Modeling the process of equilibrium crack growth in a composite specimen from the standpoints of the postcritical deformation mechanics
- Authors: Wildemann V.E.1, Mugatarov A.I.1
-
Affiliations:
- Perm National Research Polytechnic University
- Issue: Vol 26, No 1 (2022)
- Pages: 48-61
- Section: Mechanics of Solids
- URL: https://journals.eco-vector.com/1991-8615/article/view/81447
- DOI: https://doi.org/10.14498/vsgtu1886
- ID: 81447
Cite item
Full Text
Abstract
Ensuring the strength and safety of structures requires studying the issues of crack initiation and equilibrium growth. An analogy between the approaches of phenomenological fracture mechanics, which is based on the complete deformation diagrams usage, and crack propagation mechanics is noted. The applying of previously developed postcritical deformation mechanics models, which describes accompanied by softening equilibrium damage accumulation processes, is advisable. On the example of the numerical, with cohesive elements using, simulation of composite specimen interlayer fracture, the realization of the material deformation complete diagram near the crack tip is demonstrated. The calculated loading diagrams are constructed, the points of the postcritical deformation zone initiation and the beginning of crack growth are shown. Relations between softening modulus value and maximum values of load, crack opening and length are revealed. The influence of the loading system rigidity is noted. It is concluded that consideration of the constructions deformation and fracture processes modeling problems using cohesive elements from the postcritical mechanics deformation standpoints is expedient.
Full Text
Введение. Прогнозирование процессов разрушения, оценка живучести и безопасности конструкций требуют изучения вопросов возникновения и развития трещин и трещиноподобных дефектов в процессе нагружения или эксплуатации. Особого внимания заслуживает анализ условий, при которых реализуется равновесное развитие и распространение трещин. Связь вида ниспадающих участков диаграммы нагружения с микромеханизмами и стадиями разрушения предопределяет наличие определенной аналогии и общности между подходами механики распространения трещин и феноменологической механики разрушения, строящейся на основе использования полных диаграмм деформирования. Представляется целесообразным и перспективным применение для моделирования равновесного роста трещин в твердых телах основных положений механики закритического деформирования [1, 2], основанной на концепции рассмотрения разрушения как результата потери устойчивости сопровождаемого развитием дефектов процесса закритической деформации. Оценка устойчивости этого процесса осуществляется с учетом жесткостных свойств нагружающих систем.
С точки зрения рассмотрения отмеченной аналогии можно обратить внимание на следующую особенность. При анализе тел с трещинами рассматриваются докритические диаграммы разрушения, представляющие собой зависимости между средним растягивающим напряжением в неповрежденном сечении образца от длины трещины при различных начальных длинах последней [3]. Геометрическое место критических (соответствующих динамическому росту трещин) точек на этих кривых называется критической диаграммой разрушения. При испытаниях гладких образцов критическая точка соответствует пределу прочности. Поведение материала может быть описано без явного рассмотрения трещин и разрывов с использованием ниспадающей ветви диаграммы деформирования. Она также представляет собой критическую диаграмму, поскольку является геометрическим местом критических точек (соответствующих достижению предела прочности) для образцов с различной степенью поврежденности, получаемых в результате равновесного деформирования до той или иной степени. Поведение тел с трещинами в условиях снижения нагрузки при увеличивающихся перемещениях (величин раскрытия или длины трещины) может рассматриваться по аналогии с закономерностями закритического поведения образцов материалов в испытаниях. Так, в работе [4] приведена диаграмма кинематического нагружения образца с трещиной в координатах «раскрытие трещины – нагрузка»; зависимость аналогична полной диаграмме деформирования материала.
