Approximate analytical solutions of the nonlinear fractional order financial model by two efficient methods with a comparison study
- Authors: Liaqat M.I.1,2, Khan A.2, Irshad A.2, Akgul A.3,4,5, Prosviryakov E.Y.6,7
-
Affiliations:
- Government College University
- National College of Business Administration & Economics
- Lebanese American University
- Siirt University
- Near East University
- Ural Federal University
- Institute of Engineering Science, RAS (Ural Branch)
- Issue: Vol 28, No 2 (2024)
- Pages: 223-246
- Section: Differential Equations and Mathematical Physics
- URL: https://journals.eco-vector.com/1991-8615/article/view/568216
- DOI: https://doi.org/10.14498/vsgtu2055
- EDN: https://elibrary.ru/BOLMJW
- ID: 568216
Cite item
Full Text
Abstract
The financial system has become prominent and important in global economics, because the key to stabilizing the economy is to secure or control the financial system or market.
The goal of this study is to determine whether or not the approximate analytical series solutions obtained by the residual power series method and Elzaki transform decomposition method of the fractional nonlinear financial model satisfy economic theory. The fractional derivative is used in the sense of the Caputo derivative.
The results are depicted numerically and in figures that show the behavior of the approximate solutions of the interest rate, investment demand, and price index. Both methods yielded results in accordance with economic theory, which established that researchers could apply these two methods to solve various types of fractional nonlinear problems that arise in financial systems.
Full Text
1. Introduction
Fractional calculus deals with fractional or even complex-order derivatives and integrations. Fractional calculus was founded by two mathematicians, Leibniz and L'Hospital, and its official birthday is September 30, 1695. Due to its broad use in disciplines like image processing, biology, engineering, entropy theory, physics, biochemistry, fluid mechanics, and economic systems, fractional calculus has attracted the attention of several scientists and researchers in recent years [1–4]. Despite the numerous approaches to defining fractional derivatives, not all of them are routinely applied. Atangana–Baleanu, Riemann–Liouville, Caputo–Fabrizio, and Caputo are the most commonly used operators [5–8]. The Caputo derivative is the most appropriate fractional operator to be used in modeling real-world problems. The Caputo derivative is useful for modeling phenomena that take account of interactions within the past and also problems with non-local properties. One of the main advantages of the Caputo operator over the Riemann–Liouville fractional operator is that the Caputo definition of fractional derivatives is bounded, which means that the derivative of a constant is equal to zero. The definition also offers initial conditions with a clear physical interpretation [9–11].
With the help of mathematical models, a wide range of phenomena and processes can be described. There are occurrences across economic disciplines that, when modeled mathematically, are found to be differential equations. Fractional differential equations can model and analyze complex structures with complex non-linear processes and higher-order behaviors, making them sometimes a better choice for modeling than integer-order differential equations. There are primarily two reasons for this. First, we can choose any order for the fractional derivative rather than being restricted to an integer order, and secondly, when the mechanism has long-term memory, fractional differential equations are advantageous based on both past and present circumstances.
Several studies of the financial system have been conducted using ordinary and fractional-order derivatives. Baskonus et al. [12] considered a fractional-order macroeconomic system with variable household, and foreign capital inflows. For numerical simulations, the modified Adams–Bashforth algorithm is used. E. Bonyah et al. [13] considered the IS-LM macroeconomic system with Caputo and Atangana–Baleanu fractional-order derivatives. For the numerical solution, a modified Asams–Bashforth method has been used. S. David et al. [14] proposed a model involving a fractional order system containing the public sector deficit, interest rate, private investment, and price index. In this study, the Adams scheme has been used for the numerical solution. K. Owolabi et al. [15] discussed a financial system and found approximate solutions using the Chebyshev spectral method. B. Xin and Y. Li [16] investigated a fractional-order financial system and studied the numerical solution with the Adams–Bashforth–Moulton predictor-corrector scheme under the Caputo fractional derivative.
The fractional differential equations provide solutions that are important and practical. As a result, the solutions of the fractional differential equations have received a lot of attention. Since the majority of nonlinear fractional differential equations lack exact solutions, approximate analytical techniques have been developed to locate approximate solutions. In the last few years, several methods have been developed to establish approximate solutions to fractional differential equations [17–23]. The residual power series method is a very powerful method in terms of constructing power series solutions to partial and ordinary fractional differential equations. The Elzaki transform decomposition method is a combination of the Adomian decomposition method and the Elzaki transform. The Elzaki transform decomposition methodalso provides the solution in a series form that converges to the exact solution. Many fractional differential equations have been successfully solved by residual power series method and Elzaki transform decomposition method [24–27].
We consider the following nonlinear financial model [28]:
\[ \begin{align}
D^{\alpha}_{t}L(t)=&\ N(t) + L(t) M(t) -a L(t),\nonumber\\
D^{\alpha}_{t}M(t)=&\ 1-b M(t) - L(t) L(t),\\
D^{\alpha}_{t}N(t)=& \ d-L(t)-cN(t),\nonumber
\end{align} \tag{1} \]
with the following initial conditions:
\[ \begin{equation}
L(0)=L_{0},\quad
M(0)=M_{0},\quad
N(0)=N_{0},
\end{equation} \tag{2} \]
where time-dependent variables $L(t)$, $M(t)$, and $N(t)$ represent interest rate, investment demand, and price index, respectively. Furthermore, the saving coefficient is represented by $a$, $b$ stands for the cost per investment, $c$ indicates the elasticity of market demand or the elasticity of demand with respect to the rate of change in demand, and $d$ represents the critical minimum interest rate.
The two different systematic methods, residual power series method and Elzaki transform decomposition method, in the sense of Caputo fractional derivative, are applied to the above system to discuss and analyze the different behaviors of the said parameters. The obtained simulated results show the behavior of the interest rate, investment demand, price index, and inflation rate. The results obtained by both methods are consistent with economic theory. It is demonstrated that the proposed methods are reliable, efficient, and simple to apply to all types of fractional nonlinear problems encountered in science, technology, and economic systems.
The rest of the paper is organized in such a manner. In Sect. 2, we provided some fundamental definitions and properties. We used residual power series method to approximate the solution of the fractional-order nonlinear financial model in Sect. 3. Furthermore, the graphical and numerical results are studied in the same section. In Sect. 4, the same model is solved by Elzaki transform decomposition method, with graphical and numerical simulations of the results discussed. The approximate solutions obtained by both methods are compared in the same section. The last section presented the conclusion of the whole work.
2. Preliminaries
In this section, we go over some basic concepts, definitions, and theorems of Caputo fractional derivative and Elzaki transform that will be useful in this paper.
Definition 1. The Caputo fractional derivative of order $\alpha>0$ is given by [29]:
\[ \begin{equation*}
D^{\alpha}_{t}\vartheta(t)=
\begin{cases}
\displaystyle
\dfrac{1}{\Gamma(n-\alpha)}\int_{w}^{t}(t-w)^{n-\alpha-1}\dfrac{d^{n}}{dw^{n}}\vartheta(w)dw, & n-1<\alpha<n,\\
\dfrac{d^{n}}{dt^{n}}\vartheta(t), &\alpha=n\in\mathbb{N}.
\end{cases}
\end{equation*} \]
The following properties of Caputo fractional derivative are also considered:
- $D^{\alpha}_{t}C=0$, $C\in\mathbb{R}$;
- $D^{\alpha}_{t}t^{q}=\dfrac{\Gamma(q+1)}{\Gamma(q+1-\alpha)}t^{q-\alpha}$, $n-1<\alpha\leqslant n$, $q>n-1$, $n\in\mathbb{N}$, $q\in\mathbb{R}$;
- $D^{\alpha}_{t}(C_{1}\vartheta_{1}(t)+C_{2}\vartheta_{2}(t))=C_{1}D_{t}^{\alpha}\vartheta_{1}(t)+C_{2}D^{\alpha}_{t}\vartheta_{2}(t)$.
Definition 2. A power series representation of the form [30]:
\[ \begin{equation*}
\sum\limits_{n=0}^{\infty}C_{n}(t-t_{0})^{n\alpha}=C_{0}+C_{1}(t-t_{0})^{\alpha}+C_{2}(t-t_{0})^{2\alpha}+ \cdots,
\end{equation*} \]
is called a fractional power series about $t_{0}$, where $t$ is a variable and $C_{n}$ are the coefficients of the series.
Theorem 1. If $\vartheta(t)$ has an fractional power series representation, then the coefficients $C_{n}$ will have the following form [31]:
\[ \begin{equation*}
C_{n}= \frac{D^{n\alpha}\vartheta(t)\mid _{t=t_0}}{\Gamma(n\alpha+1)}.
