Inhomogeneous Ekman flow
- Authors: Burmasheva N.V.1,2, Prosviryakov E.Y.1,2
-
Affiliations:
- Ural Federal University named after the first President of Russia B. N. Yeltsin
- Institute of Engineering Science, Ural Branch of RAS
- Issue: Vol 29, No 3 (2025)
- Pages: 486-502
- Section: Mathematical Modeling, Numerical Methods and Software Complexes
- URL: https://journals.eco-vector.com/1991-8615/article/view/679529
- DOI: https://doi.org/10.14498/vsgtu2179
- EDN: https://elibrary.ru/CQUYOV
- ID: 679529
Cite item
Full Text
Abstract
This paper presents a new exact solution describing the inhomogeneous distribution of velocity and pressure fields in the problem of isothermal steady shear flow of a viscous incompressible fluid. The obtained exact solutions remain valid when the kinematic viscosity is replaced by the turbulent viscosity in the Navier–Stokes equations.
It is shown that in the class of functions that are linear in some coordinates, a joint inhomogeneous solution for the velocity field can have only a specific structure—with constant spatial accelerations. In this case, either only two specific accelerations vanish, or all four spatial accelerations equal zero (homogeneous velocity field, Ekman solution). No other joint solutions exist in the specified class.
The case of two nonzero spatial accelerations is analyzed in detail, and the complete exact solution is provided. To understand the main properties of this solution, the corresponding boundary value problem is investigated and comprehensive illustrative material is presented.
Keywords
Full Text
Introduction
The description of natural fluid flows is based on the equations of geophysical hydrodynamics, which are derived from the standard Navier–Stokes equations by accounting for planetary rotation [1–3]. The study of fluid flows was initiated by Ekman in his seminal paper [4]. Ekman investigated flows not on a sphere but on a tangent plane attached at a specific point (a region of study within the World Ocean). Thus, in developing the theory of oceanic and sea currents, Ekman introduced the idea of locally neglecting the planet's sphericity. This simplification allowed the vast majority of subsequent studies to use only one Coriolis parameter (the first Coriolis parameter) to describe rotation. This approach in geophysical hydrodynamics became known as the “primitive equations” of ocean theory [5–8].
In a rectangular Cartesian coordinate system, Ekman derived equations of motion for a rotating fluid by considering the balance of inertial forces and viscous friction forces, supplemented by the continuity (incompressibility) equation [4]. The fluid motions considered in his article belong to the class of shear flows and are described by an overdetermined system of partial differential equations.
It should be noted that the classification of Ekman flow types varies depending on the frame of reference. Ekman's pioneering work [4] considered isobaric flow in a rotating coordinate system. In other words, the pressure force is balanced by the centrifugal force. If the fluid flow is considered in a stationary (inertial) coordinate system, such motion is not isobaric. Gradient Ekman flows (Ekman–Couette–Poiseuille flows) were first considered in the monograph [9].
When constructing an exact solution for the equations of the rotating ocean, Ekman proposed an exact solution for the overdetermined system, describing a homogeneous shear flow; that is, the velocity field structure is determined solely by the vertical (transverse) coordinate. In this case, the continuity (incompressibility) equation was automatically satisfied. Consequently, it became a “redundant” equation in the overdetermined system of partial differential equations. The Ekman exact solution now serves as a starting point for investigating World Ocean currents. Initially, it was used to model fluid motion in an infinite ocean. Gradually, perspectives shifted, and a transition occurred from modeling the ocean as having infinite depth to a layer of finite thickness [8–21].
Studies in [18, 19] initiated research on modifying the Ekman exact solution by incorporating two or three Coriolis parameters in the representation of the angular velocity vector to describe inhomogeneous shear flows. An exact solution was constructed for the overdetermined Navier–Stokes system within the Lin–Sidorov–Aristov class. Note that the type of exact solution describing an inhomogeneous Ekman-type flow is determined by the combination of Coriolis parameters and the curvature of the pressure field (which leads to a change in the type of the differential equation).
Despite the increasing number of modifications and generalizations of the Ekman exact solution [23–29], specialists in geophysical hydrodynamics perceive a deficit of research on boundary value problems for the mathematical and physical modeling of World Ocean currents. This paper analyzes an exact solution to a boundary value problem describing an inhomogeneous Ekman flow with a single (first) Coriolis parameter.
1. Problem Statement
We consider an isothermal steady flow of a rotating viscous incompressible fluid. The rotation is characterized by a constant angular velocity $\mathbf{\Omega}$. We assume that the vector $\mathbf{\Omega}$ has only one nonzero component (the single Coriolis parameter approximation) [5, 6, 12]:
\[\mathbf{\Omega} = \frac{1}{2}(0, 0, f).\]
The system of Navier–Stokes equations, taking into account the inertial force (in the rotating coordinate system), takes the form [10, 12]:
\[\begin{equation}
\tag{1}
\begin{array}{l}
( \mathbf{V} \cdot \nabla ) \mathbf{V} + 2\mathbf{\Omega} \times \mathbf{V} = -\nabla P + \nu \Delta \mathbf{V},
\\
\nabla \cdot \mathbf{V} = 0.
