A computational model of a vertical well with waterflooding fracturing for pressure transient analysis
- Authors: Maykov D.N.1,2, Isupov S.V.1, Makarov S.S.2
-
Affiliations:
- SIAM MASTER Ltd
- Udmurt Federal Research Center of the Ural Branch of the Russian Academy of Sciences
- Issue: Vol 29, No 1 (2025)
- Pages: 91-108
- Section: Mathematical Modeling, Numerical Methods and Software Complexes
- URL: https://journals.eco-vector.com/1991-8615/article/view/626243
- DOI: https://doi.org/10.14498/vsgtu2080
- EDN: https://elibrary.ru/AMYRIA
- ID: 626243
Cite item
Full Text
Abstract
A new computational model for a vertical well with waterflooding fracturing is presented, which accounts for changes in the fracture half-length during the interpretation of pressure transient analysis (PTA) parameters. The model is based on a numerical algorithm derived from an analytical solution, utilizing a proposed relationship between the fracture half-length, process time, and its geometric dimensions. This functional dependence is developed using available PTA data.
The model employs the infinite-conductivity fracture equation and the superposition principle to describe changes in fracture geometry. The superposition principle is implemented through a series of activations and deactivations of fictitious wells with varying fracture half-lengths, where each well operates for a specific time interval before being shut down.
It is demonstrated that the change in fracture half-length during the closure stage follows a functional dependence on the initial and final fracture half-lengths, as well as the well operation time. The results obtained from the proposed model, incorporating the fracture half-length dependence function, show good agreement with experimental data when calculating pressure in a well with waterflooding fracturing.
A numerical analysis of the vertical well model with waterflooding fracturing is conducted using the developed algorithm. The influence of the final fracture half-length and the duration of fracture closure on pressure changes and the pressure derivative in the well is established. The use of the proposed fracture half-length dependence in calculating well operating conditions is shown to be justified. The application of this model allows for a more accurate description of parameter changes during PTA interpretation in wells with fractures of variable length.
Full Text
Введение
При эксплуатации нагнетательных скважин происходит автоматический гидроразрыв пласта (автоГРП), вызванный высоким давлением закачки флюида. Геометрия трещин, образующихся в результате автоГРП, в частности, их длина, напрямую зависит от давления на забое скважины. В процессе дальнейшей эксплуатации скважин геометрия трещин может изменяться, что негативно влияет на разработку месторождений из-за незапланированных изменений в системе «скважина–пласт». Наличие изменений геометрии трещин можно отследить с помощью гидродинамических исследований скважин (ГДИС).
В связи с этим разработка новых модельных решений, описывающих работу скважины с учетом изменяющейся геометрии трещины автоГРП во времени, является актуальной задачей. Полученные результаты позволят повысить достоверность оценки эксплуатационных параметров скважин при разработке месторождений углеводородов.
Во многих работах, например [1–7], рассматривается процесс фильтрации флюида к скважине с трещиной гидроразрыва для моделей равномерного потока, конечной и бесконечной проводимости, постоянного размера, заполненной проппантом.
В меньшей степени в литературе приведены результаты исследований процесса формирования трещины при автоГРП и фильтрации флюида к скважине с трещиной автоГРП.
Так, в работе [8] исследован процесс фильтрации в нагнетательной скважине с трещиной ГРП на раннем временном этапе методом падения давления. В работе [9] с использованием метода свертки и учета закрытия трещины получено решение уравнения пьезопроводности, приведенного в работе [8]. В работе [11], основанной на исследованиях [8–10], представлено полуаналитическое решение уравнения пьезопроводности для модели скважины с трещиной автоГРП. Решение получено при разделении влияния ствола скважины на ствол и трещину с допущением, что полудлина и высота трещины остаются постоянными при снижении давления. В работе [12] описано геомеханическое моделирование направления и траектории развития трещин гидроразрыва пласта при разработке низкопроницаемых коллекторов. В работе [13] представлены результаты численного моделирования закачки ньютоновской жидкости в скважину с образованием трещины гидравлического разрыва в продуктивном пласте, а также рассмотрено влияние проницаемости пласта и эффекта ствола скважины на развитие техногенной трещины, давление в скважине и расход жидкости на ее забое. В работе [14] предложен упрощенный подход к моделированию самопроизвольного развития трещины при закачке ньютоновской жидкости в однородный изотропный пласт, а в [15] представлена модель фильтрации двухфазного потока в трехмерных пластах с учетом механических свойств пород, оценки пластовых напряжений и динамического роста трещин, вызванных нагнетанием. В работе [16] описана модель роста трещины при закачке полимера. В работах [17, 18] предложен метод оценки длины техногенной трещины в зависимости от забойного давления нагнетания, а также рассмотрены техногенные и петрологические факторы, влияющие на процессы инициации, распространения и деградации трещин автоГРП. В работе [19] представлена модель для расчета напряженного состояния пласта в присутствии произвольно ориентированных трещин и неоднородного поля давления, основанная на континуальной теории фильтрации [20], дополненной критерием максимальных растягивающих напряжений для расчета траектории растущих трещин. В работе [21] использована сопряженная гидрогеомеханическая модель сектора разработки, учитывающая развитие автоГРП в нагнетательных скважинах рядной системы разработки.
