Numerical solution of the problem of stress-strain state of a surface-hardened prismatic V-notched specimen in elastic and elastoplastic formulations
- Authors: Radchenko V.P.1, Shishkin D.M.2, Saushkin M.N.1
-
Affiliations:
- Samara State Technical University
- Syzran’ Branch of Samara State Technical University
- Issue: Vol 27, No 3 (2023)
- Pages: 491-508
- Section: Mechanics of Solids
- URL: https://journals.eco-vector.com/1991-8615/article/view/624298
- DOI: https://doi.org/10.14498/vsgtu2017
- ID: 624298
Cite item
Full Text
Abstract
A method has been developed for solving the problem of calculating the stress-strain state in a surface-hardened prismatic V-notched specimen at different values of the opening angle in both elastic and elastoplastic formulations. The method is based on finite element modeling and the known initial stress-strain state for a smooth hardened specimen. A detailed study was conducted on the influence of the notch opening angle and its depth on the level and distribution of residual stresses from the stress concentrator bottom throughout the thickness of the hardened layer for both formulations of the problem. Based on the calculation data, the feasibility of investigating the problem in the elastoplastic formulation was justified when the notch is located completely or partially in the hardened layer, as the magnitudes of residual stresses in the elastic formulation are physically unrealizable, since their values exceed the material's yield strength several times.
In this case, the error between solutions in the elastic and elastoplastic formulations for residual stresses reaches 100–200 % in the root-mean-square norm, and reaches several hundred percent in the uniform estimate (Chebyshev norm). If the depth of the stress concentrator exceeds the thickness of the hardened layer by more than 1.5 times, the elastic and elastoplastic solutions yield similar results.
Full Text
Введение
На этапе технического контроля, следующего после механической обработки деталей различного назначения, особое внимание уделяется качеству обработанных наружных поверхностей. Даже в случае явного отсутствия дефектов на прочностной ресурс элементов конструкций серьезное влияние оказывает несовершенство микропрофиля в виде шероховатости поверхности при обработке заготовок резанием (точением, сверлением, фрезерованием, шлифованием и т. д.). При этом образующие шероховатость впадины микропрофиля в определенном смысле не только ослабляют поперечные сечения детали, но и зачастую являются главными очагами возникновения и последующего развития усталостных трещин в деталях при эксплуатации. Кроме этого в инженерной практике все большее внимание уделяется изучению вопросов усталостного разрушения деталей с концентраторами напряжений в виде технологических профильных надрезов по принципу нормального отрыва (развитие трещин I рода) при циклическом нагружении.
Современная оценка усталостной прочности и остаточного ресурса деталей с концентраторами напряжений при наличии в них дополнительных микро- или макротрещин чаще всего реализуется при помощи анализа критериальных характеристик механики усталостного разрушения, полученных на основе дорогостоящих длительных экспериментов и ресурсозатратных программных вычислений на основе метода конечных элементов (МКЭ) [1–4]. Несмотря на всю основательность описываемых для конкретных случаев подходов, сформулированные рекомендации по повышению параметров циклической трещиностойкости зачастую трудоемки либо труднореализуемы в инженерной практике.
Применение подходов механики поверхностно упрочненных элементов конструкций по отношению к вышеперечисленным вопросам считается альтернативным и наиболее эффективным вариантом повышения локальной прочности деталей, о чем свидетельствует необозримое количество научных публикаций. Среди них можно выделить «ранние» работы [5–9], относящиеся к методам поверхностного пластического деформирования (ППД), в которых описаны способы достижения наилучших результатов по повышению показателей статической и усталостной прочности, твердости, шероховатости, износостойкости и иных характеристик поверхностно упрочняемых гладких «бездефектных» деталей при минимальной трудоемкости. В частности, повышение прочностных свойств обеспечивается благодаря снижению эксплуатационных (растягивающих) напряжений наведением сжимающих остаточных напряжений, формируемых в тонком наружном слое после процедуры упрочнения при практически неизменных габаритных размерах детали. Следует отметить, что в зависимости от применяемого метода и режима упрочнения достигаемая толщина упрочненного слоя может варьироваться в пределах от 100–200 мкм (при ультразвуковом дробеструйном упрочнении [10, 21]) до 1 мм (при обкатке роликом [12]).
Наибольшее прикладное использование методов ППД установлено при повышении прочности деталей газотурбинных двигателей (ГТД), имеющих несплошности в приповерхностном слое. Доказано, что для упрочненных деталей с концентраторами напряжений в условиях многоциклового нагружения наблюдается увеличение предела выносливости на 30–70% по сравнению с неупрочненными [13, 14]. Тем не менее применение большинства подходов ППД к деталям и изделиям с мелкими концентраторами напряжений (отверстия для подачи смазывающей жидкости, канавки под уплотнительные элементы и т. д.) ограничено возможностями упрочняющего инструмента, ввиду чего подавляющая часть разработанных технологий упрочнения неприменима. В этом случае одним из наиболее рациональных способов решения указанной проблемы является применение технологий опережающего поверхностного пластического деформирования (ОППД), когда нанесение наружных конструктивных надрезов на элементы конструкций осуществляется после процедуры предварительного упрочнения гладких «бездефектных» поверхностей, в результате чего происходит перераспределение остаточных напряжений в окрестности концентраторов напряжений [10–18].