Для определения условий разрушения твердых тел крайне важными являются представления о физических процессах в окрестности вершины трещины и соответствующие модели механического поведения. С. Д. Волковым высказана идея, что характер распределения напряжений у вершины трещины в принципе повторяет ниспадающий участок кривой на полной диаграмме деформирования материала, полученной при испытании гладкого образца. В работе [5] приведена эпюра напряжений у вершины трещины с учетом закритической стадии деформирования материала. Полные диаграммы деформирования, содержащие ниспадающую ветвь, обнаружены экспериментально и отражают закон изменения деформационных характеристик материала (деформационного разупрочнения) при накоплении повреждений. В связи с этим естественным является предположение, что подобный характер деформирования воспроизводится в зоне концентрации напряжений у вершины трещины. Проблема сингулярности при этом решается автоматически вследствие убывания до нуля сопротивления материала в вершине трещины, где деформация максимальна и равна предельной для полностью равновесного состояния. Жесткость нагружающей системы для элемента материала у вершины трещины может быть конечной и достаточной для устойчивой закритической деформации в этой зоне, чем и объясняется возможность существования равновесных трещин. Характер развития трещины (устойчивый или неустойчивый) определяется устойчивостью процесса закритического деформирования. Предложен целый ряд моделей, определяющих наличие некоторой зоны сцепления или зоны с ослабленными связями — зоны предразрушения. К числу наиболее известных относятся модели Дж. Р. Ирвина, Г. И. Баренблатта, Дж. Р. Райса, Д. С. Дагдейла, М. Я. Леонова и В. В. Панасюка, М. П. Внука и др. [6–15]. Кроме С. Д. Волкова, рядом других авторов была отмечена целесообразность использования моделей разупрочняющихся сред при описании процессов деформирования в области концентраторов напряжений [16–20]. Авторы считают, что очевидна корреляция между полной диаграммой деформирования материала и характером распределения напряжений вблизи вершины трещины, качественно они перекликаются.
Показательно, что в настоящее время при численном моделировании развития трещин в твердых телах распространена «модель когезионной зоны». В ней предполагается наличие у вершины трещины зоны процесса разрушения с ослабленными связями, для описания поведения которой используются диаграммы с ниспадающим участком [21–29]. В работах [21–22] описаны основы когезионной модели трещин, рассмотрены вопросы смешанного разрушения. Стоит отметить, что данная модель является удобной для решения задач, в которых направление развития трещины заранее известно. Так, в работе [23] рассмотрены задачи разрушения балок с надрезами при различных вариантах нагружения. В статье [24] исследована задача деформирования неоднородной слоистой балки при различных свойствах адгезионного слоя. В работе [25] проведено численное и экспериментальное исследование поведения клеевого соединения дерева со стеклом. В работе [26] исследовано влияние толщины клеевого соединения на процесс деформирования склеенных металлических конструкций. В статье [27] авторами предложена методика решения задач разрушения конструкций с клеевыми соединениями, позволяющая сочетать процессы когезионного и адгезионного разрушения. В работе [28] исследовано влияние закона деформирования материала клеевого соединения на процесс деформирования балки, приклеенной к жесткому основанию, произведена оценка размера зоны сцепления. В работе [29] решены задачи изгиба балок с продольным клеевым соединением, а также растяжения балки с клеевым соединением под углом. Во всех работах модель когезионной зоны косвенно воспроизводит проявление закритического деформирования у вершины трещины.
В качестве удобного для анализа примера в данной работе рассмотрена задача деформирования композиционного образца на разрыв между слоями в рамках модели когезионной зоны. Решение получено в прикладном пакете ABAQUS CAE.