\end{array}
\end{equation}\]
Here $\mathbf{V} = \bigl( V_x(x,y,z), V_y(x,y,z), V_z(x,y,z) \bigr)$ is the velocity vector; $P(x,y,z)$ is the reduced pressure normalized by density, obtained from the true pressure $p$ by subtracting the centrifugal component $\frac{\rho}{2} ( \mathbf{\Omega} \times \mathbf{r}, \mathbf{\Omega} \times \mathbf{r} )$ and accounting for potential body forces; $\nu$ is the kinematic viscosity of the fluid; $\nabla$, $\Delta $ are the Hamiltonian and Laplace operators, respectively.
In coordinate form, system (1) for inhomogeneous shear flows
\[\mathbf{V} = (V_x(x,y,z), V_y(x,y,z), 0)\] becomes:
\[\begin{equation}
\tag{2}
\begin{array}{l}
V_x \dfrac{\partial V_x}{\partial x} + V_y \dfrac{\partial V_x}{\partial y} - f V_y = -\dfrac{\partial P}{\partial x} + \nu \left( \dfrac{\partial^2 V_x}{\partial x^2} + \dfrac{\partial^2 V_x}{\partial y^2} + \dfrac{\partial^2 V_x}{\partial z^2} \right),
\\
V_x \dfrac{\partial V_y}{\partial x} + V_y \dfrac{\partial V_y}{\partial y} + f V_x = -\dfrac{\partial P}{\partial y} + \nu \left( \dfrac{\partial^2 V_y}{\partial x^2} + \dfrac{\partial^2 V_y}{\partial y^2} + \dfrac{\partial^2 V_y}{\partial z^2} \right),
\\
\dfrac{\partial P}{\partial z} = 0, \qquad
\dfrac{\partial V_x}{\partial x} + \dfrac{\partial V_y}{\partial y} = 0.
\end{array}
\end{equation}\]
The resulting system (2) is quadratically nonlinear and overdetermined. To resolve the overdeterminacy, we consider a velocity field of the following form [10, 18, 19]:
\[\begin{equation}
\tag{3}
V_x = U(z) + u(z) y, \quad V_y = V(z).
\end{equation}\]
Functions of the form (3) identically satisfy the last equation of system (2)—the incompressibility equation. The components on the right-hand sides of expressions (3) can nonlinearly depend on the vertical (transverse) coordinate $z$.
The solution for the pressure field is also sought in the form of a complete linear function of the horizontal (longitudinal) coordinates $x$ and $y$:
\[\begin{equation}
\tag{4}
P = P_0 + P_1 x + P_2 y.
\end{equation}\]
Note that the coefficients of the longitudinal coordinates in formula (4) (unlike expressions (3)) do not depend on the vertical coordinate $z$ due to the penultimate equation of system (2), meaning they are constants. The values of the pressure field components are determined from the boundary conditions or from a point in the flow region where the pressure is known.
In [10, 18, 19], it was shown that the overdetermined system (2) is solvable in the class
\[\begin{equation}
\tag{5}
\begin{array}{l}
V_x = U(z) + u_1(z) x + u_2(z) y, \quad V_y = V(z) + v_1(z) x + v_2(z) y,
\\
P = P_0(z) + P_1(z) x + P_2(z) y + P_{12}(z) xy + P_{11}(z) \dfrac{x^2}{2} + P_{22}(z) \dfrac{y^2}{2},
\end{array}
\end{equation}\]
which generalizes the class (3), (4).
Note that the attractiveness of the class (3) (besides identically satisfying the incompressibility equation in system (2)) also lies in the fact that the class (3) reduces to the Lin–Sidorov–Aristov class (5) by a coordinate transformation (rotation):
\[ x \to x \cos \psi + y \sin \psi \overset{\text{not}}{=} \overline{x}, \quad y \to -x \sin \psi + y \cos \psi \overset{\text{not}}{=} \overline{y},\]
or (due to the invertibility of the rotation transformation)
\[x = \overline{x} \cos \psi - \overline{y} \sin \psi, \quad y = \overline{x} \sin \psi + \overline{y} \cos \psi.\]
Then
\[\begin{multline*}
\overline{V_x} = V_x \cos \psi + V_y \sin \psi = ( U + u y ) \cos \psi + V \sin \psi ={}
\\
{}= \bigl( U + u ( \overline{x} \sin \psi + \overline{y} \cos \psi ) \bigr) \cos \psi + V \sin \psi ={}
\\
{}= U \cos \psi + V \sin \psi + u \sin \psi \cos \psi \overline{x} + u \cos^2 \psi \overline{y} = \overline{U} + \overline{u_1} \overline{x} + \overline{u_2} \overline{y};
\end{multline*}\]
\[\begin{multline*}
\overline{V_y} = -V_x \sin \psi + V_y \cos \psi = - ( U + u y ) \sin \psi + V \cos \psi ={}
\\
{}= -\bigl( U + u ( \overline{x} \sin \psi + \overline{y} \cos \psi ) \bigr) \sin \psi + V \cos \psi = {}
\\
= -U \sin \psi + V \cos \psi - u \sin^2 \psi \overline{x} - u \sin \psi \cos \psi \overline{y} = \overline{V} + \overline{v_1} \overline{x} + \overline{v_2} \overline{y}.
