Численный метод расчета полей остаточных напряжений в поверхностно упрочненном призматическом образце с несквозной поперечной трещиной V-образного профиля в упругопластической постановке
- Авторы: Радченко В.П.1, Саушкин М.Н.1, Шишкин Д.М.2
- 
							Учреждения: 
							- Самарский государственный технический университет
- Сызранский филиал Самарского государственного технического университета
 
- Выпуск: Том 28, № 2 (2024)
- Страницы: 267-285
- Раздел: Механика деформируемого твердого тела
- URL: https://journals.eco-vector.com/1991-8615/article/view/637388
- DOI: https://doi.org/10.14498/vsgtu2070
- EDN: https://elibrary.ru/HALOGN
- ID: 637388
Цитировать
Полный текст
Аннотация
Представлен численный метод расчета полей остаточных напряжений в поверхностно упрочненном призматическом образце с несквозной V-образной трещиной, базирующийся на упругопластическом решении задачи. По полученным результатам проведен подробный анализ распределений остаточных напряжений вблизи дефекта по нескольким контурам. Определено, что при глубине трещины 0.3 мм практически все изучаемые компоненты остаточных напряжений сжатия имеют бóльшие (по модулю) значения, чем при глубине 0.1 мм, либо равные значения.
Полный текст
Введение
Процессы постепенного износа и нарушения целостности наружных поверхностей деталей являются неотъемлемой частью эксплуатационного цикла задействованных металлических элементов конструкций и механизмов. Контроль степени их фактического повреждения позволяет выявить наиболее уязвимые к разрушению участки для проведения ремонтно-восстановительных работ либо, если в этом имеется необходимость, процедуры прогнозирования дальнейшей работоспособности из условий нагружения, действия внешней среды и иных эксплуатационных факторов. При этом осуществить непрерывный мониторинг состояния даже для ответственных конструктивных элементов зачастую бывает проблематично или практически невозможно, что не позволяет оценить опасность преждевременного выхода из строя как поврежденной детали, так и всего изделия в целом.
В настоящее время в области инженерного проектирования широкое распространение получил подход, когда посредством цифрового моделирования проводится имитация работы деталей с образованными в ходе эксплуатации несплошностями (сколы, царапины, вмятины и т. д.). С целью определения критического состояния таких тел выполняется численный конечно-элементный анализ напряженно-деформированного состояния (НДС) [1, 2] или количества циклов усталостного нагружения [3–5, 20]. Полученные результаты позволяют корректировать технические решения на стадии изготовления элементов конструкций с учетом возможных последствий, сведя риск внезапного отказа к минимуму. Наибольший научно-практический интерес при этом уделяется разработке численных методов расчета по оценке усталостной прочности деталей с поверхностными трещиноподобными дефектами, численные результаты которых часто сопоставляют с данными проведенных по аналогии экспериментальных исследований согласно критериям механики разрушения на примере специально изготовленных образцов [3, 4, 20]. Несмотря на кажущуюся основательность подобных методов, их реализация в инженерной практике весьма трудоемка, полученные в ходе проведенных испытаний результаты не всегда однозначны ввиду стохастичности процесса развития трещин, а сформулированные рекомендации по повышению стойкости тел к трещинообразованию, как правило, справедливы лишь в рамках конкретно рассматриваемого случая.
Иной подход к увеличению прочности изделий базируется на применении технологических операций поверхностного пластического деформирования (ПДД) деталей, подверженных температурно-силовому эксплуатационному воздействию. Использование данной технологии широко распространено в авиадвигателестроении и энергетическом машиностроении по причине относительно простого, но эффективного способа повышения надежности металлоизделий с сохранением массогабаритных характеристик, что подтверждается основополагающими работами [6–11]. Увеличение прочностного ресурса достигается за счет формирования в приповерхностном слое обработанных методом ППД деталей тонкого слоя (от 100–200 мкм [15, 17] до 1 мм [18] в зависимости от применяемого метода упрочнения) сжимающих остаточных напряжений (ОН), компенсирующих образующиеся при эксплуатации опасные напряжения растяжения. Помимо очевидного преимущества методов ППД для деталей с гладкой «бездефектной» структурой поверхности [15, 17] неоднократно доказана эффективность применения методов упрочнения по технологии опережающего поверхностного пластического деформирования (ОППД) для деталей с предусмотренными конструкцией различного рода концентраторами напряжений в виде канавок, надрезов технологического характера либо приобретенными эксплуатационными дефектами поверхностно упрочненных деталей от соударения с инородными предметами (например, в авиадвигателестроении) типа царапин, трещин, вмятин (в том числе работающих в условиях усталостного нагружения) [8, 12–14, 16, 19]. Следует отметить, что для упрочненных деталей с концентраторами напряжений в условиях многоциклового нагружения наблюдается увеличение предела выносливости на 30–70 % по сравнению с неупрочненными [12, 13].
Наличие упрочненного поверхностного слоя с наведенными ОН сжатия ППД благоприятно влияет и на увеличение циклической трещиностойкости. Согласно работам [20, 21] доказано, что технологическая операция, например, дробеструйной обработки позволяет достигнуть увеличения пороговых значений критериальных параметров механики разрушения материалов, вследствие чего увеличивается срок службы подверженных разрушению стальных образцов. При этом автор работы [21] отмечает, что среди обширного количества опубликованных экспериментальных работ, посвященных влиянию сжимающих ОН на увеличение сопротивляемости материалов усталостному растрескиванию, большинство исследователей не уделяет должного внимания эффекту улучшения параметров трещиностойкости. Из всего этого следует, что положительное влияние образованных после ППД сжимающих ОН в области трещин недооценено. В этой связи настоящая работа посвящена разработке численного метода расчета полей ОН для поверхностно упрочненного призматического образца с несквозной V-образной трещиной в упругопластической постановке с целью изучения НДС в области действия остаточных сжимающих напряжений.
1. Постановка задачи
Так как численный метод расчета на основе метода конечных элементов (МКЭ) можно реализовать только для конкретного элемента конструкции, в настоящей работе влияние несквозной трещины V-образного профиля на НДС рассмотрено на примере поверхностно упрочненного призматического образца из сплава ЭП742 с размерами $100{\times}10{\times}10$ мм. Трещина расположена в центре образца (рис. 1). В качестве параметров, описывающих геометрию дефекта, рассмотрены следующие: длина трещины $l=3$ мм, глубина $b=\{0.1; 0.3\}$ мм, начальный угол раскрытия берегов трещины $\varphi=15^\circ$ и радиус скругления фронта трещины $r=b$. Процедура упрочнения верхней грани образца осуществлялась ультразвуковой механической обработкой, методика проведения которой подробно изложена в работе [15], в соответствии с технологией опережающего поверхностного пластического деформирования (ОППД) [14, 16, 19].