Постановка задачи. Для исследования влияния механического поведения на закритической стадии деформирования материала на процесс роста трещины рассмотрим модельную статическую задачу разрушения двухконсольной балки из композиционного материала. Данная задача аналогична методу расчета значения межслойной трещиностойкости полимерных композитов по ASTM D5528-01. В плоском деформированном состоянии рассматривается образец длиной 100 мм, состоящий из двух частей шириной по 2 мм, скрепленных через тонкий (0.001 мм) укороченный адгезионный слой. Отсутствие части адгезионного слоя задает начальную трещину (длина 25 мм). Композиционный материал — ортотропный, его упругие характеристики приведены в таблице. Материал адгезионного слоя является изотропным упругохрупким с линейным разупрочнением: модуль Юнга МПа; предел прочности на растяжение МПа; модуль спада D (взятый с противоположным знаком тангенс угла наклона касательной на закритической стадии деформирования) изменяется в диапазоне от 100 МПа до 4000 МПа. Высокое значение модуля спада характеризует склонность к хрупкому разрушению, низкое — к вязкому разрушению и равновесному накоплению повреждений. Некоторые диаграммы деформирования материала адгезионного слоя приведены на рис. 1. Удельные работы разрушения (площади под диаграммой деформирования), соответствующие работе, затраченной на разрушение единицы объема материала, могут быть рассчитаны через модуль спада по формуле
Рисунок 1. Диаграммы деформирования материала адгезионного слоя, модуль спада: 1 — 1800 МПа, 2 — 800 МПа, 3 — 400 МПа, 4 — 200 МПа
Упругие свойства композита [Composite material’s elastic properties]
, GPa | , GPa | , GPa |
|
|
| , GPa | , GPa | , GPa |
56 | 17 | 56 | 0.30 | 0.04 | 0.30 | 3 | 17 | 3 |
Между частями конструкции заданы связанные контактные условия, между композитными частями прописаны контактные условия типа «поверхность–поверхность» во избежание взаимного проникновения друг в друга. Для упругих частей использована сетка из 4-узловых четырехугольников, для адгезионного слоя использован одномерный когезионный элемент. Линейный размер всех элементов — 0.1 мм. Граничные условия: шарнирно закреплена точка на расстоянии 10 мм от левого края нижней поверхности; к аналогичной точке на верхней поверхности ступенчато прикладывается перемещение вдоль оси OY с фиксированным шагом 0.01 мм, перемещение вдоль оси OX отсутствует. Остальные поверхности являются свободными, массовые силы не учитываются. Начало координат поместим в вершину начальной трещины. Решение задачи прекращается, когда теряется сходимость итерационного процесса.
2. Результаты расчета и их анализ. Анализ поведения образца удобно проводить по эпюре нормальных напряжений в адгезионном слое, пример которой с соответствующим полем напряжений изображен на рис. 2. На эпюре можно выделить несколько характерных точек: 1 — точка, где полностью реализована закритическая стадия деформирования материала; 2 — точка, соответствующая частичной реализации закритической стадии; 3 — точка, соответствующая пределу прочности материала; 4 — точка в упругой области растяжения; 5 — точка в недеформированном состоянии, являющаяся переходной между областью растяжения и областью сжатия; 6 — точка в упругой области сжатия. Из эпюры видно, каким образом реализуется полная диаграмма деформирования, видны области (слева направо): с разрушенным материалом, реализации закритической стадии, упругого растяжения, упругого сжатия.
Рисунок 2. Поле и эпюра напряжений с соответствующими точками на диаграмме деформирования материала
На рис. 3 приведены наложенные друг на друга эпюры нормальных напряжений в адгезионном слое в различные моменты после начала разрушения и соответствующие им изображения деформированных образцов. Из эпюр видно, что по мере прорастания трещины область растяжения практически не изменяется, область сжатия увеличивается (снижается наименьшее значение напряжения).
Рисунок 3. Эпюры напряжений и изображения образца по мере роста трещины
По известному в различные моменты напряженно-деформированному состоянию получаем расчетную диаграмму нагружения конструкции в координатах «раскрытие трещины – нагрузка». Раскрытие трещины определяем вдоль оси OY начала координат (в вершине заданной трещины). Внешнюю нагрузку получаем путем вычисления равнодействующей нормальных напряжений в адгезионном слое. На диаграмме нагружения, приведенной на рис. 4, точками обозначены: 1 — момент, где происходит образование зоны закритического деформирования материала; 2 — момент, где происходит первое удаление конечного элемента; 3–5 — различные состояния по мере равновесного роста трещины. Из рисунка видно, что внешняя нагрузка способна значительно увеличиваться после начала реализации закритической стадии деформирования, после начала роста трещины происходит монотонное снижение нагрузки. Полученные диаграммы нагружения для различных модулей спада изображены на рис. 5.
