s11071-019-04976-w.
- Awrejcewicz J., Krysko A., Erofeev N., et al. Quantifying chaos by various computational methods. Part 1: Simple systems, Entropy, 2018, vol. 20, no. 3, 175. EDN: XXGLGX. DOI: https://doi.org/10.3390/e20030175.
- Amabili M., Balasubramanian P., Ferrari G. Travelling wave and non-stationary response in nonlinear vibrations of water-filled circular cylindrical shells: Experiments and simulations, J. Sound Vib., 2016, vol. 381, pp. 220–245. DOI: https://doi.org/10.1016/j.jsv.2016.06.026.
- Amabili M. Nonlinear Mechanics of Shells and Plates: Composite, Soft and Biological Materials. New York, Cambridge Univ. Press, 2018, xvi+568 pp. DOI: https://doi.org/10.1017/9781316422892.
- Birger I. A. Some general methods of solution for problems in the theory of plasticity, Prikl. Mat. Mekh., 1951, vol. 15, no. 6, pp. 765–770 (In Russian).
- Vorovich I. I, Krasovskii Yu. P. On a method of elastic solutions, Dokl. Akad. Nauk SSSR, 1959, vol. 126, no. 4, pp. 740–743 (In Russian).
- Volmir A. S. Nelineinaia dinamika plastin i obolochek [The Nonlinear Dynamics of Plates and Shells]. Moscow, Nauka, 1972, 432 pp. (In Russian)
- Hamilton W. R. On a general method in dynamics, Philos. Trans. R. Soc. Lond., 1834. part II, pp. 247–308.
- Washizu K. Variational Methods in Elasiticity and Plasticity, International Series of Monographs in Aeronautics and Astronautics, vol. 9. Oxford, Pergamon Press, 1968, x+349 pp.
- Fichera G. Boundary value problems of elasticity with unilateral constraints, In: C. Truesdell (eds) Linear Theories of Elasticity and Thermoelasticity. Berlin, Heidelberg, Springer, 1973, pp. 391–424. DOI: https://doi.org/10.1007/978-3-662-39776-3_4.
- Kupradze V. D., Gegelia T. G., Basheleishvili M. O., Burchuladze T. V. Three-dimensional Problems of the Mathematical Theory of Elasticity and Thermoelasticity, North-Holland Series in applied Mathematics and Mechanics, vol. 25. Amsterdam, New York, Oxford, North-Holland Publ., 1979, xix+929 pp.
- Lions J.-L. Quelques méthodes de résolution des problèmes aux limites non linéaires. Paris, Dunod, Gauthier-Villars, 1969 (In French).
- Vorovich I. I., Aleksandrov V. M., Babenko V. A. Neklassicheskie smeshannye zadachi teorii uprugosti [Nonclassical Mixed Problems of Elasticity]. Moscow, Nauka, 1974, 455 pp. (In Russian)
- Morozov N. F. Izbrannye dvumernye zadachi teorii uprugosti [Selected Two-Dimensional Problems of the Elasticity Theory]. Leningrad, Leningrad State Univ., 1978, 182 pp. (In Russian)
- Kornishin M. S., Isanbaeva F. S. Gibkie plastiny i paneli [Flexible Plates and Panels]. Moscow, Nauka, 1968, 258 pp. (In Russian)
- Piechocki W. On the existence of solutions for heated non-linear orthotropic inhomogeneous shallow shells, Bull. Acad. Pol. Sci., Sér. Sci. Tech., 1969, vol. 17, pp. 597–601.
- Sobolev S. L. Applications of functional analysis in mathematical physics, Translations of Mathematical Monographs, vol. 7. Providence, R.I., American Mathematical Society, 1963, vii+239 pp.
- Vishik M. I. Quasi-linear strongly elliptic systems of differential equations in divergence form, Trans. Mosc. Math. Soc., 1963, vol. 12, pp. 140–208.
