Новое применение метода дифференциального преобразования Халуты и анализ сходимости для решения нелинейного дробного уравнения Льенара
- Авторы: Chetioui L.1, Khalouta A.1
-
Учреждения:
- Université Ferhat Abbas de Sétif 1
- Выпуск: Том 28, № 2 (2024)
- Страницы: 207-222
- Раздел: Дифференциальные уравнения и математическая физика
- URL: https://journals.eco-vector.com/1991-8615/article/view/569224
- DOI: https://doi.org/10.14498/vsgtu2063
- EDN: https://elibrary.ru/ATZKZR
- ID: 569224
Цитировать
Полный текст
Аннотация
Предлагается новый гибридный численный метод с использованием производной Капуто для решения нелинейного дробного уравнения Льенара — метод дифференциального преобразования Халуты. Доказана теорема сходимости данного метода при определенных условиях.
Метод дифференциального преобразования Халуты представляет собой полуаналитическую технику, объединяющую два мощных подхода: метод преобразования Халуты и метод дифференциального преобразования. Основное преимущество этого метода заключается в том, что он позволяет очень быстро находить решения и не требует линеаризации, возмущения или каких-либо других предположений. Предложенный метод подробно описан, а его эффективность продемонстрирована на двух числовых примерах. Результаты вычислений хорошо согласуются с точными решениями, что подтверждает надежность и эффективность предложенного подхода.
Полный текст
1. Introduction
Since the development of the fractional calculus, many mathematicians and physicists have been interested in the theory of nonlinear fractional differential equations, where many nonlinear phenomena in engineering, physics, fluid mechanics, viscoelasticity, chemistry, biology and various fields of applied science can be described using these equations [1–9]. Consequently, considerable attention has been given to the solutions of nonlinear fractional differential equations of physical interest. Since many nonlinear fractional differential equations do not have exact analytical solutions due to the complexity of the nonlinear terms included, several numerical and analytical methods have been devloped to solve nonlinear fractional differential equations, such as: Adomian decomposition method (ADM) [10], homotopy perturbation method [11], homotopy analysis method [12], variational iteration transform method [13], natural reduced differential transform method (NRDTM) [14], general fractional residual power series method (GFRPSM) [13].
The Li'enard equation is a nonlinear second order differential equation proposed by Alfred–Marie Li'enard [15] and is given by
\[ \begin{equation}
u''(x)+f(u)u'(x)+g( u) =h(x),
\end{equation} \tag{1} \]
where $f(u)u'(x)$ is the damping force, $g( u) $ is the restoring force, and $h(x)$ is the external force.
The Li'enard equation (1) is a generalization of the damped pendulum equation or spring-mass system. Since this equation can be applied to describe the oscillating circuits, therefore, it is used in the development of radio and vacuum-tube technology. For different choices of the variable coefficients $f(u)$, $g(u)$, and $h(x)$, the Li'enard equation is used in several phenomena. For example, the choices $f(u)=\varepsilon (u^{2}-1)$, $g( u) =u$, and $h(x)=0$, this equation becomes the Van der Pol equation as a nonlinear model of electronic oscillation, see [16, 17]
Several researchers have studied the exact solution of particular cases of Li'enard equation. For example, Zhaosheng Feng [18] investigated the exact solution of
\[ \begin{equation}
u''(x)+au(x)+bu^{3}(x)+cu^{5}(x)=0.
\end{equation} \tag{2} \]
He found that one of the solutions of equation (2), is given by
\[ \begin{equation*}
u(x) =
\sqrt{-\frac{2a}{b} \bigl( 1+\tanh (\sqrt{-a}x) \bigr)},
\end{equation*} \]
when ${b^{2}}/{4}-4{ac}/{3}=0$, $b>0$, and $a<0$.
The objective of the present article is to propose a hybrid numerical method using Khalouta transform method and differential transform method in order to solve the nonlinear fractional Li'enard equation in the form
\[ \begin{equation}
D^{\alpha }u(x)+au(x)+bu^{3}(x)+cu^{5}(x)=0,\quad x>0,
\end{equation} \tag{3} \]
with the initial conditions
\[ \begin{equation}
u(0)=u_{0},\quad u'(0)=u_{1},
\end{equation} \tag{4} \]
where $D^{\alpha}$ is the fractional derivative operator in the sense of the Caputo of order $\alpha$ with $1<\alpha \leqslant 2$, and $a$, $b$, $c$, $u_{0}$, and $u_{1}$ are constants.
The organization of this article is as follows. In Sect. 2, we present the basic definitions and several properties of the theory of fractional calculus, Khalouta transform and differential transform method that will be used throughout our article. In Sect. 3, we extend the proposed method to solve the nonlinear fractional Li'enard equation (3) with the initial conditions (4). In Sect. 4, we prove the convergence theorem of this method under suitable conditions. In Sect. 5, two numerical examples are proposed to illustrate the capability and effectiveness of proposed method. In Sect. 6, we discuss our obtained results presented by figures and tables. The conclusion is given in the final part, Sect. 7.
2. Basic definitions and results
This section presents the basic definitions and several properties of the fractional calculus theory, Khalouta transform and differential transform method (DTM) which will be needed in this article.
Definition 1 [3]. The Riemann–Liouville fractional integral of order $\alpha \geqslant 0$ of a function $u$ in $C(\mathbb{R}^{+},\mathbb{R})$ is defined as
\[ \begin{equation}
I^{\alpha }u(x)=
\begin{cases}
\displaystyle
\dfrac{1}{\Gamma (\alpha )}\int_{0}^{x} ( x-\tau ) ^{\alpha -1}u(\tau )d\tau , &\alpha >0, \\
u(x), & \alpha =0,
\end{cases}
\end{equation} \tag{5} \]
where
\[ \begin{equation*}
\Gamma (\alpha )=\int_{0}^{\infty } x^{\alpha -1}e^{-x}dx,
\end{equation*} \]
is the Euler gamma function.