Настоящая работа посвящена разработке расчетной модели вертикальной скважины с трещиной автоматического гидравлического разрыва пласта для интерпретации параметров при гидродинамических исследованиях скважин.
1. Постановка задачи
Рассмотрим вертикальную скважину с трещиной, схема которой представлена на рис. 1.
Рис. 1. Схема вертикальной скважины с изменяющейся трещиной
[Figure 1. Scheme of a vertical well with a changing fracture]
Анализ диагностических графиков исследований скважин, в которых наблюдался эффект закрытия трещины автоГРП, позволил выделить характерные участки, на которых происходит изменение производной функции давления (см. рис. 2). Первый участок (I) соответствует линейному режиму течения к трещине с исходной геометрией. На втором участке (II) наблюдается закрытие трещины, что сопровождается характерным изгибом производной. Третий участок (III) диагностического графика описывает радиальный режим течения к трещине со стабильной измененной геометрией.
Рис. 2. Пример диагностического графика с трещиной автоГРП
[Figure 2. Example of log-log plot with waterflooding fracturing]
При разработке модели вертикальной скважины с трещиной автоГРП предполагается, что при постоянном давлении трещина имеет постоянную длину, а при переменном давлении ее размер функционально зависит от изменения давления. Основой описания процесса изменения геометрии трещины является уравнение трещины бесконечной проводимости [5–7], а также принцип суперпозиции [23, 24]. Влияние соседних скважин и влияние ствола скважины (ВСС) не учитывается.
Кроме того, приняты следующие допущения:
- коллектор представляет собой бесконечный горизонтальный пласт с заданной постоянной толщиной, с однородной структурой и физическими свойствами;
- кровля и подошва пласта являются непроницаемыми границами;
- скважина является вертикальной и вскрывает пласт на всю толщину;
- скважина обладает трещиной, которая вскрывает пласт по всей толщине, имеет однородную структуру и симметрична относительно вертикального ствола скважины;
- фильтрация флюида является однофазной и изотермической.
2. Численный алгоритм
За основу построения модели взято выражение для расчета безразмерного давления в вертикальной скважине с трещиной равномерного потока, вскрывающей пласт по всей толщине [6, 7]:
\[ \begin{equation}
\overline p_d (x_d, y_d, s ) = \frac{1}{2x_{fd}s} \int_{-x_{fd}}^{x_{fd}} K_0\bigl( \sqrt{s} \sqrt{ (x_d - x )^2 + y_{d}^2 } \bigr) \,dx,
\quad
x_{fd} = \frac{x_f}{r_w},
\end{equation} \tag{1} \]
где $K_0$ — модифицированная функция Бесселя второго рода нулевого порядка; $x_d$ — безразмерная координата $x$; $y_d$ — безразмерная координата $y$; $x_f$ — полудлина трещины; $r_w$ — радиус скважины; $x_{fd}$ — безразмерная полудлина трещины; $\overline p_d$ — безразмерное давление; $s$ — переменная преобразования Лапласа.
При расчете безразмерного давления $\overline p_d$ в скважине по модели трещины равномерного потока величины $x_d$ и $y_d$ принимаются равными нулю. В работе [5] показано, что при $x_d = 0.732$ расчет безразмерного давления $\overline p_d$ по уравнению (1) совпадает с расчетом для модели трещины бесконечной проводимости. В данной работе используется модель трещины бесконечной проводимости, поэтому принимается $x_d = 0.732$ и $y_d = 0$. Обратное преобразование Лапласа выполняется с использованием алгоритма Стефеста [22].