Рис. 1. Схематическое изображение поверхностно упрочненного призматического образца с несквозной V-образной трещиной
[Figure 1. Schematic representation of a surface-hardened prismatic sample with a non-through V-shaped crack]
Численное решение поставленной задачи основано на методе начальных деформаций, сводящей исходную задачу к фиктивной задаче термоупругопластичности [13–19], когда на первом этапе определяются поля остаточных напряжений и пластических деформаций после упрочнения гладкой (бездефектной) детали, а затем остаточные пластические деформации приравниваются к температурным деформациям в фиктивно заданном температурном поле по объему детали. На втором этапе на упрочненный образец наносится V-образная трещина, т. е. удаляется часть материала образца, и для остальной области решается задача термоупругопластичности о перераспределении остаточных напряжений. Именно в такой последовательности представлен далее материал статьи.
2. Метод расчета остаточных напряжений и пластических деформаций в поверхностно упрочненном гладком образце
Начальный (первый) этап описанного в настоящей работе подхода основан на методе определения полей ОН и пластических деформаций (ПД) в поверхностно упрочненном гладком «бездефектном» образце призматической формы, подверженном виброударному ультразвуковому упрочнению (УЗУ) верхней грани [15]. Несмотря на то, что этот метод хорошо известен, для лучшего дальнейшего понимания материала статьи изложим его подробно в соответствии с [15]. Математическое описание процесса поверхностного упрочнения сводится к расчету компонент тензоров ОН и ПД в декартовой системе координат (см. рис. 1), зависящих только от координаты $y$: $\sigma _{x} =\sigma _{x} (y)$, $\sigma _{z} =\sigma _{z} (y)$, $\sigma _{y} =\sigma _{y} (y)=0$, а значения всех оставшихся недиагональных компонент ОН и ПД полагаются равными нулю, что теоретически доказано в [15]. Ненулевыми компонентами являются упругие $e_{i} =e_{i} (y)$, пластические $q_{i} =q_{i} (y)$ и полные $\varepsilon _{i} =\varepsilon _{i} (y)$ деформации, соответственно, $i=x, y, z$. В соответствии с гипотезой плоских сечений для компонент $\varepsilon _{i} =\varepsilon _{i} (y)$ выполняется условие
\[ \begin{equation*}
\varepsilon _{x} (y)=\varepsilon _{z} (y)=0.
\end{equation*} \]
Для рассматриваемого случая изотропного поверхностного упрочнения в направлении осей $x$ и $y$ с учетом пластической несжимаемости материала $q_{x} +q_{y} +q_{z} =0$ и гипотезы $q_{x} =q_{z} $ расчетные формулы принимают вид [15]
\[ \begin{equation}
\sigma _{z} (y)=\sigma _{x} (y),\quad q_{x} (y)=q_{z} (y)=-\frac{1-v}{E} \sigma _{x} (y),\quad q_{y} (y)=\frac{2(1-v)}{E} \sigma _{x} (y),
\end{equation} \tag{1} \]
где $v$ — коэффициент Пуассона, $E$ — модуль Юнга.
Как следует из зависимостей (1), все компоненты тензоров ОН и ПД выражаются через компоненту $\sigma _{x} =\sigma _{x} (y)$, поэтому при наличии известной экспериментальной зависимости $\sigma _{x} =\sigma _{x} (y)$ (рис. 2) оставшиеся компоненты тензоров ОН и ПД определяются соотношениями (1).
Однако экспериментальное определение этой зависимости возможно лишь в тонком упрочненном слое, поэтому необходимо построить аппроксимацию этой зависимости и экстраполировать ее на все значения $0\le y\le H$ в пределах высоты упрочненного образца $H=10$ мм с учетом условия самоуравновешенности ОН вида $\displaystyle \int _{0}^{H}\sigma _{x} (y) dy=0$. Для этого использовалась зависимость, предложенная в [15]:
\[ \begin{equation}
\sigma_x(y)=\sigma_0-\sigma_1\exp\Bigl[-\Bigl(\frac{y-y^*}{b}\Bigr)^2\Bigr],
\end{equation} \tag{2} \]
где $\sigma_0$, $\sigma_1$, $b$, $y^*$ — параметры аппроксимации экспериментальной эпюры $\sigma _{x} =\sigma _{x} (y)$, методика идентификации которых приведена в работе [15]. Дальнейшее использование зависимостей (1) и (2) в качестве исходной информации о начальном напряженно-деформированном состоянии поверхностно упрочненного образца необходимо для реализации метода расчета ОН и ПД в этом же образце, но уже с учетом несквозной V-образной трещины.
Рис. 2. Данные для компоненты $\sigma_x=\sigma_x(y)$ после ультразвукового упрочнения поверхности образца из сплава ЭП742: экспериментальные (маркеры), расчетные (сплошная линия) по аппроксимации (2) и расчетные (штриховая линия) для термоупругой задачи (воспроизведено по [27])
[Figure 2. Data for the component ${\sigma_x=\sigma_x(y)}$ after ultrasonic hardening of the surface of a sample made of EP742 alloy: experimental (markers), calculated (solid line) by approximation (2) and designed (dashed line) for the thermoelastic problem (reproduced by [27])]
3. Численный метод расчета остаточных напряжений в образце с V-образной трещиной в упругопластической постановке
В работе [14] показано, что решения задач о перераспределении ОН в области сквозного V-образного надреза, расположенного перпендикулярно оси $x$, в упругой и упругопластической постановках в области, прилегающей к концентратору напряжений, в среднеквадратичной норме отличаются на 100–200 % и более. При этом компонента $\sigma_x=\sigma_x(y)$ в упругом решении превышает по модулю временной предел сопротивления материала более чем в 3–5 раз, что говорит о нефизичности этих результатов. Основной причиной этого с позиций линейной механики разрушения является наличие сингулярности в вершине трещины для упругого материала. Это, в свою очередь, при численной реализации задачи приводит к большим значениям напряжений в конечных элементах геометрической сетки в слоях, непосредственно примыкающих к границе трещины, что отмечается во многих работах [23–26]. Например, при использовании $J$-интеграла в качестве критерия раскрытия трещины его значения в слоях КЭ, примыкающих к трещине, существенно отличаются от его стабильных значений в КЭ вдали от трещины. По этой причине мы рассматриваем задачу распределения остаточных напряжений в поверхностно упрочненном призматическом образце с V-образной несквозной трещиной исключительно в упругопластической постановке.
Реализация численного метода расчета ввиду повышенной сложности методики решения задачи возможна лишь с применением современных программных комплексов на основе метода конечных элементов (МКЭ). Поэтому в качестве компьютеризированной вычислительной среды был выбран программный комплекс инженерного анализа ANSYS Mechanical APDL. Аналогично [19] алгоритм численного метода решения задачи сводился к следующим этапам.