\end{multline*}\]
Next, we substitute the class (3), (4) into the first two equations of system (2) (the last two equations of this system are automatically satisfied by the choice of the class (3), (4)):
\[\begin{multline*}
\bigl( U(z) + u(z) y \bigr) \frac{\partial \bigl( U(z) + u(z) y \bigr)}{\partial x} +
V(z) \frac{\partial \bigl( U(z) + u(z) y \bigr)}{\partial y} - f V(z) ={}
\\
= -\frac{\partial ( P_0 + P_1 x + P_2 y )}{\partial x} + {} \hspace{6cm}
\\
+{} \nu \Bigl(
\frac{\partial^2 \bigl( U(z) + u(z) y \bigr)}{\partial x^2} +
\frac{\partial^2 \bigl( U(z) + u(z) y \bigr)}{\partial y^2} +
\frac{\partial^2 \bigl( U(z) + u(z) y \bigr)}{\partial z^2}
\Bigr),
\end{multline*}\]
\[\begin{multline*}
\bigl( U(z) + u(z) y \bigr) \frac{\partial V(z)}{\partial x} +
V(z) \frac{\partial V(z)}{\partial y} + f \bigl( U(z) + u(z) y \bigr) ={}
\\
{} = -\frac{\partial ( P_0 + P_1 x + P_2 y )}{\partial y} +
\nu \Bigl( \frac{\partial^2 V(z)}{\partial x^2} + \frac{\partial^2 V(z)}{\partial y^2} + \frac{\partial^2 V(z)}{\partial z^2} \Bigr).
\end{multline*}\]
Computing the necessary partial derivatives, we arrive at the following system of equations:
\[\begin{gather*}
u V - f V = -P_1 + \nu ( U'' + u'' y ),
\\
f ( U + u y ) = -P_2 + \nu V''.
\end{gather*}\]
Here, the prime denotes the derivative with respect to the vertical coordinate $z$. Applying the method of undetermined coefficients to the equations of the last system, we obtain the following equivalent system:
\[\begin{equation}
\tag{6}
\begin{array}{r l}
( u - f ) V = -P_1 + \nu U'', & u'' = 0,
\\
f U = -P_2 + \nu V'', & u = 0.
\end{array}
\end{equation}\]
The fulfillment of the last equation in system (6) automatically ensures the fulfillment of its second equation. Furthermore, the class (3) can now describe only a homogeneous velocity field:
\[\begin{equation}
\tag{7}
V_x = U(z), \quad V_y = V(z),
\end{equation}\]
which corresponds to the classical Ekman solution for a rotating coordinate system [4].
Expressions (7) are fully consistent with the conclusions presented in [10] for the class (5). According to the theorem proved in [10], system (2) is solvable in the class (5) only if the spatial accelerations are constant and determined by the expressions:
\[\begin{equation}
\tag{8}
u_1 = -\frac{P_{12}}{f}, \quad u_2 = \frac{P_{11} - P_{22} - f \alpha}{2f}, \quad v_1 = \frac{P_{11} - P_{22} + f \alpha}{2f}, \quad v_2 = \frac{P_{12}}{f}.
\end{equation}\]
For the considered form (4) of the pressure field, equalities (8) lead to the expressions:
\[\begin{equation}
\tag{9}
u_1 = v_2 = 0, \quad u_2 = -\frac{\alpha}{2}, \quad v_1 = \frac{\alpha}{2}.
\end{equation}\]
Within the representation (3) for the velocity field of the flow, the last two equalities in system (9) can be satisfied only when $\alpha = 0$, i.e., only in the case of a homogeneous velocity field.
2. Construction of an Exact Solution
We now construct an inhomogeneous exact solution of system (2) for the velocity field, taking into account the pressure field structure (4). We reiterate that the class (4) is fully consistent with the third equation (the pressure equation) of the considered system (2).
In this case, the spatial accelerations are described by dependencies (9), where the parameter $\alpha$ is a nonzero solution of the following equation (see [10], formula (2.9)):
\[
\alpha^{2}f^{2} + 2\alpha f^{3} = 0 \quad \Rightarrow \quad
\alpha f^{2} (\alpha + 2 f) =0,
\]
i.e., $\alpha = -2f$. Therefore, solution (9) takes the form:
\[\begin{equation}\tag{10}
u_{1} = v_{2} = 0,
\quad
u_{2} = f,
\quad
v_{1} = -f.
\end{equation}\]
This means that the class (5), with expressions (4), describes a velocity field of the form:
\[\begin{equation}\tag{11}
V_{x} = U(z) + f y,
\quad
V_{y} = V(z) - f x.