Процесс изменения геометрии полудлины трещины описывается с помощью принципа суперпозиции [23, 24]. Изменение длины трещины моделируется путем последовательного запуска и остановки фиктивных (модельных) скважин с различными полудлинами трещины, где каждая скважина активируется на определенный интервал времени, а затем останавливается. Соответственно, поведение давления в вертикальной скважине с автоГРП описывается уравнением
\[ \begin{equation}
p( t ) = p_i + \sum_{j=1}^{N - 1}
\bigl[ \Delta p ( x_{fj}, t - t_{j - 1} ) -
\Delta p ( x_{fj}, t - t_j )
\bigr] + \Delta p ( x_{fN}, t - t_{N - 1} ),
\end{equation} \tag{2} \]
где $t$ — время; $p(t)$ — расчетное давление в момент времени $t$; $p_i$ — начальное давление; $\Delta p$ — функция перепада давления модели трещины; $N$ — общее количество изменяющихся по времени полудлин трещины; $x_{fj}$ — рассматриваемая полудлина трещины; $t_j$ — время запуска рассматриваемой фиктивной скважины.
В уравнении (2) индекс $j = 1$ соответствует трещине с исходной полудлиной, а $j = N$ — трещине с конечной полудлиной. Полудлина трещины для промежуточных элементов имеет функциональную зависимость от давления.
Результаты тестовых расчетов по уравнению (2) показали, что точность результатов зависит от количества разбиений полудлин трещины на этапе ее закрытия. С увеличением количества разбиений погрешность уменьшается. Сложность расчета, согласно принципу суперпозиции, для каждого последующего шага растет линейно, а расчет всей функции в целом имеет квадратичную сложность.
Изменение полудлины трещины $\overline{x}_f$ на этапе закрытия трещины описывается функциональной зависимостью от начальной $x_{f1}$ и конечной $x_{fN}$ полудлин трещины, а также от расчетного давления. Поскольку давление также зависит от полудлины трещины $x_{f}$ согласно уравнению (1), возникает циклическая зависимость. Для упрощения дальнейших исследований зависимость полудлины трещины определяется не от давления, а от времени, что не искажает физический смысл, так как давление также является функцией времени:
\[ \begin{equation*}
\overline{x}_f = f ( t, x_{f1}, x_{fN} ).
\end{equation*} \]
3. Определение функциональной зависимости полудлины трещины
Для определения функциональной зависимости использовались реальные данные ГДИС, в которых наблюдался эффект закрытия трещины автоГРП. Данные были предоставлены ООО «Сиам Мастер» на основе информации, полученной от заказчика с различных объектов. В рамках текущей работы было отобрано 10 исследований ГДИС, где явно наблюдался данный эффект.
Для анализа функции закрытия трещины определялись начальные параметры модели: начальная полудлина трещины $x_{fs}$, конечная полудлина трещины $x_{fe}$, время начала закрытия трещины $t_s$ и время окончания закрытия трещины $t_e$. Алгоритм определения этих параметров представлен ниже (см. рис. 3):
- определение проницаемости по участку радиального режима течения;
- определение начальной полудлины трещины по линейному режиму течения с использованием полученной проницаемости;
- определение конечной полудлины трещины, описывающей давление на поздних временах, с использованием полученной проницаемости;
- визуальное определение времени начала и окончания процесса закрытия трещины на диагностическом графике Бурде [26].
Рис. 3. Алгоритм определения начальных параметров модели автоГРП
[Figure 3. Algorithm for determining initial parameters of the waterflooding fracturing model]
Для построения диагностического графика использовалась упрощенная история работы скважины, включающая единственный продолжительный период закачки, что соответствует реальным условиям эксплуатации скважин согласно отчетам по закачке флюида.
После определения временного интервала, в течение которого происходило закрытие трещины, а также начальных и конечных полудлин трещины моделировался процесс закрытия с использованием функции суперпозиции (2). Временной интервал был разбит на логарифмические шаги с дискретностью 20 точек на log-цикл. В каждом временном интервале определялось значение полудлины трещины $x_{fi}$, обеспечивающее соответствие модели исходным данным исследования по давлению.