Definition 2 [3]. The Caputo fractional derivative of order $\alpha \geqslant 0$ of a function $u$, is defined as
\[ \begin{equation}
D^{\alpha }u(x)=
\begin{cases}
\displaystyle
\dfrac{1}{\Gamma (n-\alpha )}\int_{0}^{x} ( x-\tau )^{n-\alpha -1}u^{(n)}(\tau )d\tau , & n-1<\alpha <n, \\
u^{(n) }(x), & \alpha =n,
\end{cases}
\end{equation} \tag{6} \]
where $n= [ \alpha ] +1$ with $[ \alpha ] $ being the integer part of $\alpha$.
Now, we present our results regarding the Khalouta transform of the Riemann–Liouville fractional integral and the Caputo fractional derivative.
Definition 3 [19]. Let $u(x)$ be a integrable function defined for $x\geqslant 0$. The Khalouta transform $\mathcal{K}(s,\gamma ,\eta )$ of $u(x)$ is defined by
\[ \begin{equation*}
\mathbb{KH} \bigl[ u(x) \bigr] =\mathcal{K}(s,\gamma ,\eta )=\frac{s}{\gamma \eta }\int_{0}^{\infty }
\exp \Bigl( -\frac{sx}{\gamma \eta }\Bigr) u(x)dx,
\end{equation*} \]
where $s$, $\gamma$, $\eta >0$ are the Khalouta transform variables.
Some basic properties of the Khalouta transform are given as follows [19].
Property 1. Let $\mathcal{K}_{1}(s,\gamma ,\eta )$ and $\mathcal{K}_{2}(s,\gamma ,\eta )$ be the Khalouta transforms of $u_{1}(x)$ and $u_{2}(x)$, respectively. For each constants of $c_{1}$ and $c_{2}$, then
\[ \begin{multline*}
\mathbb{KH}\bigl[ c_{1}u_{1}(x)+c_{2}u_{2}(x)\bigr] = c_{1}\mathbb{KH}\bigl[ u_{1}(x)\bigr] +c_{2}\mathbb{KH}\left[ u_{2}(x)\right] = \\
= c_{1}\mathcal{K}_{1}(s,\gamma ,\eta )+c_{2}\mathcal{K}_{2}(s,\gamma ,\eta).
\end{multline*} \]
Property 2. Let $\mathcal{K}(s,\gamma ,\eta )$ be the Khalouta transform of $\ u(x)$. Then
\[ \begin{equation*}
\mathbb{KH}\bigl[ u^{(n)}(x)\bigr] =\frac{s^{n}}{\gamma ^{n}\eta ^{n}}\mathcal{K}(s,\gamma ,\eta )-\sum\limits_{k=0}^{n-1}\Bigl( \frac{s}{\gamma \eta }\Bigr) ^{n-k}u^{(k)}(0),\quad n\geqslant 1.
\end{equation*} \]
Property 3. Let $\mathcal{K}_{1}(s,\gamma ,\eta )$ and $\mathcal{K}_{2}(s,\gamma ,\eta )$ be the Khalouta transforms of $u_{1}(x)$ and $u_{2}(x)$, respectively. Then the Khalouta transform of the convolution of $u_{1}(x)$ and $u_{2}(x)$ is given by
\[ \begin{equation*}
\mathbb{KH}\bigl[ ( u_{1}\ast u_{2} ) (t)\bigr] =
\int_{0}^{\infty}u_{1}(x)u_{2}(x-\tau )d\tau =\frac{\gamma \eta }{s}\mathcal{K}_{1}(s,\gamma,\eta )\mathcal{K}_{2}(s,\gamma ,\eta ).
\end{equation*} \]
Property 4. The Khalouta transforms for some basic functions:
\[ \begin{eqnarray*}
\mathbb{KH}[{1}] &=& 1, \\
\mathbb{KH}[x] &=& \frac{\gamma \eta }{s}, \\
\mathbb{KH}\Bigl[ \frac{x^{n}}{n!}\Bigr] &=& \frac{\gamma ^{n}\eta ^{n}}{s^{n}},\quad n=0, 1, 2, \dots,\\
\mathbb{KH}\Bigl[ \frac{x^{\alpha }}{\Gamma \left( \alpha +1\right) }\Bigr]
&=& \frac{\gamma ^{\alpha }\eta ^{\alpha }}{s^{\alpha }},\quad \alpha >-1,
\end{eqnarray*} \]
Theorem 1. If $\mathcal{K}(s,\gamma ,\eta )$ is the Khalouta transform of the function $u(x)$, then the Khalouta transform of Riemann–Liouville fractional integral of order $\alpha >0$, is given by
\[ \begin{equation*}
\mathbb{KH}\bigl[ I^{\alpha }u(x)\bigr] =\frac{\gamma ^{\alpha }\eta ^{\alpha }}{s^{\alpha }}\mathcal{K}(s,\gamma ,\eta ).
\end{equation*} \]
Proof. Applying the Khalouta transform to both sides of the equation (5), we get
\[ \begin{equation*}
\mathbb{KH}\bigl[ I^{\alpha }u(x)\bigr] =
\mathbb{KH}\biggl[ \dfrac{1}{\Gamma (\alpha )}\int_{0}^{x}\left( x-\tau \right) ^{\alpha -1}u(\tau )d\tau \biggr] =\mathbb{KH}\Bigl[ \frac{1}{\Gamma (\alpha )}x^{\alpha -1}\ast u(x)\Bigr].