Рисунок 4. Расчетная диаграмма нагружения и эпюры напряжений в различных состояниях
Рисунок 5. Расчетные диаграммы нагружения, модуль спада: 1 — 1800 МПа, 2 — 800 МПа, 3 — 400 МПа, 4 — 200 МПа
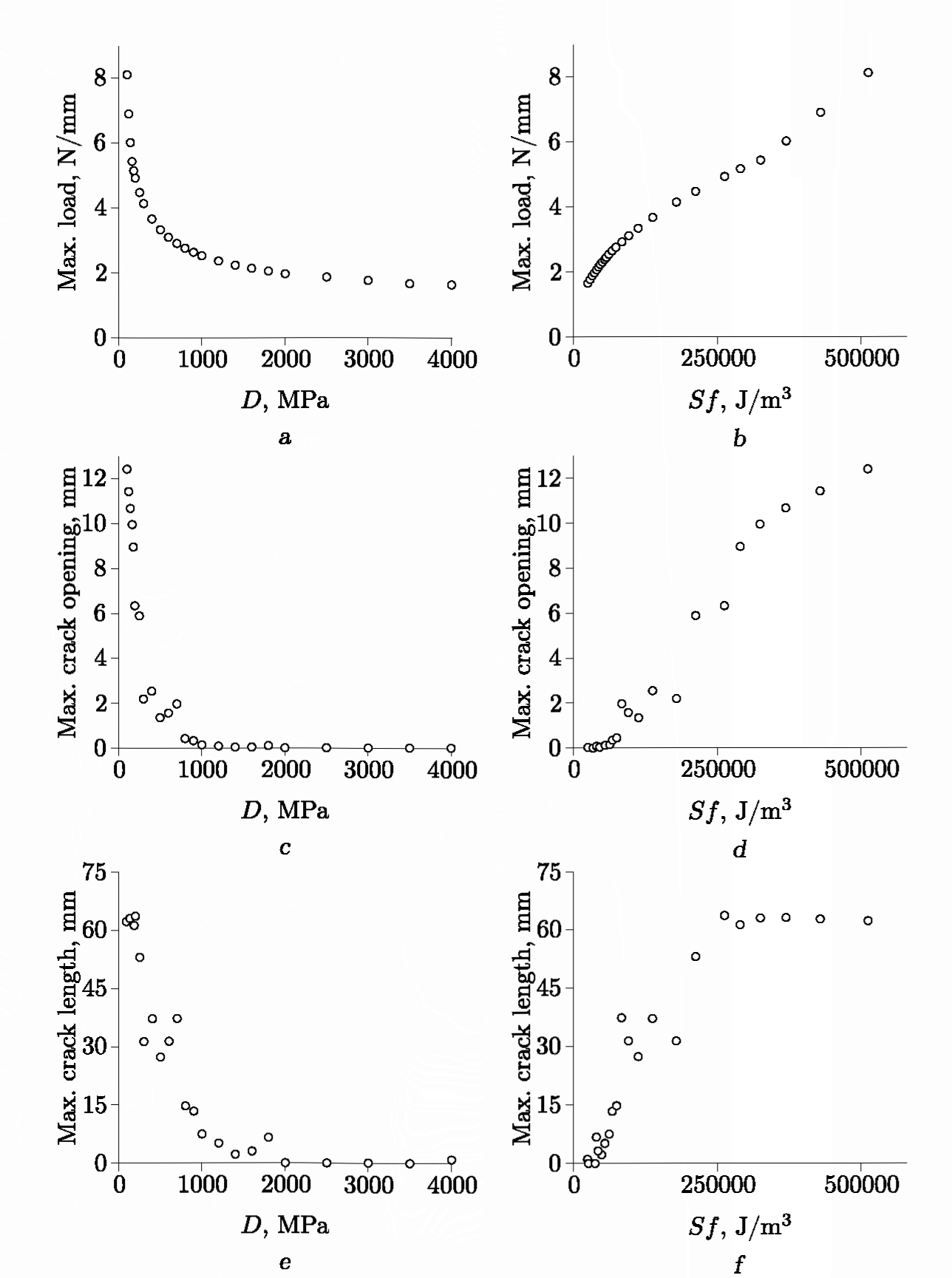
Зависимости максимальной нагрузки, выдерживаемой конструкцией, максимальных величин раскрытия и длины трещины от величины модуля спада и от удельной энергии разрушения представлены на рис. 6. Рост нагрузки при снижении величины модуля спада объясняется большим размером участка закритического деформирования (при равной деформации несущая способность увеличивается). Склонность к росту максимальной величины раскрытия трещины при уменьшении модуля спада связана с увеличением податливости системы. Из зависимости видно, что, как правило, в некотором диапазоне существует обратная пропорциональность между максимальной длиной трещины и модулем спада, т.е. чем более податливым является адгезионный слой, тем больше длина пророщенной трещины. После достижения некоторого значения модуля спада максимальная длина трещины изменяется слабо (достигается некоторое предельное для конструкции состояние). Стоит отметить, что зависимости, изображенные на рис. 6, c– f, не являются монотонными. Это может быть связано как с влиянием размера конечно-элементной сетки и величины шага нагружения [30], так и с отсутствием дополнительного условия устойчивости процесса деформирования, построенного в связи со свойствами нагружающей системы [1]. Данный вопрос требует отдельного рассмотрения.
