The influence of surface plastic hardening on the geometric parameters of circular stress concentrators in plates
- Authors: Glebov V.E.1
- 
							Affiliations: 
							- Samara State Technical University
 
- Issue: Vol 27, No 3 (2023)
- Pages: 476-490
- Section: Mechanics of Solids
- URL: https://journals.eco-vector.com/1991-8615/article/view/607384
- DOI: https://doi.org/10.14498/vsgtu2019
- ID: 607384
Cite item
Full Text
Abstract
A methodology for studying the influence of strengthening treatment on the shape of stress concentrators in the form of through circular holes in plates after surface-plastic deformation has been developed.
Two model problems have been considered:
– determination of the geometric configuration of a circular stress concentrator cut in a rectangular plate subjected to prior surface-plastic deformation;
– determination of the geometric configuration of a circular stress concentrator in a circular cylindrical plate whose surface has undergone surface-plastic deformation.
Phenomenological methods for restoring residual stress fields and plastic deformations in plates after the strengthening procedure are presented. Boundary problems of reconstructing the stress-strain state are reduced to well-posed fictitious thermoelasticity problems. The adequacy of the proposed approaches has been illustrated through computational modeling for a rectangular plate made of EP742 alloy and a circular cylindrical plate made of EI698 alloy.
Profiles of the generatrix of the stress concentrators in plates have been obtained. In the case of prior surface-plastic deformation of the upper surface of a square hinged-supported plate with a thickness of 10 mm, the maximum displacement of the generatrix relative to the initial configuration was approximately 4 μm. It has been shown that with a decrease in plate thickness, the maximum displacement of the formation decreases. In the case of surface strengthening of the circular stress concentrator in the cylindrical plate, the maximum displacement of the stress concentrator formation was approximately 1.4 μm for plates supported by hinges and with rigid fixation of the side surface. It has been demonstrated that with a decrease in the radius of the hole, the displacement of the formation increases.
Full Text
Введение
Проблема увеличения ресурса производимых машиностроительными комплексами элементов конструкций не теряет своей актуальности и сегодня. Для решения данной проблемы разработано большое количество технологических методов и подходов, наиболее распространенным из которых является упрочнение поверхностным пластическим деформированием [1–7]. Применение этой технологии, с одной стороны, действительно позволяет достичь улучшения характеристик износостойкости, микротвердости, сопротивления усталости детали, а с другой стороны, естественным образом приводит к появлению остаточных технологических пластических деформаций и к короблению деталей — изменению их первоначальной геометрической конфигурации. Знание того, насколько существенным является влияние процедуры упрочнения на первоначальную геометрию детали, оказывается необходимым, поскольку допуски на вариации геометрических параметров поставляемых деталей регламентированы нормативной технической документацией. Поэтому целью данной работы является изучение напряженно-деформированного состояния (НДС) после процедуры поверхностного пластического упрочнения прямоугольных и круговых в плане пластин с круговым сквозным концентратором напряжений.
Главной возникающей задачей является реконструкция НДС образцов после упрочнения, поскольку эта информация используется в качестве начальных данных, например, для краевых задач ползучести упрочненных элементов конструкций [8, 9] либо в критериальных зависимостях для оценки предела их выносливости [1, 2, 4–7, 10–12].
Аналитический обзор литературы в данном направлении показал, что существует несколько подходов к ее решению. Большой группой исследователей применяются экспериментальные подходы [10, 12–14], основанные на механических разрушающих методах и позволяющие определить максимум две компоненты тензора остаточных напряжений. Другой подход связан с непосредственным моделированием процесса упрочнения [15–17], недостатком которого является невозможность полного учета всех стохастических факторов, влияющих на процесс упрочнения. Применительно к целям настоящего исследования эффективным представляется третий подход [11, 18–22], основанный на модификации метода расчета по первоначальным деформациям, так как он, во-первых, лишен недостатков указанных выше методов, а во-вторых, позволяет свести обратную краевую задачу реконструкции остаточных напряжений и пластических деформаций к корректной задаче фиктивной термоупругости, имеющей единственное решение. Данный подход используется для решения следующих задач:
- определение геометрической конфигурации кругового концентратора напряжения, вырезанного в прямоугольной пластине, подвергшейся опережающему поверхностно-пластическому деформированию1;
- определение геометрической конфигурации кругового концентратора напряжения в круговой цилиндрической пластине, поверхность которого подверглась поверхностно-пластическому деформированию.