\end{equation}\]
The inhomogeneous solution (11) for the rotating coordinate system generalizes the classical Ekman solution, in which the velocity field in the rotating system was assumed to be homogeneous [4]. The solution (11) in the fixed coordinate system becomes:
\[\begin{multline*}
\mathbf{V} = ( V_{x}, V_{y}, 0 ) \quad \Rightarrow \quad
\mathbf{V} + \mathbf{\Omega} \times \mathbf{r} = ( V_{x}, V_{y}, 0 ) +
\begin{vmatrix}
\mathbf{i} & \mathbf{j} & \mathbf{k} \\
0 & 0 & f/2 \\
x & y & z \\
\end{vmatrix} = {}
\\
{}= \bigl( V_{x}, V_{y}, 0 \bigr) + \Bigl( -\frac{fy}{2}, \frac{fx}{2}, 0 \Bigr) =
\bigl( U(z) + fy, V(z) - fx, 0 \bigr) + \Bigl( -\frac{fy}{2}, \frac{fx}{2}, 0 \Bigr) = {}
\\
{}= \Bigl( U(z) + \frac{1}{2}fy, V(z) - \frac{1}{2}fx, 0 \Bigr).
\end{multline*}\]
Using the previously obtained result for the class (5) (see [10], system (3.1)):
\[
\nu U'' - U u_{1} - (u_{2} - f)V = P_{1},
\]
\[
\nu V'' + V u_{1} - (v_{1} + f)V = P_{2},
\]
and substituting expressions (10) into this system, we obtain:
\[
\nu U'' - U \cdot 0 - (f - f)V = P_{1},
\]
\[
\nu V'' + V \cdot 0 - (-f + f)V = P_{2}.
\]
This results in the following decoupled system of equations:
\[
\nu U'' = P_{1},
\quad
\nu V'' = P_{2}.
\]
Integrating each equation independently, we find the general solution:
\[\begin{equation}\tag{12}
U = \frac{P_{1}}{2\nu}z^{2} + c_{1}z + c_{2},
\quad
V = \frac{P_{2}}{2\nu}z^{2} + c_{3}z + c_{4}.
\end{equation} \]
Consequently, the velocity field in the moving coordinate system is described by the following pair of functions:
\[\begin{equation}\tag{13}
\begin{array}{l}
V_x = U + u_2 y = \dfrac{P_{1}}{2\nu}z^{2} + c_{1}z + c_{2} + f y = \dfrac{P_{1}}{2\nu}z^{2} + c_{1}z + c_{2} + fy,\\
V_y = V + v_1 x = \dfrac{P_{2}}{2\nu}z^{2} + c_{3}z + c_{4} - fx.
\end{array}
\end{equation}\]
The obtained formulas (12) (and accordingly, expressions (13)) represent an exact solution to the overdetermined system to which system (2) reduces within the class (4)–(5) of hydrodynamic fields that are linear in part of the coordinates. Both background velocities (12) define a linear combination of independent power functions of different orders. This solution structure potentially opens up a wide scope for various variations in the flow profile structure and for investigating velocity field stratification. We will subsequently consider possible fluid flow profiles using the example of a classical boundary value problem for steady flows in geophysical hydrodynamics. Thus, the obtained exact solution (13) describes a gradient solid-body rotation of the fluid.
3. Selection of Boundary Conditions
Consider the flow of a solid-body rotating fluid in an infinitely extended horizontal layer of constant thickness $h$. Assume that the lower boundary $z = 0$ is solid and non-deformable. Let us examine the behavior of solution (13) at this boundary:
\[\begin{equation}\tag{14}
\begin{array}{l}
V_{x}(0) = \dfrac{P_{1}}{2\nu} \cdot 0^{2} + c_{1} \cdot 0 + c_{2} + fy = c_{2} + fy,
\\
V_{y}(0) = \dfrac{P_{2}}{2\nu} \cdot 0^{2} + c_{3} \cdot 0 + c_{4} - fx = c_{4} - fx.
\end{array}
\end{equation}\]
Expressions (14) clearly demonstrate that the no-slip condition for the shear flow $(U(z), V(z), 0)$ can be satisfied at the lower boundary. The physical meaning of the exact solution (13), according to formulas (14), corresponds to a shear flow over a rotating substrate (an infinitely extended disk or plate). Therefore, when illustrating the obtained solution (13), we impose the no-slip condition for the background velocities of the shear flow (12) as the first boundary condition:
\[
U(0) = 0,
\quad
V(0) = 0,
\]
which gives:
\[\begin{equation}\tag{15}
c_2 = c_4 = 0.
\end{equation}\]
Based on similar considerations, the second boundary condition is also applied not to the full velocity field (13), but to its homogeneous components (12). We assume that the distribution of background velocities is specified at the upper rotating boundary of the layer $z = h$:
\[
U(h) = W\cos \varphi,
\quad
V(h) = W\sin \varphi.