\end{equation*} \]
Definition 3 [32]. The Elzaki transform over the set of functions
\[ \begin{equation*}
H=\bigl\{\vartheta(t):\exists M, h_{1}, h_{2}>0, |\vartheta(t)|<Me^{{|t|}/{h_{j}}},
\quad t\in(-1)^{j},\quad X\in[0, \infty )\bigr\}
\end{equation*} \]
is define as
\[ \begin{equation*}
T(s)=E[\vartheta(t)] =s\int_{s}^{\infty}e^{-{t}/{s}}\vartheta(t)dt,\quad t\geq0,\quad h_{1}\leqslant s \leqslant h_{2}.
\end{equation*} \]
Theorem 2. The Elzaki transform in the context of Caputo fractional derivative is defined as follows [33]:
\[ \begin{equation*}
E[D_{t}^{\alpha}\vartheta(t)]=\frac{T(s)}{s^{\alpha}}-\sum\limits_{i=0}^{n-1}s^{2-\alpha+i}\vartheta^{i}(0),
\quad n-1<\alpha\leqslant n.
\end{equation*} \]
The primary advantages of Elzaki transform are listed below [34, 35].
- The initial value problems can be easily solved with Elzaki transform with minimal computational effort.
- The Elzaki transform can be used to solve problems without resorting to the frequency domain because it possesses unit-preserving features.
- It can be used to solve a large number of nonlinear differential equations with variable coefficients, specifically the time-fractional wavelike equations.
- It may be used to solve a wide range of challenging issues in engineering, physics, fluid mechanics, chemistry, and dynamics, including issues with Maxwell's equations and fluid flow.
The Elzaki transform of several functions can be seen in the Table 1 [36].
| $\vartheta(t)$ | $E[\vartheta(t)]=T(s)$ |
| 1 | $s^{2}$ |
| $t$ | $s^{3}$ |
| $t^{q}$ | $q!s^{q+2}$ |
| $\frac{t^{q-1}}{\Gamma(q)}, q>0$ | $s^{q+1}$ |
3. Residual power series method for the solution of the nonlinear financial model
This section provides the algorithms for the suggested method to solve the nonlinear financial model. First of all, consider the series solutions of Eq. (1), which have the following form:
\[ \begin{align}
L(t)=&\ L_0+\sum\limits_{n=1}^{\infty}L_{n}\frac{t^{n\alpha}}{\Gamma(n\alpha+1)}, \nonumber \\
M(t)=&\ M_0+\sum\limits_{n=1}^{\infty}M_{n}\frac{t^{n\alpha}}{\Gamma(n\alpha+1)}, \\
N(t)=&\ N_0+\sum\limits_{n=1}^{\infty}N_{n}\frac{t^{n\alpha}}{\Gamma(n\alpha+1)}. \nonumber
\end{align} \tag{3} \]
Using the initial conditions, which are given in Eq. (2), we have the first coefficients of the series solutions:
\[ \begin{equation*}
L_{0}=L(0),\quad
M_{0}=M(0),\quad
N_{0}=N(0).
\end{equation*} \]
As a result, Eq. (3) can be rewritten as follows
\[ \begin{align*}
L(t)=& \ L(0)+\sum\limits_{n=1}^{\infty}L_n\frac{t^{n\alpha}}{\Gamma(n\alpha+1)}, \\
M(t)=& \ M(0)\sum\limits_{n=1}^{\infty}M_n\frac{t^{n\alpha}}{\Gamma(n\alpha+1)}, \\
N(t)=& \ N(0)+\sum\limits_{n=1}^{\infty}N_n\frac{t^{n\alpha}}{\Gamma(n\alpha+1)}.
\end{align*} \]
The $k$th truncated series for $L(t)$, $M(t)$, and $N(t)$ are introduced as follows:
\[ \begin{align*}
L_{k}(t)=&\ L(0)+\sum\limits_{n=1}^{k}L_n\frac{t^{n\alpha}}{\Gamma(n\alpha+1)}, \\
M_{k}(t)=&\ M(0)\sum\limits_{n=1}^{k}M_n\frac{t^{n\alpha}}{\Gamma(n\alpha+1)}, \\
N_{k}(t)=&\ N(0)+\sum\limits_{n=1}^{k}N_n\frac{t^{n\alpha}}{\Gamma(n\alpha+1)}.
\end{align*} \]
The following are the residual functions for $L(t)$, $M(t)$, and $N(t)$:
\[ \begin{align*}
\operatorname{\mathrm{Res}} L(t)=& \ D^{\alpha}_{t}L(t)-N(t)-L(t)M(t)+aL(t), \\
\operatorname{\mathrm{Res}} M(t)=& \ D^{\alpha}_{t}M(t)-1+bM(t)+L(t)L(t), \\
\operatorname{\mathrm{Res}} N(t)=& \ D^{\alpha}_{t}N(t)-d+L(t)+cN(t).
\end{align*} \]
Now we define the $k$th residual function for $L(t)$, $M(t)$, and $N(t)$ in the following form:
\[ \begin{align*}
\operatorname{\mathrm{Res}}_{k}L(t)=& \ D^{\alpha}_{t} L_{k}(t)-N_k(t)-L_{k}(t)M_{k}(t) +a L_{k}(t), \\
\operatorname{\mathrm{Res}}_{k}M(t)=& \ D^{\alpha}_{t} M_{k}(t)-1+bM_{k}(t)+L_k(t)L_{k}(t), \\
\operatorname{\mathrm{Res}}_{k}N(t)=& \ D^{\alpha}_{t} N_{k}(t)-d+L_{k}(t)+cN_{k}(t).
\end{align*} \]
By using the basic features of the residual power series method, we have the following results [29–31]:
\begin{align*}
\lim_{k\to\infty} \operatorname{\mathrm{Res}}_{k}L(t)=& \ \operatorname{\mathrm{Res}}L(t), \\
\lim_{k\to\infty} \operatorname{\mathrm{Res}}_{k}M(t)=& \ \operatorname{\mathrm{Res}}M(t), \\
\lim_{k\to\infty} \operatorname{\mathrm{Res}}_{k}N(t)=& \ \operatorname{\mathrm{Res}}N(t).
\end{align*}
and
\[ \begin{equation}
D_{t}^{(k-1)\alpha}\operatorname{\mathrm{Res}}_{k}L(t)= 0,\quad
D_{t}^{(k-1)\alpha}\operatorname{\mathrm{Res}}_{k}M(t)= 0,\quad
D_{t}^{(k-1)\alpha}\operatorname{\mathrm{Res}}_{k}N(t)=0.
\end{equation} \tag{4} \]
The $k$th truncated series of $L(t)$, $M(t)$, and $N(t)$ are substituted into Eq. (4), and the resulting algebraic systems are solved to get the coefficients of the series solutions, which are defined in Eq. (3).
By using the procedure for $k = 1$, we get the following results:
\[ \begin{align*}
L_{1}=& \ L(0)+L(0)M(0)-aL(0), \\
M_{1} =& \ 1-bM(0)-L(0)L(0), \\
N_{1} =& \ d-L(0)-cN(0).
\end{align*} \]
When $k=2$, the values of the coefficients $L_{2}$, $M_{2}$, and $N_{2}$ are obtained as follows:
\[ \begin{align*}
L_{2}=& \ N_{1}+M(0)L_{1}+M_{1}L(0)-aL_{1}, \\
M_{2}=& \ -bM_{1}-L(0)L_{1}-L_{1}L(0), \\
N_{2}=& \ -L_{1} -cN_{1}.
\end{align*} \]
Likewise, for $k=3$, we have
\[ \begin{align*}
L_{3} =& \ N_{2}+\Bigl(L(0)M_{2}+L_{1}M_{1}\frac{\Gamma(2\alpha +1)}{(\Gamma(2\alpha +1))^2}+ L_{2}M(0)\Bigr)-aL_{2}, \\
M_{3} =& \ -b M_{2}-\Bigl(L(0)L_{2}+\frac{\Gamma(2\alpha +1)}{(\Gamma(2\alpha +1))^2} L_{1}L_{1}+L(0)L_{2}\Bigr), \\
N_{3} =& \ -L_{2}-cN_{2},
\end{align*} \]
By using the same steps, the values of the coefficients of $L_{4}$, $M_{4}$, and $N_{4}$ for $k=4$ are as follows:
\[ \begin{align*}
L_{4}=& \ N_{3}+\Bigl(L(0)M_{3}+L_{1}M_{2}\frac{\Gamma(3\alpha+1)}{\Gamma(\alpha+1)\Gamma(2\alpha+1)}
+ L_{2}M_{1} \frac{\Gamma(3\alpha+1)}{\Gamma(\alpha+1)\Gamma(2\alpha+1)}+L_{3}M(0)\Bigr)-aL_{3}, \\
M_{4}=&\ -bM_{3}-\Bigl(L(0)L_{3}+L_{1}L_{2}\frac{\Gamma(3\alpha+1)}{\Gamma(\alpha+1)\Gamma(2\alpha+1)}
+ L_{2}L_{1} \frac{\Gamma(3\alpha+1)}{\Gamma(\alpha+1)\Gamma(2\alpha+1)}+L_{3}L(0)\Bigr), \\
N_{4}=&\ -L_{3}-cN_{3}.