\end{equation*} \]
Then, using Properties 3 and 4, we get
\[ \begin{multline*}
\mathbb{KH}\bigl[ I^{\alpha }u(x)\bigr] = \frac{\gamma \eta }{s}\mathbb{KH}\Bigl[ \frac{x^{\alpha -1}}{\Gamma (\alpha )}\Bigr] \mathbb{KH}\bigl[ u(x)\bigr] = {} \\
{} = \frac{\gamma \eta }{s}\frac{\gamma ^{\alpha -1}\eta ^{\alpha -1}}{s^{\alpha -1}}\mathcal{K}(s,\gamma ,\eta ) = \frac{\gamma ^{\alpha }\eta ^{\alpha }}{s^{\alpha }}\mathcal{K}(s,\gamma ,\eta ).
\end{multline*} \]
The theorem is proved. $\square$
Theorem 2. If $\mathcal{K}(s,\gamma ,\eta )$ is the Khalouta transform of the function $u(x)$, then the Khalouta transform of the Caputo fractional derivative of order $n-1 <\alpha \leqslant n$, $n\in \mathbb{Z}^{+}$, is given by
\[ \begin{equation*}
\mathbb{KH} [ D^{\alpha }u(x) ] =\frac{s^{\alpha }}{\gamma ^{\alpha}\eta ^{\alpha }}\mathcal{K}(s,\gamma ,\eta )-\sum\limits_{k=0}^{n-1}\Bigl(\frac{s}{\gamma \eta }\Bigr) ^{\alpha -k}u^{(k)}(0).
\end{equation*} \]
Proof. First, we take
\[ \begin{equation}
v(x)=u^{(n)}(x).
\end{equation} \tag{7} \]
Thus, equation (6), can be written as follows
\[ \begin{multline}
D^{\alpha}u(x) = \frac{1}{\Gamma (n-\alpha)}\int_{0}^{x}(x-\tau)^{n-\alpha -1}u^{(n)}(\tau)d\tau ={}\\
{} = \frac{1}{\Gamma (n-\alpha )}\int_{0}^{x}(x-\tau )^{n-\alpha -1}v(\tau)d\tau = I^{n-\alpha }v(x).
\end{multline} \tag{8} \]
Applying the Khalouta transform on both sides of equation (8) and using Theorem 1, we get
\[ \begin{equation}
\mathbb{KH}\bigl[ D^{\alpha }u(x)\bigr] =\mathbb{KH}\bigl[ I^{n-\alpha }v(x)\bigr] =\frac{\gamma ^{n-\alpha }\eta ^{n-\alpha }}{s^{n-\alpha }}\mathcal{V}(s,\gamma ,\eta ),
\end{equation} \tag{9} \]
where $\mathcal{V}(s,\gamma ,\eta )$ is the Khalouta transform of the function $v(x)$.
Applying the Khalouta transform on both sides of equation (7) and using Property 2, we get
\[ \begin{equation*}
\mathbb{KH}\bigl[ v(x)\bigr] = \mathbb{KH}\bigl[ u^{(n)}(x)\bigr],
\end{equation*} \]
\[ \begin{equation}
\mathcal{V}(s,\gamma ,\eta ) = \frac{s^{n}}{\gamma ^{n}\eta ^{n}}\mathcal{K}(s,\gamma ,\eta )-\sum\limits_{k=0}^{n-1}\Bigl( \frac{s}{\gamma \eta }\Bigr) ^{n-k}u^{(k)}(0).
\end{equation} \tag{10} \]
Substituting equation (10) into equation (9), we get
\[ \begin{multline*}
\mathbb{KH}\bigl[ D^{\alpha }u(x)\bigr] = \frac{\gamma ^{n-\alpha }\eta ^{n-\alpha }}{s^{n-\alpha }}
\biggl( \frac{s^{n}}{\gamma ^{n}\eta ^{n}}\mathcal{K}(s,\gamma ,\eta )-\sum\limits_{k=0}^{n-1}\Bigl( \frac{s}{\gamma \eta }\Bigr) ^{n-k}u^{(k)}(0)\biggr) = {}
\\
{}= \frac{s^{\alpha }}{\gamma ^{\alpha }\eta ^{\alpha }}\mathcal{K}(s,\gamma ,\eta )-\sum\limits_{k=0}^{n-1}\Bigl( \frac{s}{\gamma \eta }\Bigr) ^{\alpha -k}u^{(k)}(0).
\end{multline*} \]
The theorem is proved. $\square$
Now, we consider a function $u(x)$ which is analytic in a domain $T$ and let $x=x_{0}$ represent any point in $T$. The function $u(x)$ is then represented by a power series whose centre is located at $x_{0}$ [20, 21].
Definition 4. The differential transform of the function $u(x)$ is defined as
\[ \begin{equation}
U(k)=\sum\limits_{k=0}^{\infty }\frac{1}{k!}\Bigl[ \frac{d^{k}}{dx^{k}}u(x)\Bigr] _{x=x_{0}},
\end{equation} \tag{11} \]
where $u(x)$ is the original function and $U(k)$ the transformed function.
Definition 5. The inverse differential transform of $U(k)$ is defined as
\[ \begin{equation}
u(x)=\sum\limits_{k=0}^{\infty }U(k)(x-x_{0})^{k}.
\end{equation} \tag{12} \]
Combining equations (11) and (12), we get
\[ \begin{equation}
u(x)=\sum\limits_{k=0}^{\infty }\frac{1}{k!}\Bigl[ \frac{d^{k}}{dx^{k}}u(x)\Bigr] _{x=x_{0}}(x-x_{0})^{k}.
\end{equation} \tag{13} \]
In particular, for $x_{0}=0$, equation (13) becomes
\[ \begin{equation*}
u(x)=\sum\limits_{k=0}^{\infty }\frac{1}{k!}\Bigl[ \frac{d^{k}}{dx^{k}}u(x)\Bigr] _{x=0}x^{k}.
\end{equation*} \]
From the above definitions, the fundamental operations of the DTM are given by the following theorem.