\]
This represents a translational wind velocity at the upper boundary of the rotating fluid layer.
Taking into account the previously obtained expressions (12) and (15), we obtain the system of two conditions:
\[
U(h) = \frac{P_{1}}{2\nu}h^{2} + c_{1}h = W\cos \varphi, \quad
V(h) = \frac{P_{2}}{2\nu}h^{2} + c_{3}h = W\sin \varphi.
\]
Solving this system yields:
\[\begin{equation}\tag{16}
c_{1} = \frac{W}{h}\cos \varphi - \frac{P_{1}}{2\nu}h,
\quad
c_{3} = \frac{W}{h}\sin \varphi - \frac{P_{2}}{2\nu}h.
\end{equation}\]
Consequently, the solution to the boundary value problem takes the form:
\[\begin{equation}
\tag{17}
\begin{array}{l}
U = z\Bigl[ \dfrac{P_{1}}{2\nu}z + \Bigl( \dfrac{W}{h}\cos \varphi - \dfrac{P_{1}}{2\nu}h \Bigr) \Bigr],
\\
V = z\Bigl[ \dfrac{P_{2}}{2\nu}z + \Bigl( \dfrac{W}{h}\sin \varphi - \dfrac{P_{2}}{2\nu}h \Bigr) \Bigr];
\end{array}
\end{equation}\]
\[\begin{equation}
\tag{18}
\begin{array}{l}
V_{x} = z\Bigl[ \dfrac{P_{1}}{2\nu}z + \Bigl( \dfrac{W}{h}\cos \varphi - \dfrac{P_{1}}{2\nu}h \Bigr) \Bigr] + fy,
\\
V_{y} = z\Bigl[ \dfrac{P_{2}}{2\nu}z + \Bigl( \dfrac{W}{h}\sin \varphi - \dfrac{P_{2}}{2\nu}h \Bigr) \Bigr] - fx.
\end{array}
\end{equation}\]
The obtained solution (18) represents a pair of functions, each being a superposition of a linear combination of linearly independent power functions of the vertical coordinate $z$ and an inhomogeneous field that is linear in the longitudinal coordinate $x$ (or $y$, respectively).
4. Results and Discussion
The structure of the velocity vector projections allows us to obtain profiles of varying curvature by modifying the fluid characteristics and boundary condition parameters.
The coincidence of stagnation points for both velocities (17) is possible under two conditions:
\[
0 < -\frac{2\nu \Bigl( \frac{W}{h}\cos \varphi - \frac{P_{1}}{2\nu}h \Bigr)}{P_{1}} < h
\quad
\text{for} \quad P_{1} \ne 0
\]
(i.e., $0 < h - \frac{2\nu W\cos \varphi}{h P_{1}} < h$) and
\[
\frac{P_{2}}{2\nu}\Bigl( h - \frac{2\nu W\cos \varphi}{h P_{1}} \Bigr) +
\Bigl( \frac{W}{h}\sin \varphi - \frac{P_{2}}{2\nu}h \Bigr) = 0
\]
(i.e., $\tan\varphi = {P_{2}}/{P_{1}}$).
Figures 1 and 2 show the profiles (17) of the homogeneous components $U$ and $V$ of the velocity field, calculated using the same parameter values that define the boundary value problem (15), (16). For the graphical illustration of the obtained exact solution in Figs. 1–11, the following flow parameters were used: $f = 10^{-6} \text{s}^{-1}$, $\nu = 10^{-6} \text{m}^2/\text{s}$, $W = -0.15 \text{m/s}$, $\varphi = \pi/2.01$, $P_{1} = -0.03 \times 10^{-5} \text{Pa/m}$, $P_{2} = 2P_{1}$, $h = 1 \text{m}$.
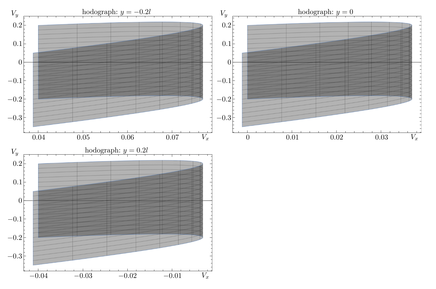
The substantially nonlinear character of the velocity vector projections determines the nonlinear (spiral) nature of the hodograph profile in the cross-section $x = y = 0$ (Fig. 3).
Changes in the hodograph when considering different cross-sections are illustrated in Figs. 4 and 5.
Similar nonlinear dependencies are also observed when constructing the specific kinetic energy profile (Fig. 6).