- Начальный этап численного расчета заключался в аппроксимации известной экспериментальной зависимости для компоненты $\sigma _{x} =\sigma _{x} (y)$ по формуле (2) (сплошная кривая на рис. 2 c параметрами аппроксимации: $y^*=0{.}034$ мм, $\sigma_0=13{.}38$ МПа, $\sigma_1=1100{.}98$ МПа, $b=0{.}0928$ мм [14–17, 19, 27]) и расчете полей ОН и ПД для гладкого образца по формулам (1).
- На втором этапе расчета в предварительно построенной модели гладкого «бездефектного» призматического образца задавалось неоднородное фиктивное распределение для температуры $T=T(y)$, закон изменения которой не влияет на последующее решение термоупругопластической задачи [14–17, 19].
 Компоненты остаточных ПД $q_{i} =q_{i} (y)$, рассчитанные предварительно по зависимостям (1), моделировались температурными деформациями с использованием соотношений
 \[ \begin{equation}
 q_i(y)=\beta_i(T(y))[T(y)-T_{0} ],\quad i=x,y,z,\; 0\leqslant y\leqslant H,
 \end{equation} \tag{3} \]
 где $\beta _{i} (T(y))$ — коэффициенты температурного расширения, $H=10$ мм — высота образца, $T=T(y)$ — неоднородное температурное поле с малым градиентом температур, не зависящее от закона распределения, $T_0=T(H)=20\,{}^\circ$C — фиксированное значение температуры на нижней грани образца (рис. 1), $T_1=T(0)=400\,{}^\circ$C — значение температуры на противоположной упрочненной грани.
 По известным значениям $q_{i} (y)$ и при заданном распределении температуры $T=T(y)$ по формуле (3) вычислялись коэффициенты температурного расширения $\beta _{i} =\beta _{i} (T(y))$.
 Далее с этими значениями численно МКЭ решалась термоупругая задача для гладкого образца для проверки адекватности метода сведения исходной задачи к фиктивной термоупругой.
 На рис. 2 штриховой линией представлены результаты расчета задачи фиктивной термоупругости методом КЭ для компоненты $\sigma_x=\sigma_x(y)$, которые практически совпадают с данными расчета по аппроксимации (2). Эти данные служили исходной информацией при осуществлении следующего расчетного этапа.
- На третьем этапе в соответствии с технологией ОППД на верхней грани предварительно упрочненного образца осуществлялась имитация его повреждения с образованием несквозной V-образной трещины с ненулевым углом раскрытия $\varphi=15^\circ$.
 На программном уровне этот процесс реализовывался удалением из модели гладкого поверхностно упрочненного образца части материала, представляющего объем дефекта с наведенными упрочнением ОН и ПД, что приводило поле полных деформаций к неуравновешенному состоянию.
 Состояние равновесия упрочненного образца с трещиной достигалось посредством перераспределения полей ОН и ПД в области трещины из численного решения задачи термоупругопластичности с сохранением температурного поля и вычисленных значений $\beta _{i} =\beta _{i} (T(y))$ в оставшейся после удаления части материала области.
Учет пластичности материала образца в модельных расчетах в программе ANSYS осуществлялся заданием диаграммы упругопластического деформирования в координатах «истинное напряжение – полная деформация» ($\sigma$ – $\varepsilon $). При этом предполагалось, что диаграммы «растяжение – сжатие» для рассматриваемого в работе сплава упрочненного образца ЭП742 идентичны (с учетом знака), а уровень образующихся ОН в области сжатия выше предела текучести (пропорциональности) $\sigma_{T} $ вблизи основания концентратора напряжений для случая образца с дефектом, что приводит к появлению здесь вторичных пластических деформаций. Поскольку исходная экспериментальная диаграмма для сплава ЭП742 представляется в виде «номинальное напряжение – полная деформация» ($\sigma _{0}$ – $\varepsilon $) с ниспадающим участком деформирования на закритической стадии деформирования, для пересчета номинальных $\sigma _{0}$ напряжений в истинные $\sigma $ с учетом теории реологического деформирования и накопления поврежденности использовались зависимости [22]
\[ \begin{equation}
\sigma =\sigma_0(1+\omega), \quad \dot{\omega }=\alpha \sigma \dot{q},
\end{equation} \tag{4} \]
где $\omega $ — параметр поврежденности; $q$ — пластичная деформация; $\alpha =\mathrm{const}$ — феноменологический параметр; $\sigma _0$, $\sigma$ — номинальное и истинное напряжения, соответствующие одному и тому же уровню пластической деформации $q$.
Для жесткого режима одноосного нагружения образца ($\dot{\varepsilon }=\mathrm{const}$) использовалась неявно заданная зависимость $\sigma_0=\sigma_0(q)$ [22]:
\[ \begin{equation}
q=c\biggl[\sigma_0\exp\biggl(\int_0^a\alpha\sigma_0(\xi)d\xi\biggr)-\sigma_{ T} \biggr]^n,
\end{equation} \tag{5} \]
где $\sigma_{ T}$ — предел текучести материала; $c$ и $n$ — параметры аппроксимации начального участка диаграммы упругопластического деформирования степенной зависимостью при $\omega \approx 0$ и $\sigma \cong \sigma _{0}$:
\[ \begin{equation}
q=c(\sigma _{0} -\sigma _{\rm T} )^n.
\end{equation} \tag{6} \]
Типовые кривые «мгновенного» упругопластического деформирования для сплава ЭП742 при температуре $20\,{}^\circ$C представлены на рис. 3. Здесь кривой 1 изображена экспериментальная диаграмма, кривыми 2 и 3 — диаграммы, рассчитанные в координатах $\sigma _{0}$ – $\varepsilon$ (с ниспадающим участком) и координатах $\sigma$ – $\varepsilon $ (монотонно возрастающая функция) по формулам (4)–(6) соответственно. Для построения кривой 3 использовались следующие параметры [22]: $\sigma_{T}=863{.}3$ МПа, $c=1{.}356 \cdot 10^{-6}$ МПа${}^{-n}$, $n= 1{.}776$, $\alpha=1{.}916 \cdot 10^{-3}$ МПа${}^{-1}$.