\end{align*} \]
The 4-step approximate solution of $L(t)$ established by using the residual power series method is given below:
\[ \begin{multline}
L^{(4)}(t)= L (0)+\bigl(L(0)+L(0)M(0)-aL(0)\bigr)
\frac{t^{\alpha}}{\Gamma(\alpha+1)}+ {}
\\
{} + \bigl(N_{1}+M(0)L_{1}+M_{1}L(0)-aL_{1}\bigr)
\frac{t^{2\alpha}}{\Gamma(2\alpha+1)} +{}
\\
{}+
\Bigl(N_{2}+L(0)M_{2}+L_{1}M_{1}\frac{\Gamma(2\alpha +1)}{(\Gamma(2\alpha +1))^2}+ L_{2}M(0)-aL_{2}\Bigr)\frac{t^{3\alpha}}{\Gamma(3\alpha+1)}+ {}
\\
{} +
\Bigl (N_{3}+ L(0)M_{3}+ L_{1}M_{2}\frac{\Gamma(3\alpha+1)}{\Gamma(\alpha+1)\Gamma(2\alpha+1)} + {}
\\
{} +L_{2}M_{1} \frac{\Gamma(3\alpha+1)}{\Gamma(\alpha+1)\Gamma(2\alpha+1)}+L_{3}M(0)-aL_{3}\Bigr)
\frac{t^{4\alpha}}{\Gamma(4\alpha+1)}.
\end{multline} \tag{5} \]
The 4-step approximate solution of $M(t)$ obtained by using the residual power series method is shown below:
\[ \begin{multline}
M^{(4)}(t)= M(0)+\bigl(1-bM(0)-L(0)L(0)\bigr)\frac{t^{\alpha}}{\Gamma(\alpha+1)}+ {}
\\
{}+\bigl(-bM_{1}-L(0)L_{1}-L_{1}L(0)\bigr)\frac{t^{2\alpha}}{\Gamma(2\alpha+1)} + {}
\\
{} +
\Bigl(-b M_{2}-\Bigl(L(0)L_{2}+\frac{\Gamma(2\alpha +1)}{(\Gamma(2\alpha +1))^2} L_{1}L_{1}+L(0)L_{2}\Bigr)\Bigr)
\frac{t^{3\alpha}}{\Gamma(3\alpha+1)}+ {}
\\
{} +
\Bigl(-bM_{3}-\Bigl( L(0)L_{3} +L_{1}L_{2}\frac{\Gamma(3\alpha+1)}{\Gamma(\alpha+1)\Gamma(2\alpha+1)} + {}
\\
{} +L_{2}L_{1} \frac{\Gamma(3\alpha+1)}{\Gamma(\alpha+1)\Gamma(2\alpha+1)}+L_{3}L(0)\Bigr)\Bigr)\frac{t^{4\alpha}}{\Gamma(4\alpha+1)}.
\end{multline} \tag{6} \]
The residual power series method yielded the following 4-step approximate solution to $N(t)$:
\[ \begin{multline}
N^{(4)}(t)=N(0)+\bigl(d-L(0)-cN(0)\bigr)\frac{t^{\alpha}}{\Gamma(\alpha+1)}+ \bigl(-L_{1} -cN_{1}\bigr) \frac{t^{2\alpha}}{\Gamma(2\alpha+1)}+ {}
\\
{} +\bigl(-L_{2}-cN_{2}\bigr) \frac{t^{3\alpha}}{\Gamma(3\alpha+1)}+ \bigl(-L_{3}-cN_{3}\bigr)\frac{t^{4\alpha}}{\Gamma(4\alpha+1)}.
\end{multline} \tag{7} \]
Theorem 3. Let $\varpi$ be a Banach space, then the series solution of the system given in Eqs. (1) and (2) converges, if there exists $\hbar>0$ such that
\[ \begin{equation*}
\| L_{n}\|\leqslant \hbar \|L_{n-1}\|,\quad \forall n\in\mathbb{N}.
\end{equation*} \]
Proof. Consider the following series
\[ \begin{equation*}
U_{n}=L_{0}(t)+L_{1}(t)+L_{2}(t)+\cdots +L_{n}(t).
\end{equation*} \]
We must demonstrate that a series of $n$th partial sums $U_{n}$ are Cauchy sequences in the Banach space $\varpi$.
For this, we have to consider
\[ \begin{equation*}
\|U_{n+1}-U_n\| \leqslant \|L_{n+1}\| \leqslant \hbar \| L_n \| \leqslant \hbar^2 \| L_{n-1}\|
\cdots \leqslant \hbar^{n+1} \|L_0\|,\; n=0, 1, 2, 3, \ldots.
\end{equation*} \]
For each $n$, $m\in\mathbb{N}$ and $n\geqslant m$ by using triangle inequality, we get
\[ \begin{multline*}
\|U_n-U_m\|= \|U_{m+1}-U_m+U_{m+2}-U_{m+1}+ \cdots + U_n-U_{n-1}\| \leqslant {} \\
{}\leqslant \|U_{m+1}-U_m\|+\|U_{m}-U_{m-1}\|+\cdots +\|U_{n}-U_{n-1}\| \leqslant {} \\
{}\leqslant \hbar^{m+1} \|L_0\|+\hbar^{m+2}\|L_0\|+\cdots +\hbar^{n}\|L_0\| = {} \\
{} = \hbar^{m+1}(1+\hbar +\hbar^2 +\cdots +\hbar^{n-m-1}) \|L_0\| = {} \\
{} = \hbar^{m+1} \Bigl ( \frac{1-\hbar^{n-m}}{1-\hbar} \Bigr )\|L_0\|.
\end{multline*} \]
Since, we have $0<\hbar < 1$, and hence, $1-\hbar^{n-m} \leqslant 1$. Therefore, we can obtain the following result:
\[ \begin{equation*}
\|U_{n}-U_{m}\|\leqslant \frac{\hbar^{m+1}}{1-\hbar} \| L_{0}\|.
\end{equation*} \]
Because $L_{0}$ is bound, we get the following result:
\[ \begin{equation*}
\lim_{m,n\to\infty} \|U_{n}-U_{m}\| =0.
\end{equation*} \]
As a result, the sequence $U_{n}$ is a Cauchy series in the Banach space $\varpi$, implying that the series solutions defined in Eq. (3) are convergent. $\square$
In the following subsection, the approximate solutions derived by residual power series method to the model are analyzed and evaluated based on their graphical and numerical results.
3.1. Graphical and numerical results of approximate solutions attained by residual power series method
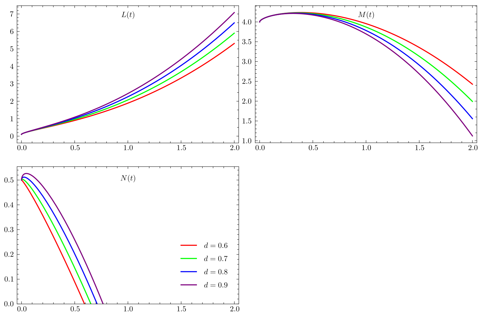
To illustrate the effectiveness and efficiency of the residual power series method in handling such fractional-order financial models, we provide graphical and numerical results for the solution of the model in Eqs. (1) and (2) in this section. By using the following values of the parameter variables: $a=3$, $b=0.1$, $c=1$, and $d=0.9$ and the initial conditions $L(0)=0.1$, $M(0)=4.0$, and $N(0)=0.5$ [28] in Eqs. (5), (6), and (7) we obtained the 4th step approximate solutions for the model at various fractional derivative values, such as $\alpha=0.5$, 0.6, 0.7, 0.8, 0.9, and 1.0. Fig. 1 depicts two-dimensional graphs of the approximate solutions obtained from four residual power series method iterations at $\alpha=0.5$, 0.6, 0.7, 0.8, 0.9, and 1.0 for $t$ in the interval $[0, 2.0]$. Fig. 2 shows two-dimensional graphs of the approximate solutions extracted from four residual power series method iterations at different $d=0.6$, 0.7, 0.8, and 0.9 values for $t$ in the interval $[0, 2.0]$. Tables 2–4 show how the 4th step approximate solutions of $L(t)$, $M(t)$, and $N(t)$ obtained by residual power series method behave at different $\alpha=0.5$, 0.6, 0.7, 0.8, 0.9, and 1.0 fractional derivative values for $t$ in the interval $[0, 2.0]$.