Поиск значений полудлины трещины осуществлялся с помощью алгоритма оптимизации Левенберга–Марквардта [25]. Целевая функция поиска имела вид
\[ \begin{equation*}
\epsilon = \sum_{i=1}^{N} \bigl[ f_i ( \overline{x}_f ) - g_i \bigr],
\end{equation*} \]
где индекс $i$ соответствует определенному моменту времени измерения; $N$ — общее число моментов измерения; $f$ и $g$ — векторы вычисленных и измеренных значений давления; $\overline{x}_f$ — вектор искомых полудлин трещины. Вектор вычисленных значений рассчитывался по уравнению (2).
Для унификации всех экспериментальных данных в одном диапазоне они были приведены к безразмерному виду. Значения времени и полудлины трещины были логарифмированы по основанию 10, а затем нормализованы в диапазон от 0 до 1 по линейной зависимости, где $\log_{10}(x_{fs}) \to 1$, ${\log_{10}(x_{fe}) \to 0}$, $\log_{10}(t_s) \to 0$, $\log_{10}(t_e) \to 1$.
Рис. 4. Зависимость полудлины трещины от времени
[Figure 4. Fracture half-length dependence on time]
Результат поиска полудлин трещин с учетом преобразования показан на рис. 4, где видна схожесть распределения зависимости для экспериментальных данных с функцией $\cos(x)$. Итоговая функция полудлины трещины с учетом обратного преобразования из безразмерных величин имеет вид
\[ \begin{equation}
\begin{array}{l}
x_f (t ) = 10^{g [ v (t ), \log_{10} (x_{fe} ), \log_{10} (x_{fs} ) ]},
\\
v (t ) = 0.5 + 0.5 \cos \bigl( \pi u [ \log_{10}(t), \log_{10}(t_s ), \log_{10}(t_e ) ] \bigr),
\end{array}
\end{equation} \tag{3} \]
\[ \begin{equation*}
u (x, x_{\min}, x_{\max} ) = \frac{x - x_{\min}}{x_{\max} - x_{\min}},
\quad
g (x_n, x_{\min}, x_{\max} ) = x_{\min} + x_n (x_{\max} - x_{\min} ).
\end{equation*} \]
Здесь $x_{fs}$ — начальная полудлина трещины; $x_{fe}$ — конечная полудлина трещины; $t_s$ — время начала закрытия трещины; $t_e$ — время окончания закрытия трещины; $v (t )$ — промежуточная функция, зависящая от времени $t$; $u (x, x_{\min},$ $x_{\max} )$ — промежуточная функция, аргументами которой являются параметры $x$, $x_{\min}$ и $x_{\max}$; $g (x_n, x_{\min}, x_{\max} )$ — промежуточная функция, аргументами которой являются параметры $x_n$, $x_{\min}$ и $x_{\max}$.
Следует отметить, что существуют различные функции, способные описать полученные экспериментальные данные. В данной работе выбор функции обоснован ее простотой и соответствием эмпирическим наблюдениям.
На рис. 4 приведена зависимость изменения длины трещины, описываемая уравнением (3), в сравнении с экспериментальными результатами. Полученная зависимость изменения полудлины трещины от времени (см. рис. 4) хорошо описывает экспериментальные данные на всем временном интервале. Среднеквадратичное отклонение расчетных значений полудлины трещины от экспериментальных данных ГДИС составило 4.31 %.
4. Верификация зависимости по расчету полудлины трещины
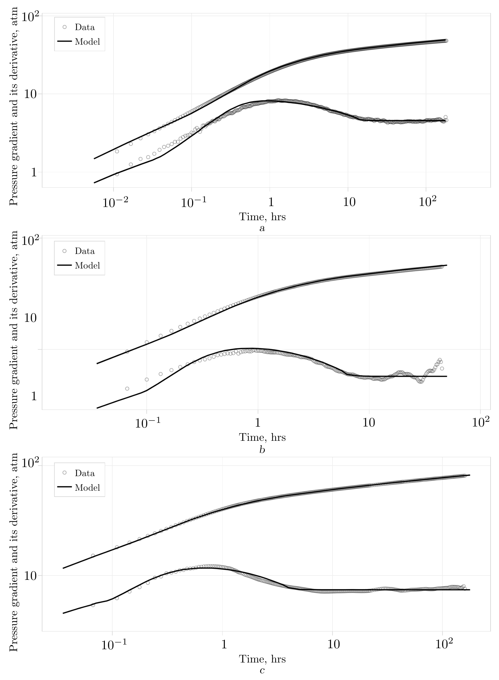
Верификация полученной зависимости (3) для расчета полудлины трещины проводилась на основе данных трех исследований ГДИС, в которых также наблюдался эффект автоГРП. Сопоставление результатов, полученных по разработанной модели, с промысловыми данными для этих случаев представлено на диагностических графиках Бурде (см. рис. 5). Параметры моделей приведены в табл. 1. Для построения диагностического графика использовалась упрощенная история работы скважины, включающая единственный продолжительный период закачки.