Оценка влияния «острых» геометрических концентраторов напряжений, к которым в частности относятся надрезы V-образного профиля, на напряженно-деформированное состояние (НДС) деталей представляет особый научно-практический интерес [2–4, 11, 14, 19, 20]. Наглядно это отражено в работах [4, 11, 14] на примерах исследования концентрации напряжений в телах призматического профиля с V-образными насечками и различными углами раскрытия их граней, схожих с профилем елочных замков рабочих лопаток турбин ГТД. Детальное изучение вопроса о распределении поля остаточных сжимающих напряжений вблизи типовых концентраторов имеет отражение в работах [19, 20] на примере образцов, изготовленных из суперсплава на никелевой основе, при внедрении поверхностных повреждений в виде «тупых» вмятин и царапин оценивается влияние остаточных напряжений в указанных дефектах на выносливость при условии появления усталостной трещины на дне концентратора. Одним из подходов расчета НДС в деталях с концентраторами напряжений после ОППД является использование гипотезы об отсутствии вторичных пластических деформаций в области сжатия материала, прилегающей к концентратору (надрезу), т. е. в этой области наблюдается либо упругая «догрузка», либо упругая «разгрузка» [10, 12–15] и фактически решается задача в упругой постановке. Однако в работе [11] в предположении возникновения в области сжатия материала «вторичных» пластических деформаций показано существенное различие решений в упругой и упругопластической постановках. В связи с этим настоящая работа посвящена подробному изучению влияния значения начального угла раскрытия сквозного V-образного надреза и его глубины в поверхностно упрочненной призматической балке на уровень формируемых остаточных напряжений вблизи концентратора напряжений.
1. Постановка задачи
В работе рассматривается поверхностно упрочненный призматический образец из сплава ЭП742 c размерами $100{\times}10{\times}10$ мм, ослабленный надрезом V-образного профиля (рис. 1), верхняя грань которого упрочнена в соответствии с технологией ОППД. В качестве исходных данных для выполнения расчета остаточных напряжений и вызванных упрочнением пластических деформаций используются экспериментальные данные для аналогичного гладкого «бездефектного» поверхностно упрочненного образца, полученные после виброударного (механического) ультразвукового упрочнения дробью [18]. Предполагается, что формирование центрального надреза V-образной формы с глубиной $b=\{ 0.1; 0.3\}$ мм и углом раскрытия $\varphi =\{1^\circ ; 2^\circ ; 5^\circ ; 10^\circ; 15^\circ; 30^\circ; 45^\circ; 60^\circ; 90^\circ\}$ осуществлялось удалением части материала с верхней (упрочненной) грани образца. Радиус скругления при основании надреза не превышал $\rho _{0} =0.01$ мм (см. рис. 1, b).
Рис. 1. Схематическое представление поверхностно упрочненного призматического образца с концентратором напряжений V-образной формы
[Figure 1. Schematic representation of a surface-hardened prismatic specimen with a V-shaped stress concentrator]
2. Восстановление НДС в поверхностно упрочненном гладком призматическом образце
Задача реконструкции НДС в поверхностно упрочненном гладком образце после виброударного ультразвукового упрочнения грани решена в работе [18], но поскольку этот материал входит составной частью в методику общей задачи, поставленной в настоящей работе, приведем основные расчетные формулы. Согласно [18] в декартовой системе координат (см. рис. 1) установлено, что компоненты тензоров остаточных напряжений и пластических деформаций зависят только от координаты $y$: $\sigma_x=\sigma_x(y)$, $\sigma_z=\sigma_z(y)$, $\sigma_y=\sigma_y(y)=0$; при этом всеми недиагональными компонентами остаточных напряжений пренебрегаем в силу их малости по сравнению с диагональными; ненулевыми компонентами деформаций являются упругие $e_{i} =e_{i} (y)$, пластические $q_{i} =q_{i} (y)$ и полные $\varepsilon _{i} =\varepsilon _{i} (y)$, $i=x, y, z$, соответственно. Согласно гипотезе плоских сечений, для компонент остаточных полных деформаций выполняется условие
\[ \begin{equation*}
\varepsilon _{x} (y)=\varepsilon _{z} (y)=0.
\end{equation*} \]
В рассматриваемом случае изотропного поверхностного упрочнения с учетом пластической несжимаемости $q_{x} +q_{y} +q_{z} =0$ и гипотезы $q_x=q_z$ расчетные формулы принимают вид [18]
\[ \begin{equation}
\sigma_z=\sigma_x,\quad q_x=q_z=-\frac{1-\nu}{E}\sigma_x,\quad q_y=\frac{2(1-\nu)}{E}\sigma_x,
\end{equation} \tag{1} \]
где $\nu$ — коэффициент Пуассона, $E$ — модуль Юнга.
Как следует из (1), все компоненты тензоров остаточных напряжений и пластических деформаций выражаются через компоненту $\sigma_x=\sigma_x(y)$. Поэтому если экспериментально известна величина $\sigma_x=\sigma_x(y)$, то задача реконструкции НДС решена. Однако экспериментально определить эту зависимость можно только в тонком упрочненном слое, а далее необходимо построить аппроксимацию этой зависимости и экстраполировать ее на все значения $0\leqslant y\leqslant H$ (где $H=10$ мм — высота призматического образца) с учетом самоуравновешенности остаточных напряжений $\displaystyle \int_0^H \sigma_x(y)dy=0$. Для этого в [18] предложена следующая зависимость:
\[ \begin{equation}
\sigma_x(y)=\sigma_0-\sigma_1\exp\Bigl[-\Bigl(\frac{y-y^*}{b}\Bigr)^2\Bigr],
\end{equation} \tag{2} \]
где $\sigma_0$, $\sigma_1$, $b$, $y^*$ — параметры аппроксимации экспериментальной эпюры $\sigma_x =\sigma_x(y)$, методика определения которых подробно изложена в [18]. Зависимости (1) и (2) являются исходной информацией задачи для призматического образца с концентраторами напряжений.
3. Численное решение задачи о перераспределении остаточных напряжений в области V-образного надреза после ОППД
Применение аналитического подхода для оценки НДС поверхностно упрочненных тел с профильными надрезами после ОППД практически невозможно, поскольку это связано со сложностями математического характера при описании напряженного состояния в области концентрации напряжений. Так, например, в работе [15] для тонкой пластины с полуэллиптическим надрезом в условиях плоского напряженного состояния в упругой постановке типовая задача решена методами теории функций комплексного переменного, однако полученные результаты имеют частный прикладной характер и неприменимы для объемных тел.