1. Постановка и решение задачи A
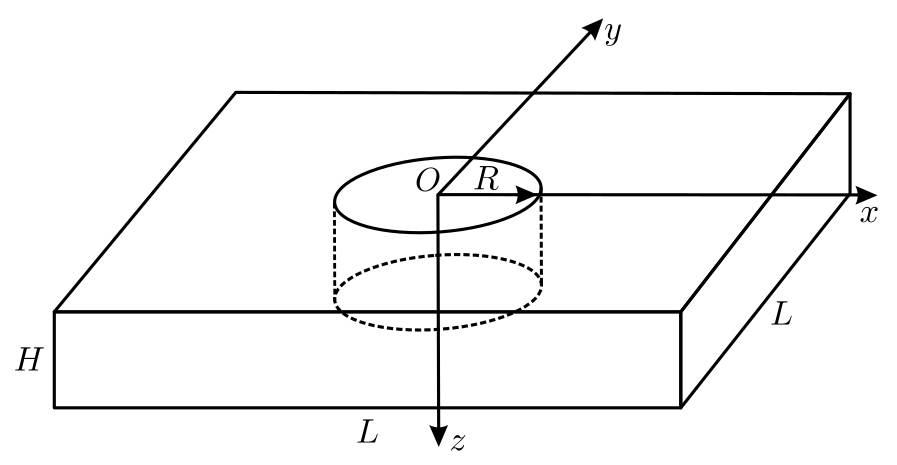
В декартовой системе координат $Oxyz$ рассматривается прямоугольная пластина толщиной $H$, в которой вырезано сквозное круговое отверстие (концентратор напряжений) радиусом $R$ (рис. 1). Перед вырезанием концентратора согласно методике опережающего поверхностно-пластического деформирования верхняя грань пластины ($z=0$) подвергается ультразвуковому (механическому) упрочнению. Вырезание концентратора напряжений (удаление части материала пластины) приводит к перераспределению напряжений и вызывает деформационные процессы, в результате которых происходит изменение геометрической конфигурации исходного кругового концентратора напряжений.
Рис. 1. Схематическое изображение прямоугольной пластины со сквозным круговым отверстием (концентратором напряжений)
[Figure 1. Schematic representation of a rectangular plate with a through circular hole (stress concentrator)]
1.1. Реконструкция полей остаточных напряжений и пластических деформаций в прямоугольной пластине (аналитическое решение)
В соответствии с технологией опережающего деформирования на первом этапе упрочнению подвергается верхняя грань пластины без концентратора напряжений. Поэтому сначала нужно выполнить реконструкцию НДС прямоугольной пластины после ее упрочнения. Эта задача решена2 в [19] в предположении, что все компоненты тензора остаточных напряжений есть функции координаты $z$, с привлечением гипотезы плоских сечений и анизотропии упрочнения. При этом получены следующие соотношения, в которых все выражается через компоненту остаточных напряжений $\sigma_x$:
\[ \begin{gather}
\sigma_y=\frac{1+\alpha \nu}{\alpha +\nu}\sigma_x, \quad q_x=-\frac{\alpha(1-\nu^2)}{E(\alpha+\nu)}\sigma_x,\\ q_y=-\frac{1-\nu^2}{E(\alpha+\nu)}\sigma_x, \quad q_z=\frac{(1+\alpha)(1-\nu^2)}{E(\alpha+\nu)}\sigma_x,
\end{gather} \tag{1} \]
где $\sigma_x=\sigma_x(z)$, $\sigma_y=\sigma_y(z)$ — компоненты тензора остаточных напряжений; $q_x=q_x(z)$, $q_y=q_y(z)$, $q_z=q_z(z)$ — компоненты тензора остаточных пластических деформаций; $E$ — модуль Юнга; $\nu$ — коэффициент Пуассона; $\alpha$ — феноменологический параметр, характеризующий анизотропию технологии упрочнения [8]. Остальные компоненты тензоров остаточных напряжений и пластических деформаций полагаются равными нулю, поскольку их значения (по модулю) на несколько порядков меньше, чем у представленных в (1) [23].
Таким образом, для реконструкции НДС в прямоугольной пластине после упрочнения ее верхней грани необходимо иметь непрерывное аналитическое выражение для компоненты $\sigma_x=\sigma_x(z)$, $0\leq z \leq H$.
В дальнейших расчетах использовались экспериментальные данные в области сжатия для компоненты $\sigma_x=\sigma_x(z)$ после ультразвукового упрочнения балки прямоугольного сечения из сплава ЭП742, соответствующие первому режиму упрочнения из четырех представленных в работе [8], которые представлены точками на рис. 2. Экстраполяция экспериментальных данных для компоненты $\sigma_x$ выполнена с использованием зависимости
\[ \begin{equation}
\sigma_x(z)=\sigma_0-\sigma_1 \exp \Bigl (- \frac{(z-z^*)^2}{b^2} \Bigr ),
\quad 0 \leqslant z \leqslant H,
\end{equation} \tag{2} \]
где $z^*$ определяется из условия $\sigma_x(z^*)=\min \limits _{0\leq z \leq H} \sigma_x(z)$, а $\sigma_0$, $\sigma_1$ и $b$ — параметры, методика определения которых с использованием условия самоуравновешенности эпюры остаточных напряжений изложена в [19].
Для проведения модельных расчетов по влиянию геометрических параметров пластины на изменение геометрии кругового концентратора напряжений использовались следующие значения: $H=\{10, 8, 6, 4\}$ мм, $L=100$ мм. Соответствующие параметры полученных аппроксимаций (2) приведены в таблице. Отклонения полученных аппроксимаций от экспериментальных данных в среднеквадратической норме не превысили 5.75%.
| Thickness, $H$, mm | $\sigma_0$, MPa | $\sigma_1$ | $b$, mm | 
| 10 | 13.38 | 1100.98 | 0.0928 | 
| 8 | 16.84 | 1104.64 | 0.0933 | 
| 6 | 22.65 | 1110.05 | 0.0938 | 
| 4 | 34.61 | 1120.81 | 0.0949 | 
Отметим, что в  случае ультразвукового упрочнения параметр $\alpha = 1$ [8] и формулы (1) принимают вид
\[\begin{equation}
    \sigma_y=\sigma_x, \quad q_x=q_y=-\frac{1-\nu}{E}\sigma_x, \quad q_z=\frac{2(1-\nu)}{E}\sigma_x.