Theorem 3. Let $U(k),$ $V(k)$ and $W(k)$ be the differential transforms of the functions $u(x)$, $v(x)$ and $w(x)$ respectively, then
- if
\[ \begin{equation*}
w(x)=\lambda u(x)+\mu v(x),
\end{equation*} \]
then
\[ \begin{equation*}
W(k)=\lambda U(k)+\mu V(k), \quad \lambda , \; \mu \in \mathbb{R};
\end{equation*} \] - if
\[ \begin{equation*}
w(x)=u(x)v(x),
\end{equation*} \]
then
\[ \begin{equation*}
W(k)=\sum\limits_{r=0}^{k}U(r)V(k-r);
\end{equation*} \] - if
\[ \begin{equation*}
w(x)=u_{1}(x)u_{2}(x)\cdots u_{n-1}(x)u_{n}(x),
\end{equation*} \]
then
\[ \begin{multline*}
W(k)=\sum\limits_{k_{n-1}=0}^{k}\sum\limits_{k_{n-2}=0}^{k_{n-1}}\cdots \sum\limits_{k_{2}=0}^{k_{3}}\sum\limits_{k_{1}=0}^{k_{2}}
U_{1}(k_{1})U_{2}(k_{2}-k_{1})\times \cdots \times {} \\ {} \times U_{n-1}(k_{n-1}-k_{n-2})U_{n}(k-k_{n-1}).
\end{multline*} \]
3. Analysis of the Khalouta differential transform method (KHDTM)
Theorem 4. Consider the following nonlinear fractional Li'enard equation (3) with the initial conditions (4). The KHDTM gives the solution of (3) and (4) in the form of infinite series that rapidly converge to the exact solution as follows
\[ \begin{equation*}
u(x)=\sum\limits_{r=0}^{\infty }U(r),
\end{equation*} \]
where $U(r)$ is the differential transformed function of $u(x)$.
Proof. Consider the nonlinear fractional Li'enard equation (3) with the initial conditions (4).
Computing the Khalouta transform to equation (1) and the use of the linearity property of Khalouta transform, we get
\[ \begin{equation*}
\mathbb{KH}\bigl[ D^{\alpha }u(x)\bigr] +a\mathbb{KH}\bigl[ u(x)\bigr] +
b\mathbb{KH}\bigl[ u^{3}(x)\bigr] +c\mathbb{KH}\bigl[ u^{5}(x)\bigr] =0.
\end{equation*} \]
Using Theorem 2, this gives
\[ \begin{equation}
\mathbb{KH}\bigl[ u(x)\bigr] =u(0)+ \frac{\gamma \eta }{s} u'(0)-\frac{\gamma ^{\alpha }\eta ^{\alpha }}{s^{\alpha }}\mathbb{KH}\bigl[ au(x)+bu^{3}(x)+cu^{5}(x)\bigr].
\end{equation} \tag{14} \]
Substituting the initial conditions of equation (4) into equation (14), we get
\[ \begin{equation}
\mathbb{KH}\bigl[ u(x)\bigr] =u_{0}+ \frac{\gamma \eta }{s} u_{1}-\frac{\gamma ^{\alpha }\eta ^{\alpha }}{s^{\alpha }}\mathbb{KH}\bigl[au(x)+bu^{3}(x)+cu^{5}(x)\bigr].
\end{equation} \tag{15} \]
By inverting equation (15), we obtain
\[ \begin{equation}
u(x)=u_{0}+u_{1}x-\mathbb{KH}^{-1}\Bigl( \frac{\gamma ^{\alpha }\eta ^{\alpha }}{s^{\alpha }}\mathbb{KH}\bigl[ au(x)+bu^{3}(x)+cu^{5}(x)\bigr] \Bigr).
\end{equation} \tag{16} \]
Now, by applying the differential transforms method to equation (16), we get
\[ \begin{equation}
\begin{array}{rl}
U(0) &=u_{0}, \\
U(1) &=u_{1}x, \\
U(k+2) &=-\mathbb{KH}^{-1}\Bigl( \dfrac{\gamma ^{\alpha }\eta ^{\alpha }}{s^{\alpha }}\mathbb{KH}\bigl[ aU(k)+bA(k)+cB(k) \bigr] \Bigr) ,\quad k\geqslant 0,
\end{array}
\end{equation} \tag{17} \]
where $A(k)$ and $B(k)$ are the differential transform of the nonlinear terms $u^{3}(x)$ and $u^{5}(x),$ respectively.
The first few nonlinear terms are given by
\[ \begin{eqnarray*}
A(0) &=& U^{3}(0), \\
A(1) &=& 3U^{2}(0)U(1), \\
A(2) &=& 3U^{2}(0)U(2)+3U(0)U^{2}(1),
\end{eqnarray*} \]
and
\[ \begin{eqnarray*}
B(0) &=& U^{5}(0), \\
B(1) &=& 5U^{4}(0)U(1), \\
B(2) &=& 5U^{4}(0)U(2)+10U^{3}(0)U^{2}(1).
\end{eqnarray*} \]
Note that the recurrence formula (17) to the iterative terms of equations (3) and (4) is denoted KHDTM, and the $k^{\rm th}$ order solution for equations (3) and (4) is given as
\[ \begin{equation}
S_{k}=\sum\limits_{r=0}^{k}U(r).
\end{equation} \tag{18} \]
Thus, in the following theorem, we prove that the series solution (18) which is obtained by KHDTM converges to the exact solution if $k\to \infty $, that is,
\[ \begin{equation}
u(x)=\lim_{k\to \infty }S_{k}=\sum\limits_{r=0}^{\infty }U(r).
\end{equation} \tag{19} \]
$\square$
4. Convergence of the KHDTM
The main objective of this section is to study the convergence of the KHDTM, when it is used in equations (3) and (4).