Рис. 3. Кривые упругопластического деформирования сплава ЭП742 при температуре $20\,{}^\circ$C: 1 — экспериментальные данные [22], 2 — расчет в координатах $\sigma_{0}$ – $\varepsilon$, 3 — расчет в координатах $\sigma$ – $\varepsilon$
[Figure 3. The stress-strain curves of the EP742 alloy under elastic-plastic deformation at a temperature of $20\,{}^\circ$C: 1 — experimental data [22], 2 — calculation in coordinates $\sigma _{0}$ – $\varepsilon$, 3 — calculation in coordinates $\sigma$ – $\varepsilon $]
Необходимость в расчетной кривой 3 на рис. 3 для сплава ЭП742 диктуется требованиями конечно-элементного пакета ANSYS, согласно которым учет упругопластических свойств возможен только при условии задания строго возрастающей зависимости между напряжением и деформацией. Для этого в истинных координатах $\sigma$ – $\varepsilon $ использовалась полилинейная модель материала, задаваемая в виде кусочно-линейной функции в координатах «напряжение – полная деформация» по точкам $(\sigma _{i}, \varepsilon _{i} )$, $i= 1, 2, 3, \dots , 100$.
Процесс конечно-элементного моделирования для рассматриваемого случая задачи поверхностно упрочненного образца с несквозной V-образной трещиной по сравнению с ранними работами [14, 16, 19] в этом направлении, в которых использовались образцы со сквозными надрезами, имеет следующую особенность.
Здесь построение модели образца начиналось с моделирования центрального объема, содержащего V-образную трещину, после чего выполнялось «наращивание» этой модели до достижения объемом призматической формы с размерами $100{\times}10{\times}10$ мм. Для этого в горизонтальной плоскости $xz$ (см. рис. 1) по исходным геометрическим параметрам трещины выполнялось построение малой поверхности с V-образным вырезом, после чего на ней осуществлялась генерация плоской сетки из фиктивных поверхностных четырехузловых элементов типа MESH200. Далее методом экструзии вдоль предварительно построенной кривой вытягивания (будущей линии фронта трещины) формировался объем с трещиной, представленный восьмиузловыми элементами SOLID185. В завершение полученная часть модели с дефектом достраивалась также методом экструзии до формирования полноценной конечно-элементной модели призматического образца, состоящей также из элементов SOLID185. Однородность сетки построенной конечно-элементной модели при этом достигалась посредством правильного соответствия всеми элементами своим узловым точкам, что исключило вероятность появления программных ошибок при проведении расчетов. Процедура моделирования тонкого упрочненного слоя толщиной до 200 мкм, необходимая для правильной реализации расчета ОН на всех расчетных этапах модели поверхностно упрочненного образца (как при имитации процедуры упрочнения гладкого, так и при инициации концентратора напряжений), реализовывалась выбором конечных элементов с линейным размером ребер не более 7 мкм.
Важно отметить, что выбор типа конечных элементов SOLID185 обоснован необходимостью проведения структурного анализа построенной модели с учетом свойств пластичности и больших деформаций, а также решения температурной задачи за счет встроенной в программу ANSYS функции замены на элементы SOLID70 и обратно без необходимости перестроения сетки элементов расчетной математической модели.
4. Апробация метода и анализ полученных результатов
Анализ разработанного метода расчета ОН в области V-образной трещины поверхностно упрочненного призматического образца выполнялся на примере двух расчетных случаев модели с глубиной дефекта $b=0{.}1$ мм и $b=0{.}3$ мм соответственно.
Детальное исследование распределения ОН выполнялось по полученным значениям напряжений в узлах конечно-элементной модели, распределенных вдоль четырех основных направлений (рис. 4):
- по глубине $h$ от начала трещины вдоль оси $y$ от точки $A$ (контур I);
- по глубине $h$ от дна трещины в центральном сечении вдоль оси $y$ от точки $B$ (контур II);
- вдоль линии фронта трещины от точки $A$ в направлении точки $B$ (контур III);
- вдоль левой кромки берега раскрытия трещины от точки $A$ в направлении точки $C$ (контур IV).
Важно отметить, что в зависимости от выбранной схемы исследования оценка характера распределения ОН производилась по глубине $h$ от упрочненной поверхности для контура I и по глубине $h$ от дна трещины для контура II, а ввиду симметрии модели относительно продольного центрального сечения — по полудлине фронта трещины $l_1$ (контур III) и полудлине левой кромки берега трещины $l_2$ (контур IV).
Рис. 4. Схематическое изображение основных контуров для визуализации распределения остаточных напряжений: I — по глубине от начала трещины, II — по глубине от центра трещины, III — вдоль фронта трещины, IV — вдоль левой кромки берега трещины
[Figure 4. Schematic representation of the main contours for visualizing the distribution of residual stresses: I — with depth from the crack origin, II — with depth from the crack center, III — along the crack front, IV — along the left edge of the crack bank]
На рис. 5–8 приведены распределения компонент ОН $\sigma _{i}$, $i=x, y, z$, по вышеобозначенным контурам несквозной V-образной трещины в поверхностно упрочненном призматическом образце для случаев глубины дефекта 0.1 и 0.3 мм. Отметим, что на рис. 7, 8 приведены значения ОН в области вершины несквозной трещины, так как за пределами вершины трещины они выходят на постоянные значения (происходит их стабилизация).