Рисунок 6. Зависимости максимальной нагрузки от модуля спада (a) и удельной энергии разрушения (b); максимальной величины раскрытия трещины от модуля спада (c) и удельной энергии разрушения (d); максимальной длины трещины от модуля спада (e) и удельной энергии разрушения (f)
Для исследования влияния жесткости нагружающей системы на процесс деформирования данного образца проведен расчет аналогичной задачи с условием, что перемещение передается через упругий элемент с заданным коэффициентом жесткости K. Рассмотрен случай, когда модуль спада МПа. Установлено, что при Н/м расчет завершается в точке с максимальной нагрузкой (соответствует случаю «мягкого» нагружения), при Н/м расчет проходит полностью (как в случае «жесткого» нагружения). Это связано с тем, что наибольшая скорость спада нагрузки соответствует началу разрушения, дальше жесткость нагружающей системы оказывается достаточной для продолжения процесса равновесного роста трещины.
Заключение. Для демонстрации аналогии между подходами механики трещин и механики закритического деформирования, а также целесообразности использования последней для описания равновесного роста трещин в твердых телах рассмотрена задача деформирования образца на разрыв между слоями в рамках когезионной модели трещин. Рассмотрена двухзвенная аппроксимация полной диаграммы деформирования материала при различных значениях модуля спада, соответствующих определенным значениям удельной энергии разрушения. Построены эпюры нормальных напряжений в адгезионном слое: показано, каким образом реализуется полная диаграмма деформирования материала вблизи вершины трещины. Изучена эволюция процесса деформирования. Построены расчетные диаграммы нагружения, показаны точки появления зоны закритического деформирования и начала разрушения. Отмечено, что происходит существенное увеличение расчетной нагрузки по мере развития зоны закритического деформирования до начала разрушения. Изучено влияние величины модуля спада на процесс деформирования: с уменьшением модуля спада происходит увеличение выдерживаемой нагрузки и прикладываемых перемещений. Выявлена зависимость максимальной длины пророщенной трещины от модуля спада: данная зависимость является обратно пропорциональной в некотором диапазоне и имеет предел. Продемонстрировано, что процесс равновесного роста трещины возможен только при достаточном значении жесткости нагружающей системы. Можно сделать вывод о целесообразности рассмотрения задач моделирования процессов деформирования и разрушения конструкций с применением когезионных элементов с позиций механики закритического деформирования.
Конкурирующие интересы. Авторы конкурирующих интересов не имеют.
Авторский вклад и ответственность. Все авторы принимали участие в разработке концепции статьи и в написании рукописи. Авторы несут полную ответственность за предоставление окончательной рукописи в печать. Окончательная версия рукописи была одобрена всеми авторами.
Финансирование. Исследование процесса деформирования композитного образца на разрыв между слоёв в рамках когезионной модели трещин проводилось в рамках Государственного задания Министерства науки и высшего образования Российской федерации (№ ФСНМ–2020–0027).
Благодарность. Авторы выражают благодарность профессорам С. В. Смирнову, В. П. Радченко, Н. Г. Чаусову за плодотворные обсуждения предмета исследования.
About the authors
Valeriy E. Wildemann
Perm National Research Polytechnic University
Email: wildemann@pstu.ru
ORCID iD: 0000-0002-6240-4022
SPIN-code: 8689-1617
Scopus Author ID: 6602639921
ResearcherId: J-2800-2013
http://www.mathnet.ru/person45918
Dr. Phys. & Math. Sci., Professor; Head of Dept.; Dept. of Experimental Mechanics and Structural Materials Science
Russian Federation, 29, Komsomolsky prospect, Perm, 614990Artur I. Mugatarov
Perm National Research Polytechnic University
Author for correspondence.