Suppose that $\mathcal{B}= (C( \mathbb{R}^{+} ) , \Vert . \Vert )$ is the Banach space of all continuous functions on $\mathbb{R}^{+}$ with the norm
\[ \begin{equation*}
\Vert u(x) \Vert _{\mathcal{B}}=\underset{x\in \mathbb{R}^{+}}{\sup} \vert u(x) \vert .
\end{equation*} \]
Theorem 5. Let $U(r)$ and $u(x)$ be defined in Banach space $\mathcal{B}$, then the series solution $\sum\limits_{r=0}^{+\infty }U(r)$ stated in equation (19) converges uniquely to the exact solution $u(x)$ of the nonlinear fractional Li'enard equation (3), if there exists $0<\theta <1$ such that $\Vert U(r)\Vert \leqslant \theta \Vert U(r-1)\Vert$, $\forall r\in \mathbb{N\cup }\{ 0 \}$.
Proof. Let $S_{k}$ be the sequence of partial sums of the series given by the recurrence formula (17), as
\[ \begin{equation*}
S_{k}=\sum\limits_{r=0}^{k}U(r).
\end{equation*} \]
We need to show that $\{S_{k}\}_{k=0}^{\infty }$ is a Cauchy sequence in Banach space $\mathcal{B}$.
For this purpose, we consider
\[ \begin{equation}
\Vert S_{k+1}-S_{k} \Vert \leqslant \Vert U(r+1) \Vert \leqslant \theta \Vert U(r) \Vert
\leqslant \theta ^{2} \Vert U(r-1) \Vert \leqslant \cdots \leqslant \theta ^{n+1} \Vert U(0) \Vert.
\end{equation} \tag{20} \]
For every, $n$, $m\in \mathbb{N}$, $n\geqslant m$, by using (20) and triangle inequality successively, we have
\[ \begin{multline*}
\Vert S_{n}-S_{m} \Vert = \Vert S_{n}-S_{n-1}+S_{n-1}-S_{n-2}+ \cdots +S_{m+1}-S_{m} \Vert \leqslant {}
\\
{} \leqslant \Vert S_{n}-S_{n-1} \Vert + \Vert S_{n-1}-S_{n-2} \Vert + \cdots + \Vert S_{m+1}-S_{m} \Vert \leqslant {} \\
{} \leqslant \theta ^{n} \Vert U(0) \Vert +\theta ^{n-1} \Vert U(0) \Vert + \cdots +\theta ^{m+1} \Vert U(0)\Vert ={} \\
{}= \theta ^{m+1}\bigl( 1+\theta + \cdots +\theta ^{n-m-1}\bigr) \Vert U(0) \Vert \leqslant{} \\
{} \leqslant \theta ^{m+1}\Bigl( \frac{1-\theta ^{n-m}}{1-\theta }\Bigr) \Vert U(0) \Vert .
\end{multline*} \]
Since $0<\theta <1$, we have $1-\theta ^{n-m}<1$, then
\[ \begin{equation}
\Vert S_{n}-S_{m} \Vert \leqslant \frac{\theta ^{m+1}}{1-\theta} \Vert U(0) \Vert.
\end{equation} \tag{21} \]
So $ \Vert S_{n}-S_{m} \Vert \to 0$ as $n$, $m\to \infty $ as $U(0)$ is bounded.
Thus $\{S_{k}\}_{k=0}^{\infty }$ is a Cauchy sequence in Banach space and consequently it is converges to $u(x)\in \mathcal{B}$ such that
\[ \begin{equation*}
\lim_{k\to \infty }S_{k}=\sum\limits_{r=0}^{\infty }U(r)=u(x).
\end{equation*} \]
Now, suppose that the sequence $\{S_{k}\}_{k\geqslant 0}$ converges to two functions of $u_{1}(x)$, $u_{2}(x)\in \mathcal{B}$, that is,
\[ \begin{equation}
\lim_{k\to \infty }S_{k}=u_{1}(x)\quad \text{ and }\quad \lim_{k\to \infty }S_{k}=u_{2}(x).
\end{equation} \tag{22} \]
Using the triangle inequality with (22), we get
\[ \begin{equation*}
\left\Vert u_{1}(x)-u_{2}(x)\right\Vert \leqslant \left\Vert
u_{1}(x)-S_{k}\right\Vert +\left\Vert S_{k}-u_{2}(x)\right\Vert =0\text{ as }k\rightarrow \infty.
\end{equation*} \]
Hence we conclude that $u_{1}(x)=u_{2}(x)$.
The theorem is proved. $\square$
Theorem 6. The maximum absolute truncation error of the series solution given by the recurrence formula (17) is estimated to be
\[ \begin{equation*}
\biggl\Vert u(x)-\sum\limits_{l=0}^{N}U(l)\biggr\Vert \leqslant \frac{\theta ^{N+1}}{1-\theta } \Vert U(0) \Vert .
\end{equation*} \]
Proof. From Theorem 5 and (21), we have
\[ \begin{equation}
\Vert S_{k}-S_{N} \Vert \leqslant \frac{\theta ^{N+1}}{1-\theta} \Vert U(0) \Vert .
\end{equation} \tag{23} \]
But we assume that $S_{k}=\sum\limits_{l=0}^{k}U(l)$ and since $k\to +\infty $, we obtain $S_{k}\to u(x)$, so (23) can be rewritten as
\[ \begin{equation*}
\Vert u(x)-S_{N} \Vert =\biggl\Vert u(x)-\sum\limits_{l=0}^{N}U(l)\biggr\Vert \leqslant \frac{\theta ^{N+1}}{1-\theta } \Vert U(0) \Vert .
\end{equation*} \]
The theorem is proved. $\square$
Corollary 1. If the series $\sum\limits_{r=0}^{\infty }U(r)$ converges then it is an exact solution of the nonlinear fractional Li'enard equation (3) with the initial conditions (4).