На диагностических графиках (рис. 5) видно, что рассчитанное давление по модели с использованием предложенной зависимости (3) изменения полудлины трещины хорошо согласуется с результатами исследований ГДИС реальных скважин.
| Parameters | Values | ||
| Fig. 5, a | Fig. 5, b | Fig. 5, c | |
| Layer height, $h$ (m) | 16.2 | 10.7 | 15 |
| Layer permeability, $k$ (mD) | 15.367 | 16.3909 | 1.6911 |
| Total compressibility, $ct$ (atm$^{-1}$) | $5.021\cdot10^{-5}$ | $8.604\cdot 10^{-5}$ | $4.878\cdot 10^{-5}$ |
| Porosity, $\phi$ | 0.15 | 0.16 | 0.17 |
| Fluid volume factor, $B$ (m$^{3}$/st.m$^{3}$) | 1 | 1 | 1.045 |
| Fluid viscosity, $\mu$ (cp) | 1.21 | 1.03 | 0.35 |
| Rate, $q$ (m$^{3}$/day) | 88 | 109 | 56 |
| Initial fracture half-length, $x_{fs}$ (m) | 18.704 | 8.8887 | 4.9078 |
| Final fracture half-length, $x_{fe}$ (m) | 4.2315 | 3.0296 | 2.384 |
| Fracture closure start time, $t_s$ (hour) | 0.0316 | 0.07943 | 0.07943 |
| Fracture closure end time, $t_e$ (hour) | 14.1254 | 6.3096 | 3.9811 |
Рис. 5. Сравнение расчетных данных модели с результатами гидродинамических исследований скважин для параметров, приведенных в табл. 1: a — столбец 1; b — столбец 2; c — столбец 3
[Figure 5. Comparison of the model calculations with the well test analysis data for parameters listed in Table 1: a — column 1; b — column 2; c — column 3]
5. Численный анализ параметров модели вертикальной скважины с трещиной автоГРП
Численный анализ проводился для модели вертикальной скважины с трещиной автоГРП на основе уравнений (2) и (3). Исходные данные, используемые для расчета по предлагаемой модели, приведены в табл. 2. Для расчетов использовалась модель трещины бесконечной проводимости (уравнение (1)).
Рис. 6. Расчетное давление по модели трещины автоГРП для параметров, приведенных в табл. 2
[Figure 6. Calculated pressure according to the waterflooding fracturing model for parameters listed in Table 2]
Результаты расчета давления для заданных модельных условий представлены на рис. 6, на котором выделяются три этапа изменения трещины автоГРП: начальный этап, этап закрытия трещины и конечный этап. Начальный этап (в интервале времени $10^{-5}$–0.01 ч) соответствует расчету по модели трещины бесконечной проводимости с начальной полудлиной трещины $x_{fs} = 200$ м. Этап закрытия трещины (0.01–1 ч) соответствует изменению полудлины трещины от начальной $x_{fs}$ до конечной $x_{fe}$. Конечный этап (1–$10^5$ ч) соответствует расчету давления по модели трещины бесконечной проводимости с конечной полудлиной $x_{fe} = 50$ м. Полное соответствие расчета модели трещины бесконечной проводимости при $x_{fe} = 50$ м наблюдается с 10 ч, что связано с применением принципа суперпозиции.
На рис. 7 показано влияние длительности закрытия трещины на изменение давления в скважине. Из рис. 7 видно, что при увеличении времени завершения закрытия трещины $t_e$ увеличивается длительность процесса закрытия, а при уменьшении $t_e$ возрастает изменение давления в интервале времени закрытия трещины. При малых значениях $t_e$ (менее $10^{-2}$ ч) на производной может наблюдаться пик. Чем больше время закрытия трещины, тем плавнее происходит изменение перепада давления. С момента начала процесса и до 0.01 ч, а также после 10 ч расчетные значения перепада давления для всех случаев идентичны.