Figure 1. The graphic behavior of the 4th step approximate solutions obtained by residual power series method of $L(t)$, $M(t)$, and $N(t)$ at $\alpha=0.5$, 0.6, 0.7, 0.8, 0.9, and 1.0
The interest rate plays a vital role in the economy, and the value of an investment depends on it. Usually, a higher interest rate causes a reduction in investment because it increases the cost of borrowing. For this reason, the required investment must have a higher rate of return to be profitable. Borrowing money from a source becomes more expensive as interest rates rise. Inflation and investment rates are typically inversely related. In general, if the interest rate is lower, more people are able to borrow more money as compared to when interest rates are high. The result is that consumers have to spend more money, which causes the economy to grow and inflation to increase. In the opposite case, when interest rates increase, the inflation rate decreases. The approximate solutions produced by the residual power series method, as seen in the graphs and numerical data, are consistent with the financial system's actual macroeconomic behavior, and it is proved that the suggested method is suitable for solving the fractional-order financial models.
Figure 2. The graphic behavior of the 4th step approximate solutions obtained by residual power series method of $L(t)$, $M(t)$, and $N(t)$ for $d=0.6$, 0.7, 0.8, and 0.9
The following is the 4th step approximate solutions produced by residual power series method in terms of interest rate $L(t)$, investment demand $M(t)$, and price index $N(t)$ at $\alpha=0.5$, 0.6, 0.7, 0.8, 0.9, 1.0, obtained by using the parametric values in the in Eqs. (5), (6), and (7).
At $\alpha=0.5$, the 4th step approximate solutions are as follows:
\[ \begin{align*}
L^{(4)}(t)=&\ 0.1 + 0.677027t^{0.5} + 0.959000t^{1.0} +0.144302t^{1.5}+ 0.874657t^{2.0}, \\
M^{(4)}(t)=&\ 4 + 0.66574 t^{0.5} - 0.179 t^{1.0}- 0.475624t^{1.5}- 0.505441t^{2.0}, \\
N^{(4)}(t)=&\ 0.5+ 0.338513 t^{0.5} - 1.2 t^{1.0} +0.181293 t^{1.5} - 0.216413399 t^{2.0}.
\end{align*} \]
At $\alpha=0.6$, the 4th step approximate solutions are as follows:
\[ \begin{align*}
L^{(4)}(t)=&\ 0.1 + 0.671505 t^{0.6} + 0.870392 t^{1.2} +0.136979 t^{1.8} +0.660786 t^{2.4}, \\
M^{(4)}(t)=&\ 4 + 0.660313 t^{0.6} - 0.162461 t^{1.2} -0.400076 t^{1.8} - 0.400294t^{2.4}, \\
N^{(4)[}(t)=&\ 0.5 + 0.335752t^{0.6} - 1.089124 t^{1.2} +0.143753 t^{1.8} - 0.157870 t^{2.4}.
\end{align*} \]
At $\alpha=0.7$, the 4th step approximate solutions are as follows:
\[ \begin{align*}
L^{(4)}(t)=&\ 0.1 + 0.660328 t^{0.7} + 0.772036 t^{1.4} + 0.124544 t^{2.1} + 0.475926 t^{2.8},\\
M^{(4)}(t)=&\ 4 + 0.649323 t^{0.7} - 0.144103 t^{1.4} - 0.325592 t^{2.1} - 0.303201 t^{2.8}, \\
N^{(4)}(t)=&\ 0.5 + 0.330164 t^{0.7} - 0.966052 t^{1.4} + 0.109664 t^{2.1} - 0.109647 t^{2.8}.
\end{align*} \]
At $\alpha=0.8$, the 4th step approximate solutions are as follows:
\[ \begin{align*}
L^{(4)}(t)=&\ 0.1 + 0.644203 t^{0.8} + 0.530909 t^{1.6} + 0.0417623 t^{2.4} + 0.294969 t^{3.2},\nonumber\\
M^{(4)}(t)=&\ 4 + 0.633466 t^{0.8} - 0.125208 t^{1.6} - 0.243925 t^{2.4} - 0.146847 t^{3.2},\nonumber\\
N^{(4)}(t)=&\ 0.5 + 0.107367 t^{0.8} - 0.839381 t^{1.6} + 0.147927 t^{2.4} - 0.0729051 t^{3.2}.
\end{align*} \]
At $\alpha=0.9$, the 4th step approximate solutions is are follows:
\[ \begin{align*}
L^{(4)}(t)=&\ 0.1 + 0.623852 t^{0.9} + 0.452731 t^{1.8} + 0.0438066 t^{2.7} +
0.195725 t^{3.6},\nonumber\\
M^{(4)}(t)=&\ 4 + 0.613455 t^{0.9} - 0.106771 t^{1.8} - 0.18855 t^{2.7} - 0.106074 t^{3.6},\nonumber\\
N^{(4)}(t)=&\ 0.5 + 0.103975 t^{0.9} - 0.715781 t^{1.8} + 0.105739 t^{2.7} - 0.04661 t^{3.6}.
\end{align*} \]
At $\alpha=1.0$, the 4th step approximate solutions are as follows:
\[ \begin{align*}
L^{(4)}(t)=&\ 0.1 + 0.6 t + 0.4795 t^{2} + 0.07485 t^{3} + 0.140006 t^{4},\nonumber\\
M^{(4)}(t)=&\ 4 + 0.59t - 0.0895 t^{2} - 0.148983 t^{3} - 0.105625 t^{4},\nonumber\\
N^{(4)}(t)=&\ 0.5 + 0.300001 t - 0.6 t^{2} + 0.040167 t^{3} -0.0287555t^{4}.
\end{align*} \]
Following are the two-dimensional graphs of 4th step approximate solutions obtained by residual power series method for the $L^{(4)}(t)$, $M^{(4)}(t)$, and $N^{(4)}(t)$ at $\alpha=0.5$, 0.6, 0.7, 0.8, 0.9, and 1.0
In the following section, we solved the nonlinear financial model by using the Elzaki transform and Adomian decomposition method.
4. Elzaki transform decomposition method for the solution of the nonlinear financial model
The primary goal of this section is to provide series solutions for the nonlinear financial model using Elzaki transform decomposition method. The main algorithms of Elzaki transform decomposition method are as follows:
- to do so, first apply the Elzaki transform to both sides of the Eq. (1) to convert the given model into algebraic expressions, and then use the inverse Elzaki transform to convert the obtained algebraic expression into the model's real domain;
- in the next step, we provided the series solutions of the model by using the Adomian decomposition method on the algebraic expressions that were attained with the help of Elzaki transform and inverse Elzaki transform.
Following the first step yields the following:
\[ \begin{align}
E[D^{\alpha}_{t}L(t)]=&\ E\bigl[N(t) + L(t) M(t) -a L(t)\bigr],\nonumber\\
E[D^{\alpha}_{t}M(t)]=&\ E\bigl[1-b M(t) - L(t) L(t)\bigr],\\
E[D^{\alpha}_{t}N(t])=&\ E\bigl[d-L(t)-cN(t)\bigr], \nonumber
\end{align} \tag{8} \]
Eq. (8) can be represented as follows by using Theorem 2 and the initial conditions:
\[ \begin{align}
E[L(t)]=&\ 0.1+u^{\alpha}E\bigl[N(t)+L(t)M(t)-aL(t)\bigr],\nonumber \\
E[M(t)]=&\ 4.0+u^{\alpha}E\bigl[1- b M(t)-L(t)L(t)\bigr], \\
E[N(t)]=&\ 0.5+u^{\alpha}E\bigl[d-L(t)-cN(t)\bigr]. \nonumber
\end{align} \tag{9} \]
After performing the inverse Elzaki transform on the Eq. (9) and making some simple calculations, the final results are given below:
\[ \begin{align}
L(t)=&\ 0.1+E^{-1}\bigl[u^{\alpha}E\bigl[N(t)+L(t)L(t)-aL(t)\bigr]\bigr],\nonumber \\
M(t)=&\ 4.0+E^{-1}\bigl[u^{\alpha}E\bigl[1-b M(t)-L(t)L(t)\bigr]\bigr],\\
N(t)=&\ 0.5+E^{-1}\bigl[u^{\alpha}E\bigl[d-L(t)-cN(t)\bigr]\bigr]. \nonumber
\end{align} \tag{10} \]
Then, using the expansion form shown below, we can obtain solutions of $L(t)$, $M(t)$, and $N(t)$ according to Adomian decomposition method:
\[ \begin{equation}
L(t)=\sum_{n=0}^{\infty}L_{n}(t),\quad
M(t)=\sum_{n=0}^{\infty}M_{n}(t),\quad
N(t)=\sum_{n=0}^{\infty}N_{n}(t).