5. Illustrative examples
This section provides two numerical examples of nonlinear fractional Li'enard equations to assess the applicability, accuracy and efficiency of the KHDTM. MATLAB R2016a is utilized to generate the numerical results.
Example 1. Consider the nonlinear fractional Li'enard equation
\[ \begin{equation}
D^{\alpha }u(x)-u(x)+4u^{3}(x)-3u^{5}(x)=0, \quad 1<\alpha \leqslant 2,\quad x>0,
\end{equation} \tag{24} \]
with the initial conditions
\[ \begin{equation}
u(0)= {1}/{\sqrt{2}},\quad u'(0)= {1}/{\sqrt{8}}.
\end{equation} \tag{25} \]
If $\alpha =2$, equation (24) becomes the classical Li'enard equation and its exact solution is of the form
\[ \begin{equation*}
u(x)=\sqrt{\frac{1+\tanh (x)}{2}}.
\end{equation*} \]
According the description of the KHDTM presented in Sect. 3, we have
\[ \begin{equation*}
u(x)=\sum\limits_{r=0}^{\infty }U(r),
\end{equation*} \]
and
\[ \begin{eqnarray*}
U(0) &=& \frac{1}{\sqrt{2}}, \\
U(1) &=& \frac{1}{\sqrt{8}}x, \\
U(2) &=& -\frac{1}{4\sqrt{2}}\frac{x^{\alpha }}{\Gamma (\alpha +1)},\\
U(3) &=& -\frac{5}{4\sqrt{8}}\frac{x^{\alpha +1}}{\Gamma (\alpha +2)}, \quad \dots
\end{eqnarray*} \]
and so on.
Hence, the approximate series solution of equations (24) and (25), is given as
\[ \begin{multline}
u(x) = U(0)+U(1)+U(2)+U(3)+ \cdots ={} \\
{} = \frac{1}{\sqrt{2}} \Bigl( 1+\frac{1}{2}x-\frac{1}{4}\frac{x^{\alpha }}{\Gamma (\alpha +1)}-\frac{5}{8}\frac{x^{\alpha +1}}{\Gamma (\alpha +2)}+ \cdots \Bigr).
\end{multline} \tag{26} \]
When $\alpha =2$, the equation (26) becomes
\[ \begin{equation*}
u(x) = \frac{1}{\sqrt{2}}\Bigl( 1+\frac{1}{2}x-\frac{1}{8}x^{2}-\frac{5}{48}x^{3}+ \cdots \Bigr) =\sqrt{\frac{1+\tanh (x)}{2}},
\end{equation*} \]
which is the same exact solution as obtained using MFTSM [22].
Example 2. Consider the nonlinear fractional Li'enard equation
\[ \begin{equation}
D^{\alpha }u(x)-u(x)+4u^{3}(x)+3u^{5}(x)=0,\quad 1<\alpha \leqslant 2,\quad x>0,
\end{equation} \tag{27} \]
with the initial conditions
\[ \begin{equation}
u(0)=\frac{1}{\sqrt{1+\sqrt{2}}},\quad u'(0)=0.
\end{equation} \tag{28} \]
If $\alpha =2$, equation (27) becomes the classical Li'enard equation and its exact solution is of the form
\[ \begin{equation*}
u(x)=\sqrt{\frac{\operatorname{\mathrm{sech}}^{2}(x)}{2\sqrt{2} + ( 1-\sqrt{2} ) \operatorname{\mathrm{sech}}^{2}(x)}}.
\end{equation*} \]
According the description of the KHDTM presented in Sect. 3, we have
\[ \begin{equation*}
u(x)=\sum\limits_{r=0}^{\infty }U(r),
\end{equation*} \]
and
\[ \begin{eqnarray*}
U(0) &=& \frac{1}{\sqrt{1+\sqrt{2}}}, \\
U(1) &=& 0, \\
U(2) &=& -\Bigl( \frac{4+2\sqrt{2}}{ ( 3+2\sqrt{2} ) \sqrt{1+\sqrt{2}}}\Bigr) \frac{x^{\alpha }}{\Gamma (\alpha +1)}, \\
U(3) &=& 0, \quad \dots
\end{eqnarray*} \]
and so on.
Hence, the approximate series solution of equations (27) and (28) is given as
\[ \begin{multline}
u(x) = U(0)+U(1)+U(2)+U(3)+ \cdots = {}\\
{}= \frac{1}{\sqrt{1+\sqrt{2}}} \Bigl( 1- \frac{4+2\sqrt{2}}{3+2\sqrt{2}} \frac{x^{\alpha }}{\Gamma (\alpha +1)}+ \cdots \Bigr) .
\end{multline} \tag{29} \]
When $\alpha =2$, the equation (29) becomes
\[ \begin{equation*}
u(x) = \frac{1}{\sqrt{1+\sqrt{2}}} \Bigl(1- \frac{2+\sqrt{2}}{3+2\sqrt{2}} x^{2}+ \cdots \Bigr) = \sqrt{\frac{\operatorname{\mathrm{sech}}^{2}(x)}{2\sqrt{2}+ ( 1-\sqrt{2} ) \operatorname{\mathrm{sech}}^{2}(x)}},
\end{equation*} \]
which is the same exact solution as obtained using MFTSM [22].