Рис. 7. Влияние длительности закрытия трещины на изменение давления для параметров, приведенных в табл. 2
[Figure 7. Influence of the fracture closure duration on pressure change for parameters listed in Table 2]
Рис. 8. Влияние конечной полудлины трещины на изменение давления для параметров, приведенных в табл. 2
[Figure 8. Influence of the final fracture half-length on pressure change for parameters listed in Table 2]
На рис. 8 показано влияние конечной полудлины трещины на изменение давления в скважине. Из рис. 8 видно, что с уменьшением конечной полудлины трещины $x_{fe}$ увеличивается изменение давления с момента начала закрытия трещины (0.01 ч). При уменьшении $x_{fe}$ в 2 раза (с 200 до 100 м) изменение давления в скважине на последней расчетной точке $10^5$ ч увеличивается в 1.145 раза (с 44.672 до 51.132 атм). При уменьшении $x_{fe}$ в 4 раза (с 200 до 50 м) изменение давления увеличивается в 1.288 раза (с 44.672 до 57.516 атм). Производная изменения давления в интервале времени закрытия трещины (0.01–1 ч) возрастает с уменьшением $x_{fe}$. После 500 ч производная изменения давления для всех случаев идентична. При $x_{fe} = 200$ м модель вертикальной скважины с трещиной автоГРП полностью соответствует модели трещины бесконечной проводимости с полудлиной $x_f = 200$ м. Начальный этап (до 0.01 ч) для всех случаев также идентичен.
На рис. 9 показано влияние проницаемости пласта $k$ на изменение давления в скважине. Из рис. 9 видно, что с уменьшением проницаемости пласта $k$ увеличивается изменение давления и его производная на всем временном интервале. При уменьшении $k$ в 10 раз (с 1000 до 100 мД) изменение давления в скважине на последней расчетной точке $10^5$ ч увеличивается в 8.443 раза (с 6.812 до 57.516 атм). При уменьшении $k$ в 100 раз (с 1000 до 10 мД) изменение давления увеличивается в 68.865 раза (с 6.812 до 469.119 атм).
Рис. 9. Влияние проницаемости пласта на изменение давления для параметров, приведенных в табл. 2
[Figure 9. Influence of the layer permeability on pressure change for parameters listed in Table 2]
Рис. 10. Влияние скин-фактора на изменение давления для параметров, приведенных в табл. 2
[Figure 10. Influence of skin on pressure change for parameters listed in Table 2]
На рис. 10 показано влияние скин-фактора $S$ на изменение давления в скважине. Для учета скин-фактора $S$ в уравнении (1) использованы положения, изложенные в работе [27]. Из рис. 10 видно, что с увеличением скин-фактора $S$ увеличивается изменение давления на всем временном интервале. При увеличении $S$ от 0 до 0.5 изменение давления в скважине на последней расчетной точке $10^5$ ч увеличивается в 1.08 раза (с 57.516 до 62.122 атм). При увеличении $S$ от 0 до 1 изменение давления увеличивается в 1.16 раза (с 57.516 до 66.727 атм). Производная изменения давления для всех случаев идентична на всем временном интервале.
Выводы
В статье представлена новая расчетная модель вертикальной скважины с трещиной автоматического гидравлического разрыва пласта, позволяющая учитывать изменение полудлины трещины во времени при интерпретации параметров ГДИС. Модель основана на уравнении трещины бесконечной проводимости и принципе суперпозиции для описания изменения параметров трещины во времени.
Предложена функциональная зависимость изменения полудлины трещины, полученная на основе промысловых данных ГДИС, где наблюдался эффект автоГРП. Результаты расчетов по предлагаемой модели с использованием функции изменения полудлины трещины хорошо согласуются с экспериментальными данными по давлению. Функция описывает дискретные данные полудлин трещины на всем расчетном интервале, при этом максимальное среднеквадратичное отклонение между модельными и экспериментальными значениями составило 4.31 %.
В результате численного анализа параметров модели вертикальной скважины с трещиной автоГРП показано, что использование предложенной зависимости изменения полудлины трещины при расчете эксплуатационных режимов является обоснованным.
Конкурирующие интересы. Авторы заявляют об отсутствии конфликта интересов в отношении авторства и публикации данной статьи.
Авторский вклад и ответственность. Все авторы внесли равный вклад в разработку концепции статьи и написание рукописи. Авторы несут полную ответственность за предоставление окончательной версии рукописи в печать. Окончательная версия рукописи была одобрена всеми авторами.