\end{equation} \tag{3} \]
В модельных расчетах использовались $E=221$ ГПа, $\nu=1/3$, соответствующие сплаву ЭП742.
1.2. Реконструкция НДС в прямоугольной пластине (конечно-элементное решение фиктивной термоупругой задачи)
В данном пункте описывается получение НДС в конечно-элементной модели прямоугольной пластины методом первоначальных деформаций [11, 18–20] на основе аналитического решения (см. п. 1.1). В этом случае остаточные пластические деформации $q_i=q_i(z)$, $i=x,y,z$, задаваемые соотношениями (3), моделируются фиктивными температурными:
\[ \begin{equation}
    q_i(z)=\alpha^T_i(z)(T(z)-T_0),\quad i=x,y,z, \; 0 \leqslant z \leqslant H,
\end{equation} \tag{4} \]
где $T(z)$ — фиктивный закон распределения температуры; $T_0$ — начальное значение температуры; $\alpha^T_i(z)=\alpha_i(T(z))$ — коэффициенты температурного расширения.
Используя известные решения $q_i=q_i(z)$, $i=x, y, z$, полученные в п. 1.1, из соотношений (4) при наличии закона распределения температуры3 по толщине пластины можно получить выражения для коэффициентов температурного расширения и таким образом свести исходную задачу к фиктивной термоупругой. После решения температурной задачи из соотношений (4) определяются законы $\alpha^T_i(z)$, которые затем вместе с упругими константами используются как исходные данные для термоупругой задачи.
В итоге строится конечно-элементная модель с заданными температурными деформациями и методом конечных элементов решается задача фиктивной термоупругости. Важно отметить, что для учета больших градиентов распределений остаточных напряжений $\sigma_x=\sigma_x(z)$ и $\sigma_y=\sigma_y(z)$ требуется довольно мелкая сетка в области, близкой к упрочняемой грани.
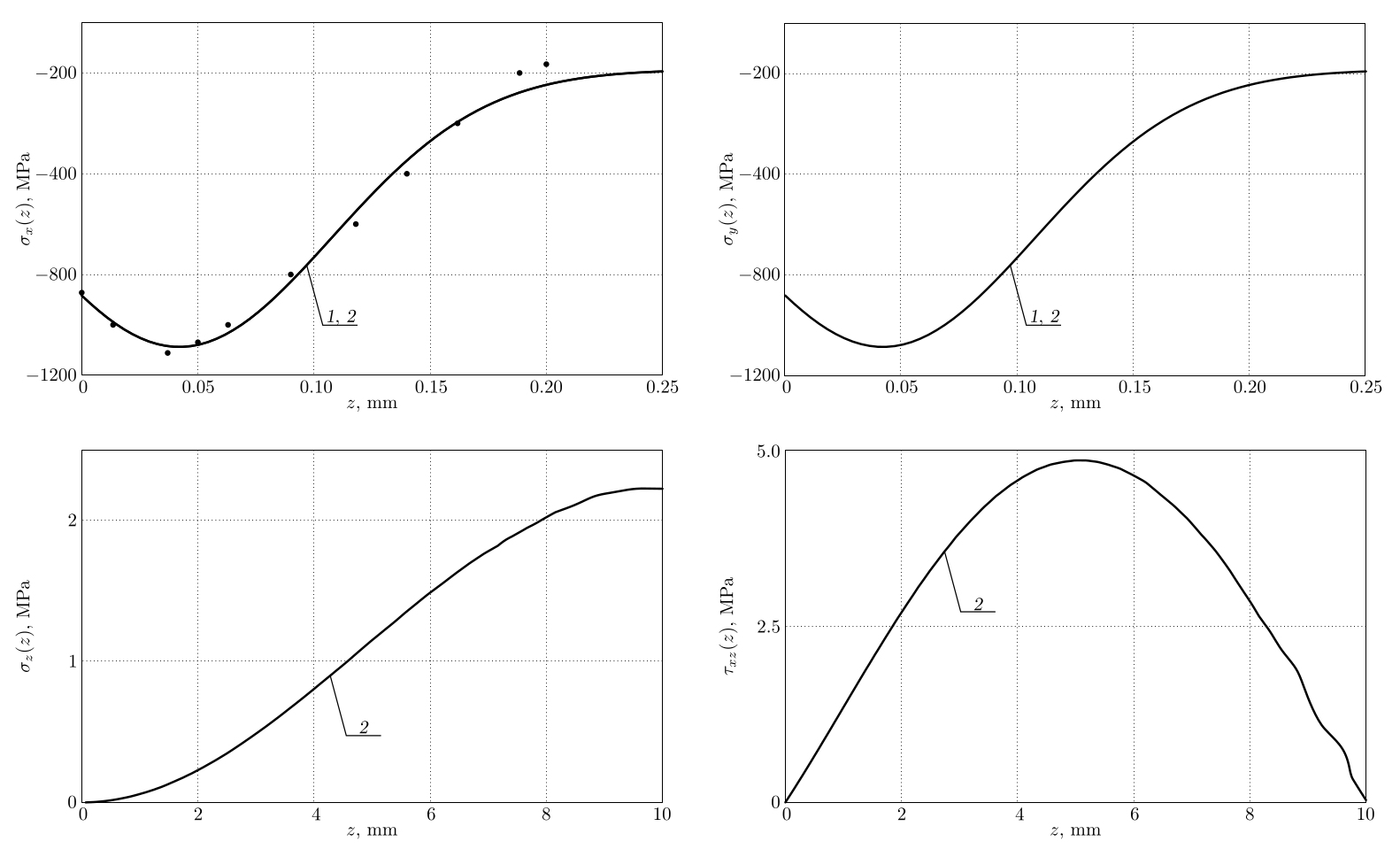
Выполнена проверка адекватности конечно-элементного расчета аналитическому решению поставленной задачи для упрочненной пластины. На рис. 2 приведены распределения компонент остаточных напряжений, вычисленных по формулам (3) и рассчитанных методом конечных элементов для шарнирно опертой по кромкам нижней грани пластины.