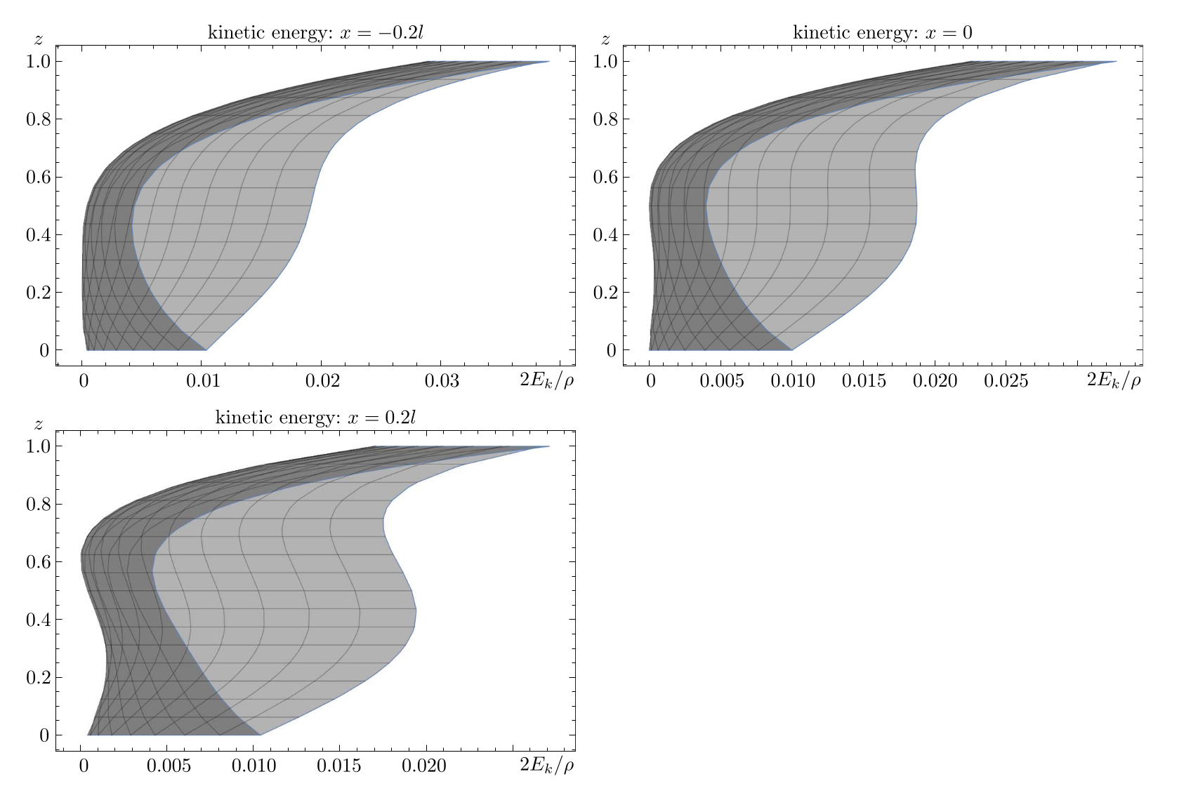
Changes in the specific kinetic energy profile across different cross-sections are illustrated in Figs. 7 and 8.
Figures 9–11 show the level curves of specific kinetic energy in various cross-sections (both along the longitudinal coordinates $x$ and $y$, and along the transverse coordinate $z$).
The inhomogeneity of the level curve shapes presented in Figs. 9–11 is explained by the asymmetry of the exact solution (13) (taking into account boundary conditions (15) and (16)) with respect to the coordinates of the chosen Cartesian system.
Figure 1. The profile of the velocity $U$
Figure 2. The profile of the velocity $V$
Figure 3. The hodograph of the velocity $U$, $V$
Figure 4. Family of hodographs $ (V_x, V_y )$ when changing the cross-section along the longitudinal coordinate $x$
Figure 5. Family of hodographs $(V_x, V_y )$ when changing the cross-section along the longitudinal coordinate $y$
Figure 6. The profile of the specific kinetic energy $2E_k/ \rho$
Figure 7. Family of profiles of specific kinetic energy when changing the cross-section along the longitudinal coordinate $x$
Figure 8. Family of profiles of specific kinetic energy when changing the cross-section along the longitudinal coordinate $y$
Figure 9. Level curves of specific kinetic energy in different sections along $z$
Figure 10. Level curves of specific kinetic energy in different sections along $x$
Figure 11. Level curves of specific kinetic energy in different sections along $y$
Conclusion
This paper presents a new exact solution for inhomogeneous distributions of velocity and pressure fields in the problem of isothermal steady shear flow of a viscous incompressible fluid. The derived exact solutions remain valid when turbulent viscosity is substituted for kinematic viscosity in the Navier–Stokes equations.
Our analysis demonstrates that within the class of functions that are linear in some coordinates, joint inhomogeneous solutions for the velocity field must exhibit specific structural characteristics with constant spatial accelerations. The solution space is restricted to two distinct cases: either only two specific accelerations vanish, or all four spatial accelerations equal zero (corresponding to the homogeneous velocity field in the Ekman solution). No other joint solutions exist within the specified function class.
We provide a detailed analysis of the case with two nonzero spatial accelerations, presenting the complete exact solution. To elucidate the fundamental properties of this solution, we examine the corresponding boundary value problem and provide comprehensive graphical illustrations.