6. Numerical results and discussion
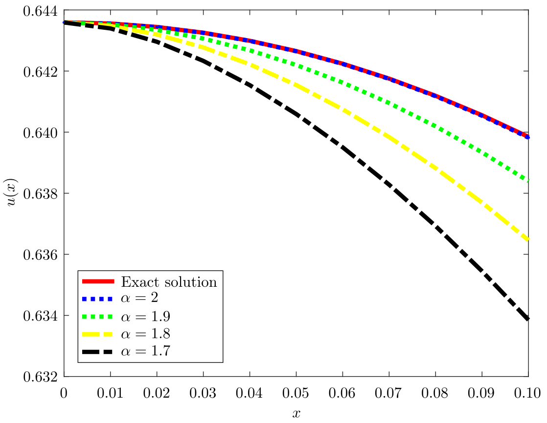
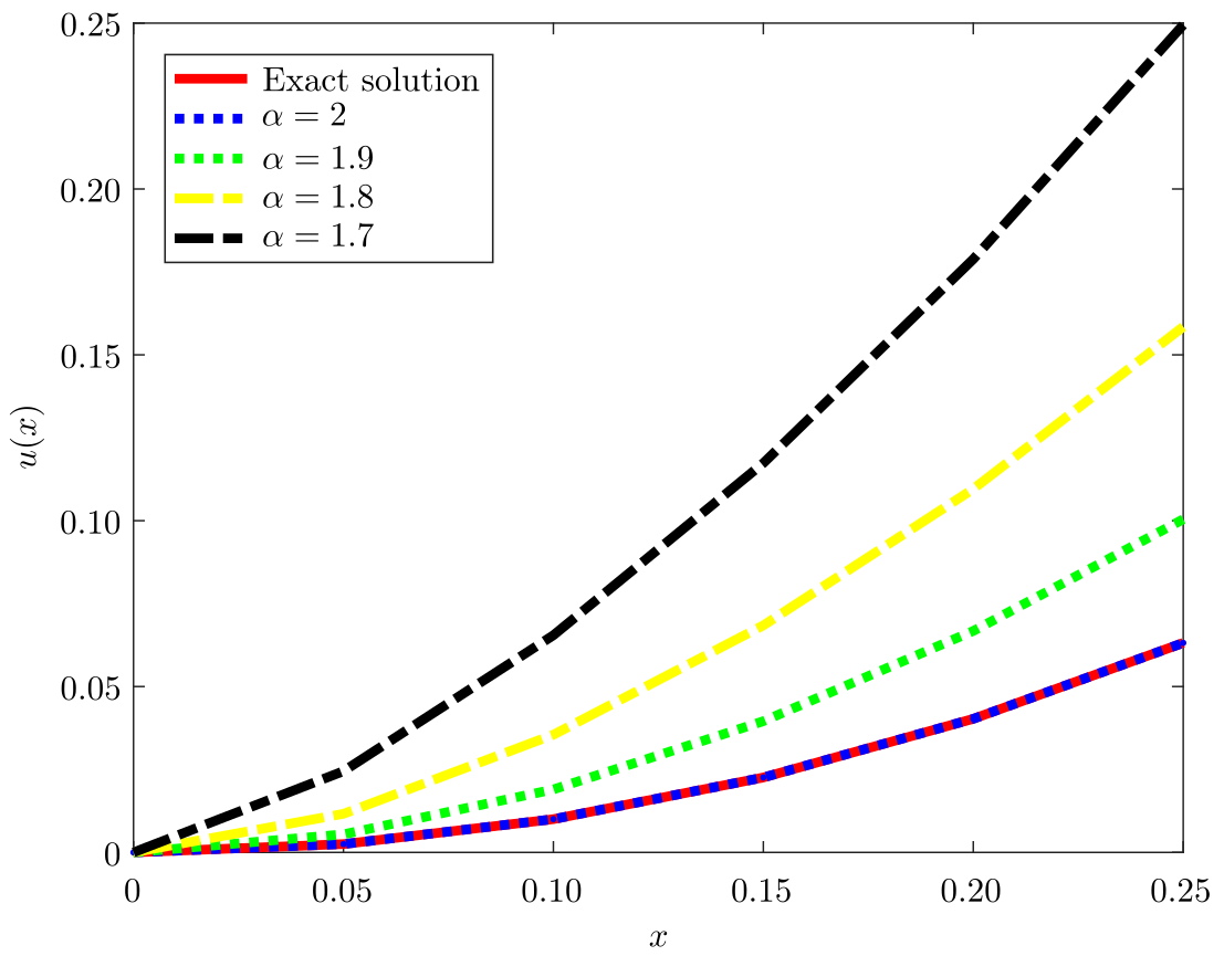
Figures 1 and 2 presents the graphs of the exact solutions and approximate solutions obtained by the KHDTM with different values of $\alpha$ $(\alpha=1.7, 1.8, 1.9, 2)$ for Examples 1 and 2, respectively. From these figures, we see that when $\alpha$ approaches to $1$, the solutions obtained by the proposed method approaches to the exact solutions. Therefore, the KHDTM produces a convergent series with few terms. If we increase the number of terms, we will get more accurate solutions. Tables 1 and 2 presents the numerical values of the approximate solutions by the KHDTM at $\alpha =1$ and exact solutions for Examples 1 and 2, respectively. From these tables, it can be seen that the solutions obtained by the proposed method are nearly identical to the exact solutions.
Figure 1. The graph of the exact solution and approximate solutions for Example 1
Figure 2. The graph of the exact solution and approximate solutions for Example 2
7. Conclusions
In this article, a new hybrid method called Khalouta differential transform method (KHDTM) has been proposed to find the solution of the nonlinear fractional Li'enard equation involving the Caputo fractional derivative. The method is described and illustrated by two numerical examples. The results were compared with those available in the literature. The obtained results reveal that the proposed method is a very effective and simple tool to solve this type of equations. Therefore, we can conclude that this method can be used to obtain fast convergent series solutions for the different types of nonlinear fractional differential equations.
Competing interests. We declare that there are no conflicts of interest regarding authorship and publication of this article.
Authors’ contributions and responsibilities. All authors participated in the development of the article’s concept and in writing the manuscript. The authors bear full responsibility for submitting the final manuscript for publication. The final version of the manuscript was approved by all authors.
Funding. The research was conducted without financial support.