Финансирование. Исследование выполнено без привлечения внешнего финансирования.
Благодарность. Авторы выражают благодарность рецензентам за внимательное прочтение статьи, а также за ценные предложения и комментарии, которые способствовали улучшению работы.
About the authors
Dmitriy N. Maykov
SIAM MASTER Ltd; Udmurt Federal Research Center of the Ural Branch of the Russian Academy of Sciences
Author for correspondence.
Email: dmaykov@integra.ru
ORCID iD: 0000-0002-6526-4870
https://www.mathnet.ru/person180418
Leading Specialist, Junior Researcher
Russian Federation, 634003, Tomsk, Belaya st., 3; 426067, Izhevsk, T. Baramzina st., 34Sergey V. Isupov
SIAM MASTER Ltd
Email: svisupov@integra.ru
ORCID iD: 0009-0006-5599-4366
https://www.mathnet.ru/person227480
Head of the Automation Dept
Russian Federation, 634003, Tomsk, Belaya st., 3Sergey S. Makarov
Udmurt Federal Research Center of the Ural Branch of the Russian Academy of Sciences
Email: ssmak15@mail.ru
ORCID iD: 0000-0003-1500-6950
https://www.mathnet.ru/person54490
Doctor of Engineering Science; Senior Researcher
Russian Federation, 426067, Izhevsk, T. Baramzina st., 34References
- Nolte K. G. Determination of proppant and fluid schedules from fracturing-pressure decline, SPE Prod. Eng., 1986, vol. 1, no. 4, pp. 255–265, SPE-13278-PA. DOI: https://doi.org/10.2118/13278-PA.
- Cinco-Ley H., Samaniego F., Dominguez N. Transient pressure behavior for a well with a finite-conductivity vertical fracture, SPE J., 1978, vol. 18, no. 4, pp. 253–264, SPE-6014-PA. DOI: https://doi.org/10.2118/6014-PA.
- Cinco-Ley H., Samaniego F. Transient pressure analysis for fractured wells, J. Pet. Technol., 1981, vol. 33, no. 9, pp. 1749–1766, SPE-7490-PA. DOI: https://doi.org/10.2118/7490-PA.
- Wong D. W., Harrington A. G., Cinco-Ley H. Application of the pressure derivative function in the pressure-transient testing of fractured wells, SPE Form. Eval., 1986, vol. 1, no. 5, pp. 470–480, SPE-13056-PA. DOI: https://doi.org/10.2118/13056-PA.
- Gringarten A. C., Ramey H. J., Raghavan R. Unsteady-state pressure distributions created by a well with a single infinite-conductivity vertical fracture, SPE J., 1974, vol. 14, no. 4, pp. 347–360, SPE-4051-PA. DOI: https://doi.org/10.2118/4051-PA.
- Ozkan E., Raghavan R. New solutions for well-test-analysis problems: Part 1 – Analytical considerations, SPE Form. Eval., 1991, vol. 6, no. 3, pp. 359–368, SPE-18615-PA. DOI: https://doi.org/10.2118/18615-PA.
- Ozkan E., Raghavan R. New solutions for well-test-analysis problems: Part 2 – Computational considerations and applications, SPE Form. Eval., 1991, vol. 6, no. 3, pp. 369–378, SPE-18616-PA. DOI: https://doi.org/10.2118/18616-PA.
- Hagoort J. Waterflood-induced hydraulic fracturing, PhD Thesis. Delft Techn. Univ., 1981. http://resolver.tudelft.nl/uuid:93b1fede-e03e-48d7-99c9-1c709d69397c.
- Koning E. J. L. Waterflooding under fracturing conditions, PhD Thesis. Delft Techn. Univ., 1988. http://resolver.tudelft.nl/uuid:c0bd1703-8cc5-46e0-a724-142a879298bd.
- Larsen L., Bratvold R. B. Effects of propagating fractures on pressure-transient injection and fall-off data, SPE Form. Eval., 1994, vol. 9, no. 2, pp. 105–114, SPE-20580-PA. DOI: https://doi.org/10.2118/20580-PA.
- van den Hoek P. J. Pressure transient analysis in fractured produced water injection wells, SPE Asia Pacific Oil Gas Conf. Exhib., 2002, SPE-77946-MS. DOI: https://doi.org/10.2118/77946-MS.