Рис. 2. Компоненты остаточных напряжений в прямоугольной пластине: маркеры — экспериментальные данные [8]; 1 — расчет по аппроксимации (2); 2 — решение фиктивной термоупругой задачи
[Figure 2. Components of residual stresses in a rectangular plate: markers — experimental data [8];  1 — calculation by approximation (2); 2 —  solution of a fictitious thermoelastic problem]
Для компоненты $\sigma_x=\sigma_x(z)$ наблюдается соответствие расчетных данных на основе решения краевой задачи фиктивной термоупругости методом конечных элементов с экспериментальными данными и с результатами аппроксимации (2), для компоненты $\sigma_y=\sigma_y(z)$ — с зависимостью (2). При этом расчетные данные по МКЭ и по аппроксимации (2) для указанных компонент практически не различимы.
В п. 1.1 в аналитическом решении полагалось, что компоненты $\sigma_z$, $\tau_{xz}$ равны нулю. В полученном конечно-элементном решении они не нулевые. Это связано с граничными условиями и особенностями метода конечных элементов, но их максимальные значения на три–четыре порядка меньше, чем у компонент $\sigma_x$ и $\sigma_y$ (по модулю). Поэтому принятая гипотеза относительно компонент $\sigma_z$ и $\tau_{xz}$ оправдана и можно сделать вывод о несущественности влияния этих компонент на деформированное состояние пластины.
1.3. Влияние наведенных полей остаточных напряжений на профиль кругового концентратора напряжений
На следующем этапе из конечно-элементного разбиения пластины удалялись конечные элементы, соответствующие круговому концентратору напряжений радиусом 10 мм. В оставшихся конечных элементах сохранялись температурные деформации, соответствующие пластине без концентратора напряжений. Получившаяся в результате этих действий конечно-элементная схема с заданными начальными деформациями разрешалась в рамках фиктивной термоупругости.
На рис. 3 приведены профили концентраторов напряжений, полученные в результате конечно-элементного расчета, для разных значений $H$ толщины пластины в сечении плоскостью $xOz$ (см. рис. 1). Здесь $\delta = x - R$ — величина смещения расчетного профиля концентратора от его первоначально прямолинейной образующей (линия $\delta=0$ на рис. 3). Из представленных результатов видно, что с уменьшением толщины пластины величина смещения первоначально прямой образующей уменьшается. Максимальное смещение образующей в проведенных расчетах не превысило 4.5 мкм.
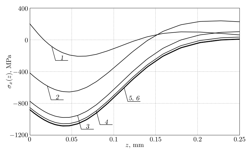
На рис. 4 приведены эпюры величины $\sigma_x=\sigma_x(z)$ для различных значений расстояний $\Delta = (x^2+y^2)^{1/2}-R$ от границы концентратора напряжений в сечении плоскостью $xOz$ ($y=0$). Из приведенных эпюр следует, что вблизи границы концентратора происходит существенное снижение (по модулю) остаточных напряжений. Компонента $\sigma_x=\sigma_x(z)$ асимптотически приближается к соответствующему распределению для пластины без концентратора напряжений и уже для значения $\Delta=30$ мм оба распределения остаточных напряжений (кривые 5, 6 на рис. 4) практически совпадают. Этот факт также может служить одним из элементов проверки сходимости конечно-элементного решения поставленной задачи.