Об авторах
Lina Chetioui
Université Ferhat Abbas de Sétif 1
Email: lina.chetioui@univ-setif.dz
https://www.mathnet.ru/person207699
Lab. of Fundamental Mathematics and Numerical; Dept. of Mathematics; Faculty of Sciences
Алжир, 19000 SétifAli Khalouta
Université Ferhat Abbas de Sétif 1
Автор, ответственный за переписку.
Email: nadjibkh@yahoo.fr
ORCID iD: 0000-0003-1370-3189
https://www.mathnet.ru/person207700
Lab. of Fundamental Mathematics and Numerical; Dept. of Mathematics; Faculty of Sciences
Алжир, 19000 SétifСписок литературы
- Iyiola O. S, Zaman F. D. A fractional diffusion equation model for cancer tumor, AIP Advances, 2014, vol. 4, no. 10, 107121. DOI: https://doi.org/10.1063/1.4898331.
- Khan H., Tunç C., Khan R.A., et al. Approximate analytical solutions of space-fractional telegraph equations by Sumudu Adomian decomposition method, Appl. Appl. Math, 2018, vol. 3, no. 2, pp. 781–802. https://digitalcommons.pvamu.edu/aam/vol13/iss2/12.
- Kilbas A. A., Srivastava H. M., Trujillo J. J. Theory and Applications of Fractional Differential Equations, North Holland Mathematics Studies, vol. 204. Amsterdam, Elsevier, 2006, xv+523 pp. DOI: https://doi.org/10.1016/s0304-0208(06)x8001-5. EDN: YZECAT.
- Monje C. A., Chen Y. Q., Vinagre B. M., et al. Fractional-order Systems and Controls: Fundamentals and Applications, Advances in Industrial Control. London, Springer, 2010, xxvi+414 pp. DOI: https://doi.org/10.1007/978-1-84996-335-0.
- Podlubny I. Fractional Differential Equations. An introduction to fractional derivatives, fractional differential equations, to methods of their solution and some of their applications, Mathematics in Science and Engineering, vol. 198. San Diego, CA, Academic Press, 1999, xxiv+340 pp.
- Pu Y. F. Fractional differential analysis for texture of digital image, J. Algorithms Comput. Technol., 2007, vol. 1, no. 3, pp. 357–380. DOI: https://doi.org/10.1260/174830107782424075.
- Sun H. G., Zhang Y., Baleanu D., et al. A new collection of real world applications of fractional calculus in science and engineering, Commun. Nonlinear Sci. Numer. Simul., 2018, vol. 64, pp. 213–231. DOI: https://doi.org/10.1016/j.cnsns.2018.04.019.
- Tarasov V. E., Tarasova V. V. Time-dependent fractional dynamics with memory in quantum and economic physics, Ann. Phys., 2017, vol. 383, pp. 579–599. DOI: https://doi.org/10.1016/j.aop.2017.05.017.
- Zhou Y., Peng L. Weak solution of the time-fractional Navier–Stokes equations and optimal control, Comput. Math. Appl., 2017, vol. 73, no. 6, pp. 1016–1027. DOI: https://doi.org/10.1016/j.camwa.2016.07.007.
- Guo P. The Adomian decomposition method for a type of fractional differential equations, J. Appl. Math. Phys., 2019, vol. 7, no. 10, pp. 2459–2466. DOI: https://doi.org/10.4236/jamp.2019.710166.
- El-Said A., Hammad D. A reliable treatment of homotopy perturbation method for the sine-Gordon equation of arbitrary (fractional) order, J. Fract. Calc. Appl., 2012, vol. 2, 1.
- Al-Zou’bi H., Zurigat H. Solving nonlinear fractional differential equations using multi-step homotopy analysis method, An. Univ. Craiova, Ser. Mat. Inf., 2014, vol. 41, no. 2, pp. 190–199.
- Khalouta A. On the solutions of nonlinear Caputo–Fabrizio fractional partial differential equations arising in applied mathematics, J. Prime Res. Math., 2022, vol. 18, no. 2, pp. 42–54.
- Khalouta A. A novel representation of numerical solution for fractional Bratu-type equation, Adv. Stud.: Euro-Tbil. Math. J., 2022, vol. 15, no. 1, pp. 93–109. DOI: https://doi.org/10.32513/asetmj/19322008207.
- Liénard A. Étude des oscillations entreténues, Revue Générale De L’Electricité, 1928, vol. 23, pp. 946–954.
- Guckenheimer J. Dynamics of the van der Pol equation, IEEE Trans. Circuits Syst., 1980, vol. 27, pp. 983–989. DOI: https://doi.org/10.1109/TCS.1980.1084738.
- Zhang Z. F., Ding T., Huang H. W., Dong Z. X. Qualitative Theory of Differential Equations. Peking, China, Science Press, 1985.
- Feng Z. On explicit exact solutions for the Liénard equation and its applications, Phys. Lett. A, 2002, vol. 293, no. 1–2, pp. 50–56. DOI: https://doi.org/10.1016/S0375-9601(01)00823-4.
- Khalouta A. A new exponential type kernel integral transform: Khalouta transform and its applications, Math. Montisnigri, 2023, vol. 57, pp. 5–23. DOI: https://doi.org/10.20948/mathmontis-2023-57-1.
- Cîrnu M., Frumosu F. Initial value problems for nonlinear differential equations solved by differential transform method, J. Inf. Syst. Oper. Manag., 2009, vol. 3, no. 2, pp. 102–107.
- Moon S., Bhosale A., Gajbhiye P., Lonare G. Solution of non-linear equations by using differential transform method, Int. J. Math. Stat. Inv., 2014, vol. 2, no. 3, pp. 78–82.
- Khalouta A. A new analytical series solution with convergence for non-linear fractional Liénard’s equations with Caputo fractional derivative, Kyungpook Math. J., 2022, vol. 62, pp. 583–593. DOI: https://doi.org/10.5666/KMJ.2022.62.3.583.