Для численного решения поставленной задачи в упругопластической постановке можно использовать универсальные подходы с применением широко распространенных в настоящее время программных комплексов на основе МКЭ, таких как MSC Nastran, Abaqus, ANSYS, Solid Works и т. д., которые в большинстве случаев являются неотъемлемыми средствами математического анализа. С этой целью в настоящей работе использовался программный конечно-элементный пакет инженерного анализа ANSYS, с помощью которого алгоритм численного решения задачи сводился к следующей последовательности.
- На первом этапе численного решения по известной экспериментальной зависимости для компоненты $\sigma_x=\sigma_x(y)$ (данные по которой для сплава ЭП742 приведены в работах [10, 18, 21] и показаны на рис. 2) реализована методика восстановления полей остаточных напряжений и пластических деформаций после ультразвукового упрочнения верхней грани гладкого «бездефектного» призматического образца (на рис. 1 залита цветом). Для этого выполняется аппроксимация экспериментально известной зависимости $\sigma_x=\sigma_x(y)$ по формуле (2) (сплошная линия на рис. 2) с учетом параметров $y^*=0.034$ мм, $\sigma_0=13.38$ МПа, $\sigma_1=1100.98$ МПа, $b=0.0928$ мм, после чего по соотношениям (1) рассчитываются остальные компоненты остаточных напряжений и пластических деформаций для гладкого образца.
- Следующий шаг заключается в проверке адекватности метода первоначальных деформаций для гладкого образца в вычислительной среде МКЭ. Суть заключается в задании неоднородного поля температур, градиент которого изменяется по координате $y$ (по толщине слоя) $T=T(y)$. Независимо от способа представления зависимости $T=T(y)$ полученные на текущем этапе результаты не влияют на последующее решение, поэтому температурное поле может быть любым [21]. При этом остаточные пластические деформации приравниваются к температурным деформациям $\varepsilon_i^T$ с использованием соотношений
\[ \begin{equation}
\varepsilon_i^T(y)=q_i(y)=\beta_i(T(y))[T(y)-T_0],\quad i=x, y, z,\; 0 \leqslant y\leqslant H,
\end{equation} \tag{3} \]
где $q_i(y)$ — компоненты тензора остаточных пластических деформаций, вычисленные в соответствии с (1). В расчетах на нижней грани задавалось фиксированное значение температуры $T_0=T(H)=20$ °C, а на противоположной упрочненной грани — $T_1 = T(0)=400$ °C, остальные грани полагались теплоизолированными. Таким образом, с использованием соотношений (3) определялись значения коэффициентов $\beta_i=\beta_i(T(y))$ и решалась задача фиктивной термоупругости для гладкого упрочненного образца. Результаты расчетов представлены на рис. 2.Рис. 2. Данные для компоненты \(\sigma_x=\sigma_x(y)\) после ультразвукового упрочнения поверхности балки из сплава ЭП742: экспериментальные (маркеры), расчетные (сплошная линия) по аппроксимации (1) и расчетные (штриховая линия) для термоупругой задачи (воспроизведено по [22])
[Figure 2. Data for the component ${\sigma_x=\sigma_x(y)}$ after ultrasonic hardening of the surface of a beam made of EP742 alloy: experimental (markers), calculated (solid line) by approximation (1) and designed (dashed line) for the thermoelastic problem (reproduced by [22])] - На третьем этапе в соответствии с технологией ОППД на предварительно упрочненный гладкий образец наносился надрез V-образного профиля с конкретно заданным значением угла раскрытия $\varphi$ (см. рис. 1) посредством удаления части материала с наведенными от упрочнения полями остаточных напряжений и пластических деформаций, что приводило поле полных деформаций к неуравновешенному состоянию. Равновесное состояние в этом случае достигалось за счет перераспределения полей остаточных напряжений, которое наиболее интенсивно протекает в зоне надреза, поэтому дальнейшее решение сводилось к численному решению задачи фиктивной термоупругопластичности с учетом зоны пластического поведения материала.
Математическое моделирование пластического поведения материала в программной среде ANSYS при решении термоупругопластической задачи осуществлялось с учетом следующих предположений. Во-первых, диаграммы деформирования материала на сжатие получить крайне сложно, а для материала ЭП742 ее в научной литературе, к сожалению, не имеется. Поэтому предполагалось, что диаграммы «растяжение–сжатие» для выбранного сплава идентичны (с учетом знака). Во-вторых, уровень остаточных напряжений в области сжатия гладкого образца достаточно высокий (см. рис. 2), а для тел с концентраторами напряжений они могут быть еще больше (по модулю), что, очевидно, превышает предел текучести и приводит к появлению вторичных пластических деформаций большой интенсивности в зоне, прилегающей к надрезу. Для этого в настоящей работе используется не диаграмма упругопластического деформирования в координатах «номинальное напряжение–полная деформация» ($\sigma_0{\sim}\varepsilon$), а диаграмма «истинное напряжение–полная деформация» ($\sigma{\sim}\varepsilon$). Связь между истинным $\sigma$ и номинальным $\sigma _{0}$ напряжениями устанавливается в соответствии с теорией реологического деформирования и накопления поврежденности в виде [23]
\[ \begin{equation}
\sigma=\sigma_0(1+\omega), \quad \dot{\omega}=\alpha\sigma\dot{q},
\end{equation} \tag{4} \]
где $\omega $ — параметр поврежденности, $q$ — пластичная деформация, $\alpha ={\rm const}$ (феноменологический параметр), $\sigma $ и $\sigma _0$ соответствуют одному и тому же уровню пластической деформации $q$. В работе [23] для жесткого режима нагружения одноосного образца ($\dot{\varepsilon }={\rm const}$) получена неявно заданная зависимость $\sigma_0=\sigma_0(q)$:
\[ \begin{equation}
q=c\biggl[\sigma_0\exp\biggl(\int_{0}^{q}\alpha\sigma_0(\xi)d\xi\biggr)-\sigma_{\text{т}}\biggr]^n,
\end{equation} \tag{5} \]
где $\sigma _{\text{т}} $ — предел текучести (пропорциональности); $c$ и $n$ — параметры аппроксимации начального участка диаграммы упругопластического деформирования степенной зависимостью
\[ \begin{equation}
q=c(\sigma_0-\sigma_{\text{т}})^n
\end{equation} \tag{6} \]
для случая, когда $\omega\approx0$ и $\sigma\cong\sigma_0$.