Рис. 3. Расчетные профили круговых концентраторов напряжений для различных значений толщины пластины \(H\): 1 — 4 мм; 2 — 6 мм; 3 — 8 мм; 4 — 10 мм
[Figure 3. Calculated profiles of a circular stress concentrators for various values of plate thickness $H$: 1 — 4 mm; 2 — 6 mm; 3 — 8 mm; 4 — 10 mm]
Рис. 4. Эпюры величины \(\sigma_x=\sigma_x(z)\) для различных значений расстояний \(\Delta\) от границы концентратора напряжений: 1 — 0.1 мм; 2 — 0.5 мм; 
3 — 5 мм; 4 — 20 мм; 5 — 30 мм; 6 — для пластины без концентратора напряжений
[Figure 4. Diagrams of the value $\sigma_x=\sigma_x(z)$ for various values of distances $\Delta$ from the boundary of the stress concentrator: 1 — 0.1 mm; 2 — 0.5 mm; 3 — 5 mm; 4 — 20 mm; 5 — 30 mm; 6 — for a plate without the stress concentrator]
Рис. 5. Схематическое изображение круговой цилиндрической пластины со сквозным круговым отверстием (концентратором напряжений)
[Figure 5. Schematic representation of a circular cylindrical plate with  a through circular hole (stress concentrator)]
2. Постановка и решение задачи B
В цилиндрической системе координат $Or\theta z$ рассматривается круговая цилиндрическая пластина с радиусом $R_1$ и толщиной $H$ со сквозным круговым концентратором напряжений радиусом $R$ (рис. 5). Внутренняя поверхность ($r=R$) концентратора напряжений подвергается поверхностно-пластическому деформированию. Требуется определить изменение геометрических параметров внутренней поверхности концентратора, которое возникает из-за перераспределения остаточных напряжений.
2.1. Реконструкция НДС в круговой цилиндрической пластине после упрочнения внутренней поверхности концентратора (аналитическое решение)
Пусть $\sigma_r$, $\sigma_\theta $, $\sigma_z $ — радиальная, окружная и осевая компоненты тензора остаточных напряжений,  а $q_r$, $q_\theta$, $q_z$ — соответствующие им компоненты тензора пластических деформаций, возникающие после процедуры поверхностного упрочнения поверхности концентратора. В работе [9] разработана методика4,позволяющая при наличии экспериментально полученной компоненты $\sigma_\theta =\sigma_\theta (r)$ провести реконструкцию НДС в круговой цилиндрической пластине после процедуры изотропного5 упрочнения поверхности концентратора по следующим формулам ($R \leq r \leq R_1$):
\[ \begin{equation} \sigma_r(r)=\frac{1}{r}\int _R ^r \sigma_\theta(t) dt, \end{equation} \tag{5} \]
\[ \begin{equation} q_\theta(r)= - \frac{1-2\nu}{E(1+\nu)r^\frac{3}{1+\nu}} \int _r ^{+\infty} t^\frac{2-\nu}{1+\nu} \bigl[\sigma_r(t)+2\sigma_\theta(t)\bigr]dt - \frac{1-\nu}{E} \sigma_\theta(r) + \frac{\nu}{E}\sigma_r(r), \end{equation} \tag{6} \]
\[ \begin{equation} q_\theta (r)=q_z(r)=- {q_r(r)}/{2}, \end{equation} \tag{7} \]
\[ \begin{equation} \sigma_z(r)=-Eq_z(r) + \nu \bigl(\sigma_r(r)+\sigma_\theta(r)\bigr). \end{equation} \tag{8} \]
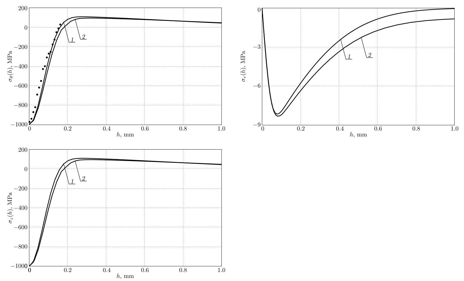
В дальнейших расчетах использовались экспериментальные данные в области сжатия для компоненты $\sigma_\theta=\sigma_\theta(r)$, приведенные в работе [9] для упрочненного цилиндрического образца из сплава ЭИ6986 радиусом 3.76 мм и представленные на рис. 6 маркерами (точки), где $h=r-R$ — глубина упрочненного слоя. Считаем эту эпюру (в области сжатия) модельной и для рассматриваемой задачи. Экстраполяция экспериментальных данных  для всей области $R \leq r \leq R_1$ ($R=10$ мм, $R_1=50$ мм) компоненты $\sigma_\theta$ выполнена с использованием зависимости
\[ \begin{equation}
\sigma_\theta(r)=\sigma_0\exp\Bigl( -\frac{(R-r)^2}{l^2}\Bigr) - \sigma_1 \exp \Bigl(-\frac{(R-r)^2}{b^2} \Bigr),
\end{equation} \tag{9} \]
где $\sigma_0$, $\sigma_1$ и $b$, $l$ — параметры, методика определения которых с использованием условия самоуравновешенности эпюры остаточных напряжений изложена в [9]. Для используемых экспериментальных данных (см. маркеры на рис. 6)  получены следующие параметры аппроксимации (9): $\sigma_0=118.9$ МПа, $\sigma_1=1118.9$ МПа, $b=0.106$ мм, $l=1$ мм. Результат расчета компоненты $\sigma_\theta$ по (9) показан на рис. 6 сплошной линией 1. Остальные компоненты остаточных напряжений и пластических деформаций определялись по $\sigma_\theta=\sigma_\theta(r)$ на основании (5)–(8), но в качестве верхнего предела интегрирования в (6) использовалась величина $R_1$.
