The non-uniaxial creep under complex loading
- Authors: Kichaev E.K.1, Kichaev P.E.1
-
Affiliations:
- Samara State Technical University
- Issue: Vol 26, No 4 (2022)
- Pages: 777-788
- Section: Short Communications
- URL: https://journals.eco-vector.com/1991-8615/article/view/70971
- DOI: https://doi.org/10.14498/vsgtu1868
- ID: 70971
Cite item
Full Text
Abstract
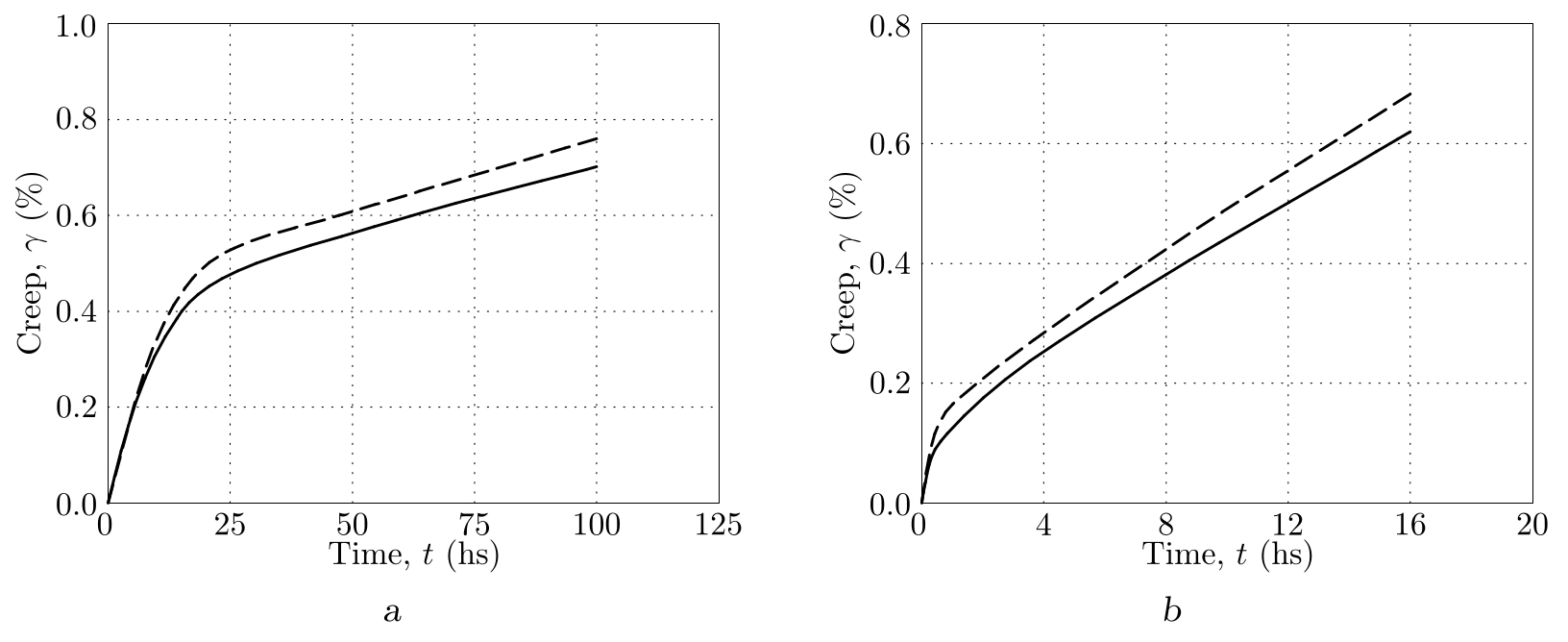
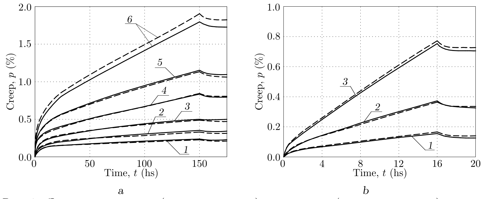
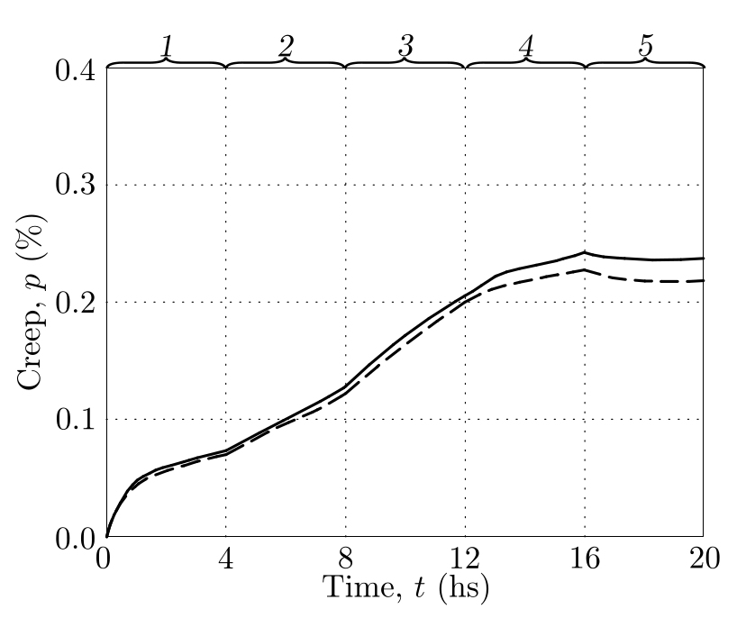
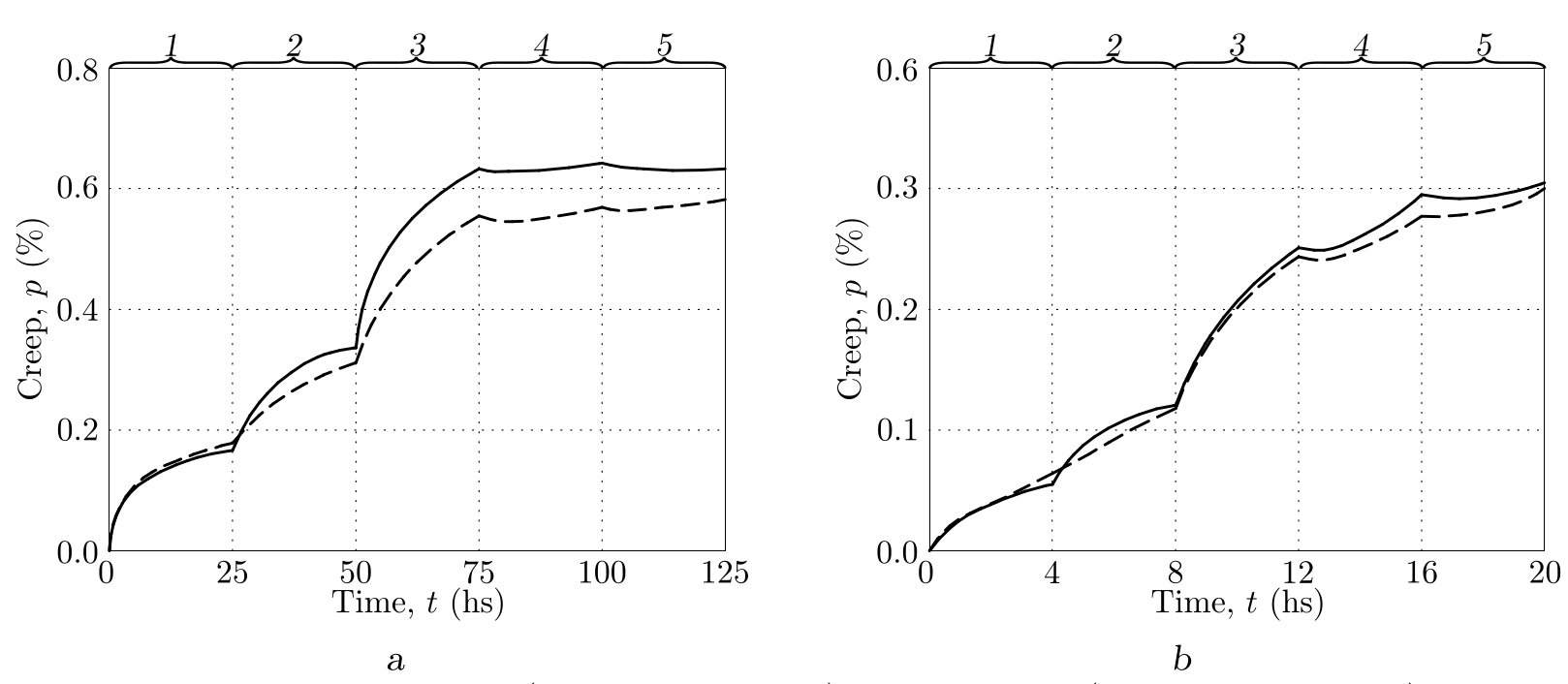
Based on the model of incomplete reversibility of creep deformation, constitutive equations for the non-uniaxial stress state of metals under complex loading paths are proposed. The tensors of the viscoelastic, viscoplastic, and viscous components of the creep deformation are assumed to develop independently. The deformation kinetics is associated with the initial and deformation anisotropy. The measure of creep intensity for initially orthotropic materials is the equivalent stress introduced by Hill. In this case, the similarity of the stress and strain deviators is not required. The nature of the anisotropy of the deformation is associated with the value of the viscoplastic component of the deformation in the direction of the principal axes of the stress tensor. A superposition of the initial and deformation anisotropy is assumed. Samples made of 3KhV4SF tool steel and EI437B heat resistant alloy were tested, which are initially isotropic materials. The rheological coefficients of 3KhV4SF steel and EI437B alloy were calculated from the results of the uniaxial tension test samples at various levels of initial stresses. A comparative analysis of the forecast under complex loading according to the proposed equations with the test results was carried out.