На рис. 3 приведены кривые «мгновенного» упругопластического деформирования для сплава ЭП742 при температуре 20 °C, полученные на основе экспериментальных данных (кривая 1), а также рассчитанные в координатах $\sigma _{0}{\sim}\varepsilon $ с ниспадающим участком (кривая 2) и координатах $\sigma{\sim}\varepsilon$ монотонно возрастающей функции в соответствии с формулами (4)–(6) (кривая 3) с параметрами, приведенными в табл. 1.
Рис. 3. Кривые упругопластического деформирования сплава ЭП742 при температуре 20 °C: 1 — экспериментальные данные, 2 — расчет в координатах \(\sigma_0\sim\varepsilon\), 3 — расчет в координатах \(\sigma\sim\varepsilon\)
[Figure 3. Elastoplastic deformation curves of EP742 alloy at a temperature of 20 °C: 1 — experimental data, 2 — calculation in coordinates $\sigma_0{\sim}\varepsilon$, 3 — calculation in coordinates $\sigma{\sim}\varepsilon$]
Учет упругопластических свойств сплава ЭП742 в программе ANSYS в соответствии с требованиями МКЭ-пакета должен выполняться при условии строго возрастающей зависимости между напряжением и деформацией, для чего удобно использовать расчетные данные кривой 3 (рис. 3). На программном уровне задание упругопластической кривой деформирования сплава ЭП742 в истинных координатах $\sigma {\sim}\varepsilon$ реализовывалось с помощью полилинейной модели материала, представляющей собой кусочно-линейную функцию в координатах «напряжение–полная деформация» по точкам $(\sigma_i, \varepsilon_i)$, $i=1, 2, 3, \dots , 100$. Здесь первая задаваемая точка ($\sigma_{\text{т}}, 0$) описывает предельное упругое состояние материала при деформировании тела, где расчетное напряжение $\sigma_1=\sigma_{\text{т}}$ — предел текучести материала, а деформация на момент начала пластического течения $\varepsilon_1=q$ полагается равной нулю. Начальная составляющая кривой (до достижения значений расчетных напряжений $\sigma _{\text{т}} $) однозначно определяется параметрами линейной упругости $\nu$ и $E$.
| $T$, °C | $\sigma _{\text{т}}$, MPa | $c$, MPa${}^{-n}$ | $n$ | $\alpha$, MPa${}^{-1}$ |
| 20 | 863.3 | $1.356\cdot10^{-6}$ | 1.776 | $1.916\cdot 10^{-3}$ |
4. Результаты расчетов и их анализ
При анализе полей остаточных напряжений в поверхностно упрочненном образце с V-образным надрезом наибольший интерес с позиции механики разрушения представляет компонента $\sigma _{x} =\sigma _{x} (y)$, так как она в значительной степени влияет на трещиностойкость и предел сопротивления усталости при поперечном расположении концентраторов [13–15].
На рис. 4–7 представлены распределения компонент тензора остаточных напряжений $\sigma_i=\sigma_i(y)$ $(i=x,y,z)$ по глубине упрочненного слоя $h$ от дна концентратора, полученные из решения упругопластической задачи в зависимости от различных значений угла раскрытия $\varphi$, глубины концентратора $b$ и радиуса закругления $\rho$. Из анализа данных, представленных на рис. 4–7, следует, что наблюдается существенное влияние величины угла раскрытия $\varphi$ на величину и характер распределения остаточных напряжений. Интерес представляет сравнение данных расчета для величины $\sigma_x=\sigma_x(y)$ с $V$-образными надрезами на рис. 4 и для этой же компоненты для гладкого («бездефектного») образца на рис. 2. Из анализа этих данных следует, что нанесение мелких надрезов приводит к увеличению (по модулю) величины остаточных напряжений $\sigma_x=\sigma_x(y)$ в непосредственной близости от дна концентратора по сравнению с гладким образцом.
Этот эффект с инженерных позиций можно считать позитивным, поскольку при нанесении на гладкую поверхностно упрочненную деталь «эксплуатационного» дефекта рассмотренного типа (например, в результате соударения с каким-либо жестким объектом) остаточные напряжения сжатия в области, непосредственно примыкающей ко дну концентратора, становятся по модулю даже выше, чем в гладком образце.