\end{equation} \tag{11} \]
By putting Eq. (11) into Eq. (10), we attained the following result:
\[ \begin{align}
\sum\limits_{n=0}^{\infty}L_{n}(t)=&\ 0.1+E^{-1}\biggl[u^{\alpha}E\biggl[\sum\limits_{n=0}^{\infty}N_n(t)+\sum\limits_{n=0}^{\infty}L_{n}(t) \sum\limits_{n=0}^{\infty}M_{n}(t)-a\sum\limits_{n=0}^{\infty}L_{n}(t)\biggr]\biggr],\nonumber \\
\sum\limits_{n=0}^{\infty}M_{n}(t)=&\ 4.0 +E^{-1}\biggl[u^{\alpha}E\biggl[1-b\sum\limits_{n=0}^{\infty}M_{n}(t)-\sum\limits_{n=0}^{\infty}L_{n}(t) \sum\limits_{n=0}^{\infty}L_{n}(t)\biggr]\biggr], \\
\sum\limits_{n=0}^{\infty}N_{n}(t)=&\ 0.5+E^{-1}\biggl[u^{\alpha}E\biggl [d-\sum\limits_{n=0}^{\infty}L_{n}(t)-c\sum\limits_{n=0}^{\infty}N_{n}(t)\biggr]\biggr]. \nonumber
\end{align} \tag{12} \]
The model's nonlinear terms are as follows:
\[ \begin{equation*}
\sum\limits_{n=0}^{\infty}M_{n}(t)\sum\limits_{n=0}^{\infty}L_{n}(t)\quad \text{and}
\quad \sum\limits_{n=0}^{\infty}L_{n}(t)\sum\limits_{n=0}^{\infty}L_{n}(t),
\end{equation*} \]
which can be represented by using Adomian decomposition method as follows:
\[ \begin{equation}
\begin{array}{l}
\displaystyle
\sum\limits_{n=0}^{\infty}X_{n}(t)=\sum\limits_{n=0}^{\infty}L_{n}(t)\sum\limits_{n=0}^{\infty}M_{n}(t),\\
\displaystyle
\sum\limits_{n=0}^{\infty}Y_{n}(t)=\sum\limits_{n=0}^{\infty}L_{n}(t)\sum\limits_{n=0}^{\infty}L_{n}(t),
\end{array}
\end{equation} \tag{13} \]
where $\sum\limits_{n=0}^{\infty}X_{n}(t)$ and $\sum\limits_{n=0}^{\infty}Y_{n}(t)$ are the nonlinear Adomian polynomials. By the substitution of Eq. (13) into Eq. (12), we have
\[ \begin{align}
\sum\limits_{n=0}^{\infty}L_{n}(t)=&\ 0.1 +E^{-1}\biggl[u^{\alpha}E\biggl[\sum\limits_{n=0}^{\infty}N_n(t) + \sum\limits_{n=0}^{\infty}X_{n}(t)-a \sum\limits_{n=0}^{\infty}L_{n}(t)\biggr]\biggr],\nonumber\\
\sum\limits_{n=0}^{\infty}M_{n}(t)=&\ 4.0+E^{-1}\biggl[u^{\alpha}E\biggl[1-b\sum\limits_{n=0}^{\infty}M_{n}(t)-\sum\limits_{n=0}^{\infty}Y_{n}(t)\biggr]\biggr],\\
\sum\limits_{n=0}^{\infty}N_{n}(t)=&\ 0.5+E^{-1}\biggl[u^{\alpha}E\biggl[d-\sum\limits_{n=0}^{\infty}L_{n}(t)-c\sum\limits_{n=0}^{\infty}N_{n}(t)\biggr]\biggr]. \nonumber
\end{align} \tag{14} \]
The Adomian polynomial can be determined with the help of the following formulaes:
\[ \begin{equation}
X_{n}=\frac{1}{\Gamma(n+1)}\frac{d^{n}}{d\lambda^{n}}\biggl[\sum\limits_{i=0}^{n}\lambda^{i}L_{i}\sum\limits_{i=0}^{n}\lambda^{i}M_{i}\biggr]_{\lambda =0}, \text{where} i=0, 1, 2, \dots,
\end{equation} \tag{15} \]
\[ \begin{equation}
Y_{n}=\frac{1}{\Gamma(n+1)}\frac{d^{n}}{d\lambda^{n}}\biggl[\sum\limits_{i=0}^{n} \lambda^{i}L_{i}\sum\limits_{i=0}^{n}\lambda^{i}L_{i}\biggr]_{\lambda =0}, \text{where} i=0, 1, 2,\dots.
\end{equation} \tag{16} \]
Eq. (15) is used to calculate a few terms of the decomposed first nonlinear terms, and these are as follows:
\[ \begin{align*}
X_{0}&=\ L_{0}M_{0}, \\
X_{1}&=\ L_{0}M_{1}(t)+L_{1}M_{0}, \\
X_{2}&=\ L_{0}M_{2}(t)+L_{1}(t)M_{1}(t)+L_{2}(t)M_{0}.
\end{align*} \]
Eq. (16) is used to calculate a few terms of the decomposed second nonlinear term, and these are as follows:
\[ \begin{align*}
Y_{0}&\ =L_{0}L_{0}, \\
Y_{1}&\ =L_{0}L_{1}(t)+L_{1}(t)L_{0}, \\
Y_{2}&\ =L_{0}L_{2}(t)+L_{1}(t)L_{1}(t)+L_{2}(t)L_{0}.
\end{align*} \]
The following approximations are obtained by equating Eq. (14) and using the same parametric values that are used in the previous section.
By corresponding at both ends of Eq. (14), we were able to extract the first term of the expansion solution to Eq. (11):
\[ \begin{equation*}
L_{1}=\frac{0.6 t^\alpha}{\Gamma(\alpha +1)},\quad
M_{1}=\frac{0.59 t^\alpha}{\Gamma(\alpha +1)},\quad
N_{1}=\frac{0.3 t^\alpha}{\Gamma(\alpha +1)}.
\end{equation*} \]
By corresponding at both ends of Eq. (14), we were able to extract the second term of the expansion solution to Eq. (11):
\[ \begin{equation*}
L_{2}=\frac{0.959 t^{2\alpha}}{\Gamma(2\alpha +1)},\quad
M_{2}=\frac{t^\alpha}{\Gamma(\alpha +1)}-\frac{0.179 t^{2\alpha}}{\Gamma(2\alpha +1)},
\end{equation*} \]
\[ \begin{equation*}
N_{2}=\frac{0.9 t^\alpha}{\Gamma(\alpha +1)}-\frac{0.9 t^{2\alpha}}{\Gamma(2\alpha +1)}.
\end{equation*} \]
In the same way, we determined the values of $L_{3}$, $M_{3}$ and $N_{3}$ as follows:
\[ \begin{align*}
L_{3}=&\ \frac{t^{2\alpha}}{\Gamma(2\alpha +1)}+\frac{0.0411 t^{3\alpha}}{\Gamma(3\alpha +1)}
+\frac{0.354 t^{3\alpha}\Gamma(2\alpha +1)}{\Gamma(3\alpha +1)\Gamma(\alpha +1)^2}, \\
M_{3}=&\ \frac{t^\alpha}{\Gamma(\alpha +1)}-\frac{0.1 t^{2\alpha}}{\Gamma(2\alpha +1)}
-\frac{0.1739 t^{3\alpha}}{\Gamma(3\alpha +1)} -\frac{0.36 t^{3\alpha}\Gamma(2\alpha +1)}{\Gamma(3\alpha +1)\Gamma(\alpha +1)^2}, \\
N_{3}=&\ \frac{0.9 t^\alpha}{\Gamma(\alpha +1)}-\frac{0.9 t^{2\alpha}}{\Gamma(2\alpha +1)}-
\frac{0.059 t^{3\alpha}}{\Gamma(3\alpha +1)}.