- Davletova A. R., Bikbulatova G. R., Fedorov A. I., Davletbaev A. Y. Geomechanical simulation of hydraulic fractures growth direction and trajectory in the low permeability reservoirs development, Nauchno-Tehnich. Vestn. Rosneft, 2014, no. 1, pp. 40–43 (In Russian). EDN: RZSVCV.
- Davletbaev A. Y., Mukhametova Z. S. Simulation of the injection of a liquid into a well in a payout bed with hydraulic fracturing, J. Eng. Phys. Thermophys., 2019, vol. 92, no. 4, pp. 1041–1049. EDN: KSWBYY. DOI: https://doi.org/10.1007/s10891-019-02018-1.
- Gubaidullin M. R., Davletbaev A. Ya., Shtinov V. A., et al. Numerical study of spontaneous development of autohf crack in injection well, Herald of the Academy of Sciences of the Republic of Bashkortostan, 2022, vol. 45, no. 4, pp. 47–59 (In Russian). EDN: ECSMZY. DOI: https://doi.org/10.24412/1728-5283_2022_4_47_59.
- Bhardwaj P., Hwang J., Manchanda R., Sharma M. Injection induced fracture propagation and stress reorientation in waterflooded reservoirs, SPE Annual Techn. Conf. Exhib., 2016, SPE-181883-MS. DOI: https://doi.org/10.2118/181883-MS.
- Lee K., Huh C., Sharma M. Impact of fracture growth on well injectivity and reservoir sweep during waterflood and chemical EOR processes, SPE Annual Techn. Conf. Exhib., 2011, SPE-146778-MS. DOI: https://doi.org/10.2118/146778-MS.
- Syundyukov A. V., Sagitov D. K. Factors of influence on the development of self-induced hydraulic fracturing cracks, Oil and Gas Studies, 2023, no. 1, pp. 73–84 (In Russian). EDN: YWOMBX. DOI: https://doi.org/10.31660/0445-0108-2023-1-73-84.
- Syundyukov A. V., Sagitov D. K. Method for estimating the length of man-caused fracture depending on bottomhole injection pressure, Problems of Gathering, Treatment and Transportation of Oil and Oil Products, 2023, no. 2, pp. 40–51 (In Russian). EDN: XVZVPR. DOI: https://doi.org/10.17122/ntj-oil-2023-2-40-51.
- Fedorov A. I., Davletova A. R. Reservoir stress state simulator for determining of fracture growth direction, Geophysical Research, 2014, vol. 15, no. 1, pp. 15–26 (In Russian). EDN: RXQWXN.
- Blokhin A. M., Dorovsky V. N. Mathematical Modelling in the Theory of Multivelocity Continuum. NY, Nova Science, 1995, 192 pp. (In Russian)
- Kopeykin R. R., Abdullin R. F., Kalinin S. A., et al.Well test simulation accounting induced fracture in a linear development system, Oil Industry, 2023, no. 12, pp. 30–35 (In Russian). EDN: EVTWCW. DOI: https://doi.org/10.24887/0028-2448-2023-12-30-35.
- Stehfest H. Algorithm 368: Numerical inversion of Laplace transforms [D5], Comm. ACM, 1970, vol. 13, no. 1, pp. 47–49. DOI: https://doi.org/10.1145/361953.361969.
- Stewart G. Well Test Design and Analysis. Nashville, Tennessee, PennWell, 2011.
- Maykov D. N., Isupov S. V., Makarov S. S., Anikanov A. S. The efficient method for pressure calculation at variable rate, Oil Industry, 2021, no. 9, pp. 105–107 (In Russian). EDN: MVQWDU. DOI: https://doi.org/10.24887/0028-2448-2021-9-105-107.
- Maykov D. N., Makarov S. S. Numerical investigation of optimization algorithms for adapting the hydrodynamic model based on the results of well tests, Math. Models Comput. Simul., 2023, vol. 15, no. 2, pp. 289–296. EDN: SAFGZB. DOI: https://doi.org/10.1134/S2070048223020126.
- Bourdet D. A new set of type curves simplifies well test analysis, World Oil, 1983, vol. 196, no. 6, pp. 95–106.
- Hegeman P. S., Halford D. L., Joseph J. A.Well-test analysis with changing wellbore storage, SPE Form. Eval., 1993, vol. 8, no. 03, pp. 201–207, SPE-21829-PA. DOI: https://doi.org/10.2118/21829-PA.
Supplementary files