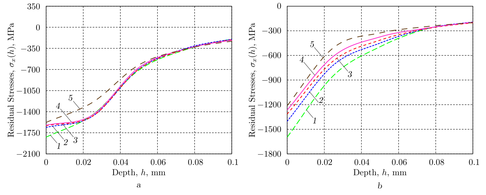
Рис. 4. Распределение компоненты \(\sigma_x=\sigma_x(h)\) по глубине \(h\) от дна концентратора для упругопластического решения в зависимости от начального угла раскрытия \(\varphi\) при \(b=0.1\) мм (a) и \(b=0.3\) мм (b): 1 — \(\varphi=15^\circ\), 2 — \(\varphi=30^\circ\), 3 — \(\varphi=40^\circ\), 4 — \(\varphi=60^\circ\), 5 — \(\varphi=90^\circ\)
[Figure 4. The distribution of stress component $\sigma_x=\sigma_x(h)$ by depth $h$ from the bottom of the concentrator for the elastoplastic solution depending on the initial opening angle $\varphi$ when $b = 0.1$ mm (a) and $b = 0.3$ mm (b): 1 — $\varphi=15^\circ$, 2 — $\varphi=30^\circ$, 3 — $\varphi=40^\circ$, 4 — $\varphi=60^\circ$,
5 — $\varphi=90^\circ$]
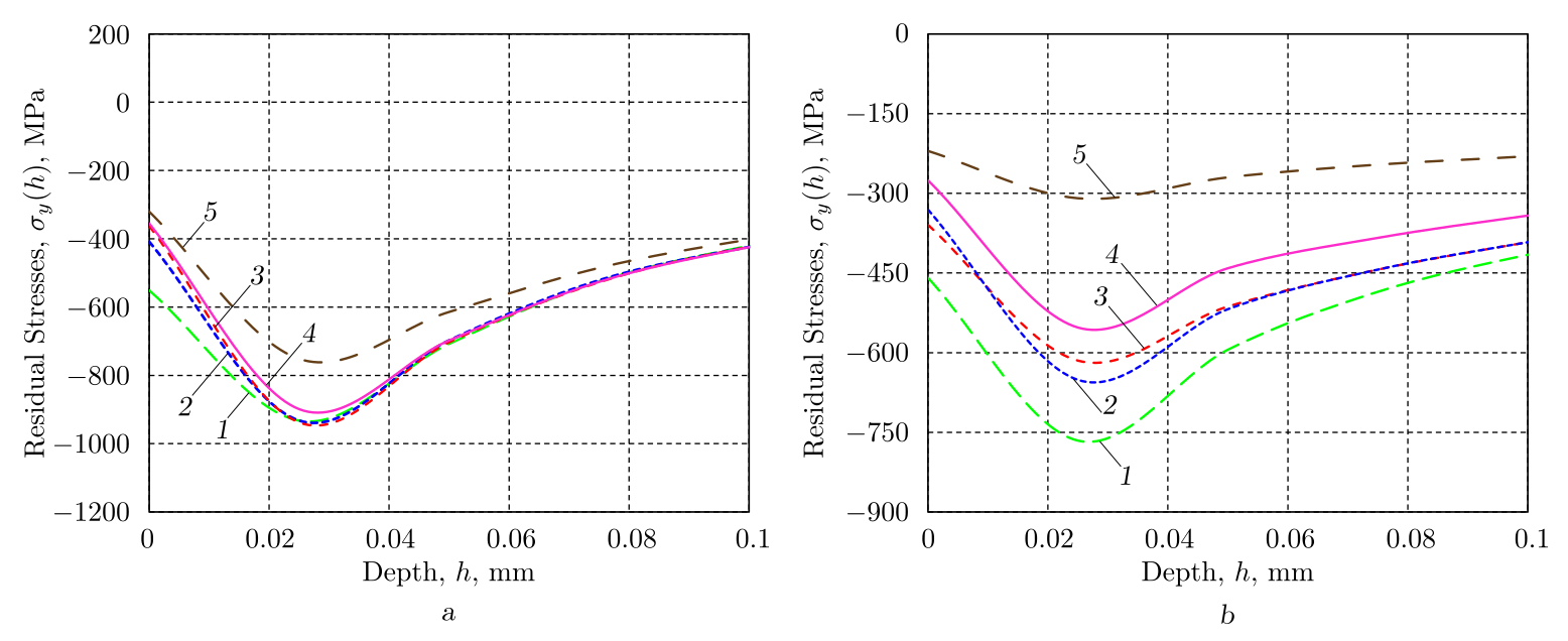
Рис. 5. Распределение компоненты \(\sigma_y=\sigma_y(h)\) по глубине \(h\) от дна концентратора для упругопластического решения в зависимости от начального угла раскрытия \(\varphi\) при \(b=0.1\) мм (a) и \(b=0.3\) мм (b): 1 — \(\varphi=15^\circ\), 2 — \(\varphi=30^\circ\), 3 — \(\varphi=40^\circ\), 4 — \(\varphi=60^\circ\), 5 — \(\varphi=90^\circ\)
[Figure 5. The distribution of stress component $\sigma_y=\sigma_y(h)$ by depth $h$ from the bottom of the concentrator for the elastoplastic solution depending on the initial opening angle $\varphi$ when $b = 0.1$ mm (a) and $b = 0.3$ mm (b): 1 — $\varphi=15^\circ$, 2 — $\varphi=30^\circ$, 3 — $\varphi=40^\circ$, 4 — $\varphi=60^\circ$,
5 — $\varphi=90^\circ$]
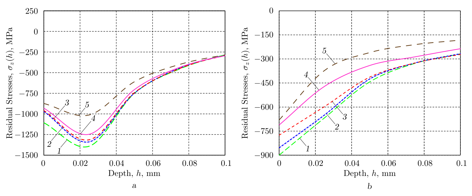
Рис. 6. Распределение компоненты \(\sigma_z=\sigma_z(h)\) по глубине \(h\) от дна концентратора для упругопластического решения в зависимости от начального угла раскрытия \(\varphi\) при \(b=0.1\) мм (a) и \(b=0.3\) мм (b): 1 — \(\varphi=15^\circ\), 2 — \(\varphi=30^\circ\), 3 — \(\varphi=40^\circ\), 4 — \(\varphi=60^\circ\), 5 — \(\varphi=90^\circ\)
[Figure 6. The distribution of stress component $\sigma_z=\sigma_z(h)$ by depth $h$ from the bottom of the concentrator for the elastoplastic solution depending on the initial opening angle $\varphi$ when $b = 0.1$ mm (a) and $b = 0.3$ mm (b): 1 — $\varphi=15^\circ$, 2 — $\varphi=30^\circ$, 3 — $\varphi=40^\circ$, 4 — $\varphi=60^\circ$, 5 — $\varphi=90^\circ$]
Рис. 7. Распределение компоненты \(\sigma_x=\sigma_x(h)\) по глубине \(h\) от дна концентратора для упругопластического решения в зависимости от начального угла раскрытия \(\varphi\) при \(b=0.1\) мм: 1 — \(\varphi=1^\circ\), 2 — \(\varphi=5^\circ\), 3 — \(\varphi=10^\circ\), 4 — \(\varphi=15^\circ\)
[Figure 7. The distribution of stress component $\sigma_x=\sigma_x(h)$ by depth $h$ from the bottom of the concentrator for the elastoplastic solution depending on the initial opening angle $\varphi$ when $b = 0.1$ mm: 1 — $\varphi=1^\circ$, 2 — $\varphi=5^\circ$, 3 — $\varphi=10^\circ$, 4 — $\varphi=15^\circ$]
Для сравнительного анализа была решена задача и в упругой постановке, результаты которой для компоненты $\sigma_x=\sigma_x(h)$ приведены на рис. 8–10. Отметим факты, следующие из анализа распределения компоненты $\sigma_x =\sigma_x(h)$ для упругопластического (рис. 4 и 7) и упругого (рис. 8–10) решений:
- упругое решение дает чрезмерно завышенные (по модулю) значения $\sigma_x=\sigma_x(h)$ по сравнению с упругопластическим решением в области, непосредственно прилегающей ко дну концентратора;
- полученные значения этой компоненты при использовании упругой постановки физически несостоятельны в окрестности области материала около дна концентратора, поскольку такие уровни напряжений материала невозможны (см. рис. 3).