\end{align*} \]
In the same way, the following four terms of the series solution to Eq. (1) were established:
\[ \begin{align*}
L_{4}=&\ \frac{t^{2\alpha}}{\Gamma(2\alpha +1)}-\frac{0.09 t^{3\alpha}}{\Gamma(3\alpha +1)}
-\frac{0.167599 t^{4\alpha}}{\Gamma(4\alpha +1)} +\frac{0.6 t^{3\alpha}\Gamma(2\alpha +1)}{\Gamma(3\alpha +1)\Gamma(\alpha +1)^2}
+\frac{0.318 t^{4\alpha}\Gamma(2\alpha +1)}{\Gamma(4\alpha +1)\Gamma(\alpha +1)^2} +
\frac{0.45841 t^{4\alpha}\Gamma(3\alpha +1)}{\Gamma(\alpha +1)\Gamma(2\alpha +1)\Gamma(4\alpha +1)},
\\
M_{4}=&\ \frac{t^\alpha}{\Gamma(\alpha +1)}-\frac{0.3 t^{2\alpha}}{\Gamma(2\alpha +1)}+
\frac{0.03 t^{3\alpha}}{\Gamma(3\alpha +1)} +\frac{0.05217 t^{4\alpha}}{\Gamma(4\alpha +1)}
+\frac{0.108 t^{4\alpha}\Gamma(2\alpha +1)}{\Gamma(4\alpha +1)\Gamma(\alpha +1)^2}-
\frac{1.1508 t^{4\alpha}\Gamma(3\alpha +1)}{\Gamma(\alpha +1)\Gamma(2\alpha +1)\Gamma(4\alpha +1)},
\\
N_{4}=&\ \frac{0.9 t^\alpha}{\Gamma(\alpha +1)} - \frac{0.9 t^{2\alpha}}{\Gamma(2\alpha +1)} -
\frac{0.1 t^{3\alpha}}{\Gamma(3\alpha +1)}+\frac{0.0179 t^{4\alpha}}{\Gamma(4\alpha +1)}
- \frac{0.354 t^{4\alpha}\Gamma(2\alpha +1)}{\Gamma(4\alpha +1)\Gamma(\alpha +1)^{2}}.
\end{align*} \]
Finally, the 4th step approximate solutions obtained by employing the Elzaki transform decomposition method of the $L(t)$, $M(t)$, and $N(t)$ are as follows.
The 4th step approximate solution of $L(t)$ is as below:
\[ \begin{multline}
L^{4}(t)= 0.1+
\Bigl( \frac{0.6 t^\alpha}{\Gamma(\alpha +1)} \Bigr) +
\Bigl( \frac{0.959 t^{2\alpha}}{\Gamma(2\alpha +1)} \Bigr) + {}
\\
{} +
\Bigl(
\frac{t^{2\alpha}}{\Gamma(2\alpha +1)}-
\frac{0.09 t^{3\alpha}}{\Gamma(3\alpha +1)}-
\frac{0.167599 t^{4\alpha}}{\Gamma(4\alpha +1)} +
\frac{0.6 t^{3\alpha}\Gamma(2\alpha +1)}{\Gamma(3\alpha +1)\Gamma(\alpha +1)^2} + {}
\\
{} +
\frac{0.318 t^{4\alpha}\Gamma(2\alpha +1)}{\Gamma(4\alpha +1)\Gamma(\alpha +1)^2}+
\frac{0.45841 t^{4\alpha}\Gamma(3\alpha +1)}{\Gamma(\alpha +1)\Gamma(2\alpha +1)\Gamma(4\alpha +1)}
\Bigr).
\end{multline} \tag{17} \]
The 4th step approximate solution of $M(t)$ is as below:
\[ \begin{multline}
M^{4}(t)= 4.0+
\Bigl(\frac{0.59 t^\alpha}{\Gamma(\alpha +1)}\Bigr)+
\Bigl(\frac{t^\alpha}{\Gamma(\alpha +1)}-\frac{0.179 t^{2\alpha}}{\Gamma(2\alpha +1)}\Bigr)+{}
\\
{} +\Bigl(
\frac{t^\alpha}{\Gamma(\alpha +1)}-
\frac{0.1 t^{2\alpha}}{\Gamma(2\alpha +1)} -
\frac{0.1739 t^{3\alpha}}{\Gamma(3\alpha +1)} -
\frac{0.36 t^{3\alpha}\Gamma(2\alpha +1)}{\Gamma(3\alpha +1)\Gamma(\alpha +1)^2} \Bigr) +{}
\\
{} +\Bigl(
\frac{t^\alpha}{\Gamma(\alpha +1)}-
\frac{0.3 t^{2\alpha}}{\Gamma(2\alpha +1)} +
\frac{0.03 t^{3\alpha}}{\Gamma(3\alpha +1)} +
\frac{0.05217 t^{4\alpha}}{\Gamma(4\alpha +1)} + {}
\\
{} +
\frac{0.108 t^{4\alpha}\Gamma(2\alpha +1)}{\Gamma(4\alpha +1)\Gamma(\alpha +1)^2} -
\frac{1.1508 t^{4\alpha}\Gamma(3\alpha +1)}{\Gamma(\alpha +1)\Gamma(2\alpha +1)\Gamma(4\alpha +1)} \Bigr).
\end{multline} \tag{18} \]
The 4th step approximate solution of $N(t)$ is as below:
\[ \begin{multline}
N^{4}(t)= 0.5 \Bigl(\frac{0.3 t^\alpha}{\Gamma(\alpha +1)}\Bigl)+
\Bigl(\frac{0.9 t^\alpha}{\Gamma(\alpha +1)} - \frac{0.9 t^{2\alpha}}{\Gamma(2\alpha +1)} -
\frac{0.059 t^{3\alpha}}{\Gamma(3\alpha +1)} \Bigr)+ {}
\\
{} + \Bigl(\frac{0.9 t^\alpha}{\Gamma(\alpha +1)} -\frac{0.9 t^{2\alpha}}{\Gamma(2\alpha +1)} -
\frac{0.1 t^{3\alpha}}{\Gamma(3\alpha +1)}+ {}
\\
{} +
\frac{0.0179 t^{4\alpha}}{\Gamma(4\alpha +1)}-
\frac{0.354 t^{4\alpha}\Gamma(2\alpha +1)}{\Gamma(4\alpha +1)\Gamma(\alpha +1)^2}\Bigr).
\end{multline} \tag{19} \]
Based on their graphical and numerical outcomes, the approximations established by Elzaki transform decomposition method for the nonlinear financial model are reviewed and evaluated in the next subsection.
4.1. Graphical and numerical results of approximate solutions attained by Elzaki transform decomposition method
Figure 3. The graphic behavior of the 4th step approximate solutions obtained by Elzaki transform decomposition method of $L(t)$, $M(t)$, and $N(t)$ at $\alpha=0.5$, 0.6, 0.7, 0.8, 0.9, and 1.0
Figure 4. Dashed graphs of $L^{(4)}(t)$, $M^{(4)}(t)$, and $N^{(4)}(t)$ that were achieved by using Elzaki transform decomposition method, and non-dashed graphs were achieved by residual power series method at $\alpha=0.5$, 0.6, 0.7, 0.8, 0.9, and 1.0
In this subsection, we give graphical and numerical results for the approximate solutions of the system of fractional differential equations presented in Eqs. (1) and (2) to demonstrate the usefulness and efficiency of the Elzaki transform decomposition method in handling nonlinear models. By using the following values of the parameter variables: $a=3$, $b=0.1$, $c=1$, and $d=0.9$ and the initial conditions $L(0)=0.1$, $M(0)=4.0$, and $N(0)=0.5$ [28] we derived the 4th step approximate solutions for the model at various fractional derivative values: $\alpha=0.5$, 0.6, 0.7, 0.8, 0.9, and 1.0.
Fig. 3 shows two-dimensional graphs of the 4th step approximate solutions obtained by Elzaki transform decomposition method at $\alpha=0.5$, 0.6, 0.7, 0.8, 0.9, and 1.0 for $t$ in the interval $[0, 2.0]$.
Fig. 4 shows a comparison of the two-dimensional graphs of the 4th step approximate solutions obtained by residual power series method and Elzaki transform decomposition method at $\alpha=0.5$, 0.6, 0.7, 0.8, 0.9, and 1.0 for $t$ in the interval $[0, 2.0]$.
Tables 5–7 show how the 4th step approximate solutions of $L(t)$, $M(t)$, and $N(t)$ obtained by Elzaki transform decomposition method behave at different $\alpha=0.5$, 0.6, 0.7, 0.8, 0.9, and 1.0 fractional derivative values for $t$ in the interval $[0, 2.0]$.
We concluded from a graphical and numerical analysis of $L^{(4)}(t)$, $M^{(4)}(t)$, and $N^{(4)}(t)$ that these variables exhibit the same behavior as described in macroeconomic theory. Generally, a lower interest rate makes an investment relatively more attractive. If the interest rate is six percent, firms will need an expected rate of return on investment of at least six percent to justify the investment. If the marginal efficiency of capital is lower than the interest rate, the firm will be better off not investing but saving money. A cut in interest rates from six percent to two percent will increase investment demand. Thus, the result indicates that they satisfy the actual behavior of macroeconomic theory.