- Dubinskii Yu. A. Quasilinear elliptic and parabolic equations of arbitrary order, Russian Math. Surveys, 1968, vol. 23, no. 1, pp. 45–91. DOI: https://doi.org/10.1070/RM1968v023n01ABEH001233.
- Lions J.-L, Magenes E. Non-homogeneous boundary value problems and applications, vol. I. New York, Springer Verlag, 1972, xvi+357 pp.
- Cabrera-Covarrubias F. G., Gómez-Soberón J. M., Almaral-Sánchez J. L., et al. An experimental study of mortars with recycled ceramic aggregates: Deduction and prediction of the stress-strain, Materials, 2016, vol. 9, no. 12, 1029. DOI: https://doi.org/10.3390/ma9121029.
- Yang F., Chong A. C. M., Lam D. C. C., Tong P. Couple stress based strain gradient theory for elasticity, Int. J. Solids Struct., 2002, vol. 39, no. 10, pp. 2731–2743. DOI: https://doi.org/10.1016/S0020-7683(02)00152-X.
- Yakovleva T. V., Awrejcewicz J., Kruzhilin V. S., Krysko V. A. On the chaotic and hyperchaotic dynamics of nanobeams with low shear stiffness, Chaos, 2021, vol. 31, no. 2, 023107. DOI: https://doi.org/10.1063/5.0032069.
- Yakovleva T. V., Awrejcewicz J., Krysko A. V., et al. Quantifying chaotic dynamics of nanobeams with clearance, Int. J. Non-Linear Mech., 2022, vol. 144, 104094. DOI: https://doi.org/10.1016/j.ijnonlinmec.2022.104094.
- Farokhi H., Ghayesh M. H. Nonlinear resonant response of imperfect extensible Timoshenko microbeams, Int. J. Mech. Mater. Des., 2017, vol. 13, no. 1, pp. 43–55. DOI: https://doi.org/10.1007/s10999-015-9316-z.
- Ke L. L., Wang Y. S., Yang J., Kitipornchai S. Free vibration of size-dependent Mindlin microplates based on the modified couple stress theory, J. Sound Vib., 2012, vol. 331, no. 1, pp. 94–106. DOI: https://doi.org/10.1016/j.jsv.2011.08.020.
- Ma H. M., Gao X.-L., Reddy J. N. A non-classical Mindlin plate model based on a modified couple stress theory, Acta Mech., 2011, vol. 220, no. 1–4, pp. 217–235. DOI: https://doi.org/10.1007/s00707-011-0480-4.
- Gulick D. Encounters with Chaos. New York, McGraw-Hill Education, 1992.
- Rosenstein M. T., Collins J. J., De Luca C. J. A practical method for calculating largest Lyapunov exponents from small data sets, Phys. D: Nonl. Phen., 1993, vol. 65, no. 1–2, pp. 117–134. DOI: https://doi.org/10.1016/0167-2789(93)90009-P.
- Wolf A., Swift J. B., Swinney H. L., Vastano J A. Determining Lyapunov exponents from a time series, Phys. D: Nonl. Phen., 1985, vol. 16, no. 3, pp. 285–317. DOI: https://doi.org/10.1016/0167-2789(85)90011-9.
- Kantz H. A robust method to estimate the maximal Lyapunov exponent of a time series, Phys. Lett. A, 1994, vol. 185, no. 1, pp. 77–87. DOI: https://doi.org/10.1016/0375-9601(94)90991-1.
- Sano M., Sawada Y. Measurement of the Lyapunov spectrum from a chaotic time series, Phys. Rev. Lett., 1985, vol. 55, no. 10, 1082. DOI: https://doi.org/10.1103/PhysRevLett.55.1082.
- Hou F., Wu S., Moradi Z., Shafiei N. The computational modeling for the static analysis of axially functionally graded micro-cylindrical imperfect beam applying the computer simulation, Engineering with Computers, 2022, vol. 38 (Suppl. 4), pp. 3217–3235. DOI: https://doi.org/10.1007/s00366-021-01456-x.
Supplementary files