Competing Interests. The authors declare no competing interests.
Author Contributions. Each author participated in the development of the article concept; the authors contributed equally to this work. The authors are fully responsible for the final submitted manuscript. Each author has approved the final version of the manuscript.
Funding. This work was supported by the Russian Science Foundation (project no. 25–29–00339), https://rscf.ru/en/project/25-29-00339/.
About the authors
Natalya V. Burmasheva
Ural Federal University named after the first President of Russia B. N. Yeltsin; Institute of Engineering Science, Ural Branch of RAS
Author for correspondence.
Email: nat_burm@mail.ru
ORCID iD: 0000-0003-4711-1894
Scopus Author ID: 57193346922
ResearcherId: E-3908-2016
https://www.mathnet.ru/eng/person52636
Cand. Tech. Sci.; Associate Professor; Dept. of Information Technology and Automation; Senior Researcher; Sect. of Nonlinear Vortex Hydrodynamics
Russian Federation, 620002, Ekaterinburg, Mira st., 19; 620049, Ekaterinburg, Komsomolskaya st., 34Evgenii Yu. Prosviryakov
Ural Federal University named after the first President of Russia B. N. Yeltsin; Institute of Engineering Science, Ural Branch of RAS
Email: evgen_pros@mail.ru
ORCID iD: 0000-0002-2349-7801
Scopus Author ID: 57189461740
ResearcherId: E-6254-2016
https://www.mathnet.ru/rus/person41426
Dr. Phys. & Math. Sci.; Professor; Dept. of Information Technology and Automation; Head of Sector; Sect. of Nonlinear Vortex Hydrodynamics
Russian Federation, 620002, Ekaterinburg, Mira st., 19; 620049, Ekaterinburg, Komsomolskaya st., 34References
- Smagorinsky J. History and progress, In: The Global Weather Experiment-Perspective on Its Implementation and Exploitation, A Report of the FGGE Advisory Panel to the U.S. Committee for the Global Atmospheric Research Program (GARP), National Academy of Science, 1978, 4–12 pp.
- Smagorinsky J. The beginnings of numerical weather prediction and general circulation modeling: Early recollections, Adv. Geophys., 1983, vol. 25, pp. 3–37. DOI: https://doi.org/10.1016/S0065-2687(08)60170-3.
- Smagorinsky J., Phillips N. A. Scientific problems of the global weather experiment, In: The Global Weather Experiment-Perspective on Its Implementation and Exploitation, A Report of the FGGE Advisory Panel to the U.S. Committee for the Global Atmospheric Research Program (GARP), National Academy of Science, 1978, 13–21 pp.
- Ekman V. On the Influence of the Earth’s Rotation on Ocean currents, Ark. Mat. Astr. Fys., 1905, vol. 2, no. 11, pp. 1–53. http://jhir.library.jhu.edu/handle/1774.2/33989.
- Pedlosky J. Geophysical Fluid Dynamics. Berlin, New York, Springer-Verlag, 1987, xiv+710 pp.
- Davidson P. A. Ekman Boundary Layers, In: The Dynamics of Rotating Fluids. Oxford, Oxford Academic, 2024, pp. 99–126. DOI: https://doi.org/10.1093/9780191994272.003.0007.
- Aristov S. N., Frik P. G. Nonlinear effects of the Ekman layer on the dynamics of large–scale eddies in shallow water, J. Appl. Mech. Tech. Phys., 1991, vol. 32, no. 2, pp. 189–194. EDN: ZONZGY. DOI: https://doi.org/10.1007/BF00858033.
- Aristov S. N., Myasnikov V. P. Time-dependent three-dimensional structures in the near–surface layer of the ocean, Phys. Dokl., 1996, vol. 41, no. 8, pp. 358–360. EDN: LDSWPZ.
- Aristov S. N., Shvarts K. G. Vikhrevyye techeniya advektivnoy prirody vo vrashchayushchemsya sloe zhidkosti [Vortex Flows of Advective Nature in a Rotating Fluid Layer]. Perm, Perm State Univ., 2006, 153 pp. (In Russian). EDN: UHQWPT.
- Burmasheva N. V., Prosviryakov E. Yu. Exact solution of Navier–Stokes equations describing spatially inhomogeneous flows of a rotating fluid, Trudy Inst. Mat. i Mekh. UrO RAN, 26, 2020, pp. 79–87 (In Russian). EDN: IAWMLK. DOI: https://doi.org/10.21538/0134-4889-2020-26-2-79-87.
- Gorshkov A. V., Prosviryakov E. Yu. Ekman convective layer flow of a viscous incompressible fluid, Izv. Atmos. Ocean. Phys., 2018, vol. 54, no. 2, pp. 189–195. EDN: XXMQQP. DOI: https://doi.org/10.1134/S0001433818020081.