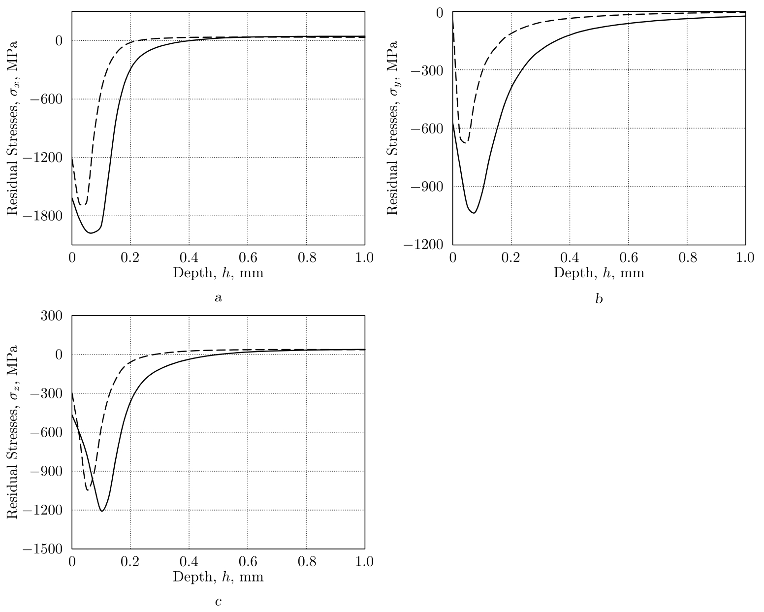
Рис. 5. Распределение компонент остаточных напряжений $\sigma_{x}$ (a), $\sigma_{y}$ (b) и $\sigma_{z}$ (c) по контуру I для случаев глубины дефекта 0.1 мм (сплошные линии) и 0.3 мм (штриховые линии)
[Figure 5. The distribution of residual stress components $\sigma_{x}$ (a), $\sigma_{y}$ (b), and $\sigma_{z}$ (c) along contour I for defect depths of 0.1 mm (solid lines) and 0.3 mm (dashed lines)]
Рис. 6. Распределение компонент остаточных напряжений $\sigma_{x}$ (a), $\sigma_{y}$ (b) и $\sigma_{z}$ (c) по контуру II для случаев глубины дефекта 0.1 мм (сплошные линии) и 0.3 мм (штриховые линии)
[Figure 6. The distribution of residual stress components $\sigma_{x}$ (a), $\sigma_{y}$ (b), and $\sigma_{z}$ (c) along contour II for defect depths of 0.1 mm (solid lines) and 0.3 mm (dashed lines)]
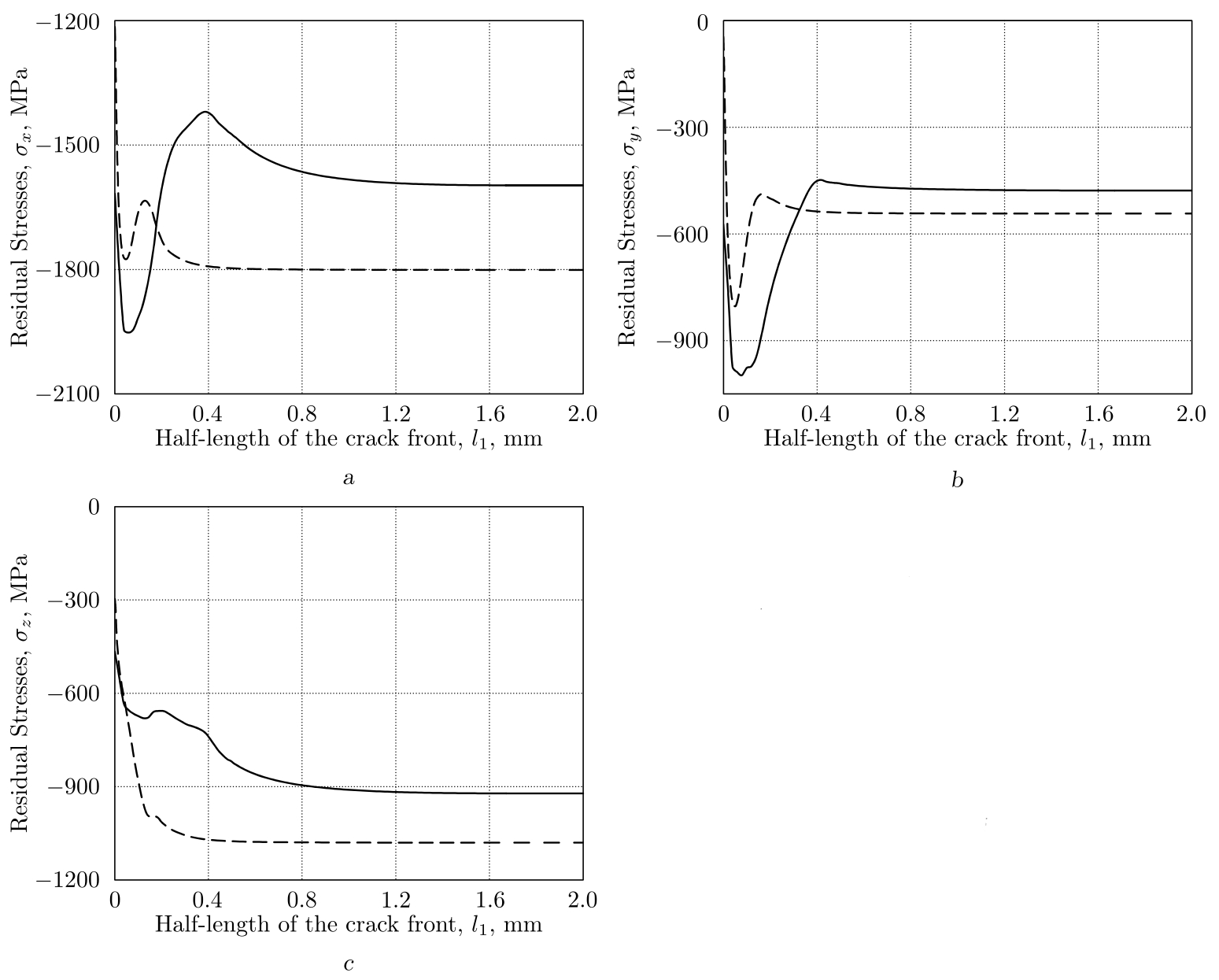
Рис. 7. Распределение компонент остаточных напряжений $\sigma_{x}$ (a), $\sigma_{y}$ (b) и $\sigma_{z}$ (c) по контуру III для случаев глубины дефекта 0.1 мм (сплошные линии) и 0.3 мм (штриховые линии)
[Figure 7. The distribution of residual stress components $\sigma_{x}$ (a), $\sigma_{y}$ (b), and $\sigma_{z}$ (c) along contour III for defect depths of 0.1 mm (solid lines) and 0.3 mm (dashed lines)]
Рис. 8. Распределение компонент остаточных напряжений $\sigma_{x}$ (a), $\sigma_{y}$ (b) и $\sigma_{z}$ (c) по контуру IV для случаев глубины дефекта 0.1 мм (сплошные линии) и 0.3 мм (штриховые линии)
[Figure 8. The distribution of residual stress components $\sigma_{x}$ (a), $\sigma_{y}$ (b), and $\sigma_{z}$ (c) along contour IV for defect depths of 0.1 mm (solid lines) and 0.3 mm (dashed lines)]
Анализ результатов для случаев распределения ОН по контуру I (рис. 5), контуру III (рис. 7) и контуру IV (рис. 8) показал, что практически для всех компонент $\sigma_{i}$, $i=x, y, z$, при глубине дефекта 0.3 мм наблюдаются бóльшие (по модулю) значения остаточных сжимающих напряжений, чем при глубине дефекта 0.1 мм. Это явление обусловлено дополнительным изменением ОН напряжений вследствие появления изгибающего момента от эффекта закрытия трещины, причем по мере увеличения глубины дефекта интенсивность напряжений возрастает. Поэтому сжимающие ОН для всех компонент тензора (за исключением компоненты $\sigma _{z}$ на рис. 7, c и рис. 8, c) при глубине дефекта 0.1 мм в упрочненном слое приобретают меньшие значения в пределах от 0.008 мм для компоненты $\sigma _{x}$ (рис. 8, a) до 1 мм для компоненты ОН $\sigma_{y}$ (рис. 5, b), после чего наблюдается стабилизация численных значений ОН по для обоих расчетных случаев в зависимости от глубины трещины.