The Elzaki transform decomposition method produced the following 4th step approximate solutions by using the Eqs. (17), (18), and (19) in terms of interest rate $L(t)$, investment demand $M(t)$, and price index $N(t)$ at $\alpha=0.5$, 0.6, 0.7, 0.8, 0.9, 1.0.
At $\alpha=0.5$, the 4th step approximate solutions are as follows:
\[ \begin{align*}
L^{(4)}(t)=&\ 0.1 + 0.677028 t^{0.5} + 2.059 t^{1.0} + 0.876954 t^{1.5} + 0.462453 t^{2.0}, \\
M^{(4)}(t)=&\ 4 + 4.05088 t^{0.5} - 0.379 t^{1.0} - 0.618552 t^{1.5} - 0.880404 t^{2.0}, \\
N^{(4)}(t)=&\ 0.5 + 3.38514 t^{0.5} - 2.7 t^{1.0} - 0.119608 t^{1.5} - 0.216413 t^{2.0}.
\end{align*} \]
At $\alpha=0.6$, the 4th step approximate solutions are as follows:
\[ \begin{align*}
L^{(4)}(t)=&\ 0.1 + 0.671505 t^{0.6}+1.86876 t^{1.2}+0.756152 t^{1.8}+0.352844 t^{2.4}, \\
M^{(4)}(t)=&\ 4 + 4.01784 t^{0.6}-0.343982t^{1.2}-0.513408t^{1.8}-0.670216 t^{2.4}, \\
N^{(4)}(t)=&\ 0.5 + 3.35752 t^{0.6}-2.45053t^{1.2}-0.094841t^{1.8}-0.142729t^{2.4}.
\end{align*} \]
At $\alpha=0.7$, the 4th step approximate solutions are as follows:
\[ \begin{align*}
L^{(4)}(t)=&\ 0.1 + 0.660328 t^{0.7} + 1.65758 t^{1.4} + 0.63087 t^{2.1} + 0.256359 t^{2.8}, \\
M^{(4)}(t)=&\ 4 + 3.95097 t^{0.7} - 0.305111 t^{1.4} - 0.412049 t^{2.1} - 0.48642 t^{2.8}, \\
N^{(4)}(t)=&\ 0.5 + 3.30164 t^{0.7} - 2.17362 t^{1.4} - 0.072351 t^{2.1} - 0.0875269 t^{2.8}.
\end{align*} \]
At $\alpha=0.8$, the 4th step approximate solutions are as follows:
\[ \begin{align*}
L^{(4)}(t)=&\ 0.1 + 0.644203 t^{0.8} + 1.44024 t^{1.6} + 0.510974 t^{2.4} + 0.178275 t^{3.2}, \\
M^{(4)}(t)=&\ 4 + 3.85448 t^{0.8} - 0.265105 t^{1.6} - 0.321075 t^{2.4} - 0.338317 t^{3.2}, \\
N^{(4)}(t)=&\ 0.5 + 3.22101 t^{0.8} - 1.88861 t^{1.6} - 0.0533341 t^{2.4} - 0.0503025 t^{3.2}.
\end{align*} \]
At $\alpha=0.9$, the 4th step approximate solutions are as follows:
\[ \begin{align*}
L^{(4)}(t)=&\ 0.1 + 0.623852 t^{0.9} + 1.22816 t^{1.8} + 0.402854 t^{2.7} + 0.119158 t^{3.6},\nonumber \\
M^{(4)}(t)=&\ 4 + 3.73272 t^{0.9} - 0.226067 t^{1.8} - 0.243697 t^{2.7} - 0.22644 t^{3.6},\nonumber \\
N^{(4)}(t)=& \ 0.5 + 3.11926 t^{0.9} - 1.61051 t^{1.8} - 0.0381235 t^{2.7} -0.0272624 t^{3.6}.
\end{align*} \]
At $\alpha=1.0$, the 4th step approximate solutions are as follows:
\[ \begin{align*}
L^{(4)}(t)=&\ 0.1 + 0.6 t + 1.0295 t^{2}+0.30985t^{3}+0.076818t^{4}, \\
M^{(4)}(t)=&\ 4+ 3.59t-0.1895t^{2}-0.18065t^{3}-0.146346t^{4}, \\
N^{(4)}(t)=&\ 0.5+3t-1.35t^{2}-0.0265t^{3}-0.0140042t^{4}.
\end{align*} \]
5. Conclusions
In this study, we investigate a fractional-order financial model using two capable approximate analytical methods. From the figures and tables, we observed that the solutions obtained by the residual power series method and Elzaki transform decomposition method agree with the actual macroeconomic behavior of the financial system, and both methods are compatible and useful for solving the fractional order nonlinear financial model. It demonstrated that researchers may use these two techniques to solve the fractional nonlinear problem that occurs in financial systems. The impact of the critical minimum interest rate has been observed graphically, which shows different results with different values of the critical minimum interest rate but exhibits the same behavior. The results show that interest rates are rising at the same time that investment demand is falling because borrowing money for investment purposes becomes more expensive as interest rates rise. It is also guaranteed that the relationship between investment demand and the price level is inverse, with lower investment demand leading to deflation. As a result, the obtained results are consistent with economic theory and are extremely useful in understanding the macroeconomic behavior of the financial system.
Competing interests. The authors declare that they have no competing interests.
Authors’ contributions and responsibilities. The authors declare that the study was realized in collaboration with equal responsibility. All authors read and approved the final manuscript.
Availability of Data and Materials. No data were generated or analyzed during the current study.
Funding. No funds were received.
About the authors
Muhammad Imran Liaqat
Government College University; National College of Business Administration & Economics
Email: imranliaqat50@yahoo.com
ORCID iD: 0000-0002-5732-9689
https://www.mathnet.ru/person200797
PhD Student, Abdus Salam School of Mathematical Sciences; Lecturer, Dept. of Mathematics
Pakistan, 54600, Lahore; 54660, LahoreAdnan Khan
National College of Business Administration & Economics
Email: adnankhantariq@ncbae.edu.pk
ORCID iD: 0000-0002-1490-8576
https://www.mathnet.ru/person211993
Full Professor, Dept. of Mathematics
Pakistan, 54660, LahoreAlia Irshad
National College of Business Administration & Economics
Email: aaliairshad15@gmail.com
ORCID iD: 0009-0002-2282-0627
https://www.mathnet.ru/person211994
Lecturer, Dept. of Mathematics
Pakistan, 54660, LahoreAli Akgul
Lebanese American University; Siirt University; Near East University
Author for correspondence.
Email: aliakgul00727@gmail.com
ORCID iD: 0000-0001-9832-1424
https://www.mathnet.ru/person200037
PhD in Math, Full Professor; Dept. of Computer Science and Mathematics; Dept. of Mathematics, Art and Science Faculty; Dept. of Mathematics, Mathematics Research Center
Turkey, Lebanon, 1102 2801, Beirut; Turkey, 56100, Siirt; Turkey, 99138, NicosiaEvgeniy Yu. Prosviryakov
Ural Federal University; Institute of Engineering Science, RAS (Ural Branch)
Email: evgen_pros@mail.ru
ORCID iD: 0000-0002-2349-7801
SPIN-code: 3880-5690
Scopus Author ID: 57189461740
ResearcherId: E-6254-2016
http://www.mathnet.ru/person41426
Dr. Phys. & Math. Sci.; Dept. of Information Technologies and Control Systems; Sect. of Nonlinear Vortex Hydrodynamics
Russian Federation, 620137, Ekaterinburg; 620049, EkaterinburgReferences
- Sun H., Zhang Y., Baleanu D., et al. A new collection of real world applications of fractional calculus in science and engineering, Commun. Nonlinear Sci. Numer. Simul., 2018, vol. 64, pp. 213–231. DOI: https://doi.org/10.1016/j.cnsns.2018.04.019.
- Ramani P., Khan A. M., Suthar D. L., Kumar D. Approximate analytical solution for nonlinear Fitzhugh–Nagumo equation of time fractional order through fractional reduced differential transform method, Int. J. Appl. Comput. Math., 2022, vol. 8, no. 2, 61. DOI: https://doi.org/10.1007/s40819-022-01254-z.
- Yadav L. K., Agarwal G., Suthar D. L., Purohit S. D. Time-fractional partial differential equations: a novel technique for analytical and numerical solutions, Arab J. Basic Appl. Sci., 2022, vol. 29, no. 1, pp. 86–98. DOI: https://doi.org/10.1080/25765299.2022.2064075.
- Tenreiro Machado J. A., Silva M. F., Barbosa R. S., et al. Some applications of fractional calculus in engineering, Math. Probl. Eng., 2010, vol. 2010, 639801. DOI: https://doi.org/10.1155/2010/639801.