Email: cem_mugatarov@mail.ru
ORCID iD: 0000-0002-2229-8181
http://www.mathnet.ru/person177635
Master’s Student; Dept. of Experimental Mechanics and Structural Materials Science
Russian Federation, 29, Komsomolsky prospect, Perm, 614990References
- Wildemann V. E., Sokolkin Yu. V., Tashkinov A. A. Mekhanika neuprugogo deformirovaniia i razrusheniia kompozitsionnykh materialov [Mechanics of Inelastic Deformation and Fracture of Composite Materials]. Moscow, Nauka, 1997, 288 pp. (In Russian)
- Wildemann V. E. On the solutions of elastic-plastic problems with contact-type boundary conditions for solids with loss-of-strength zones, J. Appl. Math. Mech., 1998, vol. 62, no. 2, pp. 281–288. https://doi.org/10.1016/S0021-8928(98)00036-7.
- Kershtein I. M., Klyushnikov V. D., Lomakin E. V., Shesterikov S. A. Osnovy eksperimental’noi mekhaniki razrusheniia [Fundamentals of Experimental Fracture Mechanics]. Moscow, Moscow Univ., 1989, 140 pp. (In Russian)
- Bazhukov P. S., Vildeman V. E., Ilinyh A. V., Tretyakov M. P. Effect of stiffness loading system on the equilibrium of the crack growth under quasi-static loading, PNRPU Mechanics Bulletin, 2013, no. 2, pp. 7–20.
- Volkov S. D., Stavrov V. P. Statisticheskaia mekhanika kompozitnykh materialov [Statistical Mechanics of Composite Materials]. Minsk, Belarus State Univ., 1978, 206 pp. (In Russian)
- Barenblatt G. I. The formation of equilibrium cracks during brittle fracture. General ideas and hypotheses. Axially-symmetric cracks, J. Appl. Math. Mech., 1959, vol. 23, no. 3, pp. 622–636. https://doi.org/10.1016/0021-8928(59)90157-1.
- Rice J. R. Mathematical analysis in the mechanics of fracture, In: Fracture: An Advanced Treaties, vol. 2, Mathematical Fundamentals (ed. H. Liebowitz). New York, Academic Press, 1968, pp. 191–311. http://esag.harvard.edu/rice/018_Rice_MathAnalMechFract_68.pdf.
- Dugdale D. S. Yielding of steel sheets containing slits, J. Mech. Phys. Solids, 1960, vol. 8, no. 2, pp. 100–104. https://doi.org/10.1016/0022-5096(60)90013-2.
- Panasyuk V. V. Predel’noe ravnovesie khrupkikh tel s treshchinami [Limit Equilibrium of Brittle Bodies with Cracks]. Kiev, Nauk. Dumka, 1968, 246 pp. (In Russian)
- Leonov M. Ya. Elements of the theory of brittle fracture, Prikl. Mech. Techn. Fiz. [J. Appl. Mech. Tech. Phys.], 1961, no. 3, pp. 85–92 (In Russian).
- Wnuk M. P. Model of the cohesive zone taking into account the triaxiality parameter, Phys. Mesomech., 2001, vol. 4, no. 4, pp. 9–19 (In Russian).
- Wecharatana M., Shah S. P. Predictions of nonlinear fracture process zone in concrete, J. Eng. Mech., 1983, vol. 109, no. 3, pp. 1231–1246. https://doi.org/10.1061/(ASCE)0733-9399(1983)109:5(1231).
- Bažant Z. P., Oh B. H. Crack band theory for fracture of concrete, Mat. Constr., 1983, vol. 16, no. 3, pp. 155–177. https://doi.org/10.1007/BF02486267.
- Ingraffea A. R., Gerstle W. H. Non-linear fracture models for discrete crack propagation, In: Application of Fracture Mechanics to Cementitious Composites, NATO ASI Series, 94. Dordrecht, Springer, 1985, pp. 247–285. https://doi.org/10.1007/978-94-009-5121-1_9.
- Shlyannikov V. N., Martínez Pañeda E., Tumanov A. V., Tartygasheva A. M. Crack tip fields and fracture resistance parameters based on strain gradient plasticity, Int. J. Sol. Struct., 2021, vol. 208–209, pp. 63–82. https://doi.org/10.1016/j.ijsolstr.2020.10.015.