Поэтому адекватные результаты можно получить только при решении задачи в упругопластической постановке. Численные значения погрешности между решениями в упругой и упругопластической постановках на интервале $0\leqslant h\leqslant 200$ мкм в зависимости от глубины надреза $b$ и начального угла раскрытия его берегов $\varphi$ для всех трех компонент тензора остаточных напряжений, вычисленные в норме
\[ \begin{equation*}
\Delta _{i}^{\sigma } =\sqrt{\frac{\sum _{k=1}^{n}\left[\sigma_i^p(h_k)-\sigma _i^y(h_k)\right]^2}
{\sum _{k=1}^{n}\left[\sigma_i^{y}(h_k)\right]^2}}\cdot 100 \% ,\quad i=x, y, z,
\end{equation*} \]
приведены в табл. 2. Здесь $h_k\in [0{, \,}200]$ мкм — точки дискретизации указанного отрезка; $\sigma_i^p(h_k)$ и $\sigma_i^y(h_k)$ — значения компонент тензоров остаточных напряжений в точках дискретизации для упругопластического и упругого решений соответственно; $N=21$ — количество точек дискретизации указанного отрезка.
Основываясь на результатах, приведенных в табл. 2, можно сделать вывод, что по мере увеличения угла раскрытия $\varphi $ для всех компонент тензора остаточных сжимающих напряжений в пределах 200 мкм наблюдается асимптотическое снижение расхождения результатов между упругим и упругопластическим решениями при обоих расчетных случаях глубины дефекта $b$. Это, в свою очередь, хорошо согласуется с теорией сингулярности упругих напряжений вблизи вершины трещины.
Рис. 8. Распределение компоненты \(\sigma_x=\sigma_x(h)\) по глубине \(h\) от дна концентратора для упругого решения задачи в зависимости от начального угла раскрытия \(\varphi\) при \(b=0.1\) мм: 1 — \(\varphi=1^\circ\), 2 — \(\varphi=5^\circ\), 3 — \(\varphi=10^\circ\)
[Figure 8. The distribution of stress component $\sigma_x=\sigma_x(h)$ by depth $h$ from the bottom of the concentrator for the elastic solution depending on the initial opening angle $\varphi$ when $b = 0.1$ mm: 1 — $\varphi=1^\circ$, 2 — $\varphi=5^\circ$, 3 — $\varphi=10^\circ$]
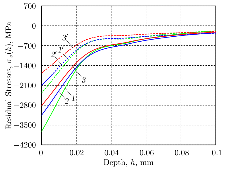
Рис. 9. Распределение компоненты \(\sigma_x=\sigma_x(h)\) по глубине \(h\) от дна концентратора для упругого решения задачи в зависимости от начального угла раскрытия \(\varphi\) и глубины надреза \(b\): 1 — \(\varphi=15^\circ\), \(b=0.1\) мм; 1' — \(\varphi=15^\circ\), \(b=0.3\) мм; 2 — \(\varphi=30^\circ\), \(b=0.1\) мм; 2′ — \(\varphi=30^\circ\), \(b=0.3\) мм
[Figure 9. The distribution of stress component $\sigma_x=\sigma_x(h)$ by depth $h$ from the bottom of the concentrator for the elastic solution depending on the initial opening angle $\varphi$ and the depth of the notch $b$: 1 — $\varphi=15^\circ$, $b=0.1$ mm; 1$'$ — $\varphi=15^\circ$, $b=0.3$ mm; 2 — $\varphi=30^\circ$, $b=0.1$ mm;
2$'$ — $\varphi=30^\circ$, $b=0.3$ mm]
Рис. 10. Распределение компоненты \(\sigma_x=\sigma_x(h)\) по глубине \(h\) от дна концентратора для упругого решения задачи в зависимости от начального угла раскрытия \(\varphi\) и глубины надреза \(b\): 1 — \(\varphi=40^\circ\), \(b=0.1\) мм; 1′ — \(\varphi=40^\circ\), \(b=0.3\) мм; 2 — \(\varphi=60^\circ\), \(b=0.1\) мм; 2′ — \(\varphi=60^\circ\), \(b=0.3\) мм; 3 — \(\varphi=90^\circ\), \(b=0.1\) мм; 3′ — \(\varphi=90^\circ\), \(b=0.3\) мм
[Figure 10. The distribution of stress component $\sigma_x=\sigma_x(h)$ by depth $h$ from the bottom of the concentrator for the elastic solution depending on the initial opening angle $\varphi$ and the depth of the notch $b$: 1 — $\varphi=40^\circ$, $b=0.1$ mm; 1$'$ — $\varphi=40^\circ$, $b=0.3$ mm; 2 — $\varphi=60^\circ$, $b=0.1$ mm;
2$'$ — $\varphi=60^\circ$, $b=0.3$ mm; 3 — $\varphi=90^\circ$, $b=0.1$ mm; 3$'$ — $\varphi=90^\circ$, $b=0.3$ mm]
Результаты решения задачи реконструкции полей остаточных напряжений вблизи дефекта трещиноподобного вида в упругопластической постановке позволяют сделать вывод, что при увеличении начального угла раскрытия дефекта V-образного профиля от $1^\circ$ до $15^\circ$ при $b=0.1$ мм в окрестности зоны дна концентратора напряжений происходит возрастание (по модулю) сжимающих остаточных напряжений, а увеличение этого угла от $15^\circ$ до $90^\circ$ сопровождается снижением их величины для всех компонент тензора остаточных напряжений. В случае, когда дефект находится на глубине $b=0.3$ мм от упрочненной поверхности, для значений остаточных напряжений наблюдается монотонное их снижение по абсолютной величине при увеличении угла раскрытия $\varphi$. Отсюда следует, что применение методов ППД при упрочнении призматического тела со сквозным V-образным концентратором напряжений, глубина которого не превышает толщину упрочненного слоя для гладкого образца $y\approx200$ мкм (см. рис. 2), имеет наибольшую эффективность лишь при значениях угла раскрытия $\varphi \leqslant 60^\circ$. Здесь под эффективностью понимается ситуация, когда величина остаточных напряжений по модулю в области дна концентратора, нанесенного на упрочненную поверхность призматического образца, не меньше, чем на гладкой упрочненной детали. При этом увеличение раскрытия угла свыше $60^\circ $ между берегами приводит к заметному снижению уровня сжимающих остаточных напряжений вблизи вершины надреза для компонент $\sigma_y=\sigma_y(y)$ и $\sigma_z=\sigma_z(y)$ для всех рассмотренных расчетных случаев.