- Korotaev G. K., Mikhaylova E. N., Shapiro N. B. Teoriya ekvatorial’nykh protivotechcheniy v Mirovom okeane [Theory of Equatorial Countercurrents in the World Ocean]. Kiev, Naukova Dumka, 1986, 205 pp. (In Russian)
- Lin C. C. Note on a class of exact solutions in magneto-hydrodynamics, Arch. Rational Mech. Anal., 1957, vol. 1, pp. 391–395. DOI: https://doi.org/10.1007/BF00298016.
- Sidorov A. F. Two classes of solutions of the fluid and gas mechanics equations and their connection to traveling wave theory, J. Appl. Mech. Techn. Phys., 1989, vol. 30, no. 1, pp. 197–203. EDN: LZHPWE. DOI: https://doi.org/10.1007/BF00852164.
- Aristov S. N. Vortex Flows in Thin Fluid Layers, Dr. Sci. Dissertation in Phys. and Math. Vladivostok, Inst. of Automation and Control Processes, 1990, 303 pp. (In Russian)
- Aristov S. N., Knyazev D. V., Polyanin A. D. Exact solutions of the Navier–Stokes Equations with the linear dependence of velocity components on two space variables, Theor. Found. Chem. Eng., 2009, vol. 43, no. 5, pp. 642–662. EDN: LPGJRJ. DOI: https://doi.org/10.1134/S0040579509050066.
- Aristov S. N., Prosviryakov E. Yu. A new class of exact solutions for three–dimensional thermal diffusion equations, Theor. Found. Chem. Eng., 2016, vol. 50, no. 3, pp. 286–293. EDN: WVXGCZ. DOI: https://doi.org/10.1134/S0040579516030027.
- Burmasheva N. V., Prosviryakov E. Yu. A class of exact solutions for two-dimensional equations of geophysical hydrodynamics with two Coriolis parameters, Bull. Irkutsk State Univ. Ser. Math., 2020, vol. 32, pp. 33–48 (In Russian). EDN: PIXYNJ. DOI: https://doi.org/10.26516/1997-7670.2020.32.33.
- Burmasheva N. V., Prosviryakov E. Yu. Isothermal layered flows of a viscous incompressible fluid with spatial acceleration in the case of three Coriolis parameters, Diagn. Resour. Mech. Mater. Struct., 2020, no. 3, pp. 29–46 (In Russian). EDN: EMNPVK. DOI: https://doi.org/10.17804/2410-9908.2020.3.029-046.
- Shtern V. Counterflows. Paradoxical Fluid Mechanics Phenomena. Cambridge, Cambridge Univ. Press, 2012, xiv+470 pp. DOI: https://doi.org/10.1017/CBO9781139226516.
- Chkhetiani O. G., Vazaeva N. V. On algebraic perturbations in the atmospheric boundary layer, Izv. Atmos. Ocean. Phys., 2019, vol. 55, no. 5, pp. 432–445. DOI: https://doi.org/10.1134/S0001433819050050.
- Berker R. A. Sur quelques cas d’intégration des équations du mouvement d’un fluide visqueux incompressible, Thèses de l’entre-deux-guerres. Paris–Lille, Imprimerie A. Taffin–Lefort, 1936, vii+161 pp. http://eudml.org/doc/192863.
- Wheeler M. H. On stratified water waves with critical layers and Coriolis forces, Discrete Contin. Dyn. Syst., 2019, vol. 39, no. 8, pp. 4747–4770. DOI: https://doi.org/10.3934/dcds.2019193.
- Sarja A., Singh P., Ekkad S. V. Parallel rotation for negating Coriolis force effect on heat transfer, Aeronaut. J., 2020, vol. 124, no. 1274, pp. 581–596. DOI: https://doi.org/10.1017/aer.2020.1.
- Prosviryakov E. Yu., Sokolov A. S. Numerical construction of a Set of zero velocities and countercurrents for steady dynamic equilibria, Tech. Phys. Lett., 2022, vol. 48, no. 12, pp. 322–328. EDN: FBDWUK. DOI: https://doi.org/10.1134/s1063785022110050.
- Zhao J. Axisymmetric convection flow of fractional Maxwell fluid past a vertical cylinder with velocity slip and temperature jump, Chin. J. Phys., 2020, vol. 67, pp. 501–511. DOI: https://doi.org/10.1016/j.cjph.2020.08.009.
- Tro S., Grooms I., Julien K. Parameterized Ekman boundary layers on the tilted $f$-plane, J. Fluid Mech., 2024, vol. 1000, A61. DOI: https://doi.org/10.1017/jfm.2024.561.
- Kostelecky J., Ansorge C. Surface roughness in stratified turbulent Ekman flow, Boundary-Layer Meteorol., 2025, vol. 191, 5. DOI: https://doi.org/10.1007/s10546-024-00895-5.
- McPhaden M. J., Athulya K., Girishkumar M. S., Orlić M. Ekman revisited: Surface currents to the left of the winds in the Northern Hemisphere, Sci. Adv., 2024, vol. 10, no. 46, eadr0282. DOI: https://doi.org/10.1126/sciadv.adr0282.
Supplementary files