- Yasmin H. Application of aboodh homotopy perturbation transform method for fractionalorder convection-reaction-diffusion equation within Caputo and Atangana–Baleanu operators, Symmetry, 2023, vol. 15, no. 2, 453. DOI: https://doi.org/10.3390/sym15020453.
- Chanchlani L., Agrawal M., Pandey R. M., et al. Applications of Elzaki decomposition method to fractional relaxation-oscillation and fractional biological population equations, Appl. Math. Sci. Eng., 2023, vol. 31, no. 1, 2154766. DOI: https://doi.org/10.1080/27690911.2022.2154766.
- Pareek N., Gupta A., Agarwal G., Suthar D. L. Natural transform along with HPM technique for solving fractional ADE, Adv. Math. Phys., 2021, vol. 2021, 9915183. DOI: https://doi.org/10.1155/2021/9915183.
- Yasmin H. Numerical analysis of time-fractional Whitham–Broer–Kaup equations with exponential-decay kernel, Fractal Fract., 2022, vol. 6, no. 3, 142. DOI: https://doi.org/10.3390/fractalfract6030142.
- Naeem M., Yasmin H., Shah N. A., et al. Analytical approaches for approximate solution of the time-fractional coupled Schrödinger–KdV equation, Symmetry, 2022, vol. 14, no. 12, 2602. DOI: https://doi.org/10.3390/sym14122602.
- Naeem M., Yasmin H., Shah R., et al. A comparative study of fractional partial differential equations with the help of Yang transform, Symmetry, 2023, vol. 15, no. 1, 146. DOI: https://doi.org/10.3390/sym15010146.
- Naeem M., Yasmin H., Shah R., et al. Investigation of fractional nonlinear regularized longwave models via Novel techniques, Symmetry, 2023, vol. 15, no. 1, 220. DOI: https://doi.org/10.3390/sym15010220.
- Baskonus H. M., Mekkaoui T., Hammouch Z., Bulut H. Active control of a chaotic fractional order economic system, Entropy, 2015, vol. 17, no. 8, pp. 5771–5783. DOI: https://doi.org/10.3390/e17085771.
- Bonyah E., Atangana A., Chand M. Analysis of 3D IS-LM macroeconomic system model within the scope of fractional calculus, Chaos, Solitons & Fractals: X, 2019, vol. 2, 100007. DOI: https://doi.org/10.1016/j.csfx.2019.100007.
- David S. A., Fischer C., Machado J. T. Fractional electronic circuit simulation of a nonlinear macroeconomic model, AEU – Int. J. Electron. Comm., 2018, vol. 84, pp. 210–220. DOI: https://doi.org/10.1016/j.aeue.2017.11.019.
- Owolabi K. M., Gómez–Aguilar J. F., Fernndez–Anaya, et al. Modelling of chaotic processes with caputo fractional order derivative, Entropy, 2020, vol. 22, no. 9, 1027. DOI: https://doi.org/10.3390/e22091027.
- Xin B., Li Y. 0-1 test for chaos in a fractional order financial system with investment incentive, Abstr. Appl. Anal, 2013, vol. 2013, 876298. DOI: https://doi.org/10.1155/2013/876298.
- El-Ajou A., Arqub O. A., Momani S., et al. A novel expansion iterative method for solving linear partial differential equations of fractional order, Appl. Math. Comput., 2015, vol. 257, pp. 119–133. DOI: https://doi.org/10.1016/j.amc.2014.12.121.
- Xiaobing P., Yang X., Skandari M. H. N., et al. A new high accurate approximate approach to solve optimal control problems of fractional order via efficient basis functions, Alexandria Eng. J., 2022, vol. 61, no. 8, pp. 5805–5818. DOI: https://doi.org/10.1016/j.aej.2021.11.007.
- Liaqat M. I., Akgül A. A novel approach for solving linear and nonlinear time-fractional Schrödinger equations, Chaos Solitons Fractals, 2022, vol. 162. DOI: https://doi.org/10.1016/j.chaos.2022.112487.
- Liaqat M. I., Khan A., Alam M. A., et al. Approximate and closed-form solutions of Newell–Whitehead–Segel equations via modified conformable Shehu transform decomposition method, Math. Probl. Eng., 2022, vol. 2022, 6752455. DOI: https://doi.org/10.1155/2022/6752455.
- Rezapour S., Liaqat M. I., Etemad S. An effective new iterative method to solve conformable Cauchy reaction-diffusion equation via the Shehu transform, J. Math., 2022, vol. 2022, 4172218. DOI: https://doi.org/10.1155/2022/4172218.
- Liaqat M. I., Etemad S., Rezapour S., Park, C. A novel analytical Aboodh residual power series method for solving linear and nonlinear time-fractional partial differential equations with variable coefficients, AIMS Math., 2022, vol. 7, no. 9, pp. 16917-16948. DOI: https://doi.org/10.3934/math.2022929.
- Liaqat M. I., Akgül A., Abu-Zinadah H. Analytical investigation of some time-fractional Black–Scholes models by the Aboodh residual power series method, Mathematics, 2023, vol. 11, no. 2, 276. DOI: https://doi.org/10.3390/math11020276.
- Alquran M. Analytical solutions of fractional foam drainage equation by residual power series method, Math. Sci., 2014, vol. 8, no. 4, pp. 153–160. DOI: https://doi.org/10.1007/s40096-015-0141-1.
- Prakasha D. G., Veeresha P., Baskonus H. M. Residual power series method for fractional Swift–Hohenberg equation, Fractal Fract., 2019, vol. 3, no. 1, 9. DOI: https://doi.org/10.3390/fractalfract3010009.
- Shah N. A., Chung J. D. The analytical solution of fractional-order Whitham–Broer–Kaup equations by an Elzaki decomposition method, Numer. Methods Partial Differential Eq., 2024, vol. 40, e22748. DOI: https://doi.org/10.1002/num.22748.
- Varsoliwala A. C., Singh T. R. Mathematical modeling of atmospheric internal waves phenomenon and its solution by Elzaki Adomian decomposition method, J. Ocean Eng. Sci.,2022, vol. 7, no. 3, pp. 203–212. DOI: https://doi.org/10.1016/j.joes.2021.07.010.
- Farman M., Akgül A., Baleanu D., et al. Analysis of fractional order chaotic financial model with minimum interest rate impact, Fractal Fract., 2020, vol. 4, no. 3, 43. DOI: https://doi.org/10.3390/fractalfract4030043.
- Kumar A., Kumar S. Residual power series method for fractional Burger types equations, Nonlinear Eng., 2016, vol. 5, no. 4, pp. 235–244. DOI: https://doi.org/10.1515/nleng-2016-0028.
- Alquran M., Jaradat H. M., Syam M. I. Analytical solution of the time-fractional Phi-4 equation by using modified residual power series method., Nonlinear Dyn., 2017, vol. 90, no. 4, pp. 2525–2529. DOI: https://doi.org/10.1007/s11071-017-3820-7.
- Moaddy K., Al-Smadi M., Hashim I. A novel representation of the exact solution for differential algebraic equations system using residual power-series method, Discrete Dyn. Nat. Soc., 2015, vol. 2015, 205207. DOI: https://doi.org/10.1155/2015/205207.
- Rashid S., Hammouch Z., Aydi H., et al. Novel computations of the time-fractional Fisher’s model via generalized fractional integral operators by means of the Elzaki transform, Fractal Fract., 2021, vol. 5, no. 3, 94. DOI: https://doi.org/10.3390/fractalfract5030094.
- Khan A., Liaqat M. I., Younis M., Alam A. Approximate and exact solutions to fractional order Cauchy reaction-diffusion equations by new combine techniques, J. Math., 2021, vol. 2021, 5337255. DOI: https://doi.org/10.1155/2021/5337255.
- Liaqat M. I., Khan A., Akgül A., Ali M. S. A novel numerical technique for fractional ordinary differential equations with proportional delay, J. Funct. Spaces, 2022, vol. 2022, 6333084. DOI: https://doi.org/10.1155/2022/6333084.
- Jena R. M., Chakraverty S. Solving time-fractional Navier–Stokes equations using homotopy perturbation Elzaki transform, SN Appl. Sci., 2019, vol. 1, 16. DOI: https://doi.org/10.1007/s42452-018-0016-9.
- Hajira, Khan H., Khan A., et al. An approximate analytical solution of the Navier–Stokes equations within Caputo operator and Elzaki transform decomposition method, Adv. Differ. Equ., 2020, vol. 2020, 622. DOI: https://doi.org/10.1186/s13662-020-03058-1.
Supplementary files