- Volkov S. D., Dubrovina G. I., Sokovnin Yu. P. The edge problem of fracture mechanics, Strength of Materials, 1978, vol. 10, no. 1, pp. 1–5. https://doi.org/10.1007/bf01523685.
- Goldstein R. V., Perelmuter M. N. An interface crack with bonds between the surfaces, Mech. Solids, 2001, vol. 36, no. 1, pp. 77–92.
- Lin’kov A. M. Loss of stability during softening, In: Issledovaniya po uprugosti i plastichnosti [Research on Elasticity and Plasticity], vol. 14, Problems of Solid Mechanics. Leningrad, Leningrad State Univ., 1982, pp. 41–46 (In Russian).
- Chausov N. G., Bogdanovich A. Z. Modeling of material deformation kinetics in the prefracture zone, Strength of Materials, 2003, vol. 35, no. 2, pp. 140–148. https://doi.org/10.1023/A:1023710511523.
- Radchenko V. P., Gorbunov S. V. The method of solution of the elastic-plastic boundary value problem of tension of strip with stress raisers with allowance for local domains of softening plasticity of material, Vestn. Samar. Gos. Tekhn. Univ., Ser. Fiz.-Mat. Nauki [J. Samara State Tech. Univ., Ser. Phys. Math. Sci.], 2014, no. 4(37), pp. 98–110 (In Russian). https://doi.org/10.14498/vsgtu1366.
- Schwalbe K.-H., Scheider I., Cornec A. Guidelines for Applying Cohesive Models to the Damage Behaviour of Engineering Materials and Structures. Heidelberg, Springer, 2003, xii+89 pp. https://doi.org/10.1007/978-3-642-29494-5.
- Carpinteri A., Cornetti P., Barpi F., Valente S. Cohesive crack model description of ductile to brittle size-scale transition: dimensional analysis vs. renormalization group theory, Eng. Fract. Mech., 2003, vol. 70, no. 14, pp. 1809–1839. https://doi.org/10.1016/S0013-7944(03)00126-7.
- de Borst R. Numerical aspects of cohesive-zone models, Eng. Fract. Mech., 2003, vol. 70, no. 14, pp. 1743–1757. https://doi.org/10.1016/S0013-7944(03)00122-X.
- Khan M. A., Silberschmidt V. V., El-Rimawi J. Controlled failure warning and mitigation of prematurely failing beam through adhesive, Compos. Struct., 2017, vol. 161, pp. 119–131. https://doi.org/10.1016/j.compstruct.2016.11.049.
- Piculin S., Nicklisch F., Brank B. Numerical and experimental tests on adhesive bond behaviour in timber-glass walls, Int. J. Adh. Adh., 2016, vol. 70, pp. 204–217. https://doi.org/10.1016/j.ijadhadh.2016.06.012.
- Xu W., Yu H., Tao C. Damage and stress evolution in the bondlines of metallic adhesively bonded joints accompanied by bondline thickness effect, Int. J. Adh. Adh., 2015, vol. 59, pp. 86–97. https://doi.org/10.1016/j.ijadhadh.2015.02.007.
- Belnoue J. P. H., Hallett S. R. Cohesive/adhesive failure interaction in ductile adhesive joints. Part I: A smeared-crack model for cohesive failure, Int. J. Adh. Adh., 2016, vol. 68, pp. 359–368. https://doi.org/10.1016/j.ijadhadh.2016.03.009.
- Valoroso N., de Barros S. Adhesive joint computations using cohesive zones, Appl. Adhes. Sci., 2013, vol. 1, 8. https://doi.org/10.1186/2196-4351-1-8.
- Silva D. F. O., Campilho R. D. S. G., Silva F. J. G, Carvalho U. T. F. Application a direct/cohesive zone method for the evaluation of scarf adhesive joints, Appl. Adhes. Sci., 2018, vol. 6, no. 1, 13. https://doi.org/10.1186/s40563-018-0115-2.
- Feklistova E. V., Tretyakov M. P., Wildemann V. E. Numerical implementation issues of the deformation and destruction process of bodies with stress concentrators, AIP Conf. Proc., 2021, vol. 2371, 050002. https://doi.org/10.1063/5.0059553.
Supplementary files