About the authors
Evgeny K. Kichaev
Samara State Technical University
Email: mechanika01@yandex.ru
ORCID iD: 0000-0003-0577-2889
SPIN-code: 4424-3922
Scopus Author ID: 6508206523
http://www.mathnet.ru/person193756
Cand. Tech. Sci., Associate Professor; Associate Professor; Dept.of Mechanics
Russian Federation, 443100, Samara, Molodogvardeyskaya st., 244Peter E. Kichaev
Samara State Technical University
Author for correspondence.
Email: kichaevp@yandex.ru
ORCID iD: 0000-0001-7321-389X
SPIN-code: 6827-8864
http://www.mathnet.ru/person39260
Cand. Phys. & Math. Sci., Associate Professor; Associate Professor; Dept. of Mechanics
Russian Federation, 443100, Samara, Molodogvardeyskaya st., 244References
- Samarin Yu. P. Uravneniia sostoianiia materialov so slozhnymi reologicheskimi svoistvami [Equation of State of Materials with Complex Rheological Properties]. Kuibyshev, Kuibyshev State Univ., 1979, 84 pp. (In Russian)
- Radchenko V. P., Samarin Yu. P., Khrenov S. M. Determining equations for the materials in the presence of three stages of creep, Dokl. Akad. Nauk SSSR, 1986, vol. 288, no. 3, pp. 571–574 (In Russian). EDN: FZHKUQ.
- Radchenko V. P., Eremin Yu. A. Reologicheskoe deformirovanie i razrushenie materialov i elementov konstruktsii [Rheological Deformation and Fracture of Materials and Structural Elements]. Moscow, Mashinostroenie-1, 2004, 264 pp. (In Russian). EDN: QNATSX.
- Radchenko V. P., Kichaev P. E. Energeticheskaia kontseptsiia polzuchesti i vibropolzuchesti metallov [Energy Concept of Creeping and Vibrocreep of Metals]. Samara, Samara State Technical Univ., 2011, 157 pp. (In Russian). EDN: QNAGXB.
- Rabotnov Yu. N. Creep Problems in Structural Members. Amsterdam, London, North-Holland Publ., 1969, xiv+822 pp.
- Malinin N. N. Polzuchest’ v obrabotke metallov [Creep in Treated Metals]. Moscow, Mashinostroenie, 1985, 216 pp. (In Russian). EDN: XXLGDN.
- Lokoschenko A. M., Shesterikov S. A. et al. Zakonomernosti polzuchesti i dlitel’noi prochnosti [Regularities of Creep and Long-Term Strength], ed. S. A. Shesterikov. Moscow, Mashinostroenie, 1983, 101 pp. (In Russian)
- Samarin Yu. P., Kichaev E. K. Peculiarities of creep of metals in tension with reversible torsion, In: Prochnost’ materialov i elementov konstruktsii pri slozhnom napriazhennom sostoianii [Strength of Materials and Structural Elements in a Complex Stress State]. Kiev, Nauk. Dumka, 1977, pp. 224–238 (In Russian).
- Kichaev E. K., Fayn G. M. Creep of drill pipes from D16T alloy under conditions of ultra-deep drilling, In: Prochnost’ materialov i elementov konstruktsii pri slozhnom napriazhennom sostoianii [Strength of Materials and Structural Elements in a Complex Stress State]. Kiev, Nauk. Dumka, 1978, pp. 232–237 (In Russian).
- Lokoshchenko A. M., Fomin L. V. Delayed fracture of plates under creep condition in unsteady complex stress state in the presence of aggressive medium, Appl. Math. Model., 2018, vol. 60, pp. 478–489. DOI: https://doi.org/10.1016/j.apm.2018.03.031.
- Wen J.-F., Tu S.-T., Xuan F.-Z., Zhang X.-W., Gao X.-L. Effects of stress level and stress state on creep ductility: Evaluation of different models, J. Mater. Sci. Techn., 2016, vol. 32, no. 8, pp. 695–704. DOI: https://doi.org/10.1016/j.jmst.2016.02.014.
- Radchenko V. P., Saushkin M. N. Polzuchest’ i relaksatsiia ostatochnykh napriazhenii v uprochnennykh konstruktsiiakh [Creep and Relaxation of Residual Stresses in Reinforced Structures]. Moscow, Mashinostroenie-1, 2005, 226 pp. (In Russian). EDN: RXLJLN.
- Samarin Yu. P. Derivation of exponential approximations for creep curves by the method of successive isolation of exponential terms, Strength Mater., 1974, vol. 6, no. 9, pp. 1062–1066. DOI: https://doi.org/10.1007/BF01528264.
Supplementary files