При анализе распределения ОН по высоте $h$ от дна трещины в центральном сечении (рис. 6) полученные результаты для соответствующих компонент при глубинах дефекта 0.1 и 0.3 мм дают близкие результаты.
Частичная адекватность разработанного метода расчета полей ОН в зоне дефекта оценивалась исходя из характера распределений напряжений $\sigma _{x} $ и $\sigma _{y}$, рассчитанных вдоль кромки одного из берегов трещины по полудлине $l_2$ и практически равных нулю (рис. 8, a, b), за исключением области, непосредственно примыкающей к вершине трещины. Согласно теории механики разрушения, напряжения в местах разрыва материала, где наблюдается расхождение берегов трещины, равны нулю, поскольку материал конструкции в этом месте не оказывает сопротивления. При этом компонента $\sigma_{z}$, распределенная вдоль берегов трещины, для рассматриваемого случая отлична от нуля (рис. 8, c). Важно отметить, что экстремальные значения ОН для всех исследуемых компонент принимают в области вблизи дна концентратора (линии фронта трещины).
Еще один аспект частичной проверки адекватности численного метода состоит в том, что, как это следует из рис. 5 и 6, компоненты $\sigma_x$ и $\sigma_z$ с удалением от упрочненной поверхности стремятся к значению $\sigma_0=13.38$ МПа в аппроксимации (2) для гладкого образца. Это связано с тем, что трещина влияет на напряженно-деформированное состояние только в непосредственной близости от себя, в то время как на большем расстоянии ОН практически совпадают с соответствующими значениями для гладкого образца. Компонента же $\sigma_y$ с удалением от упрочненной поверхности приближается к нулю, что не противоречит условию $\sigma_y(y)=0$ ($0\leqslant y\leqslant H$) для гладкого образца.
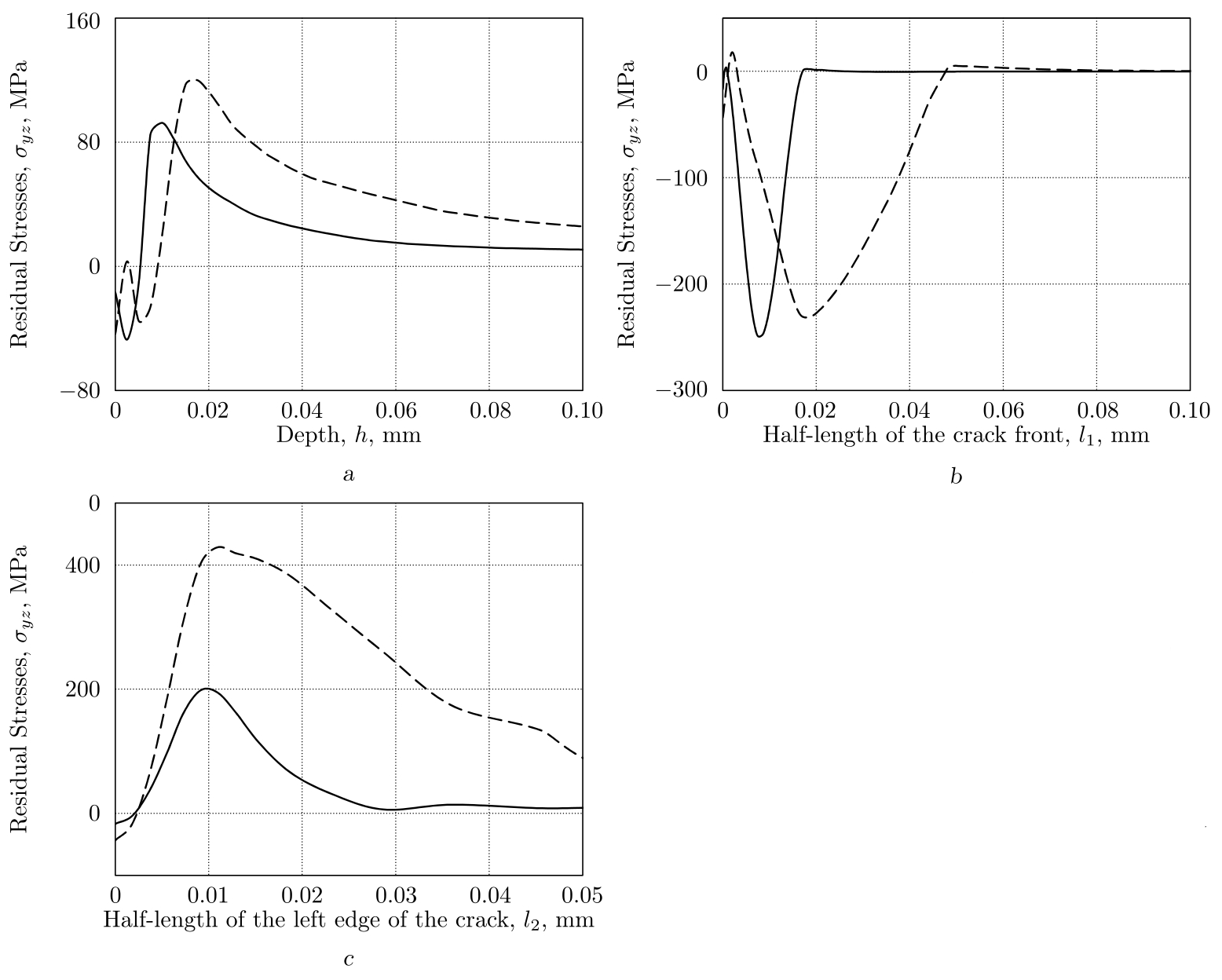
Помимо нормальных компонент ОН исследовались и касательные напряжения. Оценка уровня и характера их распределения в упрочненных деталях и элементах конструкций также вызывает интерес, поскольку при эксплуатации изделий такие напряжения чаще всего приводят к мгновенному разрушению по наиболее ослабленному сечению. Исследование касательных напряжений проводилось по тем же контурам I–IV (см. рис. 4), что и для нормальных компонент ОН.
Наглядная иллюстрация распределения компонент тензора напряжений $\sigma_{xy}$, $\sigma_{xz}$ и $\sigma_{yz}$ в области несквозной трещины по контурам I, III и IV для дефектов глубиной 0.1 и 0.3 мм приведена на рис. 9, 10. Необходимо отметить, что графическое представление по всем трем компонентам касательных напряжений приведено лишь при изучении распределения ОН по глубине $h$ от точки $A$ наружной поверхности трещины (контур I), поскольку полученные значения отличны от нуля, а их уровень соизмерим с уровнем нормальных компонент тензора ОН $\sigma _{i}$, $i=x, y, z$. Для других контуров (за исключением контура II) ненулевые значения присутствуют только у компоненты $\sigma_{yz}$. При анализе касательных напряжений по контуру II установлено, что все значения этих напряжений в центральном сечении трещины пренебрежимо малы и практически равны нулю.