2.2. Влияние наведенных полей остаточных напряжений на профиль кругового концентратора напряжений
Методика определения влияния наведенных полей остаточных напряжений на профиль кругового концентратора напряжений в круглой цилиндрической пластине аналогична соответствующей методике для прямоугольной пластины (см. п. 1.3): сначала по формулам (5)–(8) с применением аппроксимации (9) выполняется реконструкция остаточных напряжений и пластических деформаций. Далее остаточные пластические деформации моделируются фиктивными температурными с помощью соотношений
\begin{equation*}
q_i(r)=\alpha^T_i(r)(T(r)-T_0),\quad i=r,\theta,z, \; R \leqslant r \leqslant R_1.
\end{equation*}
Отметим, что здесь волевым решением был выбран линейный закон распределения температуры:
\begin{equation*}
    T(r)=ar+b, \quad T(R)=100°C, \quad T(R_1)=20°C.
\end{equation*}
Затем методом конечных элементов решается осесимметричная задача фиктивной термоупругости, при этом в области упрочнения создается более мелкая расчетная сетка.
Рис. 6. Компоненты остаточных напряжений в сечении \(z=H/2\) круглой цилиндрической пластины после упрочнения поверхности кругового концентратора напряжений: маркеры—экспериментальные данные [9]; 1 — расчет по формулам (5)–(9); 2 — решение фиктивной термоупругой задачи
[Figure 6. Components of residual stresses in the section $z = H/2$ of a round cylindrical plate after hardening the surface of a circular stress concentrator: markers—experimental data [9]; 1—calculation by formulae (5)–(9); 2—solution of a fictitious thermoelastic problem]
Для проведения модельных расчетов по влиянию геометрических параметров пластины на изменение геометрии кругового концентратора напряжений использовались следующие значения: $R_1=\{5; 7.5; 10\}$ мм, $R=10$ мм, $H=50$ мм. Вычисления проводились при трех вариантах закрепления: шарнирное опирание нижней грани пластины, шарнирное опирание верхней и нижней граней плиты, жесткая заделка боковой поверхности пластины.
Рис. 7. Профиль образующей концентратора напряжений после упрочнения: \(R=10\) мм (1), \(R=7.5\) мм (2), \(R=5\) мм (3); a — при шарнирном опирании нижней грани пластины, b — при жесткой заделке боковой поверхности пластины
[Figure 7. Profile of the generatrix of the stress concentrator after hardening: $R=10$ mm (1), $R=7.5$ mm (2), $R=5$ mm (3); a—when hinged support of the lower surface of the plate, b—when rigidly fixed to the side surface of the plate]
На рис. 6 для расчетного случая $R_1=50$ мм, $R=10$ мм и $H=50$ мм приведены главные компоненты  остаточных напряжений в сечении $z=H/2$ круглой цилиндрической пластины после упрочнения поверхности кругового концентратора напряжений, полученные по формулам (5)–(9) (линии 1) и решением фиктивной термоупругой задачи методом конечных элементов (линии 2). Согласно представленным данным эпюры компонент, полученных этими методами, за исключением компоненты $\sigma_r(r)$, практически совпадают. Для компоненты $\sigma_r(r)$ отклонение решения фиктивной термоупругой задачи от решения, 
полученного по  формулам (5)–(9), составляет $\Delta=\max\limits_{r \in [R_1,R]} |\sigma_r^\text{(1)}(r)-\sigma_r^\text{(2)}(r)| < 1$ МПа, где $\sigma_r^\text{(1)}(r)$ соответствует  решению по  формулам (5)–(9), $\sigma_r^\text{(2)}(r)$ — решению фиктивной термоупругой задачи методом конечных элементов. Отметим, что значения величины $\sigma_r(r)$ в области сжатия меньше (по модулю) значений величин $\sigma_\theta(r)$ и $\sigma_z(r)$ на два-три порядка, поэтому компонента $\sigma_r(r)$ не оказывает существенного влияния на деформированное состояние цилиндрической пластины с круговым концентратором напряжений. Полученные данные демонстрируют хорошее соответствие решений, полученных по обеим методикам.
На рис. 7 приведены графики профиля образующей кругового концентратора после упрочнения его поверхности для различных радиусов концентратора и для различных вариантов закрепления образца, здесь $f=r-R$, $0\leqslant z \leqslant H$. Видно, что изменение первоначально прямолинейной образующей концентратора увеличивается с уменьшением радиуса концентратора напряжений и для проведенных модельных расчетов является незначительным.
Выводы
В настоящей работе разработана методика, позволяющая изучить влияние упрочняющей обработки на геометрическую конфигурацию концентраторов напряжений в виде сквозных круговых отверстий в пластинах после процедуры поверхностно-пластического деформирования.