5. Выводы
Выполненные исследования позволяют сформулировать следующие результаты.
- Разработан метод решения задачи расчета НДС в призматическом образце со сквозным одиночным поперечным надрезом V-образного профиля при различных значениях угла раскрытия после технологии ОППД в упругой и упругопластической постановках, базирующийся на конечно-элементном моделировании и известном начальном напряженно-деформированном состоянии для гладкого упрочненного призматического образца.
- Обоснована целесообразность учета деформаций пластичности материала при оценке остаточных напряжений в призматическом упрочненном образце при наличии поверхностных концентраторов напряжений V-образного типа, когда концентратор находится полностью или частично в упрочненном слое.
- Показано, что если концентратор находится частично или полностью в упрочненном слое, то наблюдается существенное расхождение упругого решения с упругопластическим для остаточных напряжений в сечениях от дна концентратора, достигающее погрешности до 100–200% в среднеквадратической норме и нескольких сотен процентов по максимальным (по модулю) значениям (норма Чебышева). Если же глубина концентратора превышает величину упрочненного слоя более чем в 1.5 раза, то упругое и упругопластическое решения дают близкие результаты и по мере удаления от концентратора они асимптотически приближаются друг к другу.
Конкурирующие интересы. Конфликта интересов в отношении авторства и публикации этой статьи нет.
Авторский вклад и ответственность. Все авторы принимали участие в разработке концепции статьи и в написании рукописи. Авторы несут полную ответственность за предоставление окончательной рукописи в печать. Окончательная версия рукописи была одобрена всеми авторами.
Финансирование. Исследование выполнено за счет гранта Российского научного фонда № 23–29–00434, https://rscf.ru/project/23-29-00434/.
About the authors
Vladimir P. Radchenko
Samara State Technical University
Author for correspondence.
Email: radchenko.vp@samgtu.ru
ORCID iD: 0000-0003-4168-9660
SPIN-code: 1823-0796
Scopus Author ID: 7004402189
ResearcherId: J-5229-2013
http://www.mathnet.ru/person38375
Dr. Phys. & Math. Sci., Professor; Head of Dept., Dept. of Applied Mathematics & Computer Science
Russian Federation, 443100, Samara, Molodogvardeyskaya st., 244Dmitry M. Shishkin
Syzran’ Branch of Samara State Technical University
Email: shishkin.dim@yandex.ru
ORCID iD: 0000-0003-3205-2262
Cand. Techn. Sci., Associate Professor, Dept. of Mechanical Engineering Technologies
Russian Federation, 446001, Samara region, Syzran’, Sovetskaya str., 45Mikhail N. Saushkin
Samara State Technical University
Email: saushkin.mn@samgtu.ru
ORCID iD: 0000-0002-8260-2069
SPIN-code: 9740-1416
Scopus Author ID: 35318659800
ResearcherId: A-8120-2015
https://www.mathnet.ru/person38368
Cand. Phys. & Math. Sci., Associate Professor, Dept. of Applied Mathematics & Computer Science
Russian Federation, 443100, Samara, Molodogvardeyskaya st., 244References
- Eriksson R., Moverare J., Chen Z., Simonsson K. The effect of notches on the fatigue life of a nickel-base gas turbine disk material, Acta Polytechnica CTU Proceedings, 2018, vol. 20, pp. 34–42. DOI: https://doi.org/10.14311/APP.2018.20.0034.
- Liu B., Yan X. An extension research on the theory of critical distances for multiaxial notch fatigue finite life prediction, Int. J. Fatigue, 2018, vol. 117, pp. 217–229. DOI: https://doi.org/10.1016/j.ijfatigue.2018.08.017.
- Bressan S., Ogawa F., Itoh T., Berto F. Influence of notch sensitivity and crack initiation site on low cycle fatigue life of notched components under multiaxial nonproportional loading, Frattura ed Integrità Strutturale, 2019, vol. 13, no. 47, pp. 126–140. DOI: https://doi.org/10.3221/IGF-ESIS.47.10.
- Macek W. Fracture surface formation of notched 2017A-T4 aluminium alloy under bending fatigue, Int. J. Fract., 2022, vol. 234, pp. 141–157. DOI: https://doi.org/10.1007/s10704-021-00579-y.