Рис. 9. Распределение компонент остаточных напряжений $\sigma_{xy}$ (a), $\sigma_{xz}$ (b) по контуру IV для случаев глубины дефекта 0.1 мм (сплошные линии) и 0.3 мм (штриховые линии)
[Figure 9. The distribution of residual stress components $\sigma_{xy}$ (a) and $\sigma_{xz}$ (b) along contour IV for defect depths of 0.1 mm (solid lines) and 0.3 mm (dashed lines)]
Рис. 10. Распределение компоненты остаточных напряжений $\sigma_{yz}$ по контурам I (a), III (b) и IV (c) для случаев глубины дефекта 0.1 мм (сплошные линии) и 0.3 мм (штриховые линии)
[Figure 10. The distribution of residual stress component $\sigma_{yz}$ along contour I (a), III (b), and IV (c) for defect depths of 0.1 mm (solid lines) and 0.3 mm (dashed lines)]
Из рисунков видно, что касательные напряжения принимают максимальные (по модулю) значения при их распределении по кромке берега трещины на расстоянии около 5–10 мкм от фронта дефекта для компонент $\sigma_{xz}$ при обоих случаях глубины дефекта $b$ и для $\sigma_{yz}$ при глубине дефекта, равной 0.3 мм, после чего наблюдается асимптотическое приближение их значений к нулю. Также установлено, что для всех рассматриваемых компонент значения касательных напряжений при глубине дефекта 0.3 мм принимают бóльшие значения, чем при глубине дефекта 0.1 мм (см. рис. 9, a, 10, a, 10, c), либо равные значения, а в некоторых случаях их значения близки для случаев глубины дефекта $b=0.1$ мм и $b=0.3$ мм (рис. 9, b, 10, b).
Отдельно рассмотрим данные на рис. 5, a, 6, a, 7, a и 8, a. Здесь зафиксированы очень высокие расчетные значения компоненты $\sigma_x$. Численное решение в упругопластической области было получено для истинных напряжений (см. рис. 3). Если сравнить расчетные зависимости истинных напряжений $\sigma=\sigma(\varepsilon)$ и номинальных $\sigma_0=\sigma_0(\varepsilon)$ на рис. 3, то номинальные значения ОН окажутся значительно меньшими по модулю. Для этого, учитывая скалярный параметр поврежденности $\omega$ согласно (4)), достаточно в первом приближении вычислить коэффициент отношения $\sigma/\sigma_0$ при одинаковом значении пластической деформации $q$, используя графики на рис. 3. Например, для номинальных напряжений $\sigma_0$ их максимальные (по модулю) значения составят $1000{\div}1100$ МПа, и согласно графикам для $\sigma_0=\sigma_0(\varepsilon)$ следует, что это соответствует закритической стадии деформирования, поэтому в этой области возможно наличие пластического разупрочнения материала.
5. Выводы
На основе представленных результатов можно сформулировать следующие выводы.
- Разработан метод расчета ОН и ПД в поверхностно упрочненном призматическом образце с несквозной поверхностной V-образной трещиной после применения технологии ОППД в упругопластической постановке, базирующийся на конечно-элементном моделировании и известном начальном напряженно-деформированном состоянии для гладкого упрочненного призматического образца.
- Для рассмотренных в работе случаев решения задачи с концентратором напряжений в виде несквозной поперечной трещины полученные результаты распределения ОН для всех исследуемых контуров демонстрируют целесообразность использования упругопластической постановки задачи.
- Наличие значительного уровня сжимающих ОН вдоль всех рассматриваемых контуров в области дефекта (в частности, вдоль линии фронта трещины) показывает возможное влияние не только на остановку развития трещины, но и на ее закрытие, что доказывает эффективность поверхностного упрочнения по технологии ОППД.
Конкурирующие интересы. У нас нет конфликта интересов в отношении авторства и публикации этой статьи.
Авторский вклад и ответственность. Все авторы принимали участие в разработке концепции статьи и в написании рукописи. Авторы несут полную ответственность за предоставление окончательной рукописи в печать. Окончательная версия рукописи была одобрена всеми авторами.
Финансирование. Исследование выполнено за счет гранта Российского научного фонда № 23–29–00434, https://rscf.ru/project/23-29-00434/.
Об авторах
Владимир Павлович Радченко
Самарский государственный технический университет
							Автор, ответственный за переписку.
							Email: radchenko.vp@samgtu.ru
				                	ORCID iD: 0000-0003-4168-9660
				                	SPIN-код: 1823-0796
							Scopus Author ID: 7004402189
							ResearcherId: J-5229-2013
				                	http://www.mathnet.ru/person38375
							
доктор физико-математических наук, профессор; заведующий кафедрой; каф. прикладной математики и информатики
Россия, 443100, Самара, ул. Молодогвардейская, 244Михаил Николаевич Саушкин
Самарский государственный технический университет
														Email: saushkin.mn@samgtu.ru
				                	ORCID iD: 0000-0002-8260-2069
				                	SPIN-код: 9740-1416
							Scopus Author ID: 35318659800
							ResearcherId: A-8120-2015
				                	https://www.mathnet.ru/person38368
							
кандидат физико-математических наук, доцент, доцент, каф. прикладной математики и информатики
Россия, 443100, Самара, ул. Молодогвардейская, 244Дмитрий Михайлович Шишкин
Сызранский филиал Самарского государственного технического университета
														Email: shishkin.dim@yandex.ru
				                	ORCID iD: 0000-0003-3205-2262
				                																			                	https://www.mathnet.ru/person164459
							
кандидат технических наук; доцент; каф. общетеоретических дисциплин
Россия, 446001, Самарская обл., Сызрань, ул. Советская, 45Список литературы
- Van Dake J., Nganbe M. Numerical assessment of blade deflection and elongation for improved monitoring of blade and TBC damage // Eng. Res. Express, 2021. vol. 3, 015001. DOI: https://doi.org/10.1088/2631-8695/abd5a6.
- Xu Y., Cheng L., Shu Ch., et al. Foreign object damage performance and constitutive modeling of titanium alloy blade // Int. J. Aerospace Eng., 2020. vol. 2020. pp. 1–10. DOI: https://doi.org/10.1155/2020/2739131.
- Eriksson E., Moverare J., Chen Z., Simonsson K. The effect of notches on the fatigue life of a nickel-base gas turbine disk material // Acta Polytech. CTU Proc., 2018. vol. 20. pp. 34–42. DOI: https://doi.org/10.14311/APP.2018.20.0034.