Для рассмотренных модельных задач получены следующие результаты. В случае опережающего поверхностного пластического деформирования верхней грани квадратной шарнирно опертой пластины толщиной 10 мм максимальное смещение образующей относительно первоначальной конфигурации составило около 4 мкм. Показано, что с уменьшением толщины пластины максимальное смещение образующей убывает. В случае упрочнения поверхности кругового концентратора напряжений цилиндрической пластины максимальное смещение образующей концентратора напряжений составило около 1.4 мкм для пластин, опертых шарнирно и с жесткой заделкой боковой грани. Показано, что с уменьшением радиуса отверстия смещение образующей возрастает.
Конкурирующие интересы. Конкурирующих интересов не имею. 
Авторская ответственность. Я несу полную ответственность за предоставление окончательной версии рукописи в печать. Окончательная версия рукописи мною одобрена. 
Финансирование. Исследование выполнено за счет гранта Российского научного фонда № 23–29–00434, https://rscf.ru/project/23-29-00434/.
1Под опережающим поверхностно-пластическим деформированием какого-либо образца понимается процесс упрочнения гладкого образца методами поверхностно-пластического деформирования c последующим нанесением на него концентратора напряжений.
2Здесь следует отметить, что полученное решение будет справедливо лишь для центральной области пластины, именно для той, где будет вырезаться концентратор напряжений.
3Отметим, что фиктивный закон распределения температуры $T(z)$ в соотношениях (4) можно задавать произвольным, не заботясь о его реализуемости в задаче теплопроводности, поскольку вариативные исследования, выполненные в [19, 20], показали, что он не влияет на конечное решение для остаточных напряжений в фиктивной термоупругой задаче.
4Данная методика предполагает, что при упрочнении поверхности концентратора не возникают вторичные пластические деформации, а недиагональные компоненты тензоров остаточных напряжений и пластических деформаций малы (в сравнении с диагональными). Также привлекается гипотеза о наведении пластических деформаций на цилиндрической поверхности как на полупространстве.
5В предположении $q_\theta(r)=q_z(r)$.
6Сплаву ЭИ698 соответствуют следующие упругие константы: $E = 200$ ГПа, $\nu = 1/3$.
About the authors
Victor E. Glebov
Samara State Technical University
							Author for correspondence.
							Email: gve5770200@mail.ru
				                	ORCID iD: 0000-0003-4841-9786
				                	SPIN-code: 8660-9105
							Scopus Author ID: 57216920036
							ResearcherId: AAJ-2941-2021
				                								
Postgraduate Student, Assistant, Dept. of Applied Mathematics & Computer Science
Russian Federation, 443100, Samara, Molodogvardeyskaya st., 244References
- Pavlov V. F., Bukaty A. S., Semyonova O. Yu. Forecasting of the endurance limit of surfacehardened parts with stress concentrators, Vestnik Mashinostroeniya, 2019, no. 1, pp. 43–53 (In Russian). EDN: VTAEPK.
- Altenberger I., Nalla R. K., Sano Y., et al. On the effect of deep-rolling and laser-peening on the stress-controlled low- and high-cycle fatigue behavior of Ti–6Al–4V at elevated temperatures up to 550 °C, Int. J. Fatigue, 2012, vol. 44, pp. 292–302. DOI: https://doi.org/10.1016/j.ijfatigue.2012.03.008.
- Brockman R. A., Braisted W. A., Olson S. E., et al. Prediction and characterization of residual stresses from laser shock peening, Int. J. Fatigue, 2012, vol. 36, no. 1, pp. 96–108. DOI: https://doi.org/10.1016/j.ijfatigue.2011.08.011.
- Dai K., Shaw L. Analysis of fatigue resistance improvements via surface severe plastic deformation, Int. J. Fatigue, 2008, vol. 30, no. 8, pp. 1398–1408. DOI: https://doi.org/10.1016/j.ijfatigue.2007.10.010.
- James M. N., Hughes D. J., Chen Z., et all. Residual stresses and fatigue performance, Eng. Fail. Anal., 2007, vol. 14, no. 2, pp. 384–395. DOI: https://doi.org/10.1016/j.engfailanal.2006.02.011.
- Majzoobi G. H., Azadikhah K., Nemati J. The effects of deep rolling and shot peening on fretting fatigue resistance of Aluminum-7075-T6, Mater. Sci. Eng. A, 2009, vol. 516, no. 1/2, pp. 235–247. DOI: https://doi.org/10.1016/j.msea.2009.03.020.
- Soady K. A. Life assessment methodologies incorporating shot peening process effects: mechanistic consideration of residual stresses and strain hardening. 1. Effect of shot peening on fatigue resistance, Mater. Sci. Technol., 2013, vol. 29, no. 6, pp. 637-651. DOI: https://doi.org/10.1179/1743284713Y.0000000222.
- Radchenko V. P., Saushkin M. N., Bochkova T. I. Mathematical modeling and experimental study of forming and relaxation of the residual stresses in plane samples made of EP742 alloy after the ultrasonic hardening under the hightemperature creep conditions, PNRPU Mechanics Bulletin, 2016, no. 1, pp. 93–112 (In Russian). EDN: VQTAHL. DOI: https://doi.org/10.15593/perm.mech/2016.1.07.
- Radchenko V. P., Saushkin M. N. Polzuchest’ i relaksatsiia ostatochnykh napriazhenii v uprochnennykh konstruktsiiakh [Creep and Relaxation of Residual Stresses in Hardened Structures]. Moscow, Mashinostroenie-1, 2005, 226 pp (In Russian). EDN: RXLJLN.