- Birger I. A. Ostatochnye napriazheniia [Residual Stresses]. Moscow, Mashgiz, 1963, 232 pp. (In Russian)
- Grinchenko I. G. Uprochnenie detalei iz zharoprochnykh i titanovykh splavov [Hardening Parts Made of High-Resistant and Titanium Alloys]. Moscow, Mashinostroenie, 1971, 120 pp. (In Russian)
- Sulima A. M., Shuvalov V. A., Yagodkin Yu. D. Poverkhnostnyi sloi i ekspluatatsionnye svoistva detalei mashin [Surface Layer and Performance of Machine Parts]. Moscow, Mashinostroenie, 1988, 240 pp. (In Russian)
- Kudryavtsev I. V. Poverkhnostnyi naklep dlia povysheniia prochnosti i dolgovechnosti detalei mashin poverkhnostnym plasticheskim deformirovaniem [Surface Strain Hardening to Increase the Strength and Durability of Machine Parts]. Moscow, Mashinostroenie, 1969, 100 pp. (In Russian)
- Nozhnitskii Yu. A., Fishgoit A. V., Tkachenko R. I., Teplova S. V. Development and application of new GTE parts hardening methods based on the plastic deformation of the surface layers, Vestn. Dvigatel., 2006, no. 2, pp. 8–16 (In Russian).
- Radchenko V. P., Shishkin D. M. The method of reconstruction of residual stresses in a prismatic specimen with a notch of a semicircular profile after advanced surface plastic deformation, Izv. Saratov Univ. Math. Mech. Inform., 2020, vol. 20, no. 4, pp. 478–492 (In Russian). EDN: ZPKSUN. DOI: https://doi.org/10.18500/1816-9791-2020-20-4-478-492.
- Radchenko V. P., Shishkin D. M. Numerical method for calculating the stress-strain state in a prismatic surface-hardened spacemen with a notch in elastic and elastoplastic formulations, Izv. Saratov Univ. Math. Mech. Inform., 2021, vol. 21, no. 4, pp. 503–519 (In Russian). EDN: KNHHLG. DOI: https://doi.org/10.18500/1816-9791-2021-21-4-503-519.
- Radchenko V. P., Pavlov V. Ph., Saushkin M. N. Investigation of surface plastic hardening anisotropy influence on residual stresses distribution in hollow and solid cylindrical specimens, PNRPU Mechanics Bulletin, 2015, no. 1, pp. 130–147 (In Russian). EDN: TVSBYV. DOI: https://doi.org/10.15593/perm.mech/2015.1.09.
- Pavlov V. F., Bukaty A. S., Semenova O. Yu. Forecasting of the endurance limit of surfacehardened parts with stress concentrators, Vestn. Mashinostroeniya, 2019, no. 1, pp. 3–7 (In Russian). EDN: VTAEPK.
- Pavlov V. F., Kirpichev V. A., Vakulyuk V. S. Prognozirovanie soprotivleniia ustalosti poverkhnostno uprochnennykh detalei po ostatochnym napriazheniiam [Prediction of Fatigue Resistance of Surface Reinforced Parts by Residual Stresses]. Samara, Samara Sci. Center of RAS, 2012, 125 pp. (In Russian)
- Ivanov S. I., Shatunov M. P., Pavlov V. F. Influence of residual stresses on notched specimen endurance, In: Problems of Strength of Aircraft Structure Elements, vol. 1. Kuibyshev, Kuibyshev Aviation Inst., 1974, pp. 88–95 (In Russian).
- Saushkin M. N., Radchenko V. P., Kurov A. Yu. Method of calculating residual stresses in semicircular notches in a surface hardened hollow cylindrical specimen, J. Appl. Mech. Tech. Phys., 2013, vol. 54, no. 4, pp. 644–650. EDN: RFQTST. DOI: https://doi.org/10.1134/S0021894413040159.
- Sazanov V. P. Analysis of the mechanism of fatigue crack arrest in a cylindrical notched specimen, Vestnik of Samara University. Aerospace and Mechanical Engineering, 2018, vol. 17, no. 1, pp. 160–169 (In Russian). EDN: UPOWMG. DOI: https://doi.org/10.18287/2541-7533-2018-17-1-160-169.
- Radchenko V. P., Saushkin M. N., Bochkova T. I. Mathematical modeling and experimental study of forming and relaxation of the residual stresses in plane samples made of EP742 alloy after the ultrasonic hardening under the hightemperature creep conditions, PNRPU Mechanics Bulletin, 2016, no. 1, pp. 93–112 (In Russian). EDN: VQTAHL. DOI: https://doi.org/10.15593/perm.mech/2016.1.07.
- Fleury R., Nowell D. Evaluating the influence of residual stresses and surface damage on fatigue life of nickel superalloys, Int. J. Fatigue, 2017, vol. 105, pp. 27–33. DOI: https://doi.org/10.1016/j.ijfatigue.2017.08.015.
- Foss B., Gray S., Hardy M., Stekovic S. [et al.] Analysis of shot-peening and residual stress relaxation in the nickel-based superalloy RR1000, Acta Materialia, 2013, vol. 61, no. 7, pp. 2548–2559. DOI: https://doi.org/10.1016/j.actamat.2013.01.031.
- Radchenko V. P., Afanaseva O. S., Glebov V. E. The effect of surface plastic hardening technology, residual stresses and boundary conditions on the buckling of a beam, PNRPU Mechanics Bulletin, 2020, no. 1, pp. 87–98 (In Russian). EDN: IJMTQN. DOI: https://doi.org/10.15593/perm.mech/2020.1.07.
- Radchenko V. P., Shishkin D. M. The influence of the dimensions of the surface hardening region on the stress-strain state of a beam with a notch of a semicircular profile, Vestn. Samar. Gos. Tekhn. Univ., Ser. Fiz.-Mat. Nauki [J. Samara State Tech. Univ., Ser. Phys. Math. Sci.], 2020, vol. 24, no. 4, pp. 663–676 (In Russian). EDN: GQGTTH. DOI: https://doi.org/10.14498/vsgtu1828.
- Radchenko V. P., Eremin Yu. A. Reologicheskoe deformirovanie i razrushenie materialov i elementov konstruktsii [Rheological Deformation and Fracture of Materials and Structural Elements]. Moscow, Mashinostroenie-1, 2004, 264 pp. (In Russian). EDN: QNATSX
Supplementary files