- Liu B., Yan X. An extension research on the theory of critical distances for multiaxial notch fatigue finite life prediction // Int. J. Fatigue, 2018. vol. 117. pp. 217–229. DOI: https://doi.org/10.1016/j.ijfatigue.2018.08.017.
- Macek W. Fracture surface formation of notched 2017A-T4 aluminium alloy under bending fatigue // Int. J. Fatigue, 2022. vol. 234. pp. 141–157. DOI: https://doi.org/10.1007/s10704-021-00579-y.
- Биргер И. А. Остаточные напряжения. М.: Машгиз, 1963. 232 с.
- Гринченко И. Г. Упрочнение деталей из жаропрочных и титановых сплавов. М.: Машиностроение, 1971. 120 с.
- Иванов С. И., Шатунов М. П., Павлов В. Ф. Влияние остаточных напряжений на выносливость образцов с надрезом / Вопросы прочности элементов авиационных конструкций, Т. 1. Куйбышев: КуАИ, 1974. С. 88–95.
- Кудрявцев И. В. Поверхностный наклеп для повышения прочности и долговечности деталей машин поверхностным пластическим деформированием. М.: Машиностроение, 1969. 100 с.
- Ножницкий Ю. А., Фишгойт А. В., Ткаченко Р. И., Теплова С. В. Разработка и применение новых методов упрочнение деталей ГТД, основанных на пластическом деформировании поверхностных слоев // Вестник двигателестроения, 2006. №2. С. 8–16.
- Сулима А. М., Шувалов В. А., Ягодкин Ю. Д. Поверхностный слой и эксплуатационные свойства деталей машин. М.: Машиностроение, 1988. 240 с.
- Павлов В. Ф., Букатый А. С., Семенова О. Ю. Прогнозирование предела выносливости поверхностно упрочненных деталей с концентраторами напряжений // Вестн. машиностроения, 2019. №1. С. 3–7. EDN: VTAEPK.
- Павлов В. Ф., Кирпичев В. А., Вакулюк В. С. Прогнозирование сопротивления усталости поверхностно упрочненных деталей по остаточным напряжениям. Самара: Самар. науч. центр РАН, 2012. 125 с.
- Радченко В. П., Шишкин Д. М., Саушкин М. Н. Численное решение задачи о напряженно-деформированном состоянии поверхностно упрочненного призматического образца с надрезом V-образного профиля в упругой и упругопластической постановках // Вестн. Сам. гос. техн. ун-та. Сер. Физ.-мат. науки, 2023. Т. 27, №3. С. 491–508. EDN: CDEJKC. DOI: https://doi.org/10.14498/vsgtu2017.
- Радченко В. П., Саушкин М. Н., Бочкова Т. И. Математическое моделирование и экспериментальное исследование формирования и релаксации остаточных напряжений в плоских образцах из сплава ЭП742 после ультразвукового упрочнения в условиях высокотемпературной ползучести // Вестн. Перм. нац. иссл. политехн. ун-та. Механика, 2016. №1. С. 93–112. EDN: VQTAHL. DOI: https://doi.org/10.15593/perm.mech/2016.1.07.
- Радченко В. П., Шишкин Д. М. Метод реконструкции остаточных напряжений в призматическом образце с надрезом полукруглого профиля после опережающего поверхностного пластического деформирования // Изв. Сарат. ун-та. Нов. сер. Сер. Математика. Механика. Информатика, 2020. Т. 20, №4. С. 478–492. EDN: ZPKSUN. DOI: https://doi.org/10.18500/1816-9791-2020-20-4-478-492.
- Радченко В. П., Афанасьева О. С., Глебов В. Е. Влияние технологии поверхностного пластического упрочнения, остаточных напряжений и граничных условий на выпучивание балки // Вестн. Перм. нац. иссл. политехн. ун-та. Механика, 2020. №1. С. 87–98. EDN: IJMTQN. DOI: https://doi.org/10.15593/perm.mech/2020.1.07.
- Радченко В. П., Павлов В. Ф., Саушкин М. Н. Исследование влияния анизотропии поверхностного пластического упрочнения на распределение остаточных напряжений в полых и сплошных цилиндрических образцах // Вестн. Перм. нац. иссл. политехн. ун-та. Механика, 2015. №1. С. 130–147. EDN: TVSBYV. DOI: https://doi.org/10.15593/perm.mech/2015.1.09.
- Радченко В. П., Шишкин Д. М. Численный метод расчета напряженно-деформированного состояния в призматическом поверхностно упрочненном образце с надрезом в упругой и упругопластической постановках // Изв. Сарат. ун-та. Нов. сер. Сер. Математика. Механика. Информатика, 2021. Т. 21, №4. С. 503–519. EDN: KNHHLG. DOI: https://doi.org/10.18500/1816-9791-2021-21-4-503-519.
- Сазанов В. П. Исследование закономерностей остановки усталостной трещины в цилиндрическом образце с надрезом // Вестник Самарского университета. Аэрокосмическая техника, технологии и машиностроение, 2018. Т. 17, №1. С. 160–169. EDN: UPOWMG. DOI: https://doi.org/10.18287/2541-7533-2018-17-1-160-169.
- Nag Chaudhury J. Effect of heat treatment, pre-stress and surface hardening on fracture toughness of micro-alloyed steel // J. Mater. Eng.Perform., 2013. vol. 23, no. 1. pp. 152–168. DOI: https://doi.org/10.1007/s11665-013-0709-6.
- Радченко В. П., Еремин Ю. А. Реологическое деформирование и разрушение материалов и элементов конструкций. М.: Машиностроение-1, 2004. 265 с. EDN: QNATSX.
- Морозов Е. М., Никишков Г. П. Метод конечных элементов в механике разрушения. М.: ЛКИ, 2008. 256 с.
- Партон В. З., Морозов Е. М. Механика упругопластического разрушения: основы механики разрушения. М.: ЛКИ, 2008. 352 с.
- Shiratori M., Miyoshi T., Matsushita H. Computational Fracture Mechanics. Tokyo: Jitsukyo Publ., 1980 (In Japanese).
- Скворцов Ю. В., Глушков С. В. Моделирование несквозных поверхностных трещин в тонкостенных конструкциях // Вест. Самар. гос. аэрокосм. ун-та, 2011. №3. С. 187–191. EDN: OWYQXP.
- Радченко В. П., Шишкин Д. М. Влияние размеров области поверхностного упрочнения на напряженно-деформированное состояние балки с надрезом полукруглого профиля // Вестн. Сам. гос. техн. ун-та. Сер. Физ.-мат. науки, 2020. Т. 24, №4. С. 663–676. EDN: GQGTTH. DOI: https://doi.org/10.14498/vsgtu1828.
Дополнительные файлы
 
				
			 
						 
					 
									
 
  
  
  Отправить статью по E-mail
			Отправить статью по E-mail 