- Birger I. A. Ostatochnye napryazheniya [Residual stresses]. Moscow, Mashgiz, 1963, 232 pp. (In Russian)
- Pavlov V. F., Stolyarov A. K., Kirpichev V. A., Vakulyuk V. S. Raschet ostatochnykh napriazhenii v detaliakh s kontsentratorami napriazhenii po pervonachal’nym deformatsiiam [Calculation of Residual Stresses in Parts with Stress Concentrators by Initial Deformations]. Samara, Samara Scientific Center, Russian Academy of Sciences, 2008, 124 pp. (In Russian)
- Pavlov V. F., Kirpichev V. A., Vakuluk V. S. Ostatochnye napryazheniya i soprotivlenie ustalosti uprochnennykh detaley s kontsentratorami napryazheniy [Residual Stresses and Fatigue Resistance of Hardened Parts with Stress Concentrators]. Samara, Samara Scientific Center, Russian Academy of Sciences, 2012, 125 pp. (In Russian)
- Ivanov S. I. On determination of residual stresses in a cylinder by the method of rings and strips, Ostatochnye napriazheniia [Residual Stresses], 53. Kuibyshev, Kuibyshev Aviation Institute, 1971, pp. 32–42 (In Russian).
- Ivanov S. I. The study of residual tangential stresses in a cylindrical part by the ring method, Ostatochnye napriazheniia [Residual Stresses], 53. Kuibyshev, Kuibyshev Aviation Institute, 1971, pp. 107–115 (In Russian).
- Gallitelli D., Boyer V., Gelineau M., et al. Simulation of shot peening: From process parameters to residual stress fields in a structure, Comptes Rendus Mécanique, 2016, vol. 344, no. 4–5, pp. 355–374. DOI: https://doi.org/10.1016/j.crme.2016.02.006.
- Lechun X., Chengxi W., Liqiang W., et al. Numerical analysis and experimental validation on residual stress distribution of titanium matrix composite after shot peening treatment, Mech. Mat., 2016, vol. 99, pp. 2–8. DOI: https://doi.org/10.1016/j.mechmat.2016.05.005.
- Analysis of Residual Stress by Diffraction using Neutron and Synchrotron Radiation, eds. M. E. Fitzpatrick, Alain Lodini. London, CRC Press, 2003, 368 pp. DOI: https://doi.org/https://doi.org/10.1201/9780203608999.
- Sazanov V. P., Kirpichev V. A., Vakuluk V. S., Pavlov V. F The definition of initial deformations in the cylindrical parts surface layer by Finite Elements Modeling method using PATRAN/NASTRAN program complex, Vestn. Ufimsk. Gos. Aviats. Techn. Univ., 2015, vol. 19, no. 2, pp. 35–40 (In Russian). EDN: VYWUPR.
- Radchenko V. P., Afanaseva O. S., Glebov V. E. Influence of residual stresses on geometric parameters of surface-strengthened beam, Izv. Saratov Univ. (N. S.), Ser. Math. Mech. Inform., 2019, vol. 29, no. 4, pp. 464–478 (In Russian). EDN: YOWKNF. DOI: https://doi.org/10.18500/1816-9791-2019-19-4-464-478.
- Radchenko V. P., Afanaseva O. S., Glebov V. E. The effect of surface plastic hardening technology, residual stresses and boundary conditions on the buckling of a beam, PNRPU Mechanics Bulletin, 2020, no. 1, pp. 87–98 (In Russian). EDN: IJMTQN. DOI: https://doi.org/10.15593/perm.mech/2020.1.07.
- Keller I. E., Trofimov V. N., Vladykin A. V., et al. On the reconstruction of residual stresses and strains of a plate after shot peening, Vestn. Samar. Gos. Tekhn. Univ., Ser. Fiz.-Mat. Nauki [J. Samara State Tech. Univ., Ser. Phys. Math. Sci.], 2018, vol. 22, no. 1, pp. 40–64 (In Russian). EDN: UTXSLH. DOI: https://doi.org/10.14498/vsgtu1602.
- Radchenko V. P., Kurov A. Yu. Effect of anisotropy of surface plastic hardening on formation of residual stresses in cylindrical samples with semicircular notch, Vestn. Samar. Gos. Tekhn. Univ., Ser. Fiz.-Mat. Nauki [J. Samara State Tech. Univ., Ser. Phys. Math. Sci.], 2016, vol. 20, no. 4, pp. 675–690 (In Russian). EDN: YHPUXF. DOI: https://doi.org/10.14498/vsgtu1513.
- Radchenko V. P., Pavlov V. F., Saushkin M. N. Mathematical modeling of the stress-strain state in surface hardened thin-walled tubes with regard to the residual shear stresses, PNRPU Mechanics Bulletin, 2019, no. 1, pp. 138–150 (In Russian). EDN: XKSCQS. DOI: https://doi.org/10.15593/perm.mech/2019.1.12.
Supplementary files
 
				
			 
					 
						 
									
 
  
  
  Email this article
			Email this article 








